Exploring the Potential of Halloumi Second Cheese Whey for the Production of Lactic Acid Cultures for the Dairy Industry
Abstract
1. Introduction
2. Materials and Methods
2.1. Sample Collection and Chemical Characterization
2.2. Enumeration and Isolation of LAB
2.3. Characterization of Isolates
2.3.1. Phenotypic Characterization
2.3.2. DNA Extraction and Molecular Identification
2.4. Growth in MRS Broth Modified with Lactose or Galactose
2.5. Growth in SCW
2.6. Freeze-Drying and Storage of LAB
2.7. Determination of Cell Viability
2.8. Lactose, Galactose, Glucose and Lactic Acid Determination
2.9. Statistical Analysis
3. Results and Discussion
3.1. Microbial Counts in SCW
3.2. Phenotype Characterisation and Molecular Identification of LAB
3.3. Effect of Lactose and Galactose on the Growth of SCW Isolates
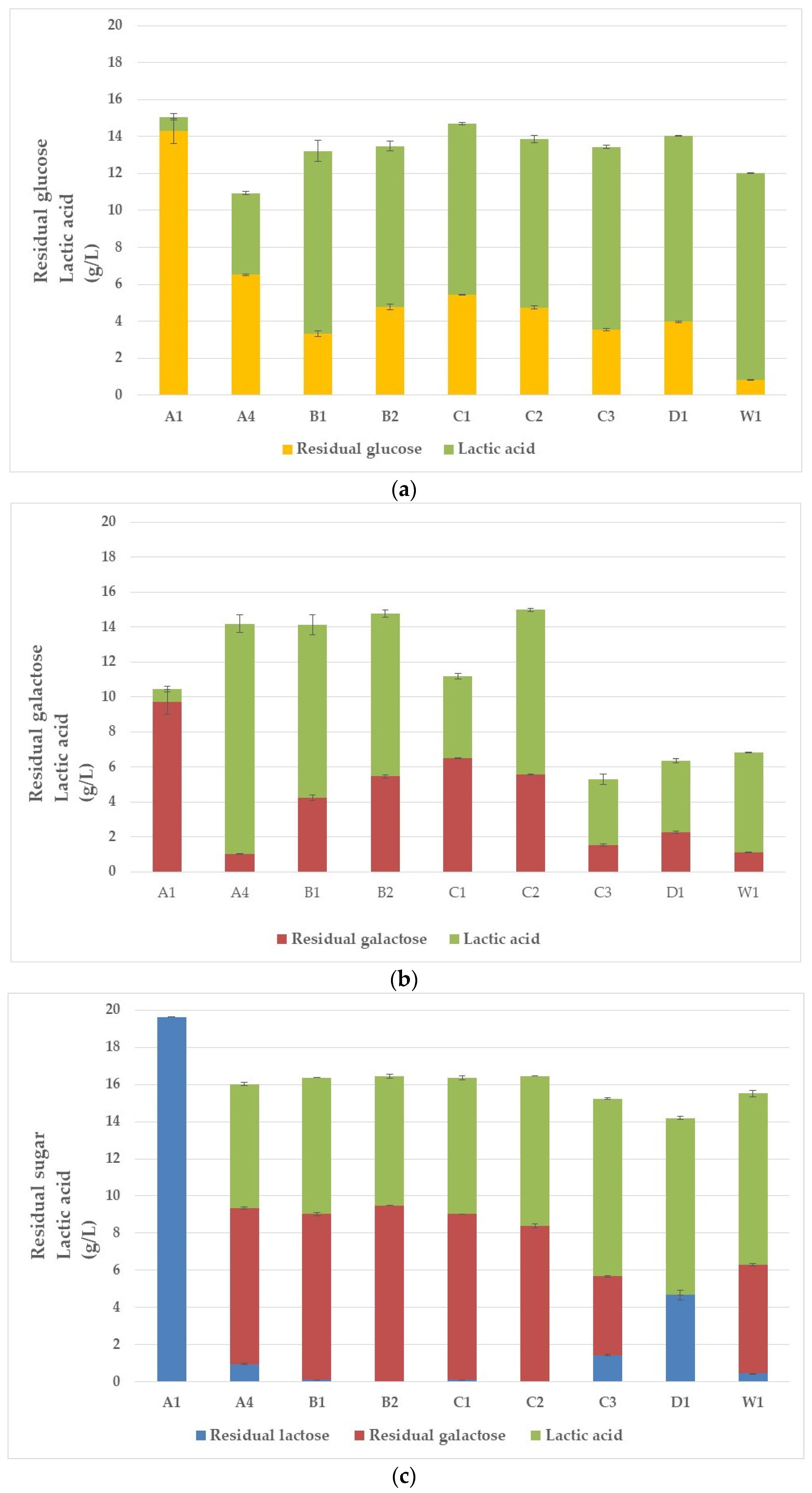
3.4. Examination of Glucose, Galactose and Lactose Utilization Capacity of the SCW Isolates
3.5. Effect of Freeze-Drying on the Survival of the Isolates Grown in SCW
3.6. Survival of Freeze-Dried SCW Isolates after Storage
4. Conclusions
Author Contributions
Funding
Informed Consent Statement
Data Availability Statement
Acknowledgments
Conflicts of Interest
References
- CYS/TS10; CY594: Parts 1 2. Halloumi Cheese. Cyprus Ministry of Commerce and Industry Cyprus Standards: Nicosia, Cyprus, 1985.
- Kyriakos Kyliaris Halloumi Is ‘Cypriot’ at Last–Market Will Double to $737m. Available online: https://www.financialmirror.com/2021/04/04/halloumi-is-cypriot-at-last-market-will-double-to-737m/ (accessed on 15 March 2023).
- Bintsis, T.; Papademas, P. Sustainable Approaches in Whey Cheese Production: A Review. Dairy 2023, 4, 249–270. [Google Scholar] [CrossRef]
- Zandona, E.; Blažić, M.; Režek Jambrak, A. Whey Utilization: Sustainable Uses and Environmental Approach. Food Technol. Biotechnol. 2021, 59, 147–161. [Google Scholar] [CrossRef] [PubMed]
- Pires, A.F.; Marnotes, N.G.; Rubio, O.D.; Garcia, A.C.; Pereira, C.D. Dairy By-Products: A Review on the Valorization of Whey and Second Cheese Whey. Foods 2021, 10, 1067. [Google Scholar] [CrossRef] [PubMed]
- Zotta, T.; Solieri, L.; Lacumin, L.; Picozzi, C.; Gullo, M. Valorization of Cheese Whey Using Microbial Fermentations. Appl. Microbiol. Biotechnol. 2020, 104, 2749–2764. [Google Scholar] [CrossRef] [PubMed]
- Colombo, B.; Calvo, M.V.; Sciarria, T.P.; Scaglia, B.; Kizito, S.S.; D’Imporzano, G.; Adani, F. Biohydrogen and Polyhydroxyalkanoates (PHA) as Products of a Two-Steps Bioprocess from Deproteinized Dairy Wastes. Waste Manag. 2019, 95, 22–31. [Google Scholar] [CrossRef]
- Russo, G.L.; Langellotti, A.L.; Oliviero, M.; Baselice, M.; Sacchi, R.; Masi, P. Valorization of second cheese whey through cultivation of extremophile microalga Galdieria sulphuraria. AIMS Environ. Sci. 2021, 8, 435–448. [Google Scholar] [CrossRef]
- Vasilakis, G.; Karayannis, D.; Massouras, T.; Politis, I.; Papanikolaou, S. Biotechnological Conversions of Mizithra Second Cheese Whey by Wild-Type Non-Conventional Yeast Strains: Production of Yeast Cell Biomass, Single-Cell Oil and Polysaccharides. Appl. Sci. 2022, 12, 11471. [Google Scholar] [CrossRef]
- Rama, G.R.; Kuhn, D.; Beux, S.; Maciel, M.J.; Volken de Souza, C.F. Potential Applications of Dairy Whey for the Production of Lactic Acid Bacteria Cultures. Int. Dairy J. 2019, 98, 25–37. [Google Scholar] [CrossRef]
- Pisano, M.B.; Scano, P.; Murgia, A.; Cosentino, S.; Caboni, P. Metabolomics and Microbiological Profile of Italian Mozzarella Cheese Produced with Buffalo and Cow Milk. Food Chem. 2016, 192, 618–624. [Google Scholar] [CrossRef] [PubMed]
- Reinheimer, J.A.; Quiberoni, A.; Tailliez, P.; Binetti, A.G.; Suárez, V.B. The Lactic Acid Microflora of Natural Whey Starters Used in Argentina for Hard Cheese Production. Int. Dairy J. 1996, 6, 869–879. [Google Scholar] [CrossRef]
- Goderska, K. Different Methods of Probiotics Stabilization. In Probiotics; Rigobelo, E.C., Ed.; IntechOpen Limited: London, UK, 2012. [Google Scholar]
- Santivarangkna, C.; Kulozik, U.; Foerst, P. Inactivation Mechanisms of Lactic Acid Starter Cultures Preserved by Drying Processes. J. Appl. Microbiol. 2008, 105, 1–13. [Google Scholar] [CrossRef] [PubMed]
- Dimitrellou, D.; Kandylis, P.; Kourkoutas, Y. Effect of Cooling Rate, Freeze-Drying, and Storage on Survival of Free and Immobilized Lactobacillus casei ATCC 393. LWT Food Sci. Technol. 2016, 69, 468–473. [Google Scholar] [CrossRef]
- Carpenter, J.F.; Crowe, L.M.; Crowe, J.H. Stabilization of phosphofructokinase with sugars during freeze-drying: Characterization of enhanced protection in the presence of divalent cations. Biochim. Biophys. Acta BBA Gen. Subj. 1987, 923, 109–115. [Google Scholar] [CrossRef] [PubMed]
- Castro, H.P.; Teixeira, P.M.; Kirby, R. Changes in the cell membrane of Lactobacillus bulgaricus during storage following freeze-drying. Biotechnol. Lett. 1996, 18, 99–104. [Google Scholar] [CrossRef]
- Wang, H.; Huang, T.; Liu, K.; Yu, J.; Yao, G.; Zhang, W.; Zhang, H.; Sun, T. Protective Effects of Whey Protein Hydrolysate on Bifidobacterium animalis ssp. lactis Probio-M8 during Freeze-Drying and Storage. J. Dairy Sci. 2022, 105, 7308–7321. [Google Scholar] [CrossRef]
- Bellali, S.; Bou Khalil, J.; Fontanini, A.; Raoult, D.; Lagier, J.-C. A New Protectant Medium Preserving Bacterial Viability after Freeze Drying. Microbiol. Res. 2020, 236, 126454. [Google Scholar] [CrossRef]
- Association of Official Analytical Chemists. Official Methods of Analysis, 19th ed.; Latimer, G.W., Horwitz, W., Eds.; AOAC International: Washington, DC, USA, 2012. [Google Scholar]
- Dubois, M.; Gilles, K.A.; Hamilton, J.K.; Rebers, P.A.; Smith, F. Colorimetric Method for Determination of Sugars and Related Substances. Anal. Chem. 1956, 28, 350–356. [Google Scholar] [CrossRef]
- Lowry, O.H.; Rosebrough, N.J.; Farr, A.L.; Randall, R.J. Protein Measurement with the Folin Phenol Reagent. J. Biol. Chem. 1951, 193, 265–275. [Google Scholar] [CrossRef]
- I.S.EN ISO 11133:2014 & A1:2018; Microbiology of Food, Animal Feeding Stuffs and Water -Preparation, Production, Storage and Performance Testing of Culture Media (ISO/DIS11133:2012). National Standards Authority of Ireland: Dublin, Ireland, 2018.
- De Bellis, P.; Valerio, F.; Sisto, A.; Lonigro, S.L.; Lavermicocca, P. Probiotic Table Olives: Microbial Populations Adhering on Olive Surface in Fermentation Sets Inoculated with the Probiotic Strain Lactobacillus paracasei IMPC2.1 in an Industrial Plant. Int. J. Food Microbiol. 2010, 140, 6–13. [Google Scholar] [CrossRef]
- Muyzer, G.; De Waal, E.C.; Uitterlinden, A.G. Profiling of Complex Microbial Populations by Denaturing Gradient Gel Electrophoresis Analysis of Polymerase Chain Reaction-Amplified Genes Coding for 16S RRNA. Appl. Environ. Microbiol. 1993, 59, 695–700. [Google Scholar] [CrossRef]
- Wu, Q.; Shah, N. The Potential of Species-Specific Tagatose-6-Phosphate (T6P) Pathway in Lactobacillus casei Group for Galactose Reduction in Fermented Dairy Foods. Food Microbiol. 2017, 62, 178–187. [Google Scholar] [CrossRef]
- Zwietering, M.H.; Jongenburger, I.; Rombouts, F.M.; Riet, Κ.V. Modeling of the Bacterial Growth Curve. Appl. Environ. Microbiol. 1990, 56, 1875–1881. [Google Scholar] [CrossRef] [PubMed]
- Papademas, P.; Bintsis, T.; Alichanidis, E.S.; Ardö, Y. Whey Cheeses (Heat Coagulated). In Global Cheesemaking Technology: Cheese Quality and Characteristics; Papademas, P., Bintsis, T., Eds.; John Wiley & Sons: Chichester, UK, 2018; pp. 446–452. [Google Scholar]
- Emerson, J.B.; Adams, R.I.; Román, C.M.B.; Brooks, B.; Coil, D.A.; Dahlhausen, K.; Ganz, H.H.; Hartmann, E.M.; Hsu, T.; Justice, N.B. Schrödinger’s Microbes: Tools for Distinguishing the Living from the Dead in Microbial Ecosystems. Microbiome 2017, 5, 86. [Google Scholar] [CrossRef]
- Kell, D.B.; Kaprelyants, A.S.; Weichart, D.H.; Harwood, C.R.; Barer, M.R. Viability and activity in readily culturable bacteria: A review and discussion of the practical issues. Antonie Leeuwenhoek 1998, 73, 169–187. [Google Scholar] [CrossRef] [PubMed]
- Ramamurthy, T.; Ghosh, A.; Pazhani, G.P.; Shinoda, S. Current perspectives on viable but non-culturable (VBNC) pathogenic bacteria. Front. Public Health 2014, 2, 103. [Google Scholar] [CrossRef] [PubMed]
- Walsh, C.; Meade, J.; Mcgill, K.; Fanning, S. The Biodiversity of Thermoduric Bacteria Isolated from Whey. J. Food Saf. 2012, 32, 255–261. [Google Scholar] [CrossRef]
- Gleeson, D.; O’Connell, A.; Jordan, K. Review of Potential Sources and Control of Thermoduric Bacteria in Bulk-Tank Milk. Ir. J. Agric. Food Res. 2013, 52, 217–227. [Google Scholar]
- Liu, W.; Pang, H.; Zhang, H.; Cai, Y. Biodiversity of Lactic Acid Bacteria. In Lactic Acid. Bacteria: Fundamentals and Practice; Zhang, H., Cai, Y., Eds.; Springer: Dordrecht, The Netherlands, 2014; pp. 103–203. [Google Scholar]
- Stefani, F.O.P.; Bell, T.H.; Marchand, C.; De La Providencia, I.E.; El Yassimi, A.; St-Arnaud, M.; Hijri, M. Culture-Dependent and -Independent Methods Capture Different Microbial Community Fractions in Hydrocarbon-Contaminated Soils. PLoS ONE 2015, 10, e0128272. [Google Scholar] [CrossRef]
- Hébert, E.M.; Raya, R.R.; Savoy de Giori, G. Evaluation of Minimal Nutritional Requirements of Lactic Acid Bacteria Used in Functional Foods. In Environmental Microbiology. Methods in Biotechnology; Walker, J.M., Spencer, J.F.T., Ragout de Spencer, A.L., Eds.; Humana Press: Totowa, NJ, USA, 2014; Volume 16, pp. 139–148. [Google Scholar]
- Adimpong, D.B.; Nielsen, D.S.; Sørensen, K.I.; Vogensen, F.K.; Sawadogo-Lingani, H.; Derkx, P.M.F.; Jespersen, L. Lactobacillus delbrueckii subsp. jakobsenii subsp. nov., Isolated from Dolo Wort, an Alcoholic Fermented Beverage in Burkina Faso. Int. J. Syst. Evol. Microbiol. 2013, 63, 3720–3726. [Google Scholar] [CrossRef]
- Khalil, I.; Anwar, N. Isolation, Identification and Characterization of Lactic Acid Bacteria from Milk and Yoghurts. J. Food Dairy Technol. 2016, 4, 17–26. [Google Scholar]
- Jay, J.M.; Loessner, M.J.; Golden, D.A. Modern Food Microbiology, 7th ed.; Heldman, D.R., Ed.; Spinger: New York, NY, USA, 2005. [Google Scholar]
- Coeuret, V.; Dubernet, S.; Bernardeau, M.; Gueguen, M.; Vernoux, J.P. Isolation, Characterisation and Identification of Lactobacilli Focusing Mainly on Cheeses and Other Dairy Products. Lait 2003, 83, 269–306. [Google Scholar] [CrossRef]
- Siroli, L.; Patrignani, F.; Serrazanetti, D.I.; Parolin, C.; Palomino, R.A.N.; Vitali, B.; Lanciotti, R. Determination of Antibacterial and Technological Properties of Vaginal Lactobacilli for Their Potential Application in Dairy Products. Front. Microbiol. 2017, 8, 166. [Google Scholar] [CrossRef]
- Adams, C.; Sawh, F.; Green-Johnson, J.M.; Jones Taggart, H.; Strap, J.L. Characterization of Casein-Derived Peptide Bioactivity: Differential Effects on Angiotensin-Converting Enzyme Inhibition and Cytokine and Nitric Oxide Production. J. Dairy Sci. 2020, 103, 5805–5815. [Google Scholar] [CrossRef]
- Aspmo, S.I.; Horn, S.J.; Eijsink, V.G.H. Use of Hydrolysates from Atlantic Cod (Gadus morhua L.) Viscera as a Complex Nitrogen Source for Lactic Acid Bacteria. FEMS Microbiol. Lett. 2005, 248, 65–68. [Google Scholar] [CrossRef][Green Version]
- Delgado, S.; Leite, A.M.O.; Ruas-Madiedo, P.; Mayo, B. Probiotic and Technological Properties of Lactobacillus spp. Strains from the Human Stomach in the Search for Potential Candidates against Gastric Microbial Dysbiosis. Front. Microbiol. 2015, 5, 766. [Google Scholar] [CrossRef]
- Douwenga, S.; Janssen, P.; Teusink, B.; Bachmann, H. A Centrifugation-Based Clearing Method Allows High-Throughput Acidification and Growth-Rate Measurements in Milk. J. Dairy Sci. 2021, 104, 8530–8540. [Google Scholar] [CrossRef]
- De Angelis, M.; Gobbetti, M. Lactobacillus spp.: General Characteristics. In Encyclopedia of Dairy Science, 2nd ed.; Fuquay, J.W., Ed.; Academic Press: Cambridge, MA, USA, 2011; pp. 78–90. [Google Scholar]
- Grossiord, B.; Vaughan, E.E.; Luesink, E.; de Vos, W.M. Genetics of Galactose Utilisation via the Leloir Pathway in Lactic Acid Bacteria. Lait 1998, 78, 77–84. [Google Scholar] [CrossRef]
- El Kafsi, H.; Binesse, J.; Loux, V.; Buratti, J.; Boudebbouze, S.; Dervyn, R.; Kennedy, S.; Galleron, N.; Quinquis, B.; Batto, J.-M.; et al. Lactobacillus delbrueckii ssp. lactis and ssp. bulgaricus: A Chronicle of Evolution in Action. BMC Genom. 2014, 15, 407. [Google Scholar] [CrossRef]
- Pessione, E. Lactic Acid Bacteria Contribution to Gut Microbiota Complexity: Lights and Shadows. Front. Cell. Infect. Microbiol. 2012, 2, 86. [Google Scholar] [CrossRef] [PubMed]
- Vaillancourt, K.; Moineau, S.; Frenette, M.; Lessard, C.; Vadeboncoeur, C. Galactose and Lactose Genes from the Galactose-Positive Bacterium Streptococcus salivarius and the Phylogenetically Related Galactose-Negative Bacterium Streptococcus thermophilus: Organization, Sequence, Transcription, and Activity of the Gal Gene Products. J. Bacteriol. 2002, 184, 785–793. [Google Scholar] [CrossRef] [PubMed]
- Iskandar, C.F.; Cailliez-Grimal, C.; Borges, F.; Revol-Junelles, A.-M. Review of Lactose and Galactose Metabolism in Lactic Acid Bacteria Dedicated to Expert Genomic Annotation. Trends Food Sci. Technol. 2019, 88, 121–132. [Google Scholar] [CrossRef]
- Lorántfy, B.; Johanson, A.; Faria-Oliveira, F.; Franzén, C.J.; Mapelli, V.; Olsson, L. Presence of Galactose in Precultures Induces lacS and Leads to Short Lag Phase in Lactose-Grown Lactococcus lactis Cultures. J. Ind. Microbiol. Biotechnol. 2019, 46, 33–43. [Google Scholar] [CrossRef] [PubMed]
- Economides, S.; Georghiades, E.; Mavrogenis, A.P. The Effect of Different Milks on the Yield and Chemical Composition of Halloumi Cheese; Cyprus Agricultural Research Institute: Nicosia, Cyprus, 1987. [Google Scholar]
- Huang, S.; Cauty, C.; Dolivet, A.; Le Loir, Y.; Chen, X.D.; Schuck, P.; Jan, G.; Jeantet, R. Double Use of Highly Concentrated Sweet Whey to Improve the Biomass Production and Viability of Spray-Dried Probiotic Bacteria. J. Funct. Foods 2016, 23, 453–463. [Google Scholar] [CrossRef]
- Carvalho, A.S.; Silva, J.; Ho, P.; Teixeira, P.; Malcata, F.X.; Gibbs, P. Relevant Factors for the Preparation of Freeze-Dried Lactic Acid Bacteria. Int. Dairy J. 2004, 14, 835–847. [Google Scholar] [CrossRef]
- Pyar, H.; Peh, K.-K. Cost Effectiveness of Cryoprotective Agents and Modified De-Man Rogosa Sharpe Medium on Growth of Lactobacillus acidophilus. Pak. J. Biol. Sci. 2014, 17, 462–471. [Google Scholar] [CrossRef]
- Champagne, C.P.; Mondou, F.; Raymond, Y.; Roy, D. Effect of Polymers and Storage Temperature on the Stability of Freeze-Dried Lactic Acid Bacteria. Food Res. Int. 1996, 29, 555–562. [Google Scholar] [CrossRef]
- Yeung, T.W.; Üçok, E.F.; Tiani, K.A.; McClements, D.J.; Sela, D.A. Microencapsulation in Alginate and Chitosan Microgels to Enhance Viability of Bifidobacterium Longum for Oral Delivery. Front. Microbiol. 2016, 7, 494. [Google Scholar] [CrossRef]




| Species Code | 16S rRNA Gene Sequencing Data | Identity (%) |
|---|---|---|
| A1 | Lactobacillus delbrueckii subsp. lactis | 99 |
| A2 | Lactobacillus delbrueckii subsp. lactis | 99 |
| A3 | Lactobacillus delbrueckii subsp. lactis | 99 |
| A4 | Lactobacillus delbrueckii subsp. lactis | 99 |
| B1 | Lactobacillus delbrueckii subsp. jakobsenii | 99 |
| B2 | Lactobacillus delbrueckii subsp. jakobsenii | 99 |
| C1 | Lactobacillus leichmannii | 99 |
| C2 | Lactobacillus leichmannii | 99 |
| C3 | Lactobacillus leichmannii | 99 |
| D1 | Lactobacillus crispatus | 99 |
| W1 | Unidentified |
| Bacterial Strain Code | 16S rRNA Gene Sequencing Data | Carbon Source | ||
|---|---|---|---|---|
| Glucose | Galactose | Lactose | ||
| OD600 1 | ||||
| A1 | Lactobacillus delbrueckii subsp. lactis | 1.047 ± 0.634 a,A | 1.1415 ± 0.080 a,A | 0.689 ± 0.131 a,A |
| A2 | Lactobacillus delbrueckii subsp. lactis | <0.1 | <0.1 | <0.1 |
| A3 | Lactobacillus delbrueckii subsp. lactis | <0.1 | <0.1 | <0.1 |
| A4 | Lactobacillus delbrueckii subsp. lactis | 2.179 ± 0.035 b,B | 2.053 ± 0.0090 c,d,A | 2.253 ± 0.010 b,c,B |
| B1 | Lactobacillus delbrueckii subsp. jakobsenii | 2.288 ± 0.177 b,B | 2.061 ± 0.023 c,d,A | 2.220 ± 0.077 b,c,B |
| B2 | Lactobacillus delbrueckii subsp. jakobsenii | 2.129 ± 0.024 b,A,B | 1.794 ± 0.489 b,A | 2.223 ± 0.052 b,c,B |
| C1 | Lactobacillus leichmannii | 2.310 ± 0.014 b,B | 2.069 ± 0.004 c,d,A | 2.288 ± 0.040 d,B |
| C2 | Lactobacillus leichmannii | 2.158 ± 0.013 b,A,B | 2.111 ± 0.054 c,d,A | 2.176 ± 0.042 c,B |
| C3 | Lactobacillus leichmannii | 2.209 ± 0.267 b,A | 2.266 ± 0.063 d,A | 2.511 ± 0.049 e,B |
| D1 | Lactobacillus crispatus | 2.402 ± 0.042 b,B | 2.096 ± 0.107 c,d,A | 2.471 ± 0.074 e,B |
| W1 | Unidentified | 1.025 ± 0.567 a,A | 1.000 ± 0.090 a,A | 1.020 ± 0.056 b,A |
Disclaimer/Publisher’s Note: The statements, opinions and data contained in all publications are solely those of the individual author(s) and contributor(s) and not of MDPI and/or the editor(s). MDPI and/or the editor(s) disclaim responsibility for any injury to people or property resulting from any ideas, methods, instructions or products referred to in the content. |
© 2023 by the authors. Licensee MDPI, Basel, Switzerland. This article is an open access article distributed under the terms and conditions of the Creative Commons Attribution (CC BY) license (https://creativecommons.org/licenses/by/4.0/).
Share and Cite
Naziri, E.; Papadaki, E.; Savvidis, I.; Botsaris, G.; Gkatzionis, K.; Mugampoza, E.; Mantzouridou, F.T. Exploring the Potential of Halloumi Second Cheese Whey for the Production of Lactic Acid Cultures for the Dairy Industry. Sustainability 2023, 15, 9082. https://doi.org/10.3390/su15119082
Naziri E, Papadaki E, Savvidis I, Botsaris G, Gkatzionis K, Mugampoza E, Mantzouridou FT. Exploring the Potential of Halloumi Second Cheese Whey for the Production of Lactic Acid Cultures for the Dairy Industry. Sustainability. 2023; 15(11):9082. https://doi.org/10.3390/su15119082
Chicago/Turabian StyleNaziri, Eleni, Eugenia Papadaki, Iordanis Savvidis, George Botsaris, Konstantinos Gkatzionis, Ediriisa Mugampoza, and Fani Th. Mantzouridou. 2023. "Exploring the Potential of Halloumi Second Cheese Whey for the Production of Lactic Acid Cultures for the Dairy Industry" Sustainability 15, no. 11: 9082. https://doi.org/10.3390/su15119082
APA StyleNaziri, E., Papadaki, E., Savvidis, I., Botsaris, G., Gkatzionis, K., Mugampoza, E., & Mantzouridou, F. T. (2023). Exploring the Potential of Halloumi Second Cheese Whey for the Production of Lactic Acid Cultures for the Dairy Industry. Sustainability, 15(11), 9082. https://doi.org/10.3390/su15119082

