Effect of Palm Fiber Reinforcement on the Unconfined Compressive Performance of Cement-Treated Sand
Abstract
:1. Introduction
2. Materials and Methods
2.1. Materials
2.2. Specimen Preparation
2.3. Unconfined Compression Test and Outcomes
3. Results and Discussion
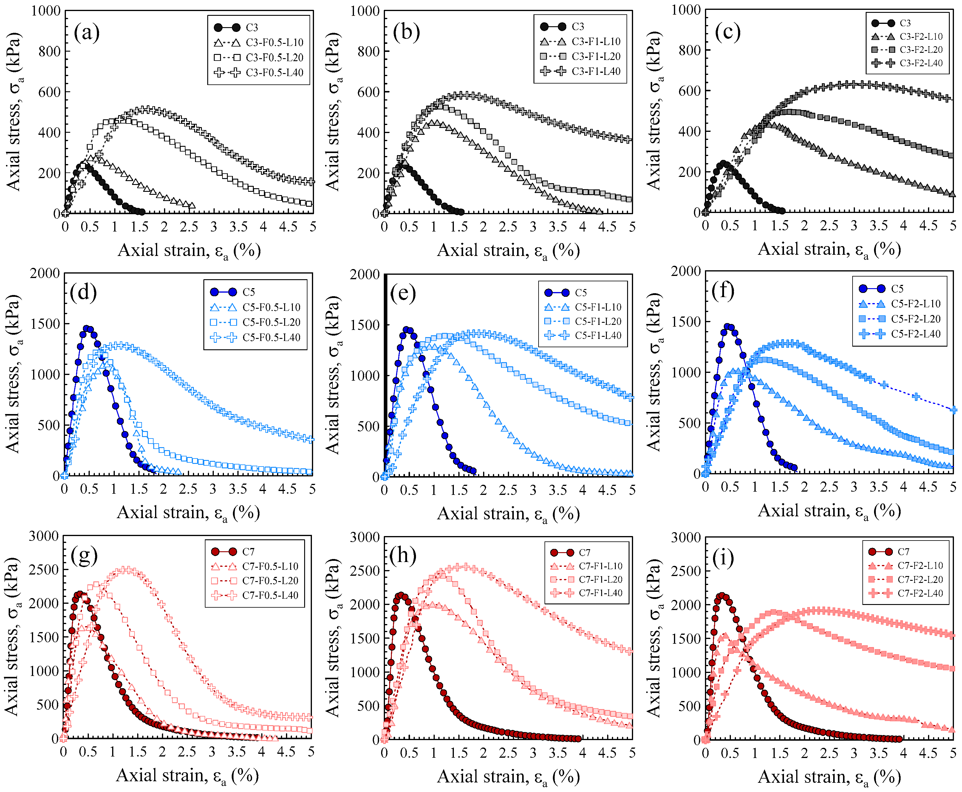
3.1. Stress–Strain Behaviors
- (i)
- The first group consisted of C3-F0.5-L10, C5-F0.5-L10, and C7-F0.5-L10. This group had an insignificantly lower elastic modulus but a lower or equivalent qu with a higher stain at the peak, with minimal qu,εa=5% following the qu but none at εa of 5%, causing semi-brittle samples;
- (ii)
- The second group was C3-F1-L10. Compared to non-reinforced cemented sand of 3%, this group had an insignificantly lower elastic modulus but a higher peak strength and a substantially bigger strain at the peak. It had a small qu,εa=5% following qu, but none at εa of 5%, indicating that the specimens were semi-brittle;
- (iii)
- The third group consisted of C5-F0.5-L20, C5-F0.5-L40, C5-F1-L10, C5-F1-L20, C5-F2-L10,20,40, C7-F1-L10, and C7-F2-L10,20,40. This group had a substantially lower elastic modulus and qu, a bigger strain at the peak, and much qu,εa=5% at εa of 5%, showing that the samples were ductile;
- (iv)
- The fourth group consisted of C3-F0.5-L20,40, C3-F1-L20,40, C3-F2-L10,20,40, C7-F0.5-L20,40, and C7-F1-L20,40. The last group had the lowest elastic modulus and the largest stain at the peak. Still, at εa of 5%, it had the highest qu and the most significant qu,εa=5%, indicating that the samples were ductile.
3.2. Influence of Fiber Content and Fiber Length on qu
3.3. Influence of Fiber Content and Fiber Length on Strain Ratio
3.4. Influence of Fiber Content and Fiber Length on Toughness
4. Failure Pattern
5. Microstructural Observation
6. Empirical Equation of Toughness on Cement and Fiber Effects
7. Conclusions
- The fiber content and length influenced the stress–strain relationships acquired from the unconfined compression test, which could be categorized as semi-brittle materials with and without improved peak strength and as ductile materials with and without enhanced peak strength;
- The non-reinforced cemented sand’s compressive strength indicated brittle failure with increasing cement content. The addition of fiber to the cement-treated sand reduced the brittleness of specimens, and its ductility was raised when the fiber content and fiber length increased;
- The qu of reinforced cemented sand rose when the fiber length increased to roughly 40 mm. The qu of reinforced specimens grew for fiber content as the fiber content was raised to a certain mixing ratio. The qu of reinforced samples reduced as the fiber content exceeded the optimal fiber content. The optimum fiber content for this study was between 0.5 and 1.0%;
- The strain ratio value rose with higher fiber content and length. The strain ratio values of all reinforced cemented sands were higher than 1.0. The bonding of cemented sand and fibers can reduce the postponement in prominent cracks and increase ductility;
- Palm fiber was the most efficient at increasing the toughness of the cemented specimen because of its rigidity and bridging ability. The toughness of the cemented illustration could be successfully enhanced by adding fibers with adequate lengths. The appropriated fiber content and length were 1% and 40 mm, respectively;
- The unreinforced and reinforced specimens with short fiber were typically distorted, with minor bumps and extensive cracks. Because of the existence of ordinary Portland cement and fibers in the soil matrix, the specimen’s ductility was enhanced to a considerable degree. Fiber reinforcement expedited the specimen’s shift to a more ductile failure state;
- The cement treatment enhanced the microstructure because of the cement’s inter-particle connection inside the soil matrix and the resulting structure network. Additionally, the cement’s presence in the fiber–sand mixture increased the binding strength of the soil particle contacts and particle–fiber–fiber contacts, which sped up the fiber reinforcement. Extra cement and fiber decreased the effectiveness of the double reinforcement;
- For applications, fiber inclusion enhances cement-stabilized sand’s compression and flexural responses, which is necessary for bonded construction materials, especially pavement materials. These improvements can be utilized practically in pavement performance and design. Fiber addition enables a pavement structure to carry the load without brittle failure, and this property sometimes even increases after the first crack. A pavement structure’s service life can be extended because of this.
Author Contributions
Funding
Institutional Review Board Statement
Informed Consent Statement
Data Availability Statement
Conflicts of Interest
References
- Punnoi, B.; Arpajirakul, S.; Pungrasmi, W.; Chompoorat, T.; Likitlersuang, S. Use of microbially induced calcite precipitation for soil improvement in compacted clays. Int. J. Geosynth. Ground Eng. 2021, 7, 86. [Google Scholar] [CrossRef]
- Horpibulsuk, S.; Rachan, R.; Suddeepong, A. Assessment of strength development in blended cement admixed Bangkok clay. Constr. Build. Mater. 2011, 25, 1521–1531. [Google Scholar] [CrossRef]
- Tran, K.Q.; Satomi, T.; Takahashi, H. Effect of waste cornsilk fiber reinforcement on mechanical properties of soft soils. Transp. Geotech. 2018, 16, 76–84. [Google Scholar] [CrossRef]
- Chompoorat, T.; Likitlersuang, S.; Thepumong, T.; Tanapalungkorn, W.; Jamsawang, P.; Jongpradist, P. Solidification of sediments deposited in reservoirs with cement and fly ash for road construction. Int. J. Geosynth. Ground Eng. 2021, 7, 85. [Google Scholar] [CrossRef]
- Bakaiyang, L.; Madjadoumbaye, J.; Boussafir, Y.; Szymkiewicz, F.; Duc, M. Reuse in road construction of a Karal-type clay-rich soil from North Cameroon after a lime/cement mixed treatment using two different limes. Case Stud. Constr. Mater. 2021, 15, e00626. [Google Scholar] [CrossRef]
- Chindaprasirt, P.; Jamsawang, P.; Sukontasukkul, P.; Jongpradist, P.; Likitlersuang, S. Comparative mechanical performances of cement-treated sand reinforced with fiber for road and pavement applications. Transp. Geotech. 2021, 30, 100626. [Google Scholar] [CrossRef]
- Jamsawang, P.; Suansomjeen, T.; Sukontasukkul, P.; Jongpradist, P.; Bergado, D.T. Comparative flexural performance of compacted cement-fiber-sand. Geotext. Geomembr. 2018, 46, 414–425. [Google Scholar] [CrossRef]
- Kim, B.; Kim, Y. Strength characteristics of cemented sand–bentonite mixtures with fiber and metakaolin additions. Mar. Georesour. Geotechnol. 2017, 53, 414–425. [Google Scholar] [CrossRef]
- Wang, L.; Guo, F.; Yang, H.; Wang, Y.; Tang, S. Comparison of fly ash, PVA fiber, MgO and shrinkage-reducing admixture on the frost resistance of face slab concrete via pore structural and fractal analysis. Fractals 2021, 29, 2140002. [Google Scholar] [CrossRef]
- Wang, L.; Zeng, X.; Li, Y.; Yang, H.; Tang, S. Influences of MgO and PVA fiber on the abrasion and cracking resistance, pore structure and fractal features of hydraulic concrete. Fractal Fract. 2022, 6, 674. [Google Scholar] [CrossRef]
- Iamchaturapatr, J.; Piriyakul, K.; Petcherdchoo, A. Characteristics of sandy soil treated using EICP-based urease enzymatic acceleration method and natural hemp fibers. Case Stud. Constr. Mater. 2022, 16, e00871. [Google Scholar] [CrossRef]
- Yixian, W.; Panpan, G.; Shengbiao, S.; Haiping, Y.; Binxiang, Y. Study on strength influence mechanism of fiber-reinforced expansive soil using jute. Geotech. Geol. Eng. 2016, 34, 1079–1088. [Google Scholar] [CrossRef]
- de Azevedo, A.R.G.; Marvila, M.T.; Zanelato, E.B.; Alexandre, J.; Xavier, G.C.; Cecchin, D. Development of mortar for laying and coating with pineapple fibers. Rev. Bras. Eng. Agríc. Ambient. 2020, 24, 187–193. [Google Scholar] [CrossRef]
- Marvila, M.T.; Rocha, H.A.; de Azevedo, A.R.G.; Colorado, H.A.; Zapata, J.F.; Vieira, C.M.F. Use of natural vegetable fibers in cementitious composites: Concepts and applications. Innov. Infrastruct. Solut. 2021, 6, 180. [Google Scholar] [CrossRef]
- de Azevedo, A.R.G.; Lima, T.E.S.; Reis, R.H.M.; Oliveira, M.S.; Candido, V.S.; Monteiro, S.N. Guaruman fiber: A promising reinforcement for cement-based mortars. Case Stud. Constr. Mater. 2022, 16, e01029. [Google Scholar] [CrossRef]
- Marandi, S.M.; Bagheripour, M.H.; Rahgozar, R.; Zare, H. Strength and ductility of randomly distributed palm fibers reinforced silty-sand soils. Am. J. Appl. Sci. 2008, 5, 209–220. [Google Scholar] [CrossRef]
- Ahmad, F.; Bateni, F.; Azmi, M. Performance evaluation of silty sand reinforced with fibres. Geotext. Geomembr. 2010, 28, 93–99. [Google Scholar] [CrossRef]
- Festugato, L.; Menger, E.; Benezra, F.; Kipper, E.A.; Consoli, N.C. Fibre-reinforced cemented soils compressive and tensile strength assessment as a function of filament length. Geotext. Geomembr. 2016, 45, 77–82. [Google Scholar] [CrossRef]
- ASTM D5102; Standard Test Methods for Unconfined Compressive Strength of Compacted Soil-Lime Mixtures. ASTM International: West Conshohocken, PA, USA, 2009.
- Park, S.S. Effect of fiber reinforcement and distribution on unconfined compressive strength of fiber-reinforced cemented sand. Geotext. Geomembr. 2009, 27, 162–166. [Google Scholar] [CrossRef]
- Tang, C.; Shi, B.; Gao, W.; Chen, F.; Cai, Y. Strength and mechanical behavior of short polypropylene fiber reinforced and cement stabilized clayey soil. Geotext. Geomembr. 2017, 25, 194–202. [Google Scholar] [CrossRef]
- Sadek, S.; Najjar, S.; Abboud, A. Compressive strength of fiber-reinforced lightly-cement stabilized sand. In Proceedings of the 18th International Conference on Soil Mechanics and Geotechnical Engineering, Paris, France, 2–6 September 2013; pp. 2593–2596. [Google Scholar]
- Sharma, V.; Vinayak, H.K.; Marwaha, B.M. Enhancing compressive strength of soil using natural fibers. Constr Build Mater. 2015, 93, 943–949. [Google Scholar] [CrossRef]
- Chen, M.; Shen, S.L.; Arulrajah, A.; Wu, H.N.; Hou, D.W.; Xu, Y.S. Laboratory evaluation on the effectiveness of polypropylene fibers on the strength of fiber reinforced and cement-stabilized Shanghai soft clay. Geotext. Geomembr. 2015, 43, 515–523. [Google Scholar] [CrossRef]
- Anggraini, V.; Asadi, A.; Huat, B.B.K.; Nahazanana, H. Effects of coir fibers on tensile and compressive strength of lime treated soft soil. Measurement 2015, 59, 372–381. [Google Scholar] [CrossRef]















| Properties | Values |
|---|---|
| Physical and gradation properties | |
| Specific Gravity, Gs (-) | 2.66 |
| D10, D30, D60 (mm) | 0.27, 0.47, 0.86 |
| Coefficient of uniformity, Cu | 3.24 |
| Coefficient of gradation, Cc | 0.97 |
| USCS classification | SP |
| Compaction characteristics using modified effort | |
| Maximum dry density, (kN/m3) | 19.5 |
| Optimum moisture content, (%) | 10.50 |
| Oxide | Common Name | Content (%) |
|---|---|---|
| SiO2 | Silica | 20.61 |
| Al2O3 | Alumina | 5.03 |
| Fe2O3 | Iron | 3.03 |
| SO3 | Sulfuric anhydrite | 2.70 |
| CaO | Lime | 64.89 |
| MgO | Magnesia | 1.43 |
| Specific gravity (-) | - | 3.15 |
| Loss of ignition (%) | - | 1.23 |
| Classification | - | Ordinary Portland cementtype I—grade 53 |
| Properties | Values |
|---|---|
| Color | White |
| Length before cutting (mm) | 10–80 |
| Shapes | Straight |
| Section | Circular |
| Average diameter (mm) | 0.60 |
| Specific gravity (-) | 1.91 |
| Tensile strength (MPa) | 4.80 |
| Elongation at break (%) | 29 |
| Symbol | Cement Content (%) | Fiber Content (%) | Fiber Length (mm) |
|---|---|---|---|
| C3 | 3 | - | - |
| C3-F0.5-L10 | 0.5 | 10 | |
| C3-F0.5-L20 | 20 | ||
| C3-F0.5-L40 | 40 | ||
| C3-F1-L10 | 1 | 10 | |
| C3-F1-L20 | 20 | ||
| C3-F1-L40 | 40 | ||
| C3-F2-L10 | 2 | 10 | |
| C3-F2-L20 | 20 | ||
| C3-F2-L40 | 40 | ||
| C5 | 5 | - | - |
| C5-F0.5-L10 | 0.5 | 10 | |
| C5-F0.5-L20 | 20 | ||
| C5-F0.5-L40 | 40 | ||
| C5-F1-L10 | 1 | 10 | |
| C5-F1-L20 | 20 | ||
| C5-F1-L40 | 40 | ||
| C5-F2-L10 | 2 | 10 | |
| C5-F2-L20 | 20 | ||
| C5-F2-L40 | 40 | ||
| C7 | 7 | - | - |
| C7-F0.5-L10 | 0.5 | 10 | |
| C7-F0.5-L20 | 20 | ||
| C7-F0.5-L40 | 40 | ||
| C7-F1-L10 | 1 | 10 | |
| C7-F1-L20 | 20 | ||
| C7-F1-L40 | 40 | ||
| C7-F2-L10 | 2 | 10 | |
| C7-F2-L20 | 20 | ||
| C7-F2-L40 | 40 |
Disclaimer/Publisher’s Note: The statements, opinions and data contained in all publications are solely those of the individual author(s) and contributor(s) and not of MDPI and/or the editor(s). MDPI and/or the editor(s) disclaim responsibility for any injury to people or property resulting from any ideas, methods, instructions or products referred to in the content. |
© 2023 by the authors. Licensee MDPI, Basel, Switzerland. This article is an open access article distributed under the terms and conditions of the Creative Commons Attribution (CC BY) license (https://creativecommons.org/licenses/by/4.0/).
Share and Cite
Buathong, P.; Chompoorat, T.; Jongpradist, P.; Chen, X.; Jamsawang, P. Effect of Palm Fiber Reinforcement on the Unconfined Compressive Performance of Cement-Treated Sand. Sustainability 2023, 15, 8607. https://doi.org/10.3390/su15118607
Buathong P, Chompoorat T, Jongpradist P, Chen X, Jamsawang P. Effect of Palm Fiber Reinforcement on the Unconfined Compressive Performance of Cement-Treated Sand. Sustainability. 2023; 15(11):8607. https://doi.org/10.3390/su15118607
Chicago/Turabian StyleBuathong, Phermphorn, Thanakorn Chompoorat, Pornkasem Jongpradist, Xiaobin Chen, and Pitthaya Jamsawang. 2023. "Effect of Palm Fiber Reinforcement on the Unconfined Compressive Performance of Cement-Treated Sand" Sustainability 15, no. 11: 8607. https://doi.org/10.3390/su15118607
APA StyleBuathong, P., Chompoorat, T., Jongpradist, P., Chen, X., & Jamsawang, P. (2023). Effect of Palm Fiber Reinforcement on the Unconfined Compressive Performance of Cement-Treated Sand. Sustainability, 15(11), 8607. https://doi.org/10.3390/su15118607

