Energy Systems and Energy Sharing in Traditional and Sustainable Archetypes of Urban Developments
Abstract
:1. Introduction
2. Methods
2.1. Neighborhoods Design
2.1.1. Design of Building Clusters (BCs)
- MU1: consists of 24 detached single-family houses and a primary school.
- MU2: contains six low-rise apartment buildings (of three floors) and a secondary school.
- CC1: is a low-density commercial development containing a supermarket, a large retail complex, and two small standalone retail stores, two fast-food restaurants, a full restaurant, a small office, and a medium office.
- CC2: similar to CC1, this neighborhood contains only commercial buildings, but with higher density. It consists of a large office and a medium office, a large retail complex, a supermarket, a large hotel, a full restaurant, and a fast-food restaurant.
- MU3: is a highly mixed neighborhood including residential and commercial buildings, representing models of downtown core urban areas. It includes a large office, a medium office, a large retail complex, a supermarket, a large hotel, a full restaurant, a fast-food restaurant, and three apartment buildings (20 floors each).
- MU4: represents a special type of development that includes a hospital, a small hotel, four apartment buildings (10 floors each), a small retail store, two medium offices, a full restaurant, and a fast-food restaurant.
2.1.2. Design of Sustainable Neighborhood Units
- Core cluster archetype (CR): This core archetype includes the basic combination of residential buildings and amenities. It contains several detached and attached houses, a small retail store, a small office, a fast-food restaurant, and a full restaurant.
- Residential/institutional archetype (CR/I): This archetype includes institutional building (primary or secondary school) in addition to different other types of buildings. Two variations are designed within this:
- ○
- CR/I (V1): attached houses and medium-rise apartment buildings, a primary school, small office, convenience store, a fast-food restaurant, and a full restaurant.
- ○
- CR/I (V2): the second variation of this development contains higher density, composed of mid-rise apartment buildings with a secondary school, small office, medium office, two restaurants, and a convenience store.
- Residential/commercial archetype (MU-S): Containing five mid-rise apartment buildings of four floors, a medium office, a large retail store, a supermarket, four restaurants, and a small hotel.
- Particular commercial/institutional archetype: This kind of archetypes consists of a concentrated business district featuring a special type of building such as large hotel or a hospital. Two variations are designed:
- ○
- MU-P (V1): containing a medium office, a small hotel, a hospital, four restaurants (two full restaurants and two fast-food restaurants), a small retail store, and four apartment buildings of 15 floors each.
- ○
- MU-P (V2): containing a large office, a large hotel, four restaurants (two full restaurants and two fast-food restaurants), a large retail store, and four apartment buildings of 20 floors each.
2.2. Energy Performance Investigation
- The population is estimated assuming occupancy of 2.5 per residential unit (for all types of residential buildings single detached, attached, and apartments [37]).
- The dynamic occupancy schedules for residential and commercial buildings are assumed as per ASHRAE Advanced Energy Design Guides (AEDG), ASHRAE 62.1, and recommendations by the simulation working group of ASHRAE 90.1 (refer [38] for more details). Further details about other schedules such as ventilation, HVAC, lighting, hot water, etc. are also referred to in [38].
- Energy use intensity (EUI) includes electrical loads (electricity used for equipment, appliances, and cooling) except for equipment employed for space heating and domestic hot water (DHW). These calculations are made using the EnergyPlus simulation engine by setting up energy models for various BC and NU configurations.
- Heating load is assumed to be served by non-electrical systems (i.e., natural gas or district heating) with an efficiency of 80%.
2.2.1. Diversity Index
2.2.2. Energy Performance Indices
- Electricity use index (EUI): This is defined as annual usage of electricity per unit of total cluster/neighborhood unit (BC/NU) floor area (sum of floor areas of all buildings within given BC or NU). As mentioned above, the electricity usage includes all demands except space heating and DHW, as these loads are assumed to be met using non-electrical systems. Similar to the diversity index, by dividing the EUI of a given BC/NU to maximum EUI among all the BCs/NUs, the normalized value of EUI (termed as EUIn) is calculated.
- Thermal load index (TUI): This is a measure used to calculate load per unit area for a given BC/NU. Heat load is a summation of space heating and DHW loads. Moreover, for comparison purposes, the normalized value (TUIn) is calculated by dividing individual TUI with the maximum TUI value for all BCs and NUs.
- Onsite generation index (OGI): Onsite energy generation resources include renewable energy sources (RES) and alternative energy resources (AES). Vertical wind turbines and roof/façade installed PV are considered as onsite RES to generate electricity. For the installation of these RES, potential surfaces are identified within a given BC/NU. While the potential façade and roof areas are identified for the installation of PV panels, roof areas can be also used for solar thermal collectors (STC) depending on the optimization of energy resources (as explained below). The potential of AES consisting of waste to energy (in this work) is calculated based on the waste disposal of each BC/NU. The maximum capacities for the installation of RES and AES are presented in Table 1.
- Ratio of performance (RoP): It is defined as the ratio of onsite generation potential to the electricity consumption of a given BC or NU. A value equal to 1 represents net-zero energy status, whereas a number greater than 1 is suggestive of energy positive status.
2.3. Optimization Methodology
2.3.1. Optimization of Energy Resources
2.3.2. Energy Sharing Multiplier Optimization
3. Results
3.1. Comparison of Building Clusters and Neighborhood Units
3.2. Optimization of Energy Resources Mix
- (i)
- The WtE-CHP generation of a BC/NU is limited to the respective community waste disposal.
- (ii)
- The WtE-CHP generation is not restricted to waste disposal by the specific community, aiming at achieving net-zero status.
3.2.1. Individual Optimization of BCs
3.2.2. Individual Optimization of NUs
3.3. Energy Sharing Optimization
3.3.1. Building Clusters Energy Sharing Optimization
3.3.2. Energy Sharing Optimization of Neighborhood Units
4. Discussion
4.1. Comparison of BCs and NUs
- Measuring the diversity of building types within the BCs and NUs, employing a diversity index (DI), indicates that the arrangement of NUs is better than BCs. The DI for BCs ranges between 0.17 and 0.54, where its value lies between 0.36 and 0.92 for the NUs. Hence the NUs, implementing various sustainable considerations in the selection of building types, have more diverse usage of buildings.
- Comparing the normalized electricity use index (EUIn) between the BCs and NUs (with similar DI) suggests better performance of the NUs. The highest EUIn value is 1 for the building clusters as compared to its highest value of 0.65 in the neighborhood units.
- The normalized heating load index (TUIn) suggests better performance of NUs as compared to the BCs. The value of this index lies between 0.36 and 1.00 for BCs and 0.39 to 0.70 for NUs.
- Onsite generation opportunities are significantly better in the case of NUs. Except for CC-1 and MU-1 (in the BCs), the normalized onsite generation index (OGIn) for all other BCs varies between 0.17 and 0.30. At the same time, the energy consumption for CC-1 is significantly high with a low diversity index (as it mainly includes commercial buildings). On the other hand, OGIn for the neighborhood units (NUs) ranges from 0.12 to 0.56 with improved diversity index and less energy consumption (e.g., OGIn of 0.12 is associated with a high DI of 0.92).
- The energy performance analysis of both sets of developments (BCs and NUs) represented by the ratio of performance (RoP) indicates an overall better performance of the NUs. For example, although MU-1 (in the BCs) has the highest RoP value of 3.16, this cluster has the lowest DI (of 0.17), being a low density and low usage diversity cluster (detached houses and primary school). For the neighborhood units, the highest RoP of 1.91 is associated with the CR neighborhood unit, having a DI of 0.36. Comparing BCs and NUs with similar DI, the RoP of the neighborhood CR/I (V1) is 2.7 times higher than the cluster CC2.
4.2. Optimization of Energy Mix
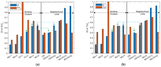
- Analyzing the electrical performance of the building clusters, MU-1 and CC-1 are electrically positive clusters, whereas MU-3, MU-4, and CC-2 are unable to meet their electrical need using onsite energy resources. The electrical deficit varies between 47.2 × 105 and 50.7 × 105 kWh (48% to 56% of total annual electricity demand). Accordingly, a significant amount of waste varying from 7264 t to 7796 t is required to be imported from outside these clusters to satisfy the electricity demand.
- The study of the thermal energy performance of building clusters indicates that MU-2, MU-3, MU-4, and CC-2 experience a deficit of thermal energy (ranging from 14.5 × 105 to 51.4 × 105 kWh, or 64% and 82% thermal deficiency in comparison with the annual demand), while MU-1 and CC-1 are self-sufficient.
- Assuming that WtE-CHP generation is not restricted by the amount of waste disposal in a cluster, not only the electrical demand of clusters can be fulfilled, but a significant surplus of thermal energy can be generated for MU-3, MU-4, and CC-2 clusters. This surplus heat is between 48 × 105 and 52 × 105 kWh, which is calculated as heat available for extraction from BTES (equivalent to 50% of heat charged). This surplus heat can supply to neighboring urban setups.
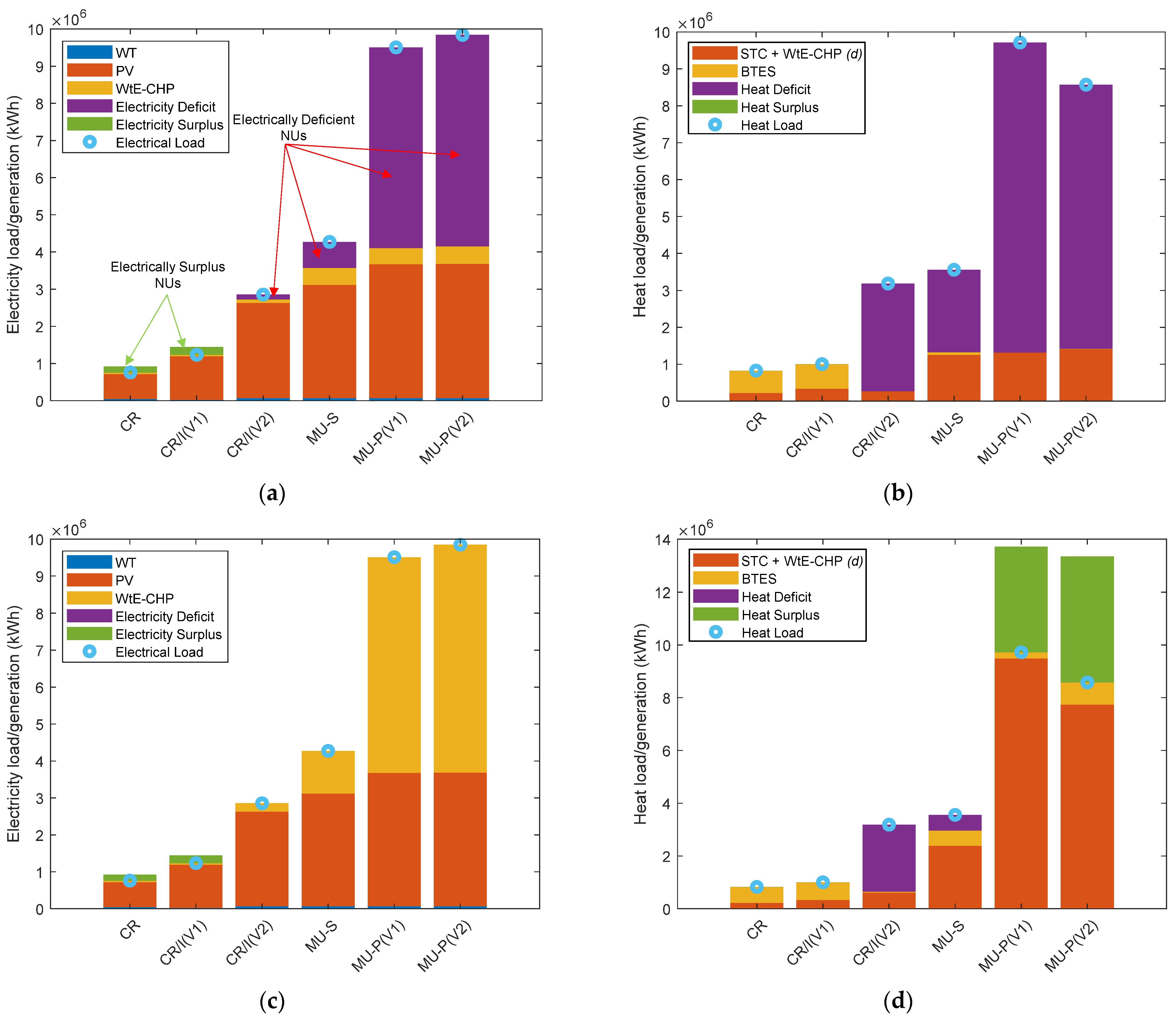
- The study of the electrical performance of the neighborhood units indicates that CR/I(V2), MU-S, MU-P(V1), and MU-P(V2) are electrically deficient clusters. The electrical energy deficit ranges from 1.3 × 105 to 56.9 × 105 kWh. Electrical deficit to demand percentage varies from 5% (for CR/I (V2)) to 58% (for MU-P (V2)). To meet this electrical load, additional waste volumes varying from 200 t to 8759 t should be imported to increase the WtE-CHP production. These four Nus are also heat deficient (from 22.3 × 105 to 84.0 × 105 kWh, or 63% to 91% shortfall in thermal generation as compared to the annual demand). On the other hand, CR and CR/I (V1) neighborhoods are electrically positive and self-sufficient in meeting the thermal load.
- Keeping no limit on WtE-CHP generation, electrical needs of CR/I (V2), MU-S, MU-P (V1), and MU-P (V2) can be met. For the neighborhood units MU-P (V1) and MU-P (V2), more than half of the electrical demand is met using WtE-CHP. NUs such as MU-P (V1) and MU-P (V2) generate a significant amount of surplus heat that can be supplied to neighboring clusters.
4.3. Energy Sharing Optimization
- A total of 23 building clusters needs to be coupled together to achieve a net-zero electrical status of all the studied BCs, jointly considered. This includes the combination of multiple electrically positive BCs (such as those characterized by a low diversity index). In such a combination of clusters, PV is the major source of electrical generation (90.2%), whereas the contributions of WtE-CHP and WT are 7.2% and 2.6%, respectively. Other optimal combinations include one building cluster with a large energy deficit and multiple electrically positive BCs.
- In the case of the neighborhood units, a total of 20 clusters needs to be combined to satisfy the electrical demand of all the studied NUs (jointly considered). This includes one cluster of each of the high density, high diversity NUs (e.g., MU-P (V1), MU-P (V2), MU-S, and CR/I (V2)), and multiple lower density and low diversity NUs (i.e., 8 CR and 8 CR/I (V1)). PV generates 91.7% of the total annual electricity demands, whereas the contributions of WtE-CHP and WT are 4.9% and 3.4%, respectively. Other optimal combinations include fewer numbers of NUs, such as one NU with high electrical load, coupled to a single or multiple electrically positive NUs.
- The thermal load of all combinations, both for the building clusters and neighborhood units is not satisfied from onsite resources. An alternative source of thermal energy needs to be employed to satisfy this load, for space heating and domestic hot water. Natural gas is employed in this work to supply around 79% of the thermal load for the BC combinations of 23 clusters, and about 83% of the NUs combination of 20 clusters. Other lower impact strategies can be investigated in the future to further reduce the environmental impact of these communities.
5. Conclusions
Author Contributions
Funding
Institutional Review Board Statement
Informed Consent Statement
Data Availability Statement
Conflicts of Interest
Nomenclature
| AES | alternative energy resources |
| BC | building cluster |
| BTES | borehole thermal energy storage |
| CN | cluster number |
| CC | commercial cluster |
| CR | core cluster archetype |
| CR/I | residential/institutional archetype |
| DI | diversity index |
| EC | energy credits [kWh] |
| EUI | electricity use index [kWh/m2-y] |
| LED | light-emitting diode |
| MU | mixed-use |
| MU-S | residential/commercial archetype |
| NG | natural gas |
| NU | neighborhood unit |
| OGI | onsite generation index |
| PM | population measure |
| PV | photovoltaics |
| Q | thermal load [kWh] |
| RES | renewable energy sources |
| RoP | ratio of performance |
| STC | solar thermal collectors |
| TUI | thermal use index [kWh/m2-y] |
| UM | building usage/type measure |
| WT | wind turbines (vertical axis) |
| WtE-CHP | waste-to-energy combined heat and power |
| Subscripts | |
| cum | cumulative |
| h | hour |
| n | normalized value |
| Symbols | |
| Δ | deficit |
References
- Perry, C.A. City planning for neighborhood life. Soc. F. 1929, 8, 98. [Google Scholar] [CrossRef]
- Wellman, B.; Leighton, B. Networks, neighborhoods, and communities: Approaches to the study of the community question. Urban Aff. Q. 1979, 14, 363–390. [Google Scholar] [CrossRef]
- Zhang, X.; Lovati, M.; Vigna, I.; Widén, J.; Han, M.; Gal, C.; Feng, T. A review of urban energy systems at building cluster level incorporating renewable-energy-source (RES) envelope solutions. Appl. Energy 2018, 230, 1034–1056. [Google Scholar] [CrossRef]
- Strasser, H.; Kimman, J.; Koch, A.; am Tinkhof, O.M.; Müller, D.; Schiefelbein, J.; Slotterback, C. IEA EBC annex 63–implementation of energy strategies in communities. Energy Build. 2018, 158, 123–134. [Google Scholar] [CrossRef]
- Walker, S.; Labeodan, T.; Boxem, G.; Maassen, W.; Zeiler, W. An assessment methodology of sustainable energy transition scenarios for realizing energy neutral neighborhoods. Appl. Energy 2018, 228, 2346–2360. [Google Scholar] [CrossRef]
- Behfar, A.; Alam, M.M.R.; Shahmoradi, R.; Tadi, M.; Vahabzadeh, S. Optimizing energy performance of a neighborhood via IMM® methodology: Case Study of Barcelona. J. Energy 2013, 7, 74–85. [Google Scholar]
- Hachem-Vermette, C.; Singh, K. Developing an optimization methodology for urban energy resources mix. Appl. Energy 2020, 269, 115066. [Google Scholar] [CrossRef]
- Singh, K.; Hachem-vermette, C. Economical energy resource planning to promote sustainable urban design. Renew. Sustain. Energy Rev. 2021, 137, 110619. [Google Scholar] [CrossRef]
- Hofierka, J.; Kaňuk, J. Assessment of photovoltaic potential in urban areas using open-source solar radiation tools. Renew. Energy 2009, 34, 2206–2214. [Google Scholar] [CrossRef]
- Freitas, S.; Catita, C.; Redweik, P.; Brito, M.C. Modelling solar potential in the urban environment: State-of-the-art review. Renew. Sustain. Energy Rev. 2015, 41, 915–931. [Google Scholar] [CrossRef]
- Gagliano, A.; Nocera, F.; Patania, F.; Capizzi, A. Assessment of micro-wind turbines performance in the urban environments: An aided methodology through geographical information systems. Int. J. Energy Environ. Eng. 2013, 4, 43. [Google Scholar] [CrossRef] [Green Version]
- Kammen, D.M.; Sunter, D.A. City-integrated renewable energy for urban sustainability. Science 2016, 352, 922–928. [Google Scholar] [CrossRef] [PubMed] [Green Version]
- Amini, H.R.; Reinhart, D.R. Regional prediction of long-term landfill gas to energy potential. Waste Manag. 2011, 31, 2020–2026. [Google Scholar] [CrossRef]
- McLeskey, J.T.; Terziotti, L.T.; Sweet, M.L. Modeling seasonal solar thermal energy storage in a large urban residential building using TRNSYS 16. Energy Build. 2012, 45, 28–31. [Google Scholar] [CrossRef]
- Rey, E. Integration of energy issues into the design process of sustainable neighborhoods. In Proceedings of the PLEA 2006, 23rd international Conference on Passive and Low Energy Architecture, Geneva, Switzerland, 6–8 September 2006; pp. 679–682. [Google Scholar]
- Osdoba, T.; Dunn, E.; Van Hemert, H.; Love, J. The role of district energy in greening existing neighborhoods: A primer for policy makers and local government officials. WIT Trans. Ecol. Environ. 2011, 143, 217–227. [Google Scholar]
- Connolly, D.; Lund, H.; Mathiesen, B.V.; Werner, S.; Möller, B.; Persson, U.; Boermans, T.; Trier, D.; Østergaard, P.A.; Nielsen, S. Heat Roadmap Europe: Combining district heating with heat savings to decarbonise the EU energy system. Energy Policy 2014, 65, 475–489. [Google Scholar] [CrossRef]
- Bai, Z.; Liu, Q.; Hong, H.; Jin, H. New solar-biomass power generation system integrated a two-stage gasifie. Appl. Energy 2017, 194, 310–319. [Google Scholar] [CrossRef]
- Ala-Juusela, M.; Crosbie, T.; Hukkalainen, M. Defining and operationalising the concept of an energy positive neighbourhood. Energy Convers. Manag. 2016, 125, 133–140. [Google Scholar] [CrossRef] [Green Version]
- O’Dwyer, E.; Pan, I.; Acha, S.; Shah, N. Smart energy systems for sustainable smart cities: Current developments, trends and future directions. Appl. Energy 2019, 237, 581–597. [Google Scholar] [CrossRef] [Green Version]
- Dai, R.; Hu, M.; Yang, D.; Chen, Y. A collaborative operation decision model for distributed building clusters. Energy 2015, 84, 759–773. [Google Scholar] [CrossRef]
- Mavromatidis, G.; Orehounig, K.; Carmeliet, J. Uncertainty and global sensitivity analysis for the optimal design of distributed energy systems. Appl. Energy 2018, 214, 219–238. [Google Scholar] [CrossRef]
- Mostafavi Sani, M.; Mostafavi Sani, H.; Fowler, M.; Elkamel, A.; Noorpoor, A.; Ghasemi, A. Optimal energy hub development to supply heating, cooling, electricity and freshwater for a coastal urban area taking into account economic and environmental factors. Energy 2022, 238, 121743. [Google Scholar] [CrossRef]
- Koirala, B.P.; Koliou, E.; Friege, J.; Hakvoort, R.A.; Herder, P.M. Energetic communities for community energy: A review of key issues and trends shaping integrated community energy systems. Renew. Sustain. Energy Rev. 2016, 56, 722–744. [Google Scholar] [CrossRef] [Green Version]
- Singh, K.; Hachem-Vermette, C. Energy sharing between sustainable residential and conventional commercial buildings cluster. In Proceedings of the 35th PLEA Conference: Planning Post Carbon Cities, A Coruña, Spain, 1–3 September 2020. [Google Scholar]
- Rastegar, M.; Fotuhi-Firuzabad, M. Load management in a residential energy hub with renewable distributed energy resources. Energy Build. 2015, 107, 234–242. [Google Scholar] [CrossRef]
- Hanafizadeh, P.; Eshraghi, J.; Ahmadi, P.; Sattari, A. Evaluation and sizing of a CCHP system for a commercial and office buildings. J. Build. Eng. 2016, 5, 67–78. [Google Scholar] [CrossRef]
- Li, L.; Mu, H.; Li, N.; Li, M. Economic and environmental optimization for distributed energy resource systems coupled with district energy networks. Energy 2016, 109, 947–960. [Google Scholar] [CrossRef]
- Ma, S.; Zhou, D.; Zhang, H.; Weng, S.; Shao, T. Modeling and operational optimization based on energy hubs for complex energy networks with distributed energy resources. J. Energy Resour. Technol. 2019, 141, 022002. [Google Scholar] [CrossRef]
- Qi, H.; Yue, H.; Zhang, J.; Lo, K.L. Optimisation of a smart energy hub with integration of combined heat and power, demand side response and energy storage. Energy 2021, 234, 121268. [Google Scholar] [CrossRef]
- Ghanbari, A.; Karimi, H.; Jadid, S. Optimal planning and operation of multi-carrier networked microgrids considering multi-energy hubs in distribution networks. Energy 2020, 204, 117936. [Google Scholar] [CrossRef]
- Falke, T.; Krengel, S.; Meinerzhagen, A.K.; Schnettler, A. Multi-objective optimization and simulation model for the design of distributed energy systems. Appl. Energy 2016, 184, 1508–1516. [Google Scholar] [CrossRef]
- Ren, H.; Zhou, W.; Nakagami, K.; Gao, W.; Wu, Q. Multi-objective optimization for the operation of distributed energy systems considering economic and environmental aspects. Appl. Energy 2010, 87, 3642–3651. [Google Scholar] [CrossRef]
- Tooryan, F.; HassanzadehFard, H.; Collins, E.R.; Jin, S.; Ramezani, B. Optimization and energy management of distributed energy resources for a hybrid residential microgrid. J. Energy Storage 2020, 30, 101556. [Google Scholar] [CrossRef]
- Hachem-Vermette, C.; Singh, K. Optimization of energy resources in various building cluster archetypes. Renew. Sustain. Energy Rev. 2022, 157, 112050. [Google Scholar] [CrossRef]
- National Renewable Energy Laboratory (NREL) EnergyPlus. Available online: https://energyplus.net/ (accessed on 28 November 2018).
- Hachem, C.; Grewal, K.S. Investigation of the impact of residential mixture on energy and environmental performance of mixed use neighborhoods. Appl. Energy 2019, 241, 362–379. [Google Scholar] [CrossRef]
- Deru, M.; Field, K.; Studer, D.; Benne, K.; Griffith, B.; Torcellini, P.; Liu, B.; Halverson, M.; Winiarski, D.; Rosenberg, M.; et al. U.S. Department of Energy Commercial Reference Building Models of the National Building Stock; U.S. Department of Energy: Oak Ridge, TN, USA, 2011.
- US Department of Energy Commercial Buildings. Available online: https://www.energy.gov/science-innovation/energy-efficiency/commercial-buildings (accessed on 16 November 2018).










| S. No. | Cluster | WT Maximum Installation | East Façade | South Façade | West Façade | South Roof | West Roof | East Roof | Annual Waste Disposal (t) |
|---|---|---|---|---|---|---|---|---|---|
| Building clusters (BCs) | |||||||||
| Tilt angle | 90° | 90° | 90° | 45° | 15° | 15° | |||
| 1 | MU-1 | 60.0 | 0.0 | 0.0 | 0.0 | 4620.3 | 0.0 | 0.0 | 15.0 |
| 2 | MU-2 | 60.0 | 0.0 | 722.4 | 0.0 | 6036.0 | 0.0 | 0.0 | 118.0 |
| 3 | CC-1 | 60 | 0.0 | 0.0 | 0.0 | 9277 | 450.0 | 225.0 | 556 |
| 4 | CC-2 | 60 | 0.0 | 800 | 0.0 | 9240 | 450.0 | 225.0 | 748 |
| 5 | MU-3 | 60 | 550.0 | 4171 | 0.0 | 10,545 | 0.0 | 0.0 | 1020 |
| 6 | MU-4 | 60 | 0.0 | 3599 | 0.0 | 7772 | 0.0 | 0.0 | 549 |
| Neighborhood units (NUs) | |||||||||
| Tilt angle | 90° | 90° | 90° | 45° | 45° | 45° | |||
| 7 | CR | 60 | 0 | 0 | 0 | 4020 | 0 | 0 | 58 |
| 8 | CR/I(V1) | 60 | 0 | 0 | 0 | 5930 | 0 | 0 | 60 |
| 9 | CR/I(V2) | 60 | 0 | 0 | 0 | 7687 | 0 | 0 | 137 |
| 10 | MU-S | 60 | 0 | 0 | 0 | 9146 | 0 | 0 | 702 |
| 11 | MU-P(V1) | 60 | 1600 | 2880 | 1600 | 6490 | 0 | 0 | 660 |
| 12 | MU-P(V2) | 60 | 1600 | 3390 | 1600 | 6125 | 0 | 0 | 716 |
| Cluster | Total Floor Area | Number Usages | Population | UIn | PIn | DI | EUI (kWh/m2-y) | TUI (kWh/m2-y) | OGI | RoP |
|---|---|---|---|---|---|---|---|---|---|---|
| BCs | ||||||||||
| MU-1 | 9812 | 2 | 60 | 0.33 | 0.04 | 0.17 | 52.4 | 70.0 | 165.4 | 3.16 |
| MU-2 | 27,951 | 2 | 480 | 0.33 | 0.30 | 0.18 | 73.1 | 80.8 | 84.0 | 1.15 |
| CC-1 | 13,315 | 4 | 0 | 0.67 | 0.00 | 0.33 | 204.7 | 172.5 | 277.8 | 1.36 |
| CC-2 | 65,898 | 5 | 0 | 0.83 | 0.00 | 0.42 | 132.6 | 93.3 | 60.9 | 0.46 |
| MU-3 | 68,881 | 6 | 800 | 1.00 | 0.50 | 0.53 | 129.4 | 90.6 | 57.2 | 0.44 |
| MU-4 | 112,917 | 6 | 1200 | 1.00 | 0.75 | 0.54 | 92.9 | 62.0 | 48.0 | 0.52 |
| NUs | ||||||||||
| CR | 9336 | 4 | 100 | 0.67 | 0.06 | 0.36 | 81.3 | 88.4 | 155.4 | 1.91 |
| CR/I(V1) | 14,825 | 4 | 215 | 0.67 | 0.13 | 0.40 | 83.2 | 67.5 | 140.9 | 1.69 |
| CR/I(V2) | 31,442 | 5 | 400 | 0.83 | 0.25 | 0.54 | 90.8 | 101.3 | 86.6 | 0.95 |
| MU-S | 32,224 | 6 | 400 | 1.00 | 0.25 | 0.63 | 132.5 | 110.4 | 111.0 | 0.84 |
| MU-P(V1) | 80,313 | 6 | 1200 | 1.00 | 0.75 | 0.88 | 118.4 | 121.0 | 49.6 | 0.42 |
| MU-P(V2) | 120,578 | 5 | 1600 | 0.83 | 1.00 | 0.92 | 81.6 | 71.1 | 33.4 | 0.41 |
| Electrically Deficit Cluster | Number of EPC Required | Additional Surplus BCs | % of NG Used against Total Thermal Load | ||
|---|---|---|---|---|---|
| MU-4 | 7 | (3) MU-2 | (2) CC-1 | (2) MU-1 | 75.9% |
| MU-3 | 7 | (3) MU-2 | (2) CC-1 | (2) MU-1 | 79.1% |
| CC-2 | 6 | (2) MU-2 | (2) CC-1 | (2) MU-1 | 75.8% |
| Electrically Deficit NUs | Number of EPC Required | Additional Surplus NUs | % of NG Used against Thermal Load | |
|---|---|---|---|---|
| MU-P (V2) | 8 | 4 CR | 4 CR/I (V1) | 80.4% |
| MU-P (V1) | 8 | 4 CR | 4 CR/I (V1) | 81.3% |
| MU-S | 2 | CR | CR/I (V1) | 54.6% |
| CR/I (V2) | 1 | CR | 72.4% | |
Publisher’s Note: MDPI stays neutral with regard to jurisdictional claims in published maps and institutional affiliations. |
© 2022 by the authors. Licensee MDPI, Basel, Switzerland. This article is an open access article distributed under the terms and conditions of the Creative Commons Attribution (CC BY) license (https://creativecommons.org/licenses/by/4.0/).
Share and Cite
Hachem-Vermette, C.; Singh, K. Energy Systems and Energy Sharing in Traditional and Sustainable Archetypes of Urban Developments. Sustainability 2022, 14, 1356. https://doi.org/10.3390/su14031356
Hachem-Vermette C, Singh K. Energy Systems and Energy Sharing in Traditional and Sustainable Archetypes of Urban Developments. Sustainability. 2022; 14(3):1356. https://doi.org/10.3390/su14031356
Chicago/Turabian StyleHachem-Vermette, Caroline, and Kuljeet Singh. 2022. "Energy Systems and Energy Sharing in Traditional and Sustainable Archetypes of Urban Developments" Sustainability 14, no. 3: 1356. https://doi.org/10.3390/su14031356
APA StyleHachem-Vermette, C., & Singh, K. (2022). Energy Systems and Energy Sharing in Traditional and Sustainable Archetypes of Urban Developments. Sustainability, 14(3), 1356. https://doi.org/10.3390/su14031356
