Abstract
The efficient exploitation of deep-buried resources and the penetration of deep tunnels are related to the sustainable development of energy and security, and the stability of the surrounding rock of deep-buried tunnels is an important issue to study. Therefore, the mechanical characteristics of thin-bedded rock masses due to water-absorption softening and structural effects were studied. The results show that the uniaxial compressive strength tends to decrease first and then increase with the rise in layer inclination, and an overall U-shaped distribution is presented. The water-absorption and softening mechanism of slate, which is a typical thin-bedded rock masses, involves water entering the slate along the weak surface of the layer. Then, the expansion of water absorption and the expansion perpendicular to the layer caused by the action of clay minerals causes cracks along the layer surface near the weak surface of the layer, which is macroscopically manifested as a decrease in strength. Through the single weak-surface theory, the layer-inclination range of 25–79° is determined for shear failure. The universal distinct element code can accurately and intuitively reflect the failure mode of rock samples affected by moisture content and structural effects.
1. Introduction
The efficient exploitation of deep-buried resources and the penetration of deep tunnels are related to the sustainable development of energy and security. During exploitation and penetration, the stability of the surrounding rock of deep-buried tunnels is an important issue to study. Thin-bedded rock masses are widely existed in deep surrounding rock. A thin-bedded rock mass is a special rock mass with one or more groups of strata, and its lithology has typical mechanical characteristics of large plastic deformation, strong anisotropy, and low strength [1]. Figure 1 shows the characteristics of the layered surrounding rock in different layers of the deep-buried tunnel, where the surrounding rock is prone to large deformation due to the influence of a deep “three high and one disturbance”, as shown in Figure 2 [2,3].
Figure 1.
The characteristics of the thin-bedded surrounding rock in different layers of the deep-buried tunnels.
Figure 2.
Large deformation of the surrounding rock.
Many scholars have accumulated rich research results in the study of the mechanical properties of thin-bedded rock masses. The research can be divided into indoor experiments [4,5,6,7,8,9,10], on-site support methods [11,12,13], and numerical simulations [14,15,16,17,18]. The main research is mechanical experimental research carried out indoors. In terms of indoor research, scholars studied the mechanical properties of thin-bedded rock mass through uniaxial compressive strength (UCS) tests and creep tests. Xu [19] studied the creep properties of layered rock masses with the help of acoustic emission equipment. Li [20] examined rock masses containing structural surfaces and concluded that the anisotropy of the rock mass is related to the structural surface and stress state; the anisotropy of the elastic modulus weakens with the increase in structural surface density; and the anisotropy of the rock mass deteriorates and disappears with the rise in surrounding rock.
The former study of the mechanical characteristics of thin-bedded rock masses mainly considered a single influencing factor, and the mechanism of water absorption and softening of thin-bedded rock masses under the influence of structural effects was less explored. In this study, the mechanical characteristics of thin-bedded rock masses in different strata structures and different water-absorption states were studied while taking actual engineering as the background and considering the structural effects produced by different layer-inclination angles and the coupling influencing factors of the water-absorption state of rock masses. The analysis has important theoretical and practical value for research on the catastrophic problem of thin-bedded rock masses widely existing in the fields of deep coal mining and deep-buried tunnel engineering.
2. Experiment on the Thin-Bedded Rock Masses
2.1. Experimental Background
The Muzhailing deep-buried tunnel is composed of slate, which is typical of thin-bedded rock masses. The maximum buried depth is 591 m, and the maximum horizontal principal stress is 24.95 MPa. The slate sample was collected from the Muzhailing deep-buried tunnel with starting and ending pile numbers of AZK216+380–AZK220+300. The fractures in the surrounding rock were relatively developed, and coupled with the action of groundwater, this meant that many rock masses were broken.
The rock sample was mainly composed of quartz and clay minerals. Quartz accounted for approximately 49.6%, and clay minerals accounted for approximately 47.9%. Clay mineral content was high, and the clay mineral types were mainly illite, chlorite, and kaolinite. Table 1 provides the analysis of the mineral diffraction of slate. Table 2 is the relative content of clay minerals. The processed slate sample is shown in Figure 3.
Table 1.
Analysis of mineral diffraction of slate.
Table 2.
Relative content of clay minerals.
Figure 3.
The processed slate sample.
The EHF-EG200 KN digital hydraulic servo experimental system was used to determine the UCS and elastic modulus of the rock samples, as shown in Figure 4. The steps to carry out the UCS experiment with the EHF-EG200 KN digital hydraulic servo experimental system are as follows:
Figure 4.
Load device.
- (1)
- The strain was measured by means of a strain gauge.
- (2)
- We placed the rock sample in the middle of the three-axis loading device, added a cushion block above the specimen, and adjusted the position of the rock sample and the pad block so that the rock sample was consistent with the direction of the loading axis.
- (3)
- Loading was performed at a speed of 0.005 mm/s in axial deformation. The experimental system automatically collected intensity values, axial strain, and radial strain until the rock sample was damaged.
The experiment on the mechanical properties of slate water-absorption softening was divided into three situations, according to the water, dry, natural, and saturated states. The angle between the stratigraphic and horizontal directions of the rock sample was determined as the strata inclination of the rock sample. The rock samples of different states were divided into 0°, 30°, 45°, 60°, and 90° rock sample groups according to the stratum inclination.
The saturated absorbent rock sample was obtained by immersion. The specific method involved completely immersing the rock sample in distilled water and weighing it every day. When the weight increase of the rock sample tended toward 0, the water-absorption experiment was stopped. The average moisture content of the saturated rock sample was measured as 1.21%. Dried rock samples were obtained by drying in a drying unit for 24 h. The average moisture content of natural rock samples was 0.58%. The basic parameters of the rock samples are shown in Table 3.
Table 3.
Basic parameters of rock sample.
2.2. Results of Uniaxial Compression Experiments
The results of uniaxial compression experiments with different layer-inclination angles in different water-bearing states are shown in Table 4. Figure 5 shows parts of stress–strain curve (due to limitations in layout), and Figure 6 shows the relationship between layer-inclination angles and UCS, which can be observed from the chart.
Table 4.
Mechanical parameters in different water states.
Figure 5.
Stress–strain curve. (a) N0; (b) B60; (c) G0.
Figure 6.
The relationship of layer-inclination angles and UCS.
Overall, the UCS and the lowest elastic modulus of the rock samples in the dry and natural states were 45°. In the saturated state, the UCS and the lowest elastic modulus of the rock sample with a stratification inclination angle of 60° were the lowest. In the dry and natural states, the stratification inclination angle was 90°, and the UCS and the highest elastic modulus were the highest. In the saturated state, the rock sample with a layer-inclination angle of 30° had the highest UCS and a high elastic modulus. The UCS tended to decrease with the increase in moisture content under the same layer-inclination angle. In the same water state, the UCS first decreased and then increased with the rise in layer inclination, and an overall U-shaped distribution was presented.
In summary, the UCS of rock samples in the dry state did not decrease significantly compared with that in the natural state. The reason is that the reaction of clay minerals is not obvious when the moisture content is low, especially when the influence on the weak surface between the layers is small, which results in an insignificant decrease in UCS. The reaction of clay minerals under low moisture content was not obvious. The effect on the weak surface of the strata is also reflected in the fact that the UCS of the different stratigraphic dip-rock samples in the dry and natural states was not much different from that of the saturated rock sample. Under saturation, the clay minerals and the weak surface filler between the layers fully absorb and expand. This phenomenon resulted in a sharp decrease in the UCS of the slate, especially for the rock samples with stratigraphic inclination angles of 45° and 60°.
2.3. Analysis of Slate Failure Patterns
Figure 7 show the failure photos of rock samples in different states, analyzed in terms of the failure morphology.

Figure 7.
Typical failure pictures of rock samples in different states. (a) natural state; (b) saturated state; (c) dry state.
- (1)
- In the natural state, the rock samples with inclination angles of 0°, 30°, and 45° have mainly mixed failure; the rock sample with a dip angle of 60° has mainly shear failure along the layer surface; and the rock samples with dip angles of 90° have mainly tension failure along the layer surface.
- (2)
- In the saturated state, the rock samples with a dip angle of 0° have mainly mixed failure; the rock samples with inclination angles of 30°, 45°, and 60° have mainly shear failure along the stratum surface; and the rock samples with a dip angle of 90° have mainly tension failure along the stratum surface.
- (3)
- In the dry state, mixed failure occurs in rock samples with inclination angles of 0° and 30°; shear failure occurs along the stratum surface of rock samples with a stratigraphic inclination of 45°; shear failure occurs along the stratum surface of rock samples with a stratigraphic inclination of 60°; and tension failure occurs along the stratum surface of the rock sample with a stratigraphic inclination angle of 90°.
The analysis of the failure morphology of rock samples shows that mixed failure mainly occurs in rock samples with a dip angle of 0° under different water-bearing states; the failure of rock samples with dip angles of 30° and 45° is diverse; shear failure occurs along the stratum surface of rock samples with a dip angle of 60°; and tension failure occurs mainly along the stratum surface of rock samples with a stratigraphic inclination angle of 90°. Water has the most significant effect on the weak surface of the strata during saturation, and the failures for the samples with inclination angles of 30°, 45°, 60°, and 90° all occur along the stratum surface.
Figure 8 shows the scan image of the cast in the natural and saturated states near the layer surface. The scanning of the cast sheet shows that the weak surface of the layer is cemented densely in the natural state, as shown in Figure 8a. After water absorption, an expansion force perpendicular to the inside of the layer is generated due to the action of clay minerals, and this phenomenon results in cracks along the layer surface near the weak surface of the layer, as shown in Figure 8b. Therefore, the softening effect of water on slate mainly occurs on the weak surface of the stratigraphy.
Figure 8.
Thin sheet of casting pictures for slate in natural and saturated states. (a) natural state; (b) saturated state.
3. Breakdown Strength Guidelines
The experimental results show that the shear strength of the rock mass has a certain range and certain upper and lower limits. The upper limit is the strength of the complete rock mass when it fails, and the lower line is the strength of the weak surface of the rock mass when shear failure occurs. The analysis of UCS and failure characteristics in different water-bearing states shows that the weakening of the weak surface of rock samples in the saturated state is the most obvious. Therefore, the influence of weak surfaces on the strength of rock samples in the saturated state is analyzed using the single weak-surface theory and derived as follows [1]:
As shown in Figure 9, a set of weak surfaces is assumed to be developed, and the angle between the weak surface and the maximum principal stress is denoted as γ. Thus, the Mohr stress-circle theory indicates that the normal and shear stresses acting on the weak surface are as follows:
where σ is normal stress, τ is shear stress.
Figure 9.
Schematic of single weak-surface theory. (a) the weak surface; (b) the Mohr stress circle.
The shear strength τi of the weak surface obeys the Moore–Coulomb criterion, that is,
By bringing Equations (1) and (2) into Equation (3), the conditions for shear failure along a weak surface that can be obtained by finishing are as follows:
where ci and ϕi are the cohesion and friction angle of the structural surface, respectively. At this point, the γ angle varies: ϕi < γ < 90°.
Equation (4) shows that the strength of the rock mass changes with the variation in the inclination angle of the weak surface. The rock mass cannot fail along the structural surface when γ tends to 90° or tends to ϕi, and the rock mass fails along the structural surface when γ1 < γ < γ2.
The UCS of the rock mass is
Based on the theoretical derivation and the results of uniaxial compression experiments, ci and ϕi can be found.
As shown in Figure 9b,
After simplification, we can obtain
With the assumption that the cohesion of the structural surface is the same, the data are fitted by the least-square method by using the uniaxial experimental results, and the shear strength parameters of the weak surface of the slate are 9.0 and 21.8. Then, γ1 = 24.63 and γ2 = 79.21.
As a result, the formula for the UCS of slate considering the weak surface is as follows:
Figure 10 shows the variation trend of rock sample strength and single weak-surface theory results with strata inclination in the saturated state. The fitting effect is good, and the single weak-surface theory can be applied to explain the change law of the slate and of UCS affected by structural effects in the saturated state. The results are used to guide the actual engineering on site, and the surrounding rock with an inclination angle between 25° and 79° is monitored and particularly supported.
Figure 10.
Comparison between UCS and results of single weak-surface theory.
4. Discrete-Element Numerical Simulation
4.1. Discrete Element Principle
The anisotropy of rock samples due to the existence of structural surfaces greatly limits the application of the continuum method in rock mechanics, and the discrete element method is introduced into rock mechanics as a discontinuous media method to overcome the shortcomings of the continuum method [21]. The universal distinct element code (UDEC) is a typical discontinuous-medium numerical-simulation method based on the Lagrange algorithm. It is a discrete-element numerical-simulation program used to address two-dimensional rock mechanics problems.
The Voronoi block-division method can generate random continuous subpolygon blocks in the area specified by the numerical model, which is a joint generation method included in the UDEC [22]. The model generated by the Voronoi block-division method can effectively simulate fracture generation and propagation. The contact surface fails and cracks are generated and begin to spread when the strength parameters of the contact surface between the blocks reach their maximum tensile and shear strengths.
The numerical model building in this section is divided into three steps:
- (1)
- A numerical model with a length × height of 50 mm × 100 mm is established by the Voronoi block-division method. The average side length of the Voronoi random block is determined to be 2 mm after repeated simulation experiments and after the scanning characteristics of the microstructure of the rock sample are obtained. The Voronoi block is shown in Figure 11a.
Figure 11. Building process of the numerical model. (a) block; (b) stratum spacing; (c) numerical model; (d) rock sample. - (2)
- The average spacing of the strata surface is set to 10 mm, the slate has anisotropy, and the strata spacing is quite different. The numerical model of this section is generalized according to the stratum-surface spacing statistics. The typical stratum spacing of rock samples is shown in Figure 11b,c, and Figure 11d shows the model of rock samples.
- (3)
- Different from the continuous-medium simulation method, the mechanical parameters of discrete element blocks and the microscopic parameters of the contact surface cannot be obtained experimentally. The optimal parameters also can only be selected through repeated parameter calibration.
The hypothetical parameters are selected; the experimental results are obtained by the numerical simulation method and compared with the indoor mechanical characteristics experiment; the block mechanical parameters and contact-surface micro parameters are adjusted by observing the difference between the numerical simulation results and the experimental results; and then the numerical simulation is carried out and compared with the experimental results until the results are more consistent, the numerical simulation parameters are the required parameters, and the parameter calibration is completed. The average numerical simulation parameters are shown in Table 5. The modeling process is shown in Figure 11. The axial loading rate is set to 0.005 mm/s.
Table 5.
Parameters of numerical model.
4.2. Model Failure Analysis
Figure 12, Figure 13 and Figure 14 show the numerical-model failure patterns of different layer-inclination angles in different water-bearing states.
Figure 12.
Failure picture of numerical model in natural state. (a) Photograph of rock sample destruction in its natural state; (b) Microcrack distribution after model failure.
Figure 13.
Failure picture of numerical model in saturated state. (a) Photograph of rock sample destruction in its saturated state; (b) Microcrack distribution after model failure.
Figure 14.
Failure picture of numerical model in dry state. (a) Photograph of rock sample destruction in its dry state; (b) Microcrack distribution after model failure.
The failure of the model with the layer-inclination angle in different water-bearing states occurs at 30°, and the breaking characteristics of the rock samples in the natural and dry states correspond well to those of the experimental rock samples. Shear failure along the layer surface occurs in the model with a layer-inclination angle of 45° in different water-bearing states, and the numerical simulation results of the dry and saturated states correspond well with the failure characteristics of the experimental rock samples.
Shear failure along the stratum surface mainly occurs in the model with a stratigraphic inclination angle of 60°, and the failure modes of the natural, saturated, and dry-state models are more consistent with the failure mode of the experimental rock samples. The stratigraphic inclination angle is 90°, mixed failure mainly occurs, and tension failure is the main failure mode. The failure modes of the natural, saturated, and dry-state models correspond well with the failure mode of the experimental rock samples.
The overall analysis shows that the numerical models with stratigraphic inclination angles of 45° and 60° in different water-bearing states mainly exhibit shear failure along the stratum surface, which is the same as the uniaxial compression-failure model of most actual rock samples. The influence of moisture content on the failure mode of the numerical model is mainly reflected in the numerical model with layer-inclination angles of 0°, 30°, and 90°. Notably, the tensile failure is more obvious when the moisture content is lower, which is consistent with the failure characteristics of experimental rock samples.
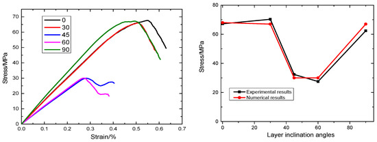
Figure 15, Figure 16 and Figure 17 show a comparison chart of the UCS and experimental UCS of the numerical model with different layer-inclination angles in different water-bearing states. The chart shows that the numerical calculation results have high consistency with the experimental results, and the UCS of some numerical calculations is slightly lower than the experimental results. The reason is that slate is a highly anisotropic material, and its internal layer density, number of fractures, and secondary cracks have a certain randomness. Thus, accurately simulating the experimental UCS and elastic modulus is difficult.
Figure 15.
Stress–strain curve of numerical model and comparison on UCS in natural state.
Figure 16.
Stress–strain curve of numerical model and comparison on UCS in saturated state.
Figure 17.
Stress–strain curve of numerical model and comparison on UCS in dry state.
The abovementioned analysis shows that UDEC can accurately and intuitively reflect the failure mode of rock samples affected by moisture content and structural effects. This is helpful to understand the influence mechanism of the softening structural effect of the slate water-absorption strength and shows the superiority of the discrete-element simulation method.
5. Discussion
The UCS of the rock sample showed a U-shaped distribution in the dry state, which is only influenced by different layers of inclination. Under the coupling influence of the water absorption and different layers of inclination, that is, in the natural state and saturated state, the UCS of rock samples also showed a U-shaped distribution, and the UCS decreased with the increase in water content—especially in the saturated state, the UCS of rock samples decreased most obviously. Through microstructure analysis, we found that the reason is that in the case of low moisture content, the clay mineral reaction is not obvious, and the weak surface between the layers is less affected. In the saturated state, the water-absorption softening mechanism of the slate involves the water entering the slate along the weak surface of the layer, causing the coupling effect of physics, chemistry and stress near the layer. Thus, the slate produces micro-fractures along the stratum surface, the internal cohesion is reduced, the macroscopic performance is reduced in strength, and the structural softening effect is obvious.
6. Conclusions
The main conclusions are drawn as follows:
- (1)
- The UCS tends to decrease with the increase in moisture content under the same layer-inclination angle. In the same water state, the UCS first decreases and then increases with the rise in layer inclination and an overall U-shaped distribution is presented.
- (2)
- The water-absorption softening mechanism of the slate involves water entering the interior of the slate along the weak surface of the layer. After water absorption, the expansion force perpendicular to the layer produces cracks along the layer surface near the weak surface of the layer, the internal cohesion is reduced, the macroscopic performance is decreased in strength, and the structural softening effect is obvious due to the action of clay minerals.
- (3)
- The single weak-surface theory is used to explain the change law of the UCS of slate being affected by structural effects in the saturated state, and the range of the stratum inclination angle prone to shear failure is determined.
- (4)
- The abovementioned analysis shows that UDEC can accurately and intuitively reflect the crack-growth law and failure mode in the failure process of rock samples affected by moisture content and structural effects.
Author Contributions
Conceptualization, H.X. and D.W.; methodology, C.M. and H.X.; validation, C.Z. and C.M.; formal analysis, H.X. and X.S.; writing—original draft preparation, H.X. and C.M.; writing—review and editing, D.W. and X.S. All authors have read and agreed to the published version of the manuscript.
Funding
This paper was financially supported by the Youth Foundation of Natural Science Foundation of Shandong Province (Grant No. ZR2022QE212), National Natural Science Foundation of China (No. 52204101), Natural Science Foundation of Shandong Province (No. ZR2022QE137), Open Project of State Key Laboratory for Geomechanics and Deep Underground Engineering in CUMTB (No. SKLGDUEK2023), the National Key Research and Development Plan of China (Grant No. 2016YFC0600901), the National Natural Science Foundation of China (Grant No. 51874311 and 51904306), the Yueqi Outstanding Scholar Award Program of China University of Mining and Technology, Beijing, the Special Fund of Basic Research and Operating (Grant No. 2009QL03), the State Key Laboratory of Open Funds (Grant No. SKLGDUEK1826).
Institutional Review Board Statement
Not applicable.
Informed Consent Statement
Not applicable.
Data Availability Statement
All data and models generated or used during the study appear in the submitted article.
Conflicts of Interest
The authors declare no conflict of interest.
References
- He, M.C.; Xie, H.P.; Peng, S.P.; Jiang, Y.D. Study on Rock Mechanics in Deep Mining Engineering. Chin. J. Rock Mech. Eng. 2005, 24, 2803–2813. (In Chinese) [Google Scholar]
- Gao, L.; Zhan, X.; Zhang, P.; Wen, Z.; Ma, Z.; Kong, D.; Kang, X.; Han, S. Study on the Dip Angle Effect of Asymmetric Deformation and Failure of the Gob-Side Coal–Rock Roadway in Gently Inclined Coal Seam. Sustainability 2022, 14, 7299. [Google Scholar] [CrossRef]
- Sun, J. Rock rheological mechanics and its advance in engineering applications. Chin. J. Rock Mech. Eng. 2007, 26, 1081–1106. (In Chinese) [Google Scholar]
- Zeng, J.Q.; Yang, Z.C. Dip effect of structural plane on shearing strength parameters of rock mass. Chin. J. Rock Mech. Eng. 2004, 23, 3418–3425. [Google Scholar]
- Behrestaghi, M.H.N.; Rao, K.S.; Ramamurthy, T. Engineering geological and geotechnical responses of schistose rocks from dam project areas in India. Eng. Geol. 1996, 44, 183–201. [Google Scholar] [CrossRef]
- Nasseri, M.H.B.; Rao, K.S.; Ramamurthy, T. Anisotropic strength and deformational behavior of Himalayan schists. Int. J. Rock Mech. Min. Sci. 2003, 40, 3–23. [Google Scholar] [CrossRef]
- Chen, T.Y.; Feng, X.T.; Zhang, X.W.; Cao, W.D.; Fu, C.J. Experimental study on mechanical and anisotropic properties of black shale. Chin. J. Rock Mech. Eng. 2014, 33, 1772–1779. [Google Scholar]
- Kuila, U.; Dewhurst, D.N.; Siggins, A.F.; Raven, M.D. Stress anisotropy and velocity anisotropy in low porosity shale. Tectonophysics 2011, 503, 34–44. [Google Scholar] [CrossRef]
- Feng, F.; Chen, S.J.; Han, Z.Y.; Golsanami, N.; Liang, P.; Xie, Z.W. Influence of moisture content and intermediate principal stress on cracking behavior of sandstone subjected to true triaxial unloading conditions. Eng. Fract. Mech. 2023, 284, 109265. [Google Scholar] [CrossRef]
- Feng, Z.; Chen, X.; Fu, Y.; Qing, S.; Xie, T. Acoustic Emission Characteristics and Joint Nonlinear Mechanical Response of Rock Masses under Uniaxial Compression. Energies 2021, 14, 200. [Google Scholar] [CrossRef]
- Wang, E.; Shi, Z.; Xi, W.; Feng, J.; Wu, P. Mechanism and Application of Roof Cutting by Directional Energy-Cumulative Blasting along Gob-Side Entry. Sustainability 2022, 14, 13381. [Google Scholar] [CrossRef]
- Wang, E.; Chen, G.; Yang, X.; Zhang, G.; Guo, W. Study on the Failure Mechanism for Coal Roadway Stability in Jointed Rock Mass Due to the Excavation Unloading Effect. Energies 2020, 13, 2515. [Google Scholar] [CrossRef]
- Wang, E.Y.; Chen, X.D.; Yang, X.J. Research and application of an innovative 110 mining method in gob-side half coal rock entry retaining. Shock Vib. 2021, 2021, 8228604. [Google Scholar] [CrossRef]
- Huang, L.; Liu, J.; Zhang, F.; Fu, H.; Zhu, H.; Damjanac, B. 3D lattice modeling of hydraulic fracture initiation and near-wellbore propagation for different perforation models. J. Pet. Sci. Eng. 2020, 191, 107169. [Google Scholar] [CrossRef]
- Zuo, S.Y.; Shi, W.B.; Liang, F.; Huang, C.; Zhao, R. Numerical simulation and engineering application for failure modes and criterion of layered anisotropic rock mass. Chin. J. Geotech. Eng. 2015, 37, 191–196. [Google Scholar]
- Huang, L.; Liu, J.; Zhang, F.; Dontsov, E.; Damjanac, B. Exploring the influence of rock inherent heterogeneity and grain size on hydraulic fracturing using discrete element modeling. Int. J. Solids Struct. 2019, 176, 207–220. [Google Scholar] [CrossRef]
- Chen, S.J.; Feng, F.; Wang, Y.J.; Li, D.Y.; Jiang, N. Tunnel failure in hard rock with multiple weak planes due to excavation unloading of in-situ stress. J. Cent. South Univ. 2020, 27, 2864–2882. [Google Scholar] [CrossRef]
- Chen, W.; Zhang, D.; Fang, Q.; Chen, X.; Xu, T. A New Numerical Finite Strain Procedure for a Circular Tunnel Excavated in Strain-Softening Rock Masses and Its Engineering Application. Appl. Sci. 2022, 12, 2706. [Google Scholar] [CrossRef]
- Xu, H.C.; Zhang, Y.; Zhao, C.W.; Miao, C.Y.; Sun, X.M. Creep Structure Effect of Layered Rock Mass Based on Acoustic Emission Characteristics. Shock Vib. 2021, 2021, 7419741. [Google Scholar] [CrossRef]
- Li, S.Z.; Sha, P.; Wu, F.Q.; Wu, J. Anisotropic characteristics analysis of deformation of layered rock mass. Rock Soil Mech. 2018, 39, 366–373. [Google Scholar]
- Huang, L.; He, R.; Yang, Z.; Tan, P.; Chen, W.; Li, X.; Cao, A. Exploring hydraulic fracture behavior in glutenite formation with strong heterogeneity and variable lithology based on DEM simulation. Eng. Fract. Mech. 2023, 278, 109020. [Google Scholar] [CrossRef]
- Tan, X.; Konietzky, H. Brazilian split tests and numerical simulation by discrete element method for heterogeneous gneiss with bedding structure. Chin. J. Rock Mech. Eng. 2014, 33, 938–946. [Google Scholar]
Disclaimer/Publisher’s Note: The statements, opinions and data contained in all publications are solely those of the individual author(s) and contributor(s) and not of MDPI and/or the editor(s). MDPI and/or the editor(s) disclaim responsibility for any injury to people or property resulting from any ideas, methods, instructions or products referred to in the content. |
© 2023 by the authors. Licensee MDPI, Basel, Switzerland. This article is an open access article distributed under the terms and conditions of the Creative Commons Attribution (CC BY) license (https://creativecommons.org/licenses/by/4.0/).