Numerical Investigation of a Reactivity-Controlled Compression Ignition Engine Fueled with N-Heptane and Iso-Octane
Abstract
1. Introduction
2. Methodology
2.1. Experimental Setup
2.2. Numerical Model
3. Results and Discussion
3.1. Intake Air Temperature’s Effects on RCCI Combustion
3.2. Intake Manifold Pressure’s Effects on RCCI Combustion
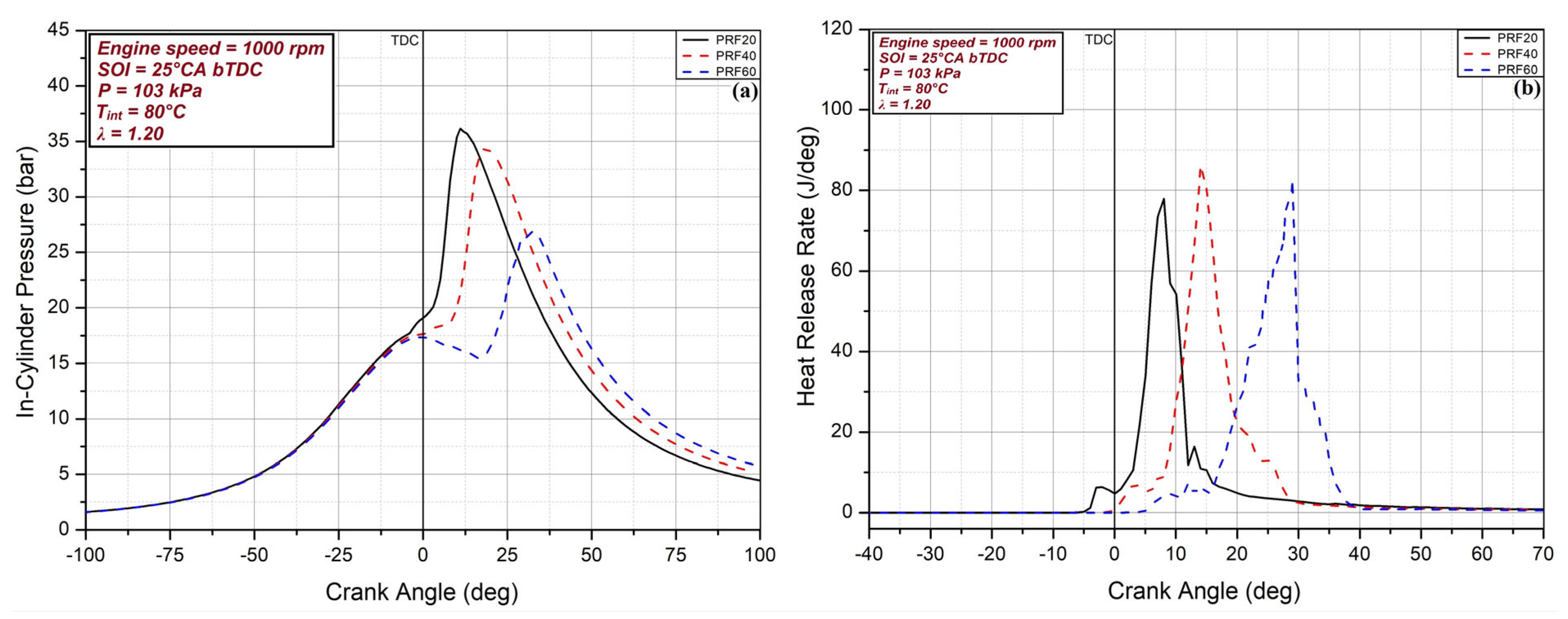
3.3. Premixed Fuel Ratio’s Effects on RCCI Combustion
4. Conclusions
Author Contributions
Funding
Data Availability Statement
Acknowledgments
Conflicts of Interest
Nomenclature
| AMR | Adaptive Mesh Refinement |
| aTDC | After Top Dead Center |
| bTDC | Before Top Dead Center |
| CA | Crank Angle |
| CA50 | Crank Angle Corresponding to 50% of the Total Heat Release |
| CFD | Computational Fluid Dynamics |
| CI | Compression Ignition |
| CO | Carbon Monoxides |
| COVIMEP | Coefficient of Variation of IMEP |
| CR | Compression Ratio |
| DDM | Discrete Droplet Model |
| DI | Direct Injection |
| EGR | Exhaust Gas Recirculation |
| EVO | Exhaust Valve Opening |
| GDI | Gasoline Direct Injection |
| HC | Hydrocarbon |
| HCCI | Homogeneous Charged Compression Ignition |
| HRF | High-Reactivity Fuel |
| HRR | Heat Release Rate |
| IHRR | Integrated Heat Release Rate |
| IMEP | Indicated Mean Effective Pressure |
| ITE | Indicated Thermal Efficiency |
| IVC | Intake Valve Closing |
| KH | Kelvin–Helmholtz |
| LHV | Low Heat Value |
| LRF | Low-Reactivity Fuel |
| PFI | Port Fuel Injection |
| PRR | Pressure Rise Rate |
| NOx | Nitrogen Oxides |
| PCCI | Premixed Charge Compression Ignition |
| PRF | Premixed Ratio Fuel |
| RANS | Reynolds Averaged Navier–Stokes |
| RCCI | Reactivity-Controlled Compression Ignition |
| RT | Rayleigh–Taylor |
| SFC | Specific Fuel Consumption |
| SI | Spark Ignition |
| SOC | Start of Combustion |
| SOI | Start of Injection |
| TIVC | Intake Valve Closing Temperature |
| UHC | Unburned Hydrocarbons |
References
- Reitz, R.D. Directions in internal combustion engine research. Combust. Flame 2013, 1, 1–8. [Google Scholar] [CrossRef]
- Verhaegh, J.; Kupper, F.; Willems, F. Data-Driven Air-Fuel Path Control Design for Robust RCCI Engine Operation. Energies 2022, 15, 2018. [Google Scholar] [CrossRef]
- Wang, Y.; Yao, M.; Li, T.; Zhang, W.; Zheng, Z. A parametric study for enabling reactivity controlled compression ignition (RCCI) operation in diesel engines at various engine loads. Appl. Energy 2016, 175, 389–402. [Google Scholar] [CrossRef]
- Iida, M.; Hayashi, M.; Foster, D.; Martin, J. Characteristics of homogeneous charge compression ignition (HCCI) engine operation for variations in compression ratio, speed and intake temperature while using n-butane as a fuel. J. Eng. Gas Turbines Power 2003, 125, 472–478. [Google Scholar] [CrossRef]
- Can, O.; Cinar, C.; Sahin, F. The investigation of the effects of premixed gasoline charge on HCCI-DI engine combustion and exhaust emissions. J. Fac. Eng. Archit. Gazi Univ. 2009, 24, 229–236. [Google Scholar]
- Hunicz, J.; Geca, M.S.; Kordos, P.; Komsta, H. An experimental study on a boosted gasoline HCCI engine under different direct fuel injection strategies. Exp. Therm. Fluid Sci. 2015, 62, 151–163. [Google Scholar] [CrossRef]
- Nagareddy, S. Temperature distribution measurement on combustion chamber surface of diesel engine-experimental method. Int. J. Automot. Sci. Technol. 2017, 1, 8–11. [Google Scholar]
- Krishnamoorthi, M.; Malayalamurthi, R.; He, Z.; Kandasamy, S. A review on low temperature combustion engines: Performance, combustion and emission characteristics. Renew. Sustain. Energy Rev. 2019, 116, 109404. [Google Scholar] [CrossRef]
- Uyumaz, A.; Aydoğan, B.; Calam, A.; Aksoy, F.; Yılmaz, E. The effects of diisopropyl ether on combustion, performance, emissions and operating range in a HCCI engine. Fuel 2020, 265, 116919. [Google Scholar] [CrossRef]
- Sharma, T.K.; Rao, G.A.P.; Madhumurthy, K. Combustion analysis of ethanol in HCCI engine. Trends Mech. Eng. Technol. 2012, 3, 1–9. [Google Scholar]
- Polovina, D.; McKenna, D.; Wheeler, J.; Sterniak, J.; Miersch-Wiemers, O.; Mond, A.; Hakan, Y. Steady-state combustion development of a downsized multi-cylinder engine with range extended HCCI/SACI capability. SAE Int. J. Engines 2013, 6, 504–519. [Google Scholar] [CrossRef]
- Ji, C.; Dec, J.E.; Dernotte, J.; Cannella, W. Effect of Ignition Improvers on the Combustion Performance of Regular-Grade E10 Gasoline in an HCCI Engine. SAE Int. J. Engines 2014, 7, 790–806. [Google Scholar] [CrossRef]
- Zhao, H. HCCI and CAI Engines for the Automotive Industry; Elsevier: Amsterdam, The Netherlands, 2007. [Google Scholar]
- He, B.Q.; Liu, M.B.; Zhao, H. Comparison of combustion characteristics of nbutanol/ethanol-gasoline blends in a HCCI engine. Energy Convers. Manag. 2015, 95, 101–109. [Google Scholar] [CrossRef]
- Nathan, S.S.; Mallikarjuna, J.; Ramesh, A. An experimental study of the biogas–diesel HCCI mode of engine operation. Energy Convers. Manag. 2010, 51, 1347. [Google Scholar] [CrossRef]
- Atkins, M.J.; Koch, C. The effect of fuel octane and dilutent on homogeneous charge compression ignition combustion. Proc. Inst. Mech. Eng. Part D J. Automob. Eng. 2005, 219, 665–675. [Google Scholar] [CrossRef]
- Calam, A.; Icingur, Y. Effects of intake air temperature on combustion and performance of a HCCI engine. J. Therm. Sci. Technol. 2019, 39, 69–79. [Google Scholar]
- Bhaduri, S.; Jeanmart, H.; Contino, F. EGR control on operation of a tar tolerant HCCI engine with simulated syngas from biomass. Appl. Energy 2018, 227, 159–167. [Google Scholar] [CrossRef]
- Mofijur, M.; Hasan, M.M.; Mahlia, T.M.I.; Rahman, S.M.A.; Silitonga, A.S.; Ong, H.C. Performance and Emission Parameters of Homogeneous Charge Compression Ignition (HCCI) Engine: A Review. Energies 2019, 12, 3557. [Google Scholar] [CrossRef]
- Haraldsson, G.; Tunestål, P.; Johansson, B.; Hyvönen, J. HCCI Combustion Phasing in a Multi Cylinder Engine Using Variable Compression Ratio; SAE Technical Paper 2002-01-2858; SAE International: Warrendale, PA, USA, 2002. [Google Scholar]
- Peng, Z.; Zhao, H.; Ma, T.; Ladommatos, N. Characteristics of homogeneous charge compression ignition (HCCI) combustion and emissions of n-heptane. Combust. Sci. Technol. 2005, 177, 2113. [Google Scholar] [CrossRef]
- Xu, F.; Wang, Z.; Yang, D.B.; Wang, J.X. Potential of high load extension for gasoline HCCI engine using boosting and exhaust gas recirculation. Energy Fuels 2009, 23, 2444–2452. [Google Scholar] [CrossRef]
- Bai, G.; Ning, H. Investigation of intake boost pressure effects on performance and exhaust exergy of a natural gas fueled HCCI combustion engine. Int. J. Eng. Innov. Res. 2018, 7, 132–135. [Google Scholar]
- Canakci, M. Combustion characteristics of a DI-HCCI gasoline engine running at different boost pressures. Fuel 2012, 96, 546–555. [Google Scholar] [CrossRef]
- Khandal, S.V.; Banapurmath, N.R.; Gaitonde, V.N.; Hiremath, S.S. Paradigm shift from mechanical direct injection diesel engines to advanced injection strategies of diesel homogeneous charge compression ignition (HCCI) engines—A comprehensive review. Renew. Sustain. Energy Rev. 2017, 70, 369–384. [Google Scholar] [CrossRef]
- Kokjohn, S.L.; Hanson, R.M.; Splitter, D.A.; Reitz, R.D. Experiments and Modeling of Dual-Fuel HCCI and PCCI Combustion Using In-Cylinder Fuel Blending; SAE Technical Paper 2009-01-2647; SAE International: Warrendale, PA, USA, 2009. [Google Scholar]
- Reitz, R.D.; Hanson, R.M.; Splitter, D.A.; Kokjohn, S.L. Engine Combustion Control via Reactivity Stratification. U.S. Patent 8,616,177 B2, 31 December 2013. [Google Scholar]
- Li, J.; Yang, W.; Zhou, D. Review on the management of RCCI engines. Renew. Sustain. Energy Rev. 2017, 69, 65–79. [Google Scholar] [CrossRef]
- Harari, P.A.; Banapurmath, N.R.; Yaliwal, V.S.; Khan, T.M.Y.; Badruddin, I.A.; Kamangar, S.; Mahlia, T.M.I. Effect of injection timing and injection duration of manifold injected fuels in reactivity controlled compression ignition engine operated with renewable fuels. Energies 2021, 14, 4621. [Google Scholar] [CrossRef]
- Hanson, R.M.; Kokjohn, S.L.; Splitter, D.A.; Reitz, R.D. An experimental investigation of fuel reactivity controlled PCCI combustion in a heavy-duty engine. SAE Int. J. Engines 2010, 3, 700–716. [Google Scholar] [CrossRef]
- Wang, H.; Zhong, X.; Mi, S.; Yao, M. Numerical investigation on the combustion characteristics of PODE3/gasoline RCCI and high load extension. Fuel 2020, 263, 116366. [Google Scholar] [CrossRef]
- Kokjohn, S.L. Reactivity Controlled Compression Ignition (RCCI) Combustion. Ph.D. Thesis, University of Wisconsin-Madison, Madison, WI, USA, 2012. [Google Scholar]
- Eichmeier, J.; Reitz, R.D.; Rutland, C. A zero-dimensional phenomenological model for RCCI combustion using reaction kinetics. SAE Int. J. Engines 2014, 7, 106–119. [Google Scholar] [CrossRef]
- Şahin, F.; Halis, S.; Yıldırım, E.; Altın, M.; Balaban, F.; Solmaz, H.; Yücesu, H.S. Effects of premixed ratio on engine operation range and emissions of a reactivity controlled compression ignition engine. SAE Int. J. Fuels Lubr. 2022, 16, 169–179. [Google Scholar] [CrossRef]
- Uyumaz, A.; Solmaz, H. Experimental investigation of the effects of lambda and injection timing on combustion and performance characteristics in a RCCI Engine. Gazi Univ. J. Sci. Part C Des. Technol. 2016, 4, 299–308. [Google Scholar]
- Ansari, E.; Poorghasemi, K.; Irdmousa, B.K.; Shahbakhti, M.; Naber, J. Efficiency and emissions mapping of a light duty diesel-natural gas engine operating in conventional diesel and RCCI modes. In Proceedings of the SAE 2016 International Powertrains, Fuels & Lubricants Meeting, Baltimore, MD, USA, 24–26 October 2016. [Google Scholar]
- Kakaee, A.H.; Rahnama, P.; Paykani, A. Numerical study of reactivity controlled compression ignition (RCCI) combustion in a heavy-duty diesel engine using 3D-CFD coupled with chemical kinetics. Int. J. Automot. Eng. 2014, 4, 792–804. [Google Scholar]
- Wu, Y.; Reitz, R.D. Effects of exhaust gas recirculation and boost pressure on reactivity controlled compression ignition engine at high load operating conditions. J. Energy Resour. Technol. 2015, 137, 032210. [Google Scholar] [CrossRef]
- Liu, H.; Wang, X.; Zheng, Z.; Gu, J.; Wang, H.; Yao, M. Experimental and simulation investigation of the combustion characteristics and emissions using n-butanol biodiesel dual-fuel injection on a diesel engine. Energy 2014, 74, 741–752. [Google Scholar] [CrossRef]
- Hasankola, S.S.M.; Shafaghat, R.; Jahanian, O.; Amiri, S.T.; Shooghi, M. Numerical investigation of the effects of inlet valve closing temperature and exhaust gas recirculation on the performance and emissions of an RCCI engine. J. Therm. Anal. Calorim. 2020, 139, 2465–2474. [Google Scholar] [CrossRef]
- Dziubak, T.; Karczewski, M. Experimental studies of the effect of air filter pressure drop on the composition and emission changes of a compression ignition internal combustion engine. Energies 2022, 15, 4815. [Google Scholar] [CrossRef]
- Thomas, J.; West, B.; Huff, S. Effect of Air Filter Condition on Diesel Vehicle Fuel Economy; SAE International: Warrendale, PA, USA, 2013. [Google Scholar]
- Dziubak, T.; Boruta, G. Experimental and theoretical research on pressure drop changes in a two-stage air filter used in tracked vehicle engine. Separations 2021, 8, 71. [Google Scholar] [CrossRef]
- Dziubak, T.; Karczewski, M. Experimental study of the effect of air filter pressure drop on internal combustion engine performance. Energies 2022, 15, 3285. [Google Scholar] [CrossRef]
- Arora, J.K. Design of Real-time Combustion Feedback System and Experimental Study of an RCCI Engine for Control. Ph.D. Thesis, Michigan Technological University, Houghton, MI, USA, 2016. [Google Scholar]
- Polat, S.; Yucesu, H.S.; Uyumaz, A.; Kannan, K.; Shahbakhti, M. An experimental investigation on combustion and performance characteristics of supercharged HCCI operation in low compression ratio engine setting. Appl. Therm. Eng. 2020, 180, 115858. [Google Scholar] [CrossRef]
- Heywood, J.B. Internal Combustion Engine Fundamentals; McGraw-Hill Education: New York, NY, USA, 2018. [Google Scholar]
- Richards, K.; Senecal, P.; Pomraning, E. CONVERGE, version 2.2.0; Convergent Science Inc.: Madison, WI, USA, 2014. [Google Scholar]
- Dukowicz, J.K. A particle-fluid numerical model for liquid sprays. J. Comput. Phys. 1980, 35, 229–253. [Google Scholar] [CrossRef]
- Beale, J.C.; Reitz, R.D. Modeling spray atomization with the Kelvin-Helmholtz/ Rayleigh-Taylor hybrid model. At. Sprays 1999, 9, 623–650. [Google Scholar]
- Convergent Science Inc. CONVERGE (v2.3) Theory Manual; Convergent Science Inc.: Madison, WI, USA, 2016. [Google Scholar]
- Bahrami, S.; Poorghasemi, K.; Solmaz, H.; Calam, A.; Ipci, D. Effect of nitrogen and hydrogen addition on performance and emissions in reactivity controlled compression ignition. Fuel 2021, 292, 120330. [Google Scholar] [CrossRef]
- Senecal, P.K.; Pomraning, E.; Richards, K.J.; Briggs, T.E.; Choi, C.Y.; McDavid, R.M.; Patterson, M.A. Multi-Dimensional Modeling of Direct-Injection Diesel Spray Liquid Length and Flame Lift-Off Length Using CFD and Parallel Detailed Chemistry; SAE Technical Paper 2003-01-1043; SAE International: Warrendale, PA, USA, 2003. [Google Scholar]
- Luong, M.B.; Luo, Z.; Lu, T.F.; Chung, S.H.; Yoo, C.S. Direct numerical simulations of the ignition of lean primary reference fuel/air mixtures under HCCI condition. Combust. Flame 2013, 160, 2038–2047. [Google Scholar] [CrossRef]
- Pohlkamp, K.; Reitz, R.D. Reactivity Controlled Compression Ignition (RCCI) in a Single-Cylinder Air-Cooled HSDI Diesel Engine; SAE International: Warrendale, PA, USA, 2012. [Google Scholar]
- Hanson, R.; Reitz, R.D. Transient RCCI Operation in a Light-Duty Multi-Cylinder Engine; SAE International: Warrendale, PA, USA, 2013. [Google Scholar]
- Kalghatgi, G.; Morganti, K.; Algunaibet, I.; Sarathy, M.; Dibble, R. Knock Prediction Using a Simple Model for Ignition Delay; SAE Technical Paper 2016-01-0702; SAE International: Warrendale, PA, USA, 2016. [Google Scholar]
- Jia, M.; Dempsey, A.B.; Wang, H.; Li, Y.; Reitz, R.D. Numerical simulation of cyclic variability in reactivity-controlled compression ignition combustion with a focus on the initial temperature at intake valve closing. Int. J. Engine Res. 2014, 16, 441–460. [Google Scholar] [CrossRef]
- Wang, H.; Zheng, Z.; Liu, H.; Yao, M. Combustion mode design with high efficiency and low emissions controlled by mixtures stratification and fuel reactivity. Front. Mech. Eng. 2015, 1, 8. [Google Scholar] [CrossRef]
- Zou, X.; Wang, H.; Zheng, Z.; Reitz, R.D.; Yao, M. Numerical Study of the RCCI Combustion Processes Fuelled with Methanol, Ethanol, n-Butanol and Diesel; SAE Technical Paper 2016-01-0777; SAE International: Warrendale, PA, USA, 2016. [Google Scholar]
- Mohammadian, A.; Chehrmonavari, H.; Kakaee, A.; Paykani, A. Effect of injection strategies on a single-fuel RCCI combustion fueled with isobutanol/isobutanol+DTBP blends. Fuel 2020, 278, 118219. [Google Scholar] [CrossRef]












| Engine Model | GM Ecotec GDI Turbo DOHC |
|---|---|
| Stroke × bore | 86 mm × 86 mm |
| Cylinder number | 4 |
| Displacement | 2.0 L |
| CR | 9.2:1 |
| Max. power | 270 kW@6000 rpm |
| Max. torque | 353 Nm@2400 rpm |
| IVC | −147 °CA aTDC |
| EVO | 135 °CA aTDC |
| Properties | N-Heptane | Iso-Octane |
|---|---|---|
| Formula | C7H16 | C8H18 |
| LHV (MJ/kg) | 44.56 | 44.30 |
| Molar mass (g/mol) | 100.2 | 114.2 |
| Density (kg/m3) | 686.6 | 693.8 |
| Boiling point (°C) | 371 | 372.4 |
| Research octane number | 0 | 100 |
| Port Injection Fuel | Iso-Octane (20%) |
|---|---|
| Direct injection fuel | n-heptane (80%) |
| Engine speed | 1000 rpm |
| Start of direct injection | −25 °CA aTDC |
| Injection pressure | 100 bar |
| Intake air temperature | 80 °C |
| Total fuel mass | 22 mg/cycle |
| Intake manifold pressure | 103 kPa |
| Lambda | 1.2 |
| Mesh size | 1 mm |
| AMR level | 3 |
| Cylinder wall temperature | 545 K |
| Minimum time step | 1 × 10−8 s |
| Maximum time step | 1 × 10−4 s |
Disclaimer/Publisher’s Note: The statements, opinions and data contained in all publications are solely those of the individual author(s) and contributor(s) and not of MDPI and/or the editor(s). MDPI and/or the editor(s) disclaim responsibility for any injury to people or property resulting from any ideas, methods, instructions or products referred to in the content. |
© 2023 by the authors. Licensee MDPI, Basel, Switzerland. This article is an open access article distributed under the terms and conditions of the Creative Commons Attribution (CC BY) license (https://creativecommons.org/licenses/by/4.0/).
Share and Cite
Halis, S.; Solmaz, H.; Polat, S.; Yücesu, H.S. Numerical Investigation of a Reactivity-Controlled Compression Ignition Engine Fueled with N-Heptane and Iso-Octane. Sustainability 2023, 15, 10406. https://doi.org/10.3390/su151310406
Halis S, Solmaz H, Polat S, Yücesu HS. Numerical Investigation of a Reactivity-Controlled Compression Ignition Engine Fueled with N-Heptane and Iso-Octane. Sustainability. 2023; 15(13):10406. https://doi.org/10.3390/su151310406
Chicago/Turabian StyleHalis, Serdar, Hamit Solmaz, Seyfi Polat, and H. Serdar Yücesu. 2023. "Numerical Investigation of a Reactivity-Controlled Compression Ignition Engine Fueled with N-Heptane and Iso-Octane" Sustainability 15, no. 13: 10406. https://doi.org/10.3390/su151310406
APA StyleHalis, S., Solmaz, H., Polat, S., & Yücesu, H. S. (2023). Numerical Investigation of a Reactivity-Controlled Compression Ignition Engine Fueled with N-Heptane and Iso-Octane. Sustainability, 15(13), 10406. https://doi.org/10.3390/su151310406

