Next Article in Journal
Path Planning of Electric VTOL UAV Considering Minimum Energy Consumption in Urban Areas
Next Article in Special Issue
The Impact of Entrepreneurial Leadership and Ethical Climate on Public Service Motivation in Korea and China: Moderating Role of Confucian Values
Previous Article in Journal
The Influence of Values and Social Environment on Parents’ Environmental Attitudes: Lithuanian Case Study
Previous Article in Special Issue
The Effects of Organizational Justice on Employee Performance Using Dimension of Organizational Citizenship Behavior as Mediation
 
 
Font Type:
Arial Georgia Verdana
Font Size:
Aa Aa Aa
Line Spacing:
Column Width:
Background:
Article

Reduction of Academic Burnout in Preservice Teachers: PLS-SEM Approach

1
School of Life Sciences, Guangxi Normal University, Guilin 541004, China
2
Ideological and Political Work Research Center, Guangxi Normal University, Guilin 541004, China
3
School of Mathematics and Statistics, Guangxi Normal University, Guilin 541004, China
4
School of Mathematical Sciences, Beijing Normal University, Beijing 100875, China
5
School of Science, Beibu Gulf University, Qinzhou 535011, China
6
Pendidikan Guru Pendidikan Anak Usia Dini, Universitas Pahlawan Tuanku Tambusai, Kampar 28412, Indonesia
*
Authors to whom correspondence should be addressed.
These authors contributed equally to this work.
Sustainability 2022, 14(20), 13416; https://doi.org/10.3390/su142013416
Submission received: 8 September 2022 / Revised: 12 October 2022 / Accepted: 13 October 2022 / Published: 18 October 2022

Abstract

Academic stress and burnout are the predominant factors that can negatively affect student performance and sustainable learning. Therefore, it is important to analyze the factors related to student academic burnout in preservice teachers in western China. 212 respondents from public universities in Guangxi Province participated, and the data were analyzed using partial least-squares structural equation modeling (PLS-SEM) to check reliability, validity, and initial hypothesis testing. The results show that perfectionism, excessive self-efficacy, and workload are the main factors causing academic stress and burnout in preservice teachers. These problems can be reduced by increasing self-efficacy and coping strategies of preservice teachers. In addition, this study provides important knowledge to universities based on factors related to preservice teachers’ academic stress and burnout, as well as strategies and solutions to reduce these problems in students.

1. Introduction

Symptoms of stress and depression should be avoided because of their direct negative effect on student outcomes and sustainable well-being [1,2]. This study proves that academic burnout can cause a decrease in student learning outcomes and thinking processes [3,4]. Academic burnout is also predicted to have a positive relationship with other symptoms such as depression, anxiety, and stress [4,5]. Meanwhile, high depressive symptoms were ultimately associated with suicidal intentions [6]. Due to intense competition in the academic field and the world of work, young people experience stress such as symptoms of anxiety [7], depression [8], and panic, affecting academic outcomes in the 21st century, where changes are fast and competitive. Recently, the suicides of Chinese graduate students have become a social discussion [9]. However, graduate students should have a high level of knowledge and good psychological quality, and their intention to commit suicide prevents others from comprehending the real issue. A study involving 21,702 graduate students in 2007 indicated that 6.8% experienced academic stress, and 1.78 had ideas for suicide [9].
The study by Furr et al. [10] showed that 53% of university students had experiences with academic burnout such as stress and depression due to unsatisfactory learning outcomes, finances, interpersonal relationships, and loneliness. The National Health and Morbidity Survey 2017 [11] reported that out of 284,516 respondents, 50% of students at the university level had experienced psychological stress related to exams, problems with supervisors or teachers, as well as problems with family and friends. Similarly, the study in China demonstrated that academic stress scores are significantly higher at the university level. When the expectations are higher and there are no resources or a capacity to handle stress, university students may develop academic burnout. Lack of awareness of coping mechanisms and academic burnout have a negative impact on one’s mental and psychological health [5].
There are many potential solutions and strategies for dealing with academic stress and burnout in university. However, studies on strategies and countermeasures for academic burnout do not exist or may be few. The previous study has discussed mental health problems such as anxiety, stress, and depression [6]. Cheng et al. [9] explained that educational pressure is one of the major problems, and is the main factor causing severe stress to students. In China, the pressure on education continues to increase every year [3,12]. The Chinese government continues to analyze the factors that cause student stress and depression.
In an era of rapid change and intense competition, students are under intense pressure to achieve academically, which results in them staying up late every night to review many courses [13]. Marissa Salanova [4] said that the difference in university students’ self-efficacy and interpretation of stress levels would cause differences in academic burnout. In addition, graduate students who easily adapt to the environment but have poor coping strategies are negatively affected by academic burnout [14,15]. Therefore, this study investigates the relationship between workload factors, academic stress, self-efficacy, perfectionism, and coping strategies.
According to the 2018 PISA study, China is ranked 1st in the world for PISA scores [16]. In addition, the world mathematics Olympiad was won by students from China [17,18]. With this background, the country may try to maintain existing achievements. Preservice teachers, also known as teacher candidates, is the term used to describe student teachers who are enrolled in a teacher education program and are working toward teacher certification. This causes high pressure for mathematics and preservice teachers, leading to academic burnout and stress. They should have high knowledge and abilities to improve mathematical literacy skills, high-order thinking skills and core competencies. Therefore, there is a need to study factors related to preservice mathematics teachers’ academic burnout and strategies to overcome the problem.
Prior empirical investigations looked at the correlation between coping mechanisms, perfectionism, and student burnout among major medical undergraduates in Malaysia [5,19] and high school students [20]. Research on the context of preservice mathematics teachers is still very limited to the best of our knowledge, and findings on the relationship between coping strategies and academic burnout are still inconsistent. Therefore, this study aims to analyze the factors affecting academic burnout among preservice mathematics teachers in West China. It provides important information for lecturers, leaders, and related authorities to understand the potential factors causing academic burnout from the Chinese perspective, offer solutions, and improve preservice teacher well-being.
To achieve the goal, this study uses sources in the literature review related to academic burnout and stress. Furthermore, it determines predictors and uses questionnaires to collect data. Structural equation models are used to test initial hypotheses.
This study is structured as follows: Section 2 describes the literature review and initial hypotheses; Section 3 presents how to collect data, instruments and methods of data processing; in Section 4, the validity and reliability of the questionnaire are tested, followed by hypothesis testing; Section 5 contains the discussion about preservice mathematics teacher academic burnout in detail; Section 6 is a description of the theoretical and practical implications; and the last section outlines the conclusions and limitations.

2. Literature Review

Lazarus and Folkman [21,22] put forward the earliest theory of psychological stress (1984), which is a two-way process of stressors originating from the environment and individual attitudes. Typically, someone will interpret the stress stimuli concerning the surroundings through cognitive evaluation. Lazarus and Folkman [21] explained that cognitive appraisals strongly affect a person’s stress level. There are primary and secondary types of cognitive appraisals. Primary appraisal evaluates and recognizes a person’s stress condition and its relationship with sustainable well-being [5]. Meanwhile, the cognitive appraisal is defined as a person’s ability to think about how to cope with a stressful situation [23]. A secondary evaluation is activated when a person perceives the surrounding environment as threatening or unsettling. It will stimulate cognitive processes in which the individual will seek coping resources to solve the challenge. Coping strategies are experiences or knowledge that someone has based on their past experiences [24,25]. For example, a lecturer announced that 10% of the students would fail and should retake the course next year. The students will start to think and calculate the possibilities of being included. Based on this condition, the secondary appraisal will be active in the next step. Students will start thinking about coping resources, as well as their experience and knowledge to overcome this problem [5]. Therefore, coping with stressful situations is highly dependent on their self-efficacy on a subject [13,26], which is the experience in solving similar problems. Based on the theory and initial concepts of academic primary and secondary cognitive appraisal, this study investigates the factors of preservice mathematics teachers’ secondary appraisal of their psychological well-being.

2.1. Relationship between Decreased Academic Stress, Academic Burnout, and Sustainability

Although studies have been conducted for more than 30 years, avoiding academic burnout and attaining sustainable education are goals rarely accomplished. Further study is needed on the factors that affect stress and burnout in preservice teachers to support sustainable learning. Based on Abdullah [27], these two variables hinder the learning sustainable process. Therefore, strategies are needed to reduce stress, especially at the university level. Fuente [28] suggested a further analysis of coping strategies and self-efficacy in the education process, where these variables are related to student academic stress and the sustainability of teaching and learning. Based on this background, the two objectives are proposed; first, what factors make preservice teacher students experience academic stress and burnout to interfere with sustainable learning? Second, what factors can be improved to reduce academic stress and burnout experienced by preservice teachers?

2.2. Definition of Stress

People who experience stress show physiological symptoms such as headaches, high blood pressure, heart disease, anxiety, and depression, as well as decreased learning satisfaction and interest in learning [4,29]. Furthermore, such people have behavioral attitudes such as being easy to refuse, and not attending class. Models in previous studies describe contextual factors such as environment, workload, organizational and factors related to individuals potentially affecting a person’s stress level [30,31]. It should be noted that the stress model has often been used as one of the powerful basic frameworks related to a person’s psychological well-being in the workplace. However, based on empirical evidence on stress models and academic burnout [32,33,34], workload, academic stress, self-efficacy, perfectionism, and coping strategies should be considered. This study was developed from the model of stress theory by adding two new predictors, workload [35] and academic stress [36], which are considered to directly affect preservice mathematics teachers’ academic burnout. University students experienced high levels of stress and burnout tend to have symptoms such as high blood pressure, insomnia, fatigue, lack of self-confidence, being less productive and dropping out of university [37,38]. Therefore, by using the transactional theory of stress and coping [21] and the model of stress [39], this study analyzes the effects of workload, academic stress, self-efficacy, perfectionism, and coping strategies on preservice mathematics teachers’ burnout (Figure 1).

2.3. Academic Burnout

Burnout can be interpreted as a feeling of losing original purpose and not meeting the demands of the work [40]. It can be characterized in the context of education as students losing interest in studying and being unable to fulfill their responsibilities [26]. This is a special form of stress in which a person feels mentally and physically tired [41]. Academic burnout can be interpreted as chronic stress. Students feel continuous fatigue, frustration and tiredness from the high academic demands. This results in a low attitude and not wanting to learn and relate to school assignments [4].
Several studies have demonstrated that academic burnout causes students’ inability to adjust to school, low academic performance, and inability to deal with campus expectations [42,43]. Students always feel that academic achievement is the main goal, with a high demand, and therefore interferes with physical and mental readiness, and furthermore that participation leads to academic burnout. However, other results were found that married medical students had a lower academic burnout [9,44]. They have clear and strong goals that encourage them mentally to face the workload and pressure from the world of education. Students at the tertiary level with interest in their fields have a lower academic burnout than those with low interest [4,45]. However, the evidence is not strong enough to prove that interest in the subject or program is a significant predictor affecting academic burnout.
Previous studies have demonstrated that academic burnout is associated with heart disease, high blood pressure, and various other diseases [46,47]. It is also related to depression, decreased academic outcomes, absence from class and school dropout [5,14,33]. In addition, a study showed that victims of this condition could be cynical and pessimistic, which can transmit and affect their anxiety and stress to friends. Students with academic burnout are always physically and psychologically weak and cannot face their problems [4,48]. Some try to hide their problems from others and show drastic changes in attitudes in everyday life, such as cheating, not going to class, and looking for outlets for playing games excessively. Moreover, students’ attitudes will be more cynical, uncomfortable, arrogant, moody, and even paranoid [49]. Preservice mathematics teachers are prospective professionals who, after graduation, will teach at the K-12 level [50]. Their attitude and mentality will affect the methods and effectiveness of teaching [51,52]. Therefore, examining the factors affecting the academic burnout of preservice mathematics teachers in China is important.

2.4. Coping Strategies

Coping strategies are defined as constant changes in attitudes and cognition to overcome problems and manage internal and external stress that may burden a person and cause labor effects on individual sustainable well-being [13,53]. Coping is actually a constant cognitive procedure to handle one’s mental as well as psychological wellness [54,55]. Problem solving, as well as psychological techniques, are actually both kinds of these modifications. The very initial technique handles the resource of tension straight, as well as focusing on methods to refix issues.
On the other hand, psychological techniques concentrate on feelings, including efficient approaches like looking for sustenance coming from individuals, soothing down, ducting, and participating in video games excessively, as well as fleeing to alleviate tension directly [56,57]. A previous study revealed that waiting on college trainees along with coping techniques will certainly proactively manage student tension together with issues as chances for self-development as well as self-growing [58,59]. Another study revealed that these, along with emotion-focused coping techniques, were actually discovered to have led to extreme stress and anxiousness as well as scholastic exhaustion [60].
Furthermore, coping can be divided into active coping and disengagement [61]. Active coping is often associated with problem-focused strategies [62,63]. People with this type of coping tend to be aware of the stressor and will try to cite negative outcomes. People who adopt disengagement strategies usually resist and avoid problems. They often engage in activities to help deny problems such as drinking alcohol, sleeping or self-isolating. Some university students stay away when their problems are beyond their capabilities and tend to be resigned and oblivious to their poor academic grades. In addition, they do not spend much time studying and trying to improve their academic values, resulting in helplessness and burnout.
University students that embrace energetic coping techniques are more inspired to take a direct method and handle tension [57]. They will have reduced scholastic exhaustion experiences while sitting exams [64]. Furthermore, energetic coping suggests a favorable reinterpretation of difficult occasions, an essential ability required in youths.
There are still inconsistent findings on the effects of coping strategies and academic burnout [5], and the relationship is largely unexplored but important. Therefore, this study considers coping strategies as one of the important independent variables in analyzing preservice mathematics teachers’ academic burnout.
Hypothesis 1.
Coping strategies have a significant relationship with academic burnout.
Hypothesis 2.
Coping strategies have a significant relationship with academic stress.

2.5. Perfectionism

A perfectionist is a person who always strives for high standards and perfect results, and perfectionism is often coupled with a tendency to be very critical of the behavior of oneself or others [65]. It can be categorized into three dimensions: adaptive, maladaptive, and socially prescribed perfectionism [66,67]. Adaptive perfectionism is a person’s high individual requirements and confidence in lower production errors [68]. Maladaptive perfectionism is a person’s extreme attention to errors and questions regarding the activities of others [69]. On the other hand, socially prescribed perfectionism is referred to as the stress of being ideal and a sensation of harshness in between assumptions and truth, which triggers unfavorable reflections on flaws [70,71].
Previous studies stated that perfectionism has three dimensions of self-oriented, socially oriented and other-oriented perfectionism [71,72]. First, self-oriented perfectionism is more about adhering to one’s strict standards while maintaining a strong intrinsic motivation to achieve perfection and avoid failure. Second, socially oriented perfectionism believes others may judge individual behavior with unrealistically high expectations [71,73]. The conceptualization is almost identical to Frost et al.’s [74] definition. An individual with high socially driven perfectionism will constantly strongly experience outside stress to be ideal and think they are assessed by others seriously. Other-oriented perfectionism is translated as establishing impractical requirements for people and assessing their efficiency routinely [75].
A significant positive effect has been proven between perfectionism and academic burnout [5,31,70]. In particular, perfectionism is the main factor in academic burnout compared to other determinants [76]. University students with adaptive perfectionism tend to have good academic performance compared to those with maladaptive perfectionism, who tend to experience academic burnout [77,78]. Furthermore, those with adaptive perfectionism believe they will succeed and achieve the best academic outcomes, and overcome existing problems and challenges [68]. Maladaptive perfectionists frequently seek to prevent failure rather than looking for techniques to conquer problems [79,80]. Likewise, a previous study has revealed that people with high self-oriented perfectionism have the tendency to accomplish high-performance achievements due to their intrinsic inspiration [81]. Nevertheless, trainees with this kind of perfectionism have the tendency to experience scholastic exhaustion since they might establish impractical and unmanageable objectives [5,45].
Hypothesis 3.
Perfectionism negatively affects preservice mathematics teachers’ academic burnout.

2.6. Self-Efficacy

Self-efficacy is an individual’s assessment of their ability to organize and conduct the actions needed to achieve the specified type of performance [82]. This is a belief which can overcome the demands of stress and challenges in the social learning theory [12]. Bandura emphasized that self-efficacy strongly affects individual choices of rules and activities, abilities, efforts made, and persistence in coping when facing problems or challenges [19,83]. People with high self-efficacy tend to survive when going through difficult times related to tasks [84]. This can simultaneously increase experience and self-efficacy [85]. Moreover, feelings of competition can lead to some stability in reactions to stressful situations, increasing individuals’ confidence in overcoming and getting through difficult times [25].
Based on previous studies, self-efficacy is an important factor related to academic burnout [20,86,87]. Students with high self-efficacy tend to select challenging tasks. They are more persistent and do not despair in completing the given task during many challenges [88]. In addition, the higher the self-efficacy, the lower the anxiety level [25,89]. It is assumed that self-efficacy is an important predictor of academic stress and burnout.
According to social cognitive theory (SCT) [90], self-efficacy strongly correlates with academic burnout [34,46]. In particular, it affects achieving one’s goals (Luszczynska et al., 2005). It is an emotional regulation mechanism for individuals who experience high stress and anxiety when doing difficult work. The high level is inversely proportional to one’s academic burnout [12,89]. Individuals with high levels will be more likely to persevere in times of adversity or failure since every failure opens new opportunities in the future. Based on this literature review, this study proposes preliminary hypotheses that:
Hypothesis 4.
Self-efficacy has a significant negative effect on preservice mathematics teachers’ academic burnout.
Hypothesis 5.
Self-efficacy negatively affects preservice mathematics teachers’ academic stress.

2.7. Workload

The preservice teacher is a job that should combine technological and pedagogical knowledge [91,92]. These teachers are required to have high creativity when teaching, with good mathematical knowledge [93]. Pala [30] showed that academic burnout at the university level increases when students feel a workload with lots of material to review, assignments and other non-academic activities that take time and energy. Additionally, the workload can lead to learning outcomes as a major educational goal [20]. Several studies showed that it strongly affects burnout compared to other factors. Jensen [94] stated that students’ many assignments and activities reduce their interest in learning and motivation. Besides, the style of the lecturer who teaches in a monotonous style makes it difficult to catch the material in class [95]. Even though students experience economic problems and physical conditions, the workload can still be low and within acceptable limits to a certain extent. They can concentrate more on academic performance without participating in numerous extracurricular activities and organizations. Academic burnout is caused by workload, which can be translate to a student having a busy schedule and assignments that should be completed simultaneously [30,96]. In contrast, students do not have time to pamper themselves and get enough rest [97]. The teaching profession is closely related to the high workload, and this is because the teachers need much time to prepare teaching materials, assignments, methods, experiments and games. After class, they still have to evaluate the teaching and check the student’s homework and assignments. This preparation often starts with the preservice teachers, which causes many to experience academic burnout and lower well-being which can interfere with learning sustainability. Furthermore, Chen [26]’s study showed that students experience burnout when many courses are taken beyond their physical abilities. Therefore, the initial hypothesis is:
Hypothesis 6.
Workload has a significant positive relationship with academic stress.
Hypothesis 7.
Workload has a significant positive relationship with academic burnout.

2.8. Academic Stress

Academic stress is more experienced at the university, which causes more burnout compared to other education levels [98,99]. University students face high pressures associated with academic success, which ultimately determines their careers and opportunities after graduation [54]. Mathematics teacher graduates in China are increasing in numbers yearly, unlike the number of schools. They compete to teach in the best schools with high salaries, creating excessive pressure. Burnout and stress differ due to the prolonged duration of stress. At the university level, stress caused by excessive classes, exam difficulties and the number of exams, part-time jobs, workloads, and participation in many campus activities is a crucial determinants of burnout [29,100].
Academic grades are also affected by cumulative stress and lead to burnout, a syndrome with worrying consequences. Few studies have shown the negative effect on university-level students, making further studies important to understand this situation [27,101,102]. The life quality of preservice mathematics teachers is highly dependent on the ability to handle demands related to study. Academic stress and lack of mental resilience as preservice mathematics teachers will result in burnout [31,100]. This is an inability to accept education’s burden and learning’s tiredness-inducing qualities. Therefore, only tough people can control all the knowledge and resources to deal with the burden of education healthily. This study identifies academic stress, which is divided into three sub-constructs, namely physical (SF), psychosocial (SPK), and psychological stress (SPS). The Academic Stress Scale (ASS), developed by James Kohn and Gregory Frazer [103] in 1986, is used to collect data. This study has a preliminary hypothesis:
Hypothesis 8.
Academic stress has a significant positive relationship with burnout.

3. Methodology

3.1. Population and Sample

This study aims to determine the factors associated with academic burnout in preservice mathematics teachers at public universities in Guangxi, China. A purposive sampling method is used where only Chinese preservice teachers can participate. The snowball sampling method was utilized to divide the questionnaire among the respondent’s acquaintances [31]. Furthermore, the criteria included preservice mathematics teachers pursuing full-time education at state universities in China. Based on Green’s rule of thumb [5], the sample size should use the formula N > 50 + 8 m for predictor testing, where N and M represent the number of participants and independent variables. This study has four independent variables: workload, self-efficacy, perfectionism, and coping strategies. Since the original version was adapted from existing results and in English, the questionnaire in this study was modified and adapted according to the context. The detail is presented in Appendix A, provided in English and Chinese versions. Therefore, the sample size is recommended to be greater than 90 participants. According to the principles of the structural equation model, the recommended number of respondents for a lower error probability is larger than 200, and R2 can exceed 50%. The respondents are 212, and they met the sample size criteria with sufficient power to test the initial hypothesis.
This study uses an online questionnaire for data collection purposes. Online questionnaires are considered safer because they are filled by respondents anonymously [104]. This guarantees that respondents only voluntarily fill out this questionnaire. In addition, it supports a larger pool of respondents, such as preservice mathematics teachers from different campuses in Guangxi. The WJX application is an online questionnaire app that is well known and often used for data collection. Initially, this study stated the purpose and guaranteed that the data was confidential and only used for research. Informed consent was obtained from all respondents by oral agreement. The data collected included 212 subjects, consisting of 73 (34.43%) males and 139 (65.56%) females (Table 1). Furthermore, 18 respondents are first-year, 40 respondents are second-year, 53 respondents are third-year, and 101 respondents are fourth-year students.

3.2. Instrumentation

The questionnaire was adapted and combined from several previous articles to maintain high reliability and validity. It uses a 5-point Likert scale from 1 (strongly agree) to 5 (strongly disagree). Additionally, it is divided into two sections of demographic instruments, and a predictor questionnaire which is thought to have a relationship with preservice mathematics teachers’ academic burnout.

3.3. Data Analysis

Partial least-squares (PLS-SEM) is a traditional SEM-processing method for when the existing data does not match the assumptions, and is often used to explore the relationship between dependent and independent latent variables to find new theories or models [105]. The advantage of PLS-SEM is that it can be used in various conditions without referring to the sample size and normality of the data; therefore, it can conclude initial hypotheses in studies with small samples. This technique has also been often used in education assessment and psychology. It uses smart PLS software for data analysis and the PLS-SEM technique to examine the validity of the proposed hypothetical model on the factors that affect academic burnout in preservice mathematics teachers in China. According to Hair [106], there are two stages, these being the assessment measurement and the structural assessment model. The assessment measurement model focuses on the loading factor, composite reliability, Cronbach alpha and AVE value to determine the model’s reliability and validity. Furthermore, HTMT and Fornell–Larcker [107] measurements were used to analyze internal consistency. In the structural assessment model, the amount of R2 and F2 are explained in full before the end of the hypothesis testing by investigating the path coefficients, t values, and significance.
The structural model in PLS-SEM hypothesis testing with the PLS technique is estimated by looking at the path coefficient, t statistic, standard error, and the amount of R2, which can explain the strength and direction of the relationship. Meanwhile, the t statistic and standard error are used to analyze the magnitude of the effect [106]. The value of R2 indicates the amount of variance explained. The variances linked with the dependent variables determined the suggested model’s explanatory power. This study uses the 5000 bootstrap resampling technique to produce t statistics, significance, and standard errors.

4. Results

The result section is divided into descriptive statistics, checking the normality of the data, analysis of the measurement model, and structural model analysis accompanied by hypothesis testing.

4.1. Descriptive Statistics

The study starts by checking the normality of the data on the distribution of per scale indicators using smart PLS software. The descriptive statistics in Table 2 are general overview data of respondents. There are 22 items from a total of 6 constructs. From the current mean value, the average respondents answered in 2.5 to 3.5. Normality test data can be measured by determining the value of skewness and kurtosis, which should be in the range of −1 to +1 [108]. Therefore, all data items are normally distributed, and the study can proceed to the measurement model analysis stage.

4.2. Measurement Model Check

Convergent Validity

SPSS 27 and Smart PLS 3.2 are used to analyze and assess the quality of the measurement model. Meanwhile, confirmatory factor analysis (CFA) was adopted to check the convergent and discriminant validity [109]. The internal reliability of the measurement model can be analyzed by looking at the Cronbach alpha and composite reliability (CR) values. Hair [105] stated that internal consistency could be met when the Cronbach alpha coefficient is more than 0.7. Table 3 shows that the CR value exceeds 0.7, where the highest and lowest are 0.908 (AS2) and 0.745 (SE1), respectively. Therefore, it can be concluded that all constructs are above the threshold values. Convergent validity is evaluated by looking at the AVE value, which is considered to meet the criteria when it is more than 0.5. From Table 3, the AVE value for all constructs is more than 0.5; therefore, all items reflect the construction. To strengthen the assessment of the construct reliability using PLS, Rho coefficients are considered. Rho can be interpreted as Cronbach’s alpha to analyze internal reliability. The rho_A value should also exceed 0.7 to be accepted and continue the study [110]. Table 3 shows that the Rho coefficient is in the range of 0.782 to 0.872, and the reliability is quite satisfactory.

4.3. Discriminant Validity

Discriminant validity was tested using the Fornell–Larcker criteria [107], which is the expected level of “difference” between items measuring different factors. To test this variable, the AVE for each factor is compared with the correlation square. Fornell and Lacker [107] suggested comparing the AVE for each construct, and the shared variance between constructs. Macintosh and Lockshin [111] used a matrix of covariance square (PHI square) between constructs to test discriminant validity. Furthermore, this study uses the Fornell–Larcker [107] criteria to test discriminant validity, as seen in Table 4, where the diagonal is replaced with AVE (bold in Table 4). The AVE number on the bolded diagonal is greater, and the extracted AVE ranges from 0.774 to 0.891. Therefore, the AVE is higher than the variance shared between constructs’ coefficients.
Some studies thought the Fornell–Larcker criteria were not strong enough to check discriminant validity. Therefore, this study assessed discriminant validity using the Heterotrait–Monotrait (HTMT) ratio of correlations [112,113]. The alternative assessment of the classical criterion can be applied to measure discriminant validity concerning the threshold level described previously. A good indicator is below 0.9, which is an acceptable limit [114,115]. As shown in Table 5, the discriminant validity results are confirmed, and it can be concluded that the value is satisfactory.

4.4. Assessment of Effect Size (f2)

The effect size value analysis strengthens the R2 value used to clarify the latent variables on the dependent variable. It can be calculated manually using the formula issued by Cohen [116], namely R2-included minus R2-excluded, then divided by 1- R2-included R2-included. The included R2 is the R-squared calculated based on the endogenous latent variables when predictor exogenous latent variables are used in the structural model. The omitted R2 is the R-squared calculated on the endogenous latent variable when the predictor exogenous latent variable is not used in the structural model. Meanwhile, Cohen [117] explained that the effect size is small when the value is 0.02, with the minimum and maximum values occurring at 0.15 and 0.35.
Workload greatly affects preservice mathematics teachers’ academic stress (greater than 0.35), and coping strategies and self-efficacy have a small effect on academic stress of 0.075 and 0.083, respectively. Self-efficacy has the greatest effect on academic burnout, followed by perfectionism. The full effect sizes of the exogenous latent variables on the endogenous can be seen in Table 6.

4.5. Coefficient of Determination: R2 Value

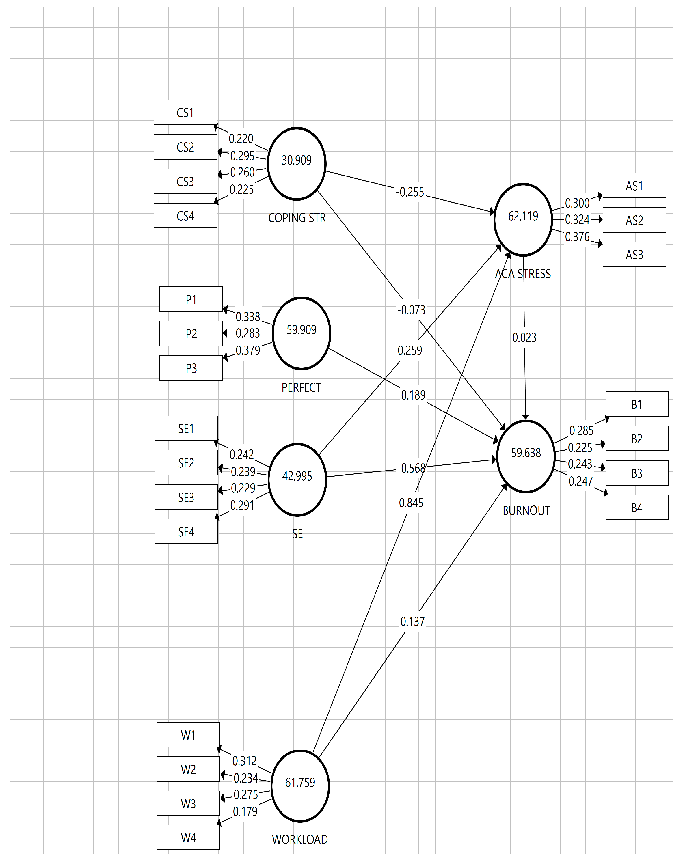
The R2 value is obtained from the amount of variance in the dependent variable, which the independent variable may explain [113]. The R2 value increases the prediction of the structural model [106]. It is important to ensure that this value is high enough to describe a structural model. The R2 value is considered sufficient to explain the variance in the endogenous concept when it is more than 0.10 or 10%. In contrast, the Cohen criteria stated that the R2 value should be greater than 0.26 or 26% to explain the manner of the endogenous concept. Chin [118] had other criteria, where R2 should be more than 0.65 or 65%, to explain a model. Table 7 shows the R2 value, where the model can explain the factors related to academic burnout and stress up to 0.905 or 90.5% and 0.702 or 70.2%, respectively. In more detail, the R2 value and outer loading can also be seen in Figure 2. Finally, five variables, including coping strategies, perfectionism, self-efficacy, workload and academic stress, accounted for 90.5% of the variation in burnout among preservice mathematics teachers.

4.6. Collinearity Test

The collinearity Test on PLS-SEM can be analyzed by determining the Variance Inflation Factors (VIF) value [119] (Table 8). It can be interpreted as the relationship between one predictor and another. The purpose of checking the collinearity test is to analyze the possibility of two or more predictors to measure the components of the concept on the two types of VIF used. Meanwhile, outer and inner VIF show the collinearity level in and between the constructs or latent variables.
O’Connell and Bowerman [120] and Hair et al. [105] stated that a VIF value greater than 5 has a problem with collinearity. In this study, the maximum VIF for the item is 2.709 (AS2), and the construct is 4.067 (workload). Thus, it can be concluded that the VIF value for items and variables is quite low, and the problem of multicollinearity does not exist.

4.7. Importance–Performance Map Analysis (IPMA)

Since the study aims to investigate the main sources of constructs that can provide explanations, such as academic burnout, PLS-SEM is an appropriate technique because it is very helpful for achieve this goal. This technique has IPMA to prioritize their actions. For example, suppose the endogenous target variable is academic stress, and that IPMA calculates the total effect of the important structural model with the average latent variable scores. This finding can reveal important determinants with a large overall factor and low latent variable score [121].
Figure 3 and Table 9 show the IPMA results for the prestigious mathematics teacher academic burnout. Based on Table 9, perfectionism and academic stresses are of the highest importance (0.218) and performance (62.119) on preservice mathematics teachers’ academic burnout. Figure 3 and Table 9 also show that self-efficacy and coping strategies have the least important performance variable at 0.584 and 30.909.

4.8. Hypotheses Testing Results

Hypothesis testing is the final stage in the structural model to test the relationship between constructs. Based on Table 10, this study consists of eight initial hypotheses, where 7 were accepted, and one was rejected because the p value was below 0.05. Therefore, most of the path coefficients on the structural model are significant. In detail, coping strategies were found to be directly negative and significant to academic stress (β = −0.204; p < 0.001), thereby, confirming Hypothesis 1. This is also directly significant to academic burnout (β = −0.071; p < 0.05), hence confirming Hypothesis 2. Perfectionism is the biggest positive factor affecting academic burnout (β = 0.218; p < 0.001), which is appropriate to Hypothesis 3. Meanwhile, self-efficacy has a significant direct effect on academic burnout (β = 0.224; p < 0.001) (β = −0.590; p < 0.001), therefore it can confirm Hypotheses 4 and 5. Workload significantly affects academic stress negatively (β = 0.843; p < 0.001), and academic burnout (β = 0.164; p < 0.001). Finally, testing Hypothesis 8 shows that academic stress does not significantly correlate to burnout (β = 0.028; p > 0.05).
In summary, seven hypotheses about factors affecting academic burnout are supported (H1, H2, H3, H4, H5, H6, H7), while H8 is not supported.

5. Discussion

Academic burnout is one of the essential factors in education sustainability. The study began to attract attention in 1970, as a gradual depletion and loss of motivation to learn and achieve goals in an educational context developed. Initially, studies on this variable were focused on the world of work to analyze the level of burnout in workers due to excessive working hours or high pressure given by superiors in the context of sustainable well-being. Meanwhile, there is still limited study analyzing preservice teachers’ academic burnout. This study aims to analyze factors related to academic burnout and obtains a significant negative relationship between coping strategies, academic burnout, and stress. Furthermore, these findings are consistent with previous studies on students with good coping and problem-solving strategies, which tend to have less academic stress and burnout [58,94,122]. The respondents in this study are future mathematics teacher candidates. Therefore, they have good basic coping strategies when facing problems, and the results are consistent with the model of stress [54], where a person will use a coping strategy when experiencing psychological stress in daily life. Students at the university level should have problem-solving coping strategies in the face of depression and low psychological distress [28]. Andrei [57] stated that coping strategies can be interpreted as always being optimistic, having a positive attitude, exercising diligently, talking to friends or other people when finding problems, and thinking about the final goal and others.
The study should focus more on the person and further ascertain how the individual is restrained from dealing with stress, and the factors that may make one feel powerless when experiencing stressful conditions. This study finds that perfectionism is the biggest factor responsible for academic stress. The finding is consistent with previous studies, that students at the university level with high perfectionism often experience academic stress compared to others [123,124]. In China, there is a hard-working culture with high expectations to achieve a better life in the future. A hard-working culture is considered the need of Chinese people, which in turn forms the perception that they need and are obliged to work hard. According to appraisal theory, stress models refer to human needs and can describe stressors for more than 20 years. Another theory by Combs et al. explains that stress is caused by the threat that an individual feels because of the views of other people’s perceptions. This condition ultimately causes pressure, called stress. Preservice teachers are carried away by the high expectations of their parents and those around them. Therefore, the mindset of perfectionism formed is the effect of the people around their environment, which causes academic stress [80,125]. This circumstance encourages students to strive to meet their parents’ expectations, resulting in emotional exhaustion, stress and burnout [5,126]. Therefore, these results are supported by previous studies on perfectionism which makes preservice mathematics teachers in China experience academic stress.
This study supports the idea that preservice mathematics teachers with high self-efficacy have low academic burnout. Students with high self-efficacy can make rational decisions and manage their negative emotions to deal with stress and burnout [83,127]. In addition, Bandura’s [82] social cognitive theory states that those with high self-efficacy can analyze and evaluate their past and turn failures into plans to achieve a successful future. High school mathematics teachers with high self-efficacy are believed to accept pressure and burnout, encouraging them to achieve their final goals. This finding is supported by Robbins and Judge’s model of stress [39], where individual differences can affect the chances of experiencing psychological stress.
A surprising finding is that self-efficacy significantly increases academic stress. This can be explained by preservice mathematics teachers having excessive self-efficacy. They are confident to take many courses and participate in school activities, causing them to be overloaded and exhausted. This is more experienced by students in the first and second years, where their self-efficacy and enthusiasm are still high. They are unaware that professional teacher education entails a hefty burden and numerous responsibilities. Therefore, those who take good courses and many non-academic activities experience academic stress. Over time, they will realize and not repeat similar mistakes by taking good courses and attending many non-academic programs in the third and fourth years.
This study adds the workload factor as a predictor of academic stress and burnout. Based on the literature review, workload significantly correlates to preservice mathematics teachers’ academic stress and burnout [26,30]. The finding, that workload is a potential cause of stress and burnout, is also in line with findings on workers [97,128]. Kwaah [97] suggested that the number of tasks closely affects these variables, where teachers have many tasks and are tired. They do not have personal time to relax and reduce their stress levels. Another study found that university students may have higher well-being when subjected to fewer assignments. However, preservice teachers are aware of the additional need to perform several tasks, follows several organizations for their achievements, and applies for scholarships annually. This is an important predictor that can make students experience academic burnout, drop out of school, and even commit suicide.
Finally, academic stress does not significantly affect burnout. Some students who have good coping strategies and self-efficacy can turn academic stress into motivation for them to achieve better performance. This finding supported by the theory that many factors potentially cause preservice teachers to experience academic burnout [14,26]. This finding is supported by several studies, which showed that different factors could affect university students experiencing burnout [38,129,130].

6. Theoretical and Practical Implication

This study is in line with Lau S et al. [5], which examined the factors associated with academic burnout. In the context of sustainability in education, coping strategies and self-efficacy decreased academic burnout, unlike perfectionism, which is strongly correlated. However, this study develops more predictors related to academic burnout and stress. The findings differ from Lau’s study, where perfectionism is the main factor that causes academic stress. Therefore, the workload felt by students due to a large amount of material provided to preservice teachers is the leading cause of academic stress. These findings contribute significantly to the model of stress and academic burnout for students at the university level, especially preservice mathematics teachers. The stress model explains psychological well-being and academic burnout in education. The initial model was developed by adding academic stress and workload predictors to investigate preservice mathematics teachers’ academic burnout. Preservice mathematics instructors may be considered “occupational” because they are involved in structural organization and mandatory programs to present their ideas or assignments and complete tasks from professors to earn high final grades. Due to stress, they tend to have negative learning outcomes, lack of interest in learning, anxiety, high absenteeism and burnout [131,132]. Therefore, this study aims to contribute to the current literature by creating a model to examine factors related to academic burnout at the university level, especially for preservice teachers with different perspectives on the stress model.
This study finds that coping strategies are the best way to overcome academic burnout. Preservice mathematics teachers with high coping strategies will move systematically and effectively to deal with and solve problems related to academic stress and burnout by participating in activities to overcome existing problems. Besides reducing factors that cause stress, increasing facilitators can also improve performance to prevent academic burnout. The findings provide important knowledge and information regarding awareness of academic stress and burnout problems in preservice mathematics teachers. The faculty or mental health institutions can organize workshops or forums to educate all preservice mathematic teachers on the importance of coping strategies and self-efficacy. Moreover, they should support preservice mathematics teachers in training programs such as increasing self-efficacy, controlling emotions and well-being.
The condition of students who always want to excel and their perfectionist nature in the academic fields subject them experience academic burnout. Parents always need to focus on providing counseling to their children. Therefore, feelings of well-being and balance between learning and playing time might make them more emotionally stable and reduce academic stress. Furthermore, schoolteachers should remind students that perfectionism is not the only way to achieve good academic grades. However, many other factors, such as attitude, broad relations, and different speech styles, are more critical [133,134,135]. The collaboration of schools, lecturers, and parents to change the perspective of perfectionist students can be one practical step to reducing academic stress and burnout for preservice mathematics teachers.
Preservice mathematics teachers should be more mindful and pay attention to the negative effects of workload and stress. Furthermore, they should develop the right values to achieve goals and trust. People around them, such as teachers and supervisors, should have good resources to reduce student academic burnout, increase self-efficacy and provide solutions to eliminate problems. Schools in China should have a psychology department that understands and is professional about stress and burnout symptoms. Therefore, these efforts are expected to improve teacher–student well-being, leading to maximum learning outcomes. Educational institutions in China should focus on improving soft skills, such as communication, problem-solving, and decision-making, as well as increasing extracurricular activities that can reduce academic stress.

7. Limitations and Suggestions for Future Study

The results have consequences for preservice mathematics teachers’ academic burnout, which is very important to identify their perceptions of what factors cause burnout and stress during four years of education and how to reduce these variables. Therefore, this study provides knowledge about factors related to academic stress and burnout for further understanding.
Concerning the limitations, some teachers may not know the difference between emotional exhaustion and stress related to their future life and challenges after measuring academic stress and burnout. The experiment in this study is conducted in a relatively short period of 3 months. In the future, it is recommended to carry out a longitudinal analysis to confirm these findings. Furthermore, the sample is relatively small, with less than 1000 preservice mathematics teachers and respondents from Guangxi Province, China. Therefore, these findings need to be generalized with caution. Other studies are suggested to use mixed or qualitative methods to confirm the findings of the factors affecting the preservice mathematics teachers.

8. Conclusions

The results emphasize the relationship between the five predictors of academic burnout in preservice mathematics teachers. Coping strategies are one solution that has a significant effect on reducing academic burnout and academic stress. Meanwhile, the internal factors of perfectionist students are the main factors responsible for academic burnout. The workload is also the main problem that causes teachers to experience academic stress, which interferes with learning performance.
The education of teachers poses a challenge for preservice mathematics teachers with poor coping strategies and self-efficacy. Many of them in China experience stress, burnout, and lack of concern for others, feel incompetent in completing assignments, have a lack of interest in learning, and also find assignments and exams difficult. Stress and burnout associated with study lead to poor learning outcomes, class absences, and low learning accomplishment. Preservice mathematics teachers with good coping strategies and self-efficacy can have lower stress levels and succeed in learning. They enjoy carrying out study-related tasks, feel less tired or fatigued, and have higher levels of self-efficacy. Therefore, these students perform better than those with high burnout.
Considering this study is about the negative effect of academic stress and workload on burnout, universities should support students to increase self-efficacy and reduce teachers’ workload. This is because students experiencing academic stress often lose sight of their learning goals and the importance of mastering subjects on campus, causing them to suffer burnout and to some dropping out of the program they are taking. Building a comfortable environment for students, with fun learning activities, and a supportive learning atmosphere is a way to reduce the dangers of stress and burnout for teachers.

Author Contributions

Conceptualization, investigation and collecting data, L.Q., J.L. and T.T.W.; writing—review and editing, M.F., Y.H., L.Q. and T.T.W.; analysis data and visualization T.T.W., Y.H. and M.F.; supervising Y.Z. and J.L. All authors have read and agreed to the published version of the manuscript.

Funding

This research was funded by China National Social sciences project (19BKS147).

Institutional Review Board Statement

Not applicable.

Informed Consent Statement

Not applicable.

Data Availability Statement

Not applicable.

Conflicts of Interest

The authors declare no conflict of interest.

Appendix A

Table A1. Measurement items in the questionnaire.
Table A1. Measurement items in the questionnaire.
Variable ConstructQuestionEnglish VersionSources
Coping strategies当我在学习上遇见问题时,我会花时间试图了解到底发生了什么When I had difficulties in my studies, I tried to figure out the cause.[54,55]
当我在处理学习上的问题时,我考虑了几种处理问题的备选方法When I encounter a learning problem, several alternative ways of dealing with it are considered.
当我在学校遇见问题时,我经常使用锻炼、爱好或冥想来帮助我度过难关When I have problems at school, I often use sports, hobbies, or meditation to help me calm down.
当我在学习上遇见问题时,在处理问题时,我经常试图记住,问题并不像它看起来那么严重When I have a problem with my study, I often try to remember that the situation is not very serious.
当我在学习上遇到问题时,可能说明我需要做出更大的生活改变When I have problems with my study, I think it might indicate a change in my quality of life for the better.
Perfectionism我总是要在校园里取得最好的成就I always have to achieve the best on campus.[5,54]
我总是比我的朋友更积极地参加校园活动I am always more active on campus than my friends.
总体来说,我必须比我的朋友优秀Overall, I have to be better than my friends.
Self-efficacy我在大学取得好成绩并不难It is not hard for me to get good grades on campus.[83,136]
我可以掌握校园里的所有科目I can master all subjects well on campus.
我成就比我的同学更突出My achievements stand out more than my classmates.
我会使用各种策略来提高我的学习成绩I will use various strategies to improve my academic performance.
Academic stress我不能接受我成绩I cannot accept my achievements.[31,137]
对我来说考试总是很难School exams are always challenging for me.
我认为学习任务太多了I think there are too many study assignments.
Workload我有太多的材料要准备上课I have too much material to review for class.[31,138]
我在校园里参加了太多的活动I have participated in too many activities on campus.
我上太多课了I took too many classes.
我的老师批评我的学习成绩The teacher gave me a lot of additional assignments.
Academic burnout我无法解决学习中出现的问题I cannot solve problems that arise in my study.[4,83]
对我来说,我不是一个好学生In my opinion, I am not a good student.
当我达到学习目标时,我不会感到兴奋I am not enthusiastic about achieving my study goals.
我在学习期间没有学到任何有趣的东西I feel I did not learn anything interesting during my study.
在课堂上,我不相信我能有效地完成学习任务In class, I do not believe that I can complete my study assignments effectively.

References

  1. Bajaj, B.; Khoury, B.; Sengupta, S.; Ros, L. Resilience and Stress as Mediators in the Relationship of Mindfulness and Happiness. Front. Psychol. 2022, 13, 771263. [Google Scholar] [CrossRef] [PubMed]
  2. Navarro-Espinosa, J.A.; Vaquero-Abellán, M.; Perea-Moreno, A.-J.; Pedrós-Pérez, G.; Aparicio-Martínez, P.; Martínez-Jiménez, M.P. The influence of technology on mental well-being of stem teachers at university level: Covid-19 as a stressor. Int. J. Environ. Res. Public Health 2021, 18, 9605. [Google Scholar] [CrossRef] [PubMed]
  3. May, R.W.; Bauer, K.N.; Fincham, F.D. School burnout: Diminished academic and cognitive performance. Learn. Individ. Differ. 2015, 42, 126–131. [Google Scholar] [CrossRef]
  4. Salanova, M.; Schaufeli, W.; Martínez, I.; Bresó, E. How obstacles and facilitators predict academic performance: The mediating role of study burnout and engagement. Anxiety Stress Coping 2009, 23, 53–70. [Google Scholar] [CrossRef] [PubMed]
  5. Lau, S.C.; Chow, H.J.; Wong, S.C.; Lim, C.S. An empirical study of the influence of individual-related factors on undergraduates’ academic burnout: Malaysian context. J. Appl. Res. High. Educ. 2021, 13, 1181–1197. [Google Scholar] [CrossRef]
  6. Anastasiades, M.H.; Kapoor, S.; Wootten, J.; Lamis, D.A. Perceived stress, depressive symptoms, and suicidal ideation in undergraduate women with varying levels of mindfulness. Arch. Women’s Ment. Health 2017, 20, 129–138. [Google Scholar] [CrossRef]
  7. Gresham, G. Mathematics anxiety and mathematics teacher efficacy in elementary pre-service teachers. Teach. Educ. 2008, 19, 171–184. [Google Scholar] [CrossRef]
  8. Peracchia, S.; Presaghi, F.; Curcio, G. Pathologic Use of Video Games and Motivation: Can the Gaming Motivation Scale (GAMS) Predict Depression and Trait Anxiety? Int. J. Environ. Res. Public Health 2019, 16, 1008. [Google Scholar] [CrossRef]
  9. Cheng, Y.; Zhang, X.M.; Ye, S.Y.; Jin, H.M.; Yang, X.H. Suicide in Chinese Graduate Students: A Review From 2000 to 2019. Front. Psychiatry 2020, 11, 10–14. [Google Scholar] [CrossRef] [PubMed]
  10. Furr, S.; Westefeld, J.S.; McConnell, G.N.; Jenkins, J.M. Suicide and depression among college students: A decade later. Prof. Psychol. Res. Pract. 2001, 32, 97–100. [Google Scholar] [CrossRef]
  11. Othman, F.; Zaki, A.; Ahmad, M. National Health and Morbidity Survey (NHMS) 2017: Key Findings from the Adolescent Health and Nutrition Surveys; National Institute of Health, Ministry of Health Malaysia: Selangor, Malaysia, 2018. [Google Scholar]
  12. Li, B. Research on correlation between English writing self-efficacy and psychological anxiety of college students. Front. Psychol. 2022, 13, 957664. [Google Scholar] [CrossRef]
  13. Fang, Y.; Ji, B.; Liu, Y.; Zhang, J.; Liu, Q.; Ge, Y.; Xie, Y.; Liu, C. The prevalence of psychological stress in student populations during the COVID-19 epidemic: A systematic review and meta-analysis. Sci. Rep. 2022, 12, 12118. [Google Scholar] [CrossRef] [PubMed]
  14. Aguayo, R.; Cañadas, G.R.; Assbaa-Kaddouri, L.; Cañadas-De la Fuente, G.A.; Ramírez-Baena, L.; Ortega-Campos, E. A risk profile of sociodemographic factors in the onset of academic burnout syndrome in a sample of university students. Int. J. Environ. Res. Public Health 2019, 16, 707. [Google Scholar] [CrossRef]
  15. Yoo, G.-S. Effects of Stress Coping Styles on Academic Burnout and Employment Stress among Undergraduate Students. Korea J. Couns. 2013, 14, 3849–3869. [Google Scholar]
  16. OECD. Supporting the continuation of teaching and learning during the COVID-19 Pandemic Annotated resources for online learning. Oecd 2020, 1, 1–38. [Google Scholar]
  17. Xiong, B.; Lee, P.Y. Mathematical Olympiad in China; Xiong, B., Lee, P.Y., Eds.; East China Normal University Press: Shanghai, China, 2007. [Google Scholar]
  18. Hanjs, Z. International Mathematical Olympiad. Math. Olymp. China 2009, 4, 170–194. [Google Scholar] [CrossRef]
  19. Kokkonen, T.M.; Cheston, R.I.; Dallos, R.; Smart, C.A. Attachment and coping of dementia care staff: The role of staff attachment style, geriatric nursing self-efficacy, and approaches to dementia in burnout. Dementia 2014, 13, 544–568. [Google Scholar] [CrossRef] [PubMed]
  20. Ortan, F.; Simut, C.; Simut, R. Self-efficacy, job satisfaction and teacher well-being in the K-12 educational system. Int. J. Environ. Res. Public Health 2021, 18, 12763. [Google Scholar] [CrossRef] [PubMed]
  21. Folkman, S. Stress: Appraisal and Coping BT—Encyclopedia of Behavioral Medicine. In Stress: Appraisal and Coping; Gellman, M.D., Turner, J.R., Eds.; Springer New York: New York, NY, USA, 2013; pp. 1913–1915. ISBN 978-1-4419-1005-9. [Google Scholar]
  22. Lazarus, R.S.; Folkman, S. Stress, Appraisal and Coping; Springer Publishing Company: New York, NY, USA, 1984. [Google Scholar]
  23. Garland, E.L.; Froeliger, B.; Howard, M.O. Mindfulness training targets neurocognitive mechanisms of addiction at the attention-appraisal-emotion interface. Front. Psychiatry 2014, 4, 173. [Google Scholar] [CrossRef] [PubMed]
  24. Kang, W. Selected Regular Lectures from the 12th International Congress on Mathematical Education; Springer: Berlin/Heidelberg, Germany, 2015; pp. 405–416. [Google Scholar] [CrossRef]
  25. Yi, Q.-F.; Yan, J.; Zhang, C.-J.; Yang, G.-L.; Huang, H.; Yang, Y. The experience of anxiety among Chinese undergraduate nursing students in the later period of their internships: Findings from a qualitative study. BMC Nurs. 2022, 21, 70. [Google Scholar] [CrossRef]
  26. Chen, J.; Cheng, H.; Zhao, D.; Zhou, F.; Chen, Y. A quantitative study on the impact of working environment on the well-being of teachers in China’s private colleges. Sci. Rep. 2022, 12, 3417. [Google Scholar] [CrossRef]
  27. Abdullah, N.A.; Shamsi, N.A.; Jenatabadi, H.S.; Ng, B. Factors Affecting Undergraduates’ Academic Performance during COVID-19: Fear, Stress and Teacher-Parents’ Support. Sustainability 2022, 14, 7694. [Google Scholar] [CrossRef]
  28. de la Fuente, J.; Amate, J.; Carmen Gonzalez-Torres, M.; Artuch, R.; Manuel Garcia-Torrecillas, J.; Fadda, S. Effects of Levels of Self-Regulation and Regulatory Teaching on Strategies for Coping With Academic Stress in Undergraduate Students. Front. Psychol. 2020, 11, 22. [Google Scholar] [CrossRef]
  29. Sharififard, F.; Asayesh, H.; Hosseini, M.H.M.; Sepahvandi, M. Motivation, self-efficacy, stress, and academic performance correlation with academic burnout among nursing students. J. Nurs. Midwifery Sci. 2020, 7, 88–93. [Google Scholar] [CrossRef]
  30. Pala, A. The Burnout Level Among Faculty Of Education Students At Celal Bayar University. Procedia-Soc. Behav. Sci. 2012, 69, 1766–1774. [Google Scholar] [CrossRef]
  31. Basri, S.; Hawaldar, I.T.; Nayak, R. Do Academic Stress, Burnout and Problematic Internet Use Affect Perceived Learning? Evidence from India during the COVID-19 Pandemic. Sustainability 2022, 14, 1409. [Google Scholar] [CrossRef]
  32. Hwang, E.; Kim, J. Factors affecting academic burnout of nursing students according to clinical practice experience. BMC Med. Educ. 2022, 22, 346. [Google Scholar] [CrossRef] [PubMed]
  33. Cam, Z.; Deniz, K.Z.; Kurnaz, A. School Burnout: Testing a Structural Equation Model Based on Percieved Social Support, Perfectionism and Stress Variables. Egit. VE Bilim. Sci. 2014, 39, 310–325. [Google Scholar]
  34. Draghici, G.-L.; Cazan, A.-M. Burnout and Maladjustment Among Employed Students. Front. Psychol. 2022, 13, 825588. [Google Scholar] [CrossRef]
  35. Hew, K.F.; Hu, X.; Qiao, C.; Tang, Y. What predicts student satisfaction with MOOCs: A gradient boosting trees supervised machine learning and sentiment analysis approach. Comput. Educ. 2020, 145, 103724. [Google Scholar] [CrossRef]
  36. Liu, H.; Zhou, Z.; Zhu, E.; Huang, L.; Zhang, M. Smartphone addiction and its associated factors among freshmen medical students in China: A cross-sectional study. BMC Psychiatry 2022, 22, 308. [Google Scholar] [CrossRef]
  37. Haghighi, M.; Gerber, M. Does Mental Toughness Buffer the Relationship Between Perceived Stress, Depression, Burnout, Anxiety, and Sleep? Int. J. Stress Manag. 2019, 26, 297–305. [Google Scholar] [CrossRef]
  38. Liu, H.; Yansane, A.I.; Zhang, Y.; Fu, H.; Hong, N.; Kalenderian, E. Burnout and study engagement among medical students at Sun Yat-sen University, China. Medicine 2018, 97, e0326. [Google Scholar] [CrossRef] [PubMed]
  39. Robbins, S.; Judge, S. Organizational Behavior, 15th ed.; Prentice Hall: New York, NY, USA, 2013. [Google Scholar]
  40. Guo, J.; Liu, Y.; Chen, Y.; Chai, G.; Zhao, X. Psychological support for public-funded normal students engaged in teaching profession. Front. Psychol. 2022, 13, 940431. [Google Scholar] [CrossRef]
  41. Suárez Martel, M.J.; Martín Santana, J.D. The mediating effect of university teaching staff’s psychological well-being between emotional intelligence and burnout. Psicol. Educ. 2021, 27, 145–153. [Google Scholar] [CrossRef]
  42. Benner, K.; Curl, A.L. Exhausted, Stressed, and Disengaged: Does Employment Create Burnout for Social Work Students? J. Soc. Work Educ. 2018, 54, 300–309. [Google Scholar] [CrossRef]
  43. Mostert, K.; Pienaar, J. The moderating effect of social support on the relationship between burnout, intention to drop out, and satisfaction with studies of first-year university students. J. Psychol. Afr. 2020, 30, 197–202. [Google Scholar] [CrossRef]
  44. Roslan, S. Mediating Role of Self-Efficacy in the Relationship Between Optimism, Psychological Well-Being, and Resilience Among Iranian Students. Front. Psychol. 2021, 12, 675645. [Google Scholar] [CrossRef]
  45. Cage, E.; McManemy, E. Burnt Out and Dropping Out: A Comparison of the Experiences of Autistic and Non-autistic Students During the COVID-19 Pandemic. Front. Psychol. 2022, 12, 792945. [Google Scholar] [CrossRef]
  46. Yahya, M.S.; Abutiheen, A.A.; Al-Haidary, A.F. Burnout among medical students of the University of Kerbala and its correlates. Middle East Curr. Psychiatry 2021, 28, 78. [Google Scholar] [CrossRef]
  47. Alam, F.; Yang, Q.; Bhutto, M.Y.; Akhtar, N. The Influence of E-Learning and Emotional Intelligence on Psychological Intentions: Study of Stranded Pakistani Students. Front. Psychol. 2021, 12, 715700. [Google Scholar] [CrossRef] [PubMed]
  48. Allen, H.K.; Barrall, A.L.; Vincent, K.B.; Arria, A.M. Stress and Burnout Among Graduate Students: Moderation by Sleep Duration and Quality. Int. J. Behav. Med. 2021, 28, 21–28. [Google Scholar] [CrossRef]
  49. Mondy, R.W.; Martocchio, J.J. Human Resource Management, 15th ed.; Tata McGraw-Hill: East Windsor, NJ, USA, 2019. [Google Scholar]
  50. Wijaya, T.T.; Jiang, P.; Mailizar, M. Predicting Factors Influencing Preservice Teachers’ Behavior Intention in the Implementation of STEM Education Using Partial Least Squares Approach. Sustainability. 2022, 14, 9925. [Google Scholar] [CrossRef]
  51. Id, S.Z.; Yang, Z.; Wenwu, H.; Sarwar, U. Assessing the attitude and problem-based learning in mathematics through PLS-SEM modeling. PLoS ONE 2022, 17, e0266363. [Google Scholar] [CrossRef]
  52. Zhou, Y.; Li, X.; Wijaya, T.T. Determinants of Behavioral Intention and Use of Interactive Whiteboard by K-12 Teachers in Remote and Rural Areas. Front. Psychol. 2022, 13, 934423. [Google Scholar] [CrossRef]
  53. Stallman, H.M.; Lipson, S.K.; Zhou, S.; Eisenberg, D. How do university students cope? An exploration of the health theory of coping in a US sample. J. Am. Coll. Health 2022, 70, 1179–1185. [Google Scholar] [CrossRef]
  54. Selian, S.N.; Hutagalung, F.D.; Rosli, N.A. Academic stress, coping and social cultural adaptation of psychological well being among Indonesian postgraduate students. Pertanika J. Soc. Sci. Humanit. 2020, 28, 2505–2527. [Google Scholar] [CrossRef]
  55. Sood, S.; Sharma, A. Resilience and Psychological Well-Being of Higher Education Students During COVID-19: The Mediating Role of Perceived Distress. J. Health Manag. 2020, 22, 606–617. [Google Scholar] [CrossRef]
  56. Cardona, E.Y.B. Stress, cognitive-emotional regulation, coping, and health in Colombian university students. Prax. SABER 2021, 12, 28–31. [Google Scholar] [CrossRef]
  57. Shpakou, A.; Klimatckaia, L.; Bocharova, J.; Dyachuk, A.; Shik, O.; Kuzniatsou, A. The selection of stress coping strategies by university students based on prior COVID-19 exposure. Health Probl. Civiliz. 2022, 16, 57–62. [Google Scholar] [CrossRef]
  58. Guszkowska, M.; Dabrowska-Zimakowska, A. Coping with Stress During the Second Wave of the COVID-19 Pandemic by Polish University Students: Strategies, Structure, and Relation to Psychological Well-Being. Psychol. Res. Behav. Manag. 2022, 15, 339–352. [Google Scholar] [CrossRef] [PubMed]
  59. Kao, P.-C.; Craigie, P. Evaluating Student Interpreters’ Stress and Coping Strategies. Soc. Behav. Pers. 2013, 41, 1035–1043. [Google Scholar] [CrossRef]
  60. Coiro, M.J.; Bettis, A.H.; Compas, B.E. College students coping with interpersonal stress: Examining a control-based model of coping. J. Am. Coll. Health 2017, 65, 177–186. [Google Scholar] [CrossRef]
  61. Chou, P.-C.; Chao, Y.-M.Y.; Yang, H.-J.; Yeh, G.-L.; Lee, T.S.-H. Relationships between stress, coping and depressive symptoms among overseas university preparatory Chinese students: A cross-sectional study. BMC Public Health 2011, 11, 352. [Google Scholar] [CrossRef]
  62. Shpakou, A.; Krajewska-Kulak, E.; Cybulski, M.; Seredocha, I.; Talaj, A.; Andryszczyk, M.; Kleszczewska, E.; Szafranek, A.; Modzelewska, B.; Naumau, I.A.; et al. Stress Perception and Coping Strategies of Students on Both Sides of the EU’s Eastern Border during the COVID-19 Pandemic. Int. J. Environ. Res. Public Health 2022, 19, 10275. [Google Scholar] [CrossRef]
  63. Maynor, L.; Galvez-Peralta, M.; Barrickman, A.; Hanif, A.; Baugh, G. Perceived stress, academic self-concept, and coping mechanisms among pharmacy students following a curricular revision. Curr. Pharm. Teach. Learn. 2022, 14, 159–165. [Google Scholar] [CrossRef]
  64. An, H.; Chung, S.; Park, J.; Kim, S.-Y.; Kim, K.M.; Kim, K.-S. Novelty-seeking and avoidant coping strategies are associated with academic stress in Korean medical students. Psychiatry Res. 2012, 200, 464–468. [Google Scholar] [CrossRef]
  65. Levine, S.L.; Milyavskaya, M.; Zuroff, D.C. Perfectionism in the Transition to University: Comparing Diathesis-Stress and Downward Spiral Models of Depressive Symptoms. Clin. Psychol. Sci. 2020, 8, 52–64. [Google Scholar] [CrossRef]
  66. Huang, S.L.; Mussap, A.J. Maladaptive Perfectionism, Acculturative Stress and Depression in Asian International University Students. J. Psychol. Couns. Sch. 2018, 28, 185–196. [Google Scholar] [CrossRef]
  67. Liu, S.; He, L.; Wei, M.; Du, Y.; Cheng, D. Depression and Anxiety From Acculturative Stress: Maladaptive Perfectionism as a Mediator and Mindfulness as a Moderator. Asian Am. J. Psychol. 2022, 13, 207–216. [Google Scholar] [CrossRef]
  68. Vanstone, D.M.; Hicks, R.E. Transitioning to university: Coping styles as mediators between adaptive-maladaptive perfectionism and test anxiety. Pers. Individ. Dif. 2019, 141, 68–75. [Google Scholar] [CrossRef]
  69. Christman, E. Understanding Maladaptive Perfectionism in College Students. Nurse Educ. 2012, 37, 202–205. [Google Scholar] [CrossRef] [PubMed]
  70. Jin, P.S.; Lee, S. The effects of University Students’ Career stress, Socially-Prescribed Perfectionism and Resilience on Academic Burnout. J. Learn. Curric. Instr. 2020, 20, 1245–1264. [Google Scholar] [CrossRef]
  71. Ghosh, R.; Roy, S. Relating multidimensional perfectionism and academic procrastination among Indian university students Is there any gender divide? Gend. Manag. 2017, 32, 518–534. [Google Scholar] [CrossRef]
  72. Vieth, A.Z.; Trull, T.J. Family patterns of perfectionism: An examination of college students and their parents. J. Pers. Assess. 1999, 72, 49–67. [Google Scholar] [CrossRef]
  73. Finn, K.; Guay, M.-C. Perfectionism and university quota: Is there a link? Can. J. Behav. Sci. Can. Sci. Comport. 2014, 46, 252–261. [Google Scholar] [CrossRef]
  74. Frost, R.O.; Lahart, C.M.; Rosenblate, R. The develop- ment of perfectionism: A study of daughters and their parents. Cognit. Ther. Res. 1991, 15, 469–490. [Google Scholar] [CrossRef]
  75. Cox, N.C.; Hill, A.P. Trait perfectionism and attitudes towards people with disabilities. Pers. Individ. Dif. 2018, 122, 184–189. [Google Scholar] [CrossRef]
  76. Wang, Q.; Wu, H. Associations Between Maladaptive Perfectionism and Life Satisfaction Among Chinese Undergraduate Medical Students: The Mediating Role of Academic Burnout and the Moderating Role of Self-Esteem. Front. Psychol. 2022, 12, 774622. [Google Scholar] [CrossRef]
  77. Kurtovic, A.; Vrdoljak, G.; Idzanovic, A. Predicting Procrastination: The Role of Academic Achievement, Self-efficacy and Perfectionism. Int. J. Educ. Psychol. 2019, 8, 1–26. [Google Scholar] [CrossRef]
  78. Wang, Y.; Zhang, B. The dual model of perfectionism and depression among Chinese University students. S. Afr. J. Psychiatry 2017, 23. [Google Scholar] [CrossRef] [PubMed]
  79. Smith, M.M.; Saklofske, D.H.; Yan, G.; Sherry, S.B. A Person-Centered Perspective on Multidimensional Perfectionism in Canadian and Chinese University Students: A Multigroup Latent Profile Analysis. J. Multicult. Couns. Devel. 2016, 44, 135–151. [Google Scholar] [CrossRef]
  80. Rice, K.G.; Van Arsdale, A.C. Perfectionism, Perceived Stress, Drinking to Cope, and Alcohol-Related Problems Among College Students. J. Couns. Psychol. 2010, 57, 439–450. [Google Scholar] [CrossRef]
  81. Radhu, N.; Daskalakis, Z.J.; Arpin-Cribbie, C.A.; Irvine, J.; Ritvo, P. Evaluating a Web-Based Cognitive-Behavioral Therapy for Maladaptive Perfectionism in University Students. J. Am. Coll. Health 2012, 60, 357–366. [Google Scholar] [CrossRef] [PubMed]
  82. Bandura, A. Social Foundations of Thought and Action: A Social Cognitive Theory; Prentice-Hall: Englewood Cliffs, NJ, USA, 1986. [Google Scholar]
  83. Choi, Y.-J.; Hyosung, L. Structural Relationships among the Academic Stress, Stress Coping, Academic Self-Efficacy and Academic Burnout in Student-athletes. Sport Sci. 2021, 39, 157–164. [Google Scholar]
  84. Freire, C.; Ferradas, M.d.M.; Regueiro, B.; Rodriguez, S.; Valle, A.; Nunez, J.C. Coping Strategies and Self-Efficacy in University Students: A Person-Centered Approach. Front. Psychol. 2020, 11, 841. [Google Scholar] [CrossRef]
  85. Decamps, G.; Boujut, E.; Brisset, C. French college students’ sports practice and its relations with stress, coping strategies and academic success. Front. Psychol. 2012, 3, 104. [Google Scholar] [CrossRef]
  86. Gonzalez, G.; Leticia, M.; Ramos, D.; Jose, M. Burnout in university students: Factors associated with its reduction. AULA ENCUENTRO 2021, 23, 51–69. [Google Scholar] [CrossRef]
  87. Rosales Ricardo, Y.; Rosales Paneque, F.R. Towards a two-dimensional study of burnout syndrome in college students. Cien. Saude Colet. 2014, 19, 4767–4775. [Google Scholar] [CrossRef]
  88. Muraleedharan, R.; Cassar, M. Understanding Self-efficacy and Persistence for STEM Education in Underrepresented Middle School Students. In Proceedings of the ASEE Annual Conference and Exposition, Conference Proceedings, Virtual, 26–29 July 2021. [Google Scholar]
  89. Hung, C.; Huang, I.; Hwang, G. Effects of digital game-based learning on students’ self- efficacy, motivation, anxiety, and achievements in learning mathematics. J. Comput. Educ. 2014, 1, 151–166. [Google Scholar] [CrossRef]
  90. Bandura, A. Social cognitive theory: An agentic perspective. Annu. Rev. Ofpsychology 2001, 52, 21–41. [Google Scholar] [CrossRef] [PubMed]
  91. Wijaya, T.T.; Hermita, N. What is TPMK? 1st ed.; AE publishing: Bandung, Indonesia, 2021; ISBN 978-623-306-069-1. [Google Scholar]
  92. Koh, J.H.L. Articulating Teachers’ Creation of Technological Pedagogical Mathematical Knowledge (TPMK) for Supporting Mathematical Inquiry with Authentic Problems. Int. J. Sci. Math. Educ. 2019, 17, 1195–1212. [Google Scholar] [CrossRef]
  93. Wijaya, T.T.; Zhou, Y.; Ware, A.; Hermita, N. Improving the Creative Thinking Skills of the Next Generation of Mathematics Teachers Using Dynamic Mathematics Software. Int. J. Emerg. Technol. Learn. 2021, 16, 212–226. [Google Scholar] [CrossRef]
  94. Jensen, C.; Forlini, C.; Partridge, B.; Hall, W. Australian University Students’ Coping Strategies and Use of Pharmaceutical Stimulants as Cognitive Enhancers. Front. Psychol. 2016, 7, 277. [Google Scholar] [CrossRef]
  95. Wijaya, T.T.; Cao, Y.; Weinhandl, R.; Tamur, M. A Meta-Analysis of the Effects of E-Books on students’ mathematics achievement. Heliyon 2022, 8, e09432. [Google Scholar] [CrossRef] [PubMed]
  96. Bauernhofer, K.; Tanzer, N.; Paechter, M.; Papousek, I.; Fink, A.; Weiss, E.M. Frenetic, Underchallenged, and Worn-Out: Validation of the German “Burnout Clinical Subtypes Questionnaire”-Student Survey and Exploration of Three Burnout Risk Groups in University Students. Front. Educ. 2019, 4, 137. [Google Scholar] [CrossRef]
  97. Kwaah, C.Y.; Essilfie, G. Stress and coping strategies among distance education students at the university of cape coast, ghana. Turk. Online J. Distance Educ. 2017, 18, 120–134. [Google Scholar] [CrossRef]
  98. Graves, B.S.; Hall, M.E.; Dias-Karch, C.; Haischer, M.H.; Apter, C. Gender differences in perceived stress and coping among college students. PLoS ONE 2021, 16, e0255634. [Google Scholar] [CrossRef] [PubMed]
  99. Jones, K.; Mendenhall, S.; Myers, C.A. The effects of sex and gender role identity on perceived stress and coping among traditional and nontraditional students. J. Am. Coll. Health 2016, 64, 205–213. [Google Scholar] [CrossRef] [PubMed]
  100. Lee, M.J.; GaHyun, K.; Lee, J.; Huy, V.N.; Min, L.S. The Effects of Academic Stress and Academic Failure Tolerance on Academic Burnout Among College Students: Moderated Mediation Effects of Interpersonal Stress. J. Korea Converg. Soc. 2020, 11, 175–185. [Google Scholar] [CrossRef]
  101. Zárate-Santana, Z.J.; Patino-Alonso, M.C.; Sánchez-García, A.B.; Galindo-Villardón, P. Learning approaches and coping with academic stress for sustainability teaching: Connections through canonical correspondence analysis. Sustainability. 2021, 13, 852. [Google Scholar] [CrossRef]
  102. Morales-Rodriguez, F.M. Fear, Stress, Resilience and Coping Strategies during COVID-19 in Spanish University Students. Sustainability 2021, 13, 5824. [Google Scholar] [CrossRef]
  103. Kohn, J.P.; Frazer, G.H. An academic stress scale: Identification and rated importance of academic stressors. Psychol. Rep. 1986, 59, 415–426. [Google Scholar] [CrossRef]
  104. Wijaya, T.T.; Weinhandl, R. Factors Influencing Students’ Continuous Intentions for Using Micro-Lectures in the Post-COVID-19 Period: A Modification of the UTAUT-2 Approach. Electronics 2022, 11, 1924. [Google Scholar] [CrossRef]
  105. Hair, J.F.; Hult, G.T.M.; Ringle, C.; Sarstedt, M. A Primer on Partial Least Squares Structural Equation Modeling (PLS-SEM); SAGE Publications: New York, NY, USA, 2016. [Google Scholar]
  106. Hair, J.; Black, B.; Babin, B.; Anderson, R.E.; Tatham, R.L. Multivariate Data Analysis, 6th ed.; Prentice Hall: Hoboken, NJ, USA, 2006. [Google Scholar]
  107. Fornell, C.; Larcker, D.F. Evaluating structural equation models with unobservable variables and measurement error. J. Mark. Res. 1981, 18, 39–50. [Google Scholar] [CrossRef]
  108. Dajani, D.; Abu Hegleh, A.S. Behavior intention of animation usage among university students. Heliyon 2019, 5, e02536. [Google Scholar] [CrossRef]
  109. Tseng, W.T.; Cheng, H.F.; Gao, X. Validating a motivational self-guide scale for language learners. Sustainability 2020, 12, 6468. [Google Scholar] [CrossRef]
  110. Ly, H.T.N.; Khuong, N.V.; Son, T.H. Determinants Affect Mobile Wallet Continuous Usage in Covid 19 Pandemic: Evidence From Vietnam. Cogent Bus. Manag. 2022, 9, 2041792. [Google Scholar] [CrossRef]
  111. Macintosh, G.; Lockshin, L.S. Retail relationships and store loyalty: A multi-level perspective. Int. J. Res. Mark. 1997, 14, 487–497. [Google Scholar] [CrossRef]
  112. Muhaimin; Asrial; Habibi, A.; Mukminin, A.; Hadisaputra, P. Science teachers’ integration of digital resources in education: A survey in rural areas of one Indonesian province. Heliyon 2020, 6, e04631. [Google Scholar] [CrossRef] [PubMed]
  113. Yusop, F.D. Exploring the factors affecting pre-service science teachers’ actual use of technology during teaching practice Exploring the factors affecting pre-service science teachers’ actual use of technology during teaching practice. S. Afr. J. Educ. 2022, 42, 1. [Google Scholar] [CrossRef]
  114. Henseler, J.; Ringle, C.M.; Sarstedt, M. A new criterion for assessing discriminant validity in variance-based structural equation modeling. J. Acad. Mark. Sci. 2015, 43, 115–135. [Google Scholar] [CrossRef]
  115. Kline, R.B. Principles and Practice of Structural Equation Modeling, 2nd ed.; Guilford Press: New York, NY, USA, 2005. [Google Scholar]
  116. Cohen, J. Statistical Power Analysis for the Behavioral Sciences; Lawrance Erlbaum Associates: Hillsdale, NJ, USA, 1988. [Google Scholar]
  117. Cohen, B. Teaching STEM after school: Correlates of instructional comfort. J. Educ. Res. 2018, 111, 246–255. [Google Scholar] [CrossRef]
  118. Chin, W.W. The partial least squares approach to structural equation modeling. Mod. Methods Bus. Res 1998, 295, 295–336. [Google Scholar]
  119. Kock, N. Common method bias in PLS-SEM: A full collinearity assessment approach. Int. J. E-Collab 2015, 11, 1–10. [Google Scholar] [CrossRef]
  120. Connell, C.; Baliss, L.; Farmer, W. Effects of e-book readers and tablets computers on reading comprehension. Int. J. Instr. Media 2012, 39, 131–140. [Google Scholar]
  121. Latan, H.; Noonan, R. Partial least squares path modeling: Basic concepts, methodological issues and applications. In Partial least Squares Path Modeling: Basic Concepts, Methodological Issues and Applications; Guilford Press: New York, NY, USA, 2017; pp. 1–414. [Google Scholar] [CrossRef]
  122. Abdollahi, A.; Hosseinian, S.; Asmundson, G.J.G. Coping Styles Mediate Perfectionism Associations with Depression Among Undergraduate Students. J. Gen. Psychol. 2018, 145, 93–105. [Google Scholar] [CrossRef] [PubMed]
  123. Mackinnon, S.P.; Sherry, S.B.; Pratt, M.W.; Smith, M.M. Perfectionism, Friendship Intimacy, and Depressive Affect in Transitioning University Students: A Longitudinal Study Using Mixed Methods. Can. J. Behav. Sci. Can. Sci. Comport. 2014, 46, 49–59. [Google Scholar] [CrossRef]
  124. Rice, K.G.; Choi, C.-C.; Zhang, Y.; Morero, Y.I.; Anderson, D. Self-Critical Perfectionism, Acculturative Stress, and Depression Among International Students. Couns. Psychol. 2012, 40, 575–600. [Google Scholar] [CrossRef]
  125. La Rocque, C.L.; Lee, L.; Harkness, K.L. The role of current depression symptoms in perfectionistic stress enhancement and stress generation. J. Soc. Clin. Psychol. 2016, 35, 64–86. [Google Scholar] [CrossRef]
  126. de la Fuente, J.; Lahortiga-Ramos, F.; Laspra-Solis, C.; Maestro-Martin, C.; Alustiza, I.; Auba, E.; Martin-Lanas, R. A Structural Equation Model of Achievement Emotions, Coping Strategies and Engagement-Burnout in Undergraduate Students: A Possible Underlying Mechanism in Facets of Perfectionism. Int. J. Environ. Res. Public Health 2020, 17, 2106. [Google Scholar] [CrossRef] [PubMed]
  127. Freire, C.; del Mar Ferradas, M.; Carlos Nunez, J.; Valle, A.; Vallejo, G. Eudaimonic Well-Being and Coping with Stress in University Students: The Mediating/Moderating Role of Self-Efficacy. Int. J. Environ. Res. Public Health 2019, 16, 48. [Google Scholar] [CrossRef]
  128. Peng, W.J.; McNess, E.; Thomas, S.; Wu, X.R.; Zhang, C.; Li, J.Z.; Tian, H.S. Emerging perceptions of teacher quality and teacher development in China. Int. J. Educ. Dev. 2014, 34, 77–89. [Google Scholar] [CrossRef]
  129. Loi, N.M.; Pryce, N. The Role of Mindful Self-Care in the Relationship between Emotional Intelligence and Burnout in University Students. J. Psychol. 2022, 156, 295–309. [Google Scholar] [CrossRef]
  130. Pinel Martinez, C.; Martinez Talavera, J. Examining The Link Between Resilience, Burnout and Stress. In Proceedings of the EDUHEM 2018—VIII International Conference on Intercultural Education and International Conference on Transcultural health: The Value Of Education And Health For A Global, Transcultural World, Almeria, Spain, 20–22 June 2018; Volume 60, pp. 582–591. [Google Scholar] [CrossRef]
  131. Dubuc-Charbonneau, N.; Durand-Bush, N. Moving to Action: The Effects of a Self-Regulation Intervention on the Stress, Burnout, Well-Being, and Self-Regulation Capacity Levels of University Student-Athletes. J. Clin. Sport Psychol. 2015, 9, 173–192. [Google Scholar] [CrossRef]
  132. Chen, L.; Zhong, M.; Cao, X.; Jin, X.; Wang, Y.; Ling, Y.; Cen, W.; Zhu, X.; Yao, S.; Zheng, X.; et al. Stress and Self-Esteem Mediate the Relationships between Different Categories of Perfectionism and Life Satisfaction. Appl. Res. Qual. Life 2017, 12, 593–605. [Google Scholar] [CrossRef]
  133. Fachrudin, A.D.; Widadah, S.; Kusumawati, I.B. Pre-service mathematics teachers’ knowledge, beliefs, and attitude toward using PISA-based problem in mathematics education. J. Phys. Conf. Ser. 2019, 1200, 012013. [Google Scholar] [CrossRef]
  134. Adov, L.; Pedaste, M.; Leijen, Ä.; Rannikmäe, M. Does it have to be easy, useful, or do we need something else? STEM teachers’ attitudes towards mobile device use in teaching. Technol. Pedagog. Educ. 2020, 29, 511–526. [Google Scholar] [CrossRef]
  135. Zakrzewski, J. Effect of Interactive Digital Homework with an iBook on Sixth Grade Students’ Mathematics Achievement and Attitudes when Learning Fractions, Decimals, and Percents; University of South Florida: Tampa, FL, USA, 2015. [Google Scholar]
  136. Zhang, R.P. Positive Affect and Self-Efficacy as Mediators Between Personality and Life Satisfaction in Chinese College Freshmen. J. Happiness Stud. 2016, 17, 2007–2021. [Google Scholar] [CrossRef]
  137. AL-Qadri, A.H.; Ahmed, S.A.M.; Suliman, M.A.E.; Al-khresheh, M.H.; Boudouaia, A.; Zhao, W.; Zhang, W. Academic expectations among international students from North-Western China: A case of technology use during and post COVID-19. Front. Psychol. 2022, 13, 919702. [Google Scholar] [CrossRef] [PubMed]
  138. Lutfi, A.; Saad, M.; Almaiah, M.A.; Alsaad, A.; Al-Khasawneh, A.; Alrawad, M.; Alsyouf, A.; Al-Khasawneh, A.L. Actual Use of Mobile Learning Technologies during Social Distancing Circumstances: Case Study of King Faisal University Students. Sustainability 2022, 14, 7323. [Google Scholar] [CrossRef]
Figure 1. Study Framework.
Figure 1. Study Framework.
Sustainability 14 13416 g001
Figure 2. Structural Model with R2 and Path Coefficient.
Figure 2. Structural Model with R2 and Path Coefficient.
Sustainability 14 13416 g002
Figure 3. Final Model with IPMA Result.
Figure 3. Final Model with IPMA Result.
Sustainability 14 13416 g003
Table 1. Demographic respondents.
Table 1. Demographic respondents.
ItemTypeFrequencyPercentage
gendermale7334.43%
female13965.56%
Level educationfirst-year188.49
second-year4018.86
third-year5325
fourth-year10147.64
Organization experienceNever 94.25
1 time3014.15
2 times7434.90
More than 3 times9946.70
Have a leisure timenever6128.77
Rare11755.18
Often3416.03
Table 2. Descriptive statistics questionnaire.
Table 2. Descriptive statistics questionnaire.
ITEMSMeanMedianMinMaxStandard DeviationExcess KurtosisSkewness
Coping strategiesCS12.1512.0001.0005.0000.8100.9060.895
CS22.2262.0001.0005.0000.9500.5320.864
CS32.2262.0001.0005.0001.0120.1450.770
CS42.3442.0001.0005.0001.032−0.2100.670
perfectionismP13.5194.0001.0005.0001.062−0.268−0.633
P23.4724.0001.0005.0001.122−0.342−0.625
P33.2313.0001.0005.0001.161−0.745−0.351
Self-efficacySE12.8253.0001.0005.0001.006−0.7290.301
SE22.8403.0001.0005.0001.171−0.9030.245
SE32.8353.0001.0005.0001.114−0.8070.166
SE42.4432.0001.0005.0000.991−0.0470.685
Academic stressAS13.3544.0001.0005.0001.214−0.752−0.483
AS23.5284.0001.0005.0001.101−0.747−0.243
AS33.5524.0001.0005.0001.038−0.373−0.496
workloadW13.5664.0001.0005.0001.112−0.487−0.489
W23.3634.0001.0005.0001.155−0.751−0.319
W33.6604.0001.0005.0001.123−0.680−0.466
W43.1513.0001.0005.0001.419−0.306−0.150
Academic burnoutB13.5574.0001.0005.0000.991−0.047−0.685
B23.5664.0001.0005.0001.112−0.487−0.489
B33.1753.0001.0005.0001.006−0.729−0.301
B43.2313.0001.0005.0001.161−0.745−0.351
Table 3. Analysis Measurement Model (Reliability and Convergent Validity).
Table 3. Analysis Measurement Model (Reliability and Convergent Validity).
ConstructIndicatorFactor LoadingCronbach’s Alpharho_AComposite ReliabilityAverage Variance Extracted (AVE)
Academic stressAS10.8770.8710.8720.9210.795
AS20.908
AS30.889
Academic burnoutB10.7900.7760.7820.8570.600
B20.728
B30.738
B40.837
Coping strategiesCS10.7480.8450.8660.8950.682
CS20.873
CS30.857
CS40.819
Perfectionism P10.8890.8050.8260.8840.718
P20.786
P30.864
Self-efficacySE10.7450.8170.8220.8800.647
SE20.847
SE30.815
SE40.807
WORKLOADW10.8710.8540.8680.9010.695
W20.828
W30.857
W40.777
Table 4. Fornell–Larcker for Discriminant Validity Testing.
Table 4. Fornell–Larcker for Discriminant Validity Testing.
Academic StressBurnoutCoping StrPerfectSEWorkload
Academic Stress0.891
Burnout0.5410.774
Coping Strategies−0.495−0.7050.826
Perfectionism 0.5010.848−0.6700.848
Self-efficacy−0.398−0.9150.659−0.7900.804
Workload0.8190.702−0.5210.626−0.5790.834
Table 5. Additional Assessment for Discriminant Validity with the Heterotrait–Monotrait (HTMT) Ratio of Correlations.
Table 5. Additional Assessment for Discriminant Validity with the Heterotrait–Monotrait (HTMT) Ratio of Correlations.
Academic StressBurnoutCoping StrPerfectSEWorkload
Academic Stress
Burnout0.659
Coping Strategies0.5570.859
Perfectionism 0.5970.9120.808
Self-efficacy0.4620.8780.7840.967
Workload0.9420.8510.5830.7480.681
Table 6. Effect Size of predictive Variables.
Table 6. Effect Size of predictive Variables.
Academic StressAcademic Burnout
Academic Stress 0.002
Coping Strategies0.0750.024
Perfectionism 0.153
Self-efficacy0.0831.162
Workload1.5050.070
Table 7. Explanation Power (R2).
Table 7. Explanation Power (R2).
R SquareR-Square Adjusted
Academic STRESS0.7020.698
Academic BURNOUT0.9050.903
Table 8. Variance Inflation Factors-VIF value.
Table 8. Variance Inflation Factors-VIF value.
ItemOuter VIFInner VIF to Academic StressInner VIF to Academic Burnout
AS12.181 3.367
AS22.709
AS32.240
B11.533
B21.440
B31.511
B41.829
CS11.675
CS22.1571.8642.139
CS32.058
CS41.900
P12.253 3.243
P21.660
P31.744
SE11.562
SE22.0682.0423.152
SE31.941
SE41.682
W12.181
W21.9891.5864.067
W32.124
W41.710
Table 9. Importance–Performance Map Analysis Value.
Table 9. Importance–Performance Map Analysis Value.
VariablePreservice Mathematics Teacher Academic Burnout
ImportancePerformances
ACADEMIC STRESS0.02862.119
COPING STR−0.07630.909
PERFECT0.21859.909
SE−0.58442.995
WORKLOAD0.18861.759
Notes: Importance is the total effect of structural model = average values of latent variable scores [106].
Table 10. Hypothesis Testing Results.
Table 10. Hypothesis Testing Results.
HHypothesisβSample Mean (M) (STDEV)T Statistics p Values
H1Coping Strategies -> Academic Stress−0.204−0.2070.0633.2170.001
H2Coping Strategies -> Academic Burnout−0.071−0.0680.0332.1180.035
H3Perfectionism -> Academic Burnout0.2180.2250.0425.2260.000
H4Self-efficacy -> Academic Stress0.2240.2220.0633.5920.000
H5Self-efficacy -> Academic Burnout−0.590−0.5850.04513.0860.000
H6Workload -> Academic Stress0.8430.8400.03822.2510.000
H7Workload -> Academic Burnout0.1640.1660.0453.6590.000
H8Academic Stress -> Academic Burnout0.0280.0280.0420.6700.503
Publisher’s Note: MDPI stays neutral with regard to jurisdictional claims in published maps and institutional affiliations.

Share and Cite

MDPI and ACS Style

Qin, L.; Lu, J.; Zhou, Y.; Wijaya, T.T.; Huang, Y.; Fauziddin, M. Reduction of Academic Burnout in Preservice Teachers: PLS-SEM Approach. Sustainability 2022, 14, 13416. https://doi.org/10.3390/su142013416

AMA Style

Qin L, Lu J, Zhou Y, Wijaya TT, Huang Y, Fauziddin M. Reduction of Academic Burnout in Preservice Teachers: PLS-SEM Approach. Sustainability. 2022; 14(20):13416. https://doi.org/10.3390/su142013416

Chicago/Turabian Style

Qin, Le, Jie Lu, Ying Zhou, Tommy Tanu Wijaya, Yongxing Huang, and Mohammad Fauziddin. 2022. "Reduction of Academic Burnout in Preservice Teachers: PLS-SEM Approach" Sustainability 14, no. 20: 13416. https://doi.org/10.3390/su142013416

APA Style

Qin, L., Lu, J., Zhou, Y., Wijaya, T. T., Huang, Y., & Fauziddin, M. (2022). Reduction of Academic Burnout in Preservice Teachers: PLS-SEM Approach. Sustainability, 14(20), 13416. https://doi.org/10.3390/su142013416

Note that from the first issue of 2016, this journal uses article numbers instead of page numbers. See further details here.

Article Metrics

Back to TopTop