A Hybrid Particle Swarm Optimization with Butterfly Optimization Algorithm Based Maximum Power Point Tracking for Photovoltaic Array under Partial Shading Conditions
Abstract
1. Introduction
2. Characteristics of Photovoltaic Array under Partial Shading Conditions
2.1. Mathematical Model of Photovoltaic Cells
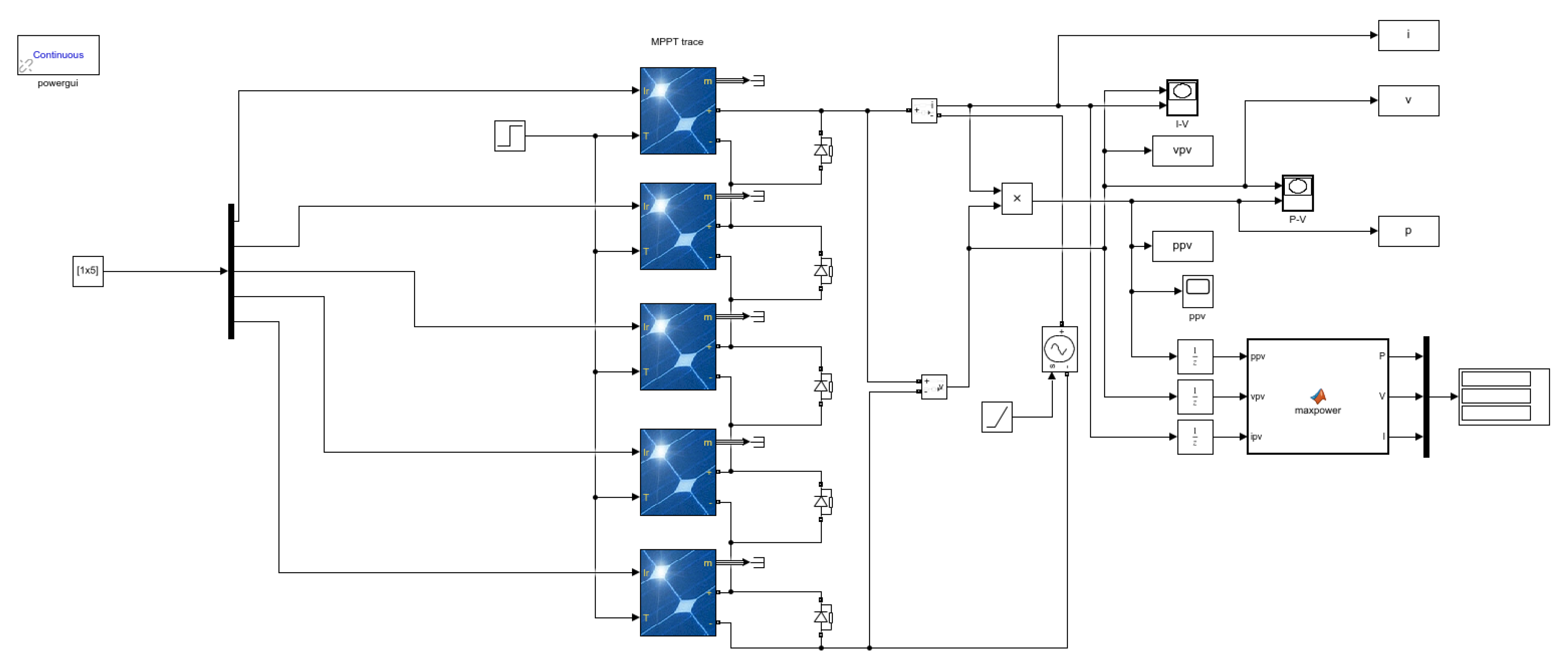
2.2. Output Characteristics of Photovoltaic Array under Partial Shading Conditions
| Algorithm 1. Pseudo-code of getting theory MPP |
| 1. Setting the irradiance and temperature received by five solar panels. |
| 2. Initialize the parameter of Pmax = 0, Imax = 0, Vmax = 0. |
| 3. Input power current voltage of five solar panels |
| 4. If Pmax < power |
| 5. Pmax = power |
| 6. Imax = current |
| 7. Vmax = voltage |
| 8. End if |
| 9. Return Pmax, Imax, Vmax. |
3. The Proposed Algorithm of Particle Swarm Optimization–Butterfly Optimization Algorithm
3.1. The Particle Swarm Optimization (PSO)
3.2. The Butterfly Optimization Algorithm (BOA)
3.3. The Particle Swarm Optimization–Butterfly Optimization Algorithm
3.3.1. Global Search
3.3.2. Local Search
3.3.3. Parameter Control Strategy
3.4. Particle Swarm Optimization–Butterfly Optimization Algorithm for Maximum Power Point Tracking of Photovoltaic Arrays System
| Algorithm 2. Pseudo-code of PSO-BOA algorithm |
| 1.Generate the starting population of the particles Xi (i = 1, 2, ..., n) randomly |
| 2.Initialize the acceleration factors c1, c2, power exponent a and switch probability p |
| 3.Calculate the value (fi) of each particles |
| 4.Calculate PV array power Ppv = Ipv×Upv |
| 5.While t = 1: the upper limit of iterations |
| 6. For each search of the particles |
| 7. Update the fragrance f according to Equation (8) |
| 8. End for |
| 9. Find the best f (fmax) |
| 10. For each search of the particles |
| 11. Set a random number “rand” in [0, 1] |
| 12. If rand < p then |
| 13. Move to the best position according to Equation (12) |
| 14. Else |
| 15. Move to adjust positions according to Equation (11) |
| 16. End if |
| 17. End for |
| 18. Update the velocity v according to Equation (6) |
| 19. Calculate the new fitness f value of each particles |
| 20. If fnew < fmax |
| 21. Update the position of best f according to Equation (7) |
| 22. End if |
| 23. Update the value of sensory modality c according to Equation (15) |
| 24. Update the value of inertia weight according to Equation (16) |
| 25. t = t + 1 |
| 26.End while |
| 27.If reach the restart condition as Equation (17) |
| 28.Return to line 5 |
| 29. End if |
| 30.Output the MPP |
4. Simulation Results
4.1. Optimization Results under Uniform Irradiance
4.2. Optimization Results during Static Shading
4.3. Optimization Results under Abrupt Alterations for Irradiance Conditions
4.4. Optimization Results under Sudden Variations for Irradiance and Temperature Conditions
4.5. Statistics of Results and Analysis
5. Conclusions
Author Contributions
Funding
Data Availability Statement
Acknowledgments
Conflicts of Interest
References
- Yu, S.L.; Zhang, L.J.; Lu, H.H.; Fernando, T.; Wong, K.P. A DSE-Based Power System Frequency Restoration Strategy for PV-Integrated Power Systems Considering Solar Irradiance Variations. IEEE Trans. Ind. Inform. 2017, 13, 2511–2518. [Google Scholar] [CrossRef]
- Khemili, F.Z.; Bouhali, O.; Lefouili, M.; Chaib, L.; El-Fergany, A.A.; Agwa, A.M. Design of Cascaded Multilevel Inverter and Enhanced MPPT Method for Large-Scale Photovoltaic System Integration. Sustainability 2023, 15, 9633. [Google Scholar] [CrossRef]
- He, Z.; Tian, Y. Design and Analysis of Comprehensive Solar Utilization System Based on Photovoltaic Concentration and Spectral Splitting. Processes 2023, 11, 1944. [Google Scholar]
- Carreon-Bautista, S.; Eladawy, A.; Nader Mohieldin, A.; Sánchez-Sinencio, E. Boost converter with dynamic input impedance matching for energy harvesting with multi-array thermoelectric generators. IEEE Trans. Ind. Electron. 2014, 61, 5345–5353. [Google Scholar] [CrossRef]
- Xu, W.; Mu, C.X.; Jin, J.X. Novel Linear Iteration Maximum Power Point Tracking Algorithm for Photovoltaic Power Generation. IEEE Trans. Appl. Supercond. 2014, 24, 1–6. [Google Scholar]
- Liu, H.D.; Lu, S.D.; Lee, Y.L.; Lin, C.H. A Novel Photovoltaic Module Quick Regulate MPPT Algorithm for Uniform Irradiation and Partial Shading Conditions. Processes 2021, 9, 2213. [Google Scholar]
- Kumar, N.; Singh, B.; Panigrahi, B.K. PNKLMF-Based Neural Network Control and Learning-Based HC MPPT Technique for Multiobjective Grid Integrated Solar PV Based Distributed Generating System. IEEE Trans. Ind. Inform. 2019, 15, 3732–3742. [Google Scholar]
- Pathak, P.K.; Padmanaban, S.; Yadav, A.K.; Alvi, P.A.; Khan, B. Modified incremental conductance MPPT algorithm for SPV-based grid-tied and stand-alone systems. IET Gener. Transm. Distrib. 2022, 16, 776–791. [Google Scholar] [CrossRef]
- Ahmed, J.; Salam, Z. An improved perturb and observe (P&O) maximum power point tracking (MPPT) algorithm for higher efficiency. Appl. Energy 2015, 150, 97–108. [Google Scholar]
- Goud, J.S.; Kalpana, R.; Singh, B.; Kumar, S. A Global Maximum Power Point Tracking Technique of Partially Shaded Photovoltaic Systems for Constant Voltage Applications. IEEE Trans. Sustain. Energy 2019, 10, 1950–1959. [Google Scholar] [CrossRef]
- Lasheen, M.; Rahman, A.K.A.; Abdel-Salam, M.; Ookawara, S. Adaptive reference voltage-based MPPT technique for PV applications. IET Renew. Power Gener. 2017, 11, 715–722. [Google Scholar] [CrossRef]
- Femia, N.; Petrone, G.; Spagnuolo, G.; Vitelli, M. Optimization of perturb and observe maximum power point tracking method. IEEE Trans. Power Electron. 2005, 20, 963–973. [Google Scholar] [CrossRef]
- Bounechba, H.; Bouzid, A.; Nabti, K.; Benalla, H. Comparison of perturb & observe and fuzzy logic in maximum power point tracker for PV systems. Energy Procedia 2014, 50, 677–684. [Google Scholar]
- Padmanaban, S.; Priyadarshi, N.; Bhaskar, M.S.; Holm-Nielsen, J.B.; Hossain, E.; Azam, F. A Hybrid Photovoltaic-Fuel Cell for Grid Integration with Jaya-Based Maximum Power Point Tracking: Experimental Performance Evaluation. IEEE Access 2019, 7, 82978–82990. [Google Scholar] [CrossRef]
- Rezk, H.; Fathy, A. Simulation of global MPPT based on teaching-learning-based optimization technique for partially shaded PV system. Electr. Eng. 2017, 99, 847–859. [Google Scholar] [CrossRef]
- Chao, K.H.; Rizal, M.N. A Hybrid MPPT Controller Based on the Genetic Algorithm and Ant Colony Optimization for Photovoltaic Systems under Partially Shaded Conditions. Energies 2021, 14, 2902. [Google Scholar] [CrossRef]
- Mohanty, S.; Subudhi, B.; Ray, P.K. A New MPPT Design Using Grey Wolf Optimization Technique for Photovoltaic System Under Partial Shading Conditions. IEEE Trans. Sustain. Energy 2016, 7, 181–188. [Google Scholar] [CrossRef]
- Darcy Gnana Jegha, A.; Subathra, M.S.P.; Manoj Kumar, N.; Subramaniam, U.; Padmanaban, S. A High Gain DC-DC Converter with Grey Wolf Optimizer Based MPPT Algorithm for PV Fed BLDC Motor Drive. Appl. Sci. 2020, 10, 2797. [Google Scholar] [CrossRef]
- Watanabe, R.B.; Ando, O.H., Jr.; Leandro, P.G.M.; Salvadori, F.; Beck, M.F.; Pereira, K.; Brandt, M.H.M.; de Oliveira, F.M. Implementation of the Bio-Inspired Metaheuristic Firefly Algorithm (FA) Applied to Maximum Power Point Tracking of Photovoltaic Systems. Energies 2022, 15, 5338. [Google Scholar] [CrossRef]
- Teshome, D.F.; Lee, C.H.; Lin, Y.W.; Lian, K.L. A modified firefly algorithm for photovoltaic maximum power point tracking control under partial shading. IEEE Trans. Emerg. Sel. Topics Power Electron. 2017, 5, 661–671. [Google Scholar] [CrossRef]
- Benyoucef, A.S.; Chouder, A.; Kara, K.; Silvestre, S. Artificial bee colony based algorithm for maximum power point tracking (MPPT) for PV systems operating under partial shaded conditions. Appl. Soft Comput. 2015, 32, 38–48. [Google Scholar] [CrossRef]
- Gong, L.; Hou, G.; Huang, C. A two-stage MPPT controller for PV system based on the improved artificial bee colony and simultaneous heat transfer search algorithm. ISA Trans. 2023, 132, 428–443. [Google Scholar] [CrossRef] [PubMed]
- Kennedy, J.; Eberhart, R. Particle Swarm Optimization. In Proceedings of the IEEE International Conference on Neural Networks, Perth, Australia, 27 November–1 December 1995. [Google Scholar]
- Chen, L.R.; Tsai, C.H.; Lin, Y.L.; Lai, Y.S. A biological swarm chasing algorithm for tracking the PV maximum power point. IEEE Trans. Energy Convers. 2010, 25, 484–493. [Google Scholar] [CrossRef]
- Panda, K.; Anand, A.; Bana, P.; Panda, G. Novel PWM Control with Modified PSO-MPPT Algorithm for Reduced Switch MLI Based Standalone PV System. Int. J. Emerg. Electr. Power Syst. 2018, 19, 20180023. [Google Scholar] [CrossRef]
- Mathi, D.K.; Chinthamalla, R. A hybrid global maximum power point tracking method based on butterfly particle swarm optimization and perturb and observe algorithms for a photovoltaic system under partially shaded conditions. Int. Trans. Electr. Energy Syst. 2020, 30, e12543. [Google Scholar] [CrossRef]
- Sen, T.; Pragallapati, N.; Agarwal, V.; Kumar, R. Global maximum power point tracking of PV arrays under partial shading conditions using a modifified particle velocity-based PSO technique. IET Renew. Power Gener. 2018, 12, 555–564. [Google Scholar] [CrossRef]
- Makhloufifi, S.; Mekhilef, S. Logarithmic PSO-Based Global/Local Maximum Power Point Tracker for Partially Shaded Photovoltaic Systems. IEEE J. Emerg. Sel. Top. Power Electron. 2021, 10, 375–386. [Google Scholar] [CrossRef]
- Arora, S.; Singh, S. Butterfly optimization algorithm: A novel approach for global optimization. Soft Comput. 2019, 23, 715–734. [Google Scholar] [CrossRef]
- Arora, S.; Singh, S. An improved butterfly optimization algorithm with chaos. J. Intell. Fuzzy Syst. 2017, 32, 1079–1088. [Google Scholar] [CrossRef]
- Yuan, Z.; Wang, W.; Wang, H.; Khodaei, H. Improved Butterfly Optimization Algorithm for CCHP Driven by PEMFC. Appl. Therm. Eng. 2019, 173, 114766. [Google Scholar]
- Aygül, K.; Cikan, M.; Demirdelen, T.; Tumay, M. Butterfly optimization algorithm based maximum power point tracking of photovoltaic systems under partial shading condition. Energy Sources Part A Recovery Util. Environ. Eff. 2023, 45, 8337–8355. [Google Scholar] [CrossRef]
- Shams, I.; Mekhilef, S.; Tey, K.S. Maximum Power Point Tracking Using Modified Butterfly Optimization Algorithm for Partial Shading, Uniform Shading, and Fast Varying Load Conditions. IEEE Trans. Power Electron. 2021, 36, 5569–5581. [Google Scholar] [CrossRef]
- Aljafari, B.; Balachandran, P.K.; Samithas, D. Solar photovoltaic converter controller using opposition-based reinforcement learning with butterfly optimization algorithm under partial shading conditions. Environ. Sci. Pollut. Res. 2023, 30, 72617–72640. [Google Scholar] [CrossRef] [PubMed]
- Tiwari, G.N.; Tiwari, A. Handbook of Solar Energy—Theory, Analysis and Applications; Springer: Singapore, 2017. [Google Scholar]
- Humada, A.M.; Hojabri, M.; Mekhilef, S.; Hamada, H.M. Solar cell parameters extraction based on single and double-diode models: A review. Renew. Sustain. Energy Rev. 2016, 56, 494–509. [Google Scholar] [CrossRef]
- Sedra, A.; Smith, K. Microelectronic Circuits, 6th ed.; Oxford University Press: New York, NY, USA, 2011. [Google Scholar]
- Vimalarani, C.; Kamaraj, N.; Chitti Babu, B. Improved method of maximum power point tracking of photovoltaic (PV) array using hybrid intelligent controller. Optik 2018, 168, 403–415. [Google Scholar]
- Fathy, A.; El-arini, M.; Othman, A. A New evolutionary algorithm for the optimal sizing of stand-alone photovoltaic system based on genetic algorithm. Int. Rev. Electr. Eng. 2013, 8, 1067–1075. [Google Scholar]
- Singh, B.; Anand, P. A novel adaptive butterfly optimization algorithm. Int. J. Comput. Mater. Sci. Eng. 2019, 7, 1850026. [Google Scholar] [CrossRef]
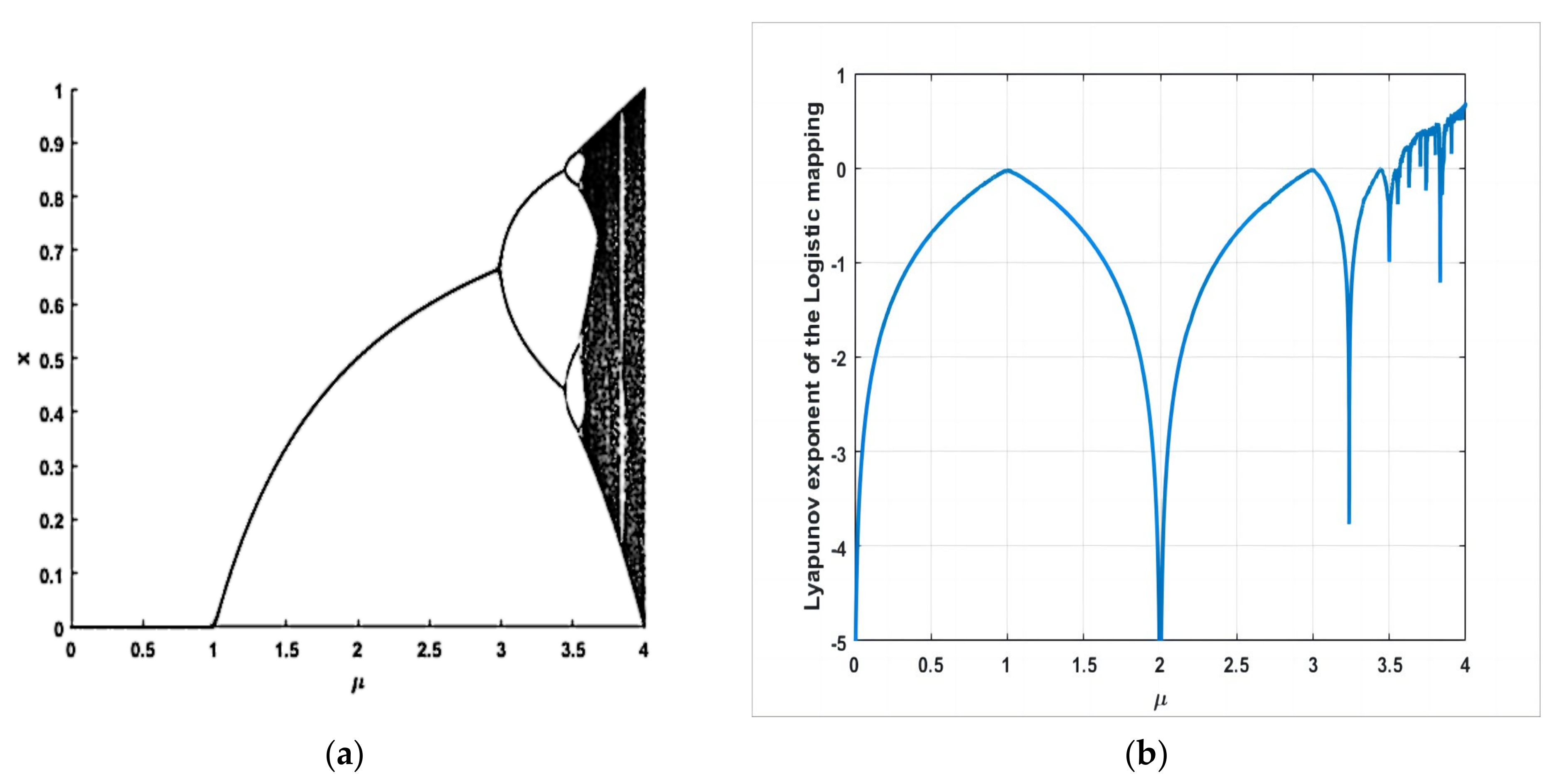
- May, R. Simple mathematical models with very complicated dynamics. Nature 1976, 261, 459–467. [Google Scholar] [CrossRef]
- Aguila-Camacho, N.; Duarte-Mermoud, M.A.; Gallegos, J.A. Lyapunov functions for fractional order systems. Commun. Nonlinear Sci. Numer. Simul. 2014, 19, 2951–2957. [Google Scholar] [CrossRef]
- Zhang, M.; Long, D.; Qin, T.; Yang, J. A Chaotic Hybrid Butterfly Optimization Algorithm with Particle Swarm Optimization for High-Dimensional Optimization Problems. Symmetry 2020, 12, 1800. [Google Scholar] [CrossRef]


















| Parameter | Value |
|---|---|
| Short-Circuit Current: Isc | 7.84 A |
| Open circuit voltage: Uoc | 36.3 V |
| The voltage of MPP: Um | 29 V |
| The current of MPP: Im | 7.35 A |
| Example | S1 (W/m2) | S2 (W/m2) | S3 (W/m2) | S4 (W/m2) | S5 (W/m2) |
|---|---|---|---|---|---|
| 1 | 1000 | 1000 | 1000 | 1000 | 1000 |
| 2 | 1000 | 1000 | 900 | 800 | 600 |
| 3 | 800 | 800 | 600 | 600 | 400 |
| Algorithm | Related Parameters |
|---|---|
| PSO-BOA | a = 0.4, c0 = 0.35, = 0.9, = 0.2, , , |
| PSO | = 0.4, , |
| BOA | a = 0.4, c0 = 1, |
| Example | Statistics | Units | PSO-BOA | PSO | BOA |
|---|---|---|---|---|---|
| Uniform irradiance | Convergence time | s | 0.43 | 0.79 | 0.75 |
| Optimization value | W | 8517 | 8517 | 8517 | |
| Theoretical | W | 8517 | 8517 | 8517 | |
| Projected annual loss cost | ¥ | 0 | 0 | 0 | |
| Tracking efficiency | % | 100 | 100 | 100 | |
| Oscillation situation | / | small | big | big | |
| Static shading | Convergence time | s | 0.42 | 1.12 | 0.82 |
| Optimization value | W | 4374 | 4373 | 4374 | |
| Theoretical | W | 4374 | 4374 | 4374 | |
| Projected annual loss cost | ¥ | 0 | 2.19 | 0 | |
| Tracking efficiency | % | 100 | 99.98 | 100 | |
| Oscillation situation | / | small | Less small | big | |
| Abrupt alterations for irradiance conditions | Convergence time | s | 0.37/0.35 | 0.32/0.35 | 0.74/0.71 |
| Optimization value | W | 4606/3337 | 4546/3272 | 4604/3329 | |
| Theoretical | W | 4606/3337 | 4606/3337 | 4606/3337 | |
| Projected annual loss cost | ¥ | 0/0 | 131.40/142.35 | 4.38/17.52 | |
| Tracking efficiency | % | 100/100 | 98.70/98.05 | 99.96/99.76 | |
| Oscillation situation | / | Less small | small | bigger | |
| Sudden variations in irradiance and temperature conditions | Convergence time | s | 0.47/0.37 | 0.77/0.92 | 0.76/0.75 |
| Optimization value | W | 3796/2237 | 3794/2169 | 3755/2230 | |
| Theoretical | W | 3798/2237 | 3798/2237 | 3798/2237 | |
| Projected annual loss cost | ¥ | 4.38/0 | 8.76/148.92 | 94.17/15.33 | |
| Tracking efficiency | % | 99.94/100 | 99.89/96.96 | 98.87/99.69 | |
| Oscillation situation | / | small | bigger | bigger |
Disclaimer/Publisher’s Note: The statements, opinions and data contained in all publications are solely those of the individual author(s) and contributor(s) and not of MDPI and/or the editor(s). MDPI and/or the editor(s) disclaim responsibility for any injury to people or property resulting from any ideas, methods, instructions or products referred to in the content. |
© 2023 by the authors. Licensee MDPI, Basel, Switzerland. This article is an open access article distributed under the terms and conditions of the Creative Commons Attribution (CC BY) license (https://creativecommons.org/licenses/by/4.0/).
Share and Cite
Wang, Y.; Dai, S.; Liu, P.; Zhao, X. A Hybrid Particle Swarm Optimization with Butterfly Optimization Algorithm Based Maximum Power Point Tracking for Photovoltaic Array under Partial Shading Conditions. Sustainability 2023, 15, 12402. https://doi.org/10.3390/su151612402
Wang Y, Dai S, Liu P, Zhao X. A Hybrid Particle Swarm Optimization with Butterfly Optimization Algorithm Based Maximum Power Point Tracking for Photovoltaic Array under Partial Shading Conditions. Sustainability. 2023; 15(16):12402. https://doi.org/10.3390/su151612402
Chicago/Turabian StyleWang, Yonggang, Shengnan Dai, Pinchi Liu, and Xinyu Zhao. 2023. "A Hybrid Particle Swarm Optimization with Butterfly Optimization Algorithm Based Maximum Power Point Tracking for Photovoltaic Array under Partial Shading Conditions" Sustainability 15, no. 16: 12402. https://doi.org/10.3390/su151612402
APA StyleWang, Y., Dai, S., Liu, P., & Zhao, X. (2023). A Hybrid Particle Swarm Optimization with Butterfly Optimization Algorithm Based Maximum Power Point Tracking for Photovoltaic Array under Partial Shading Conditions. Sustainability, 15(16), 12402. https://doi.org/10.3390/su151612402
