Measuring and Assessing Performance of Mobile Broadband Networks and Future 5G Trends
Abstract
:1. Introduction
2. Oman Mobile Broadband
3. Methodology and Experimental Design
4. Performance Evolution
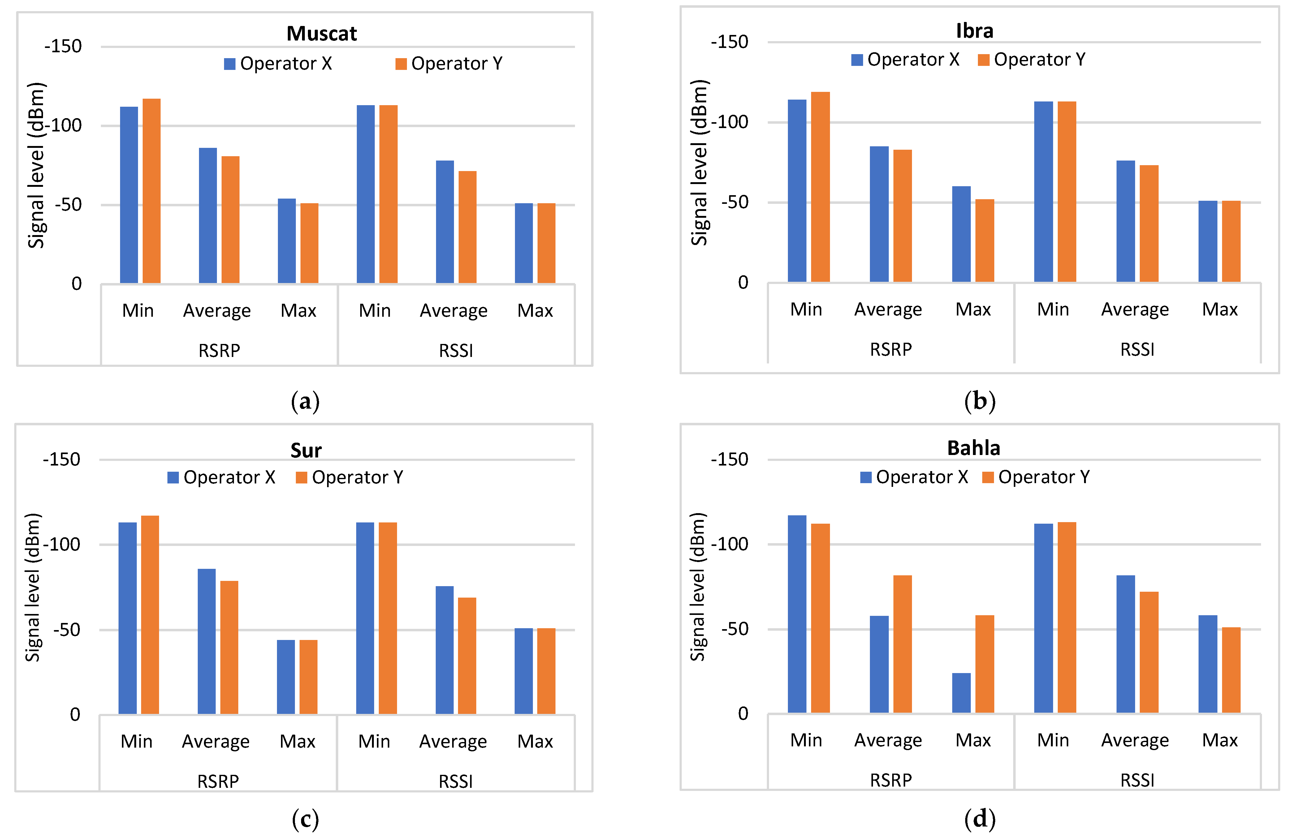
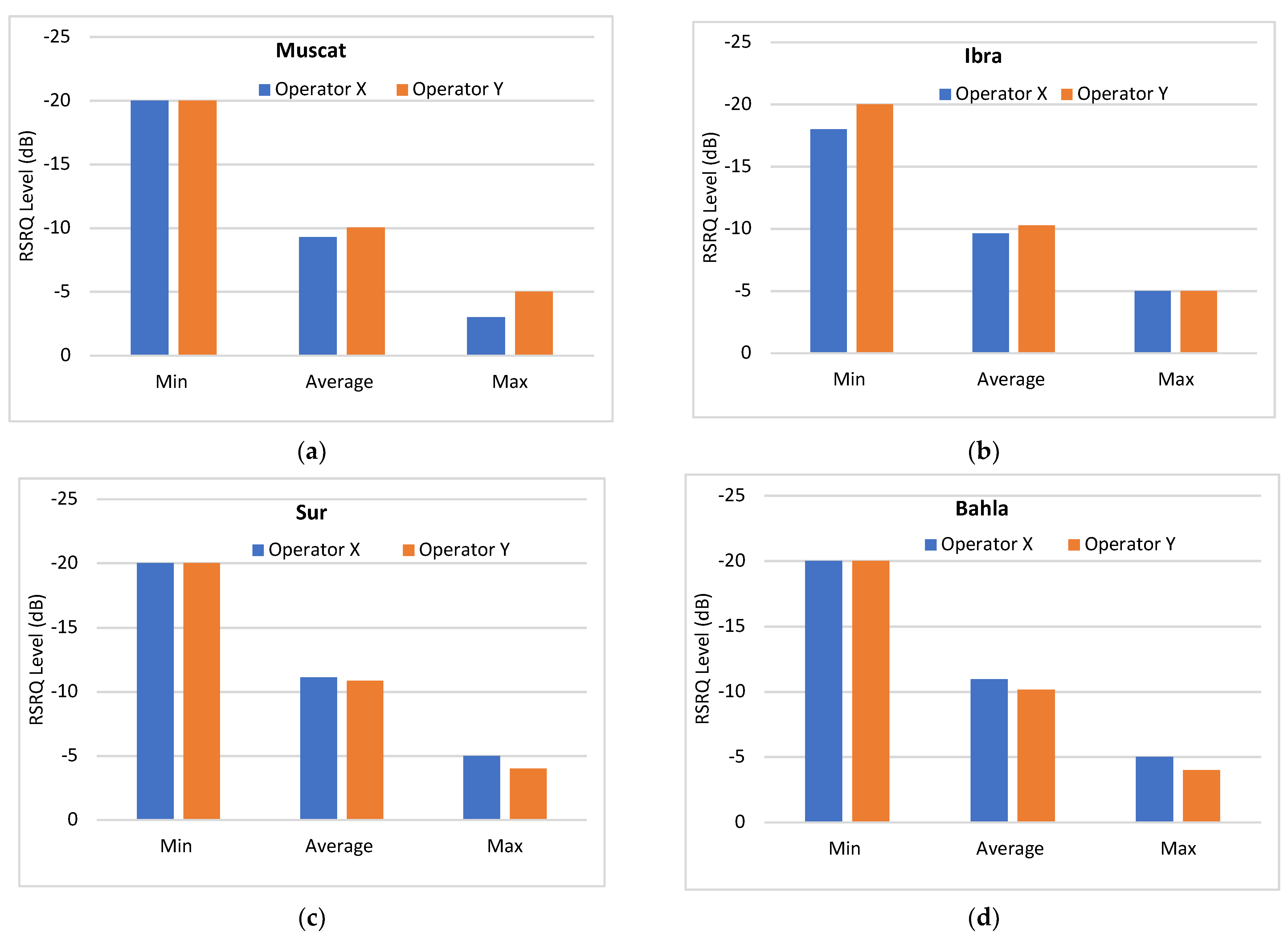
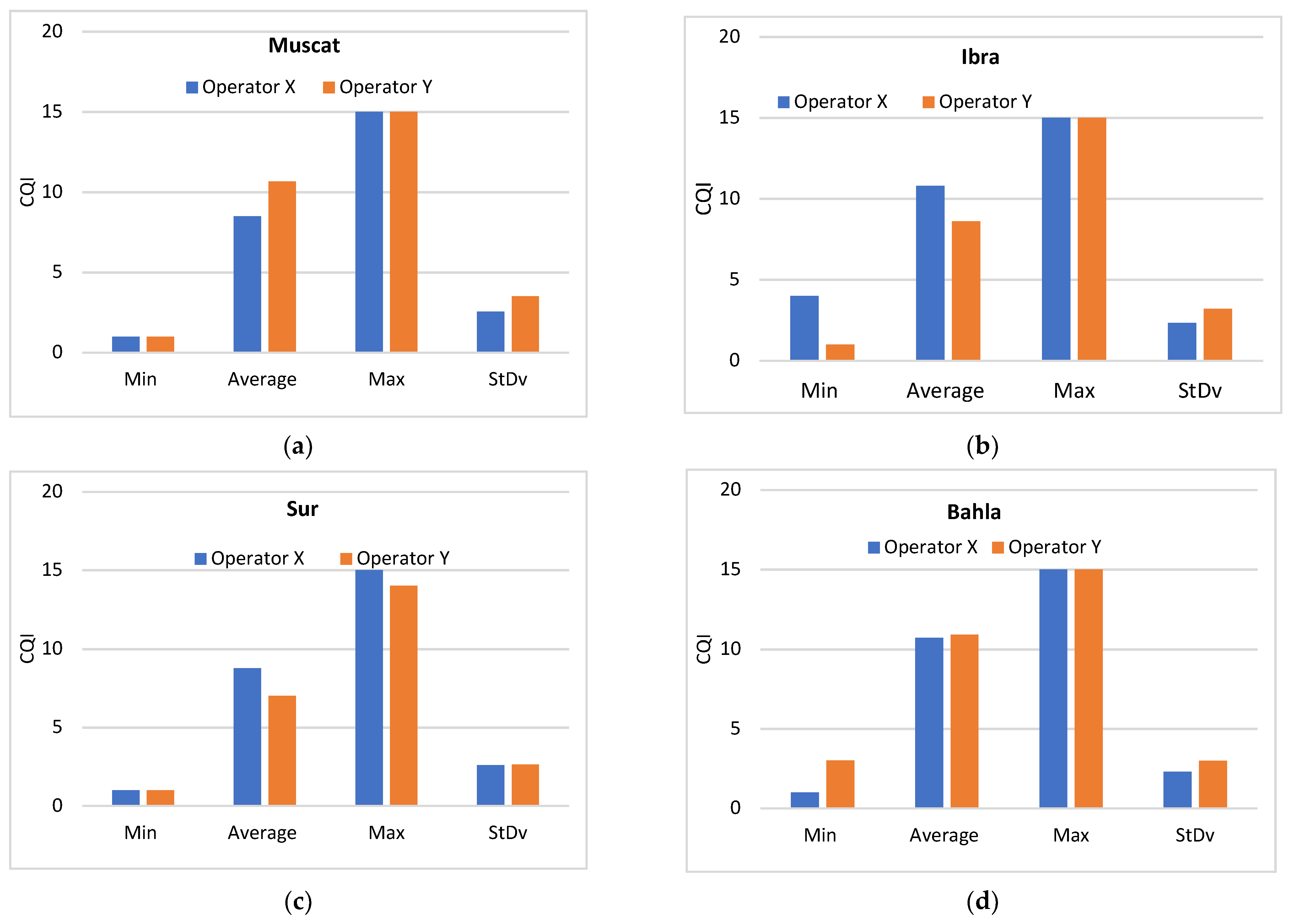
4.1. Signal Level and Quality
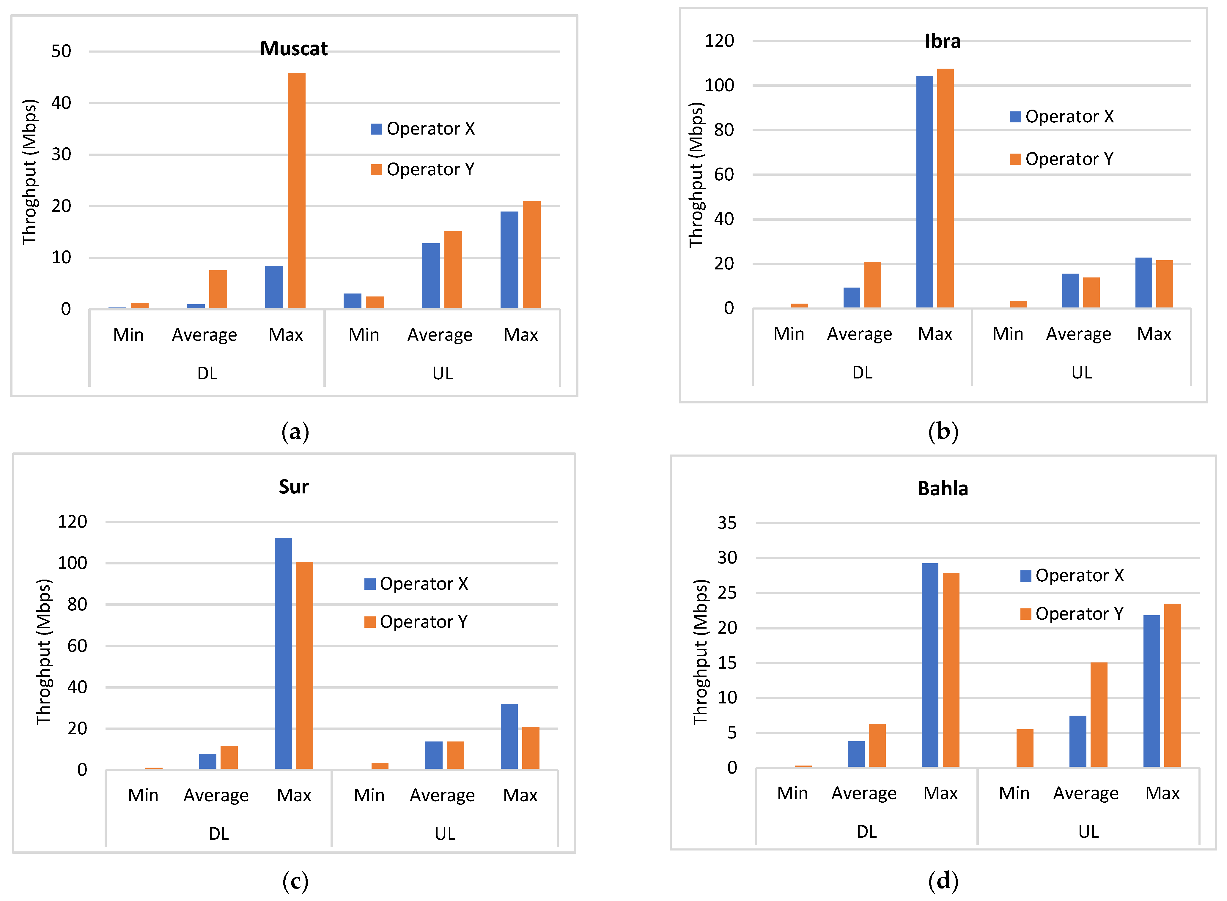
4.2. Data Rate
4.3. Latency (Ping, Packet Loss)
4.4. Handover
4.5. Analysis Summary
5. Study limitations and 5G Trends
5.1. Study Limitations
- Limited drive test: The data measurements were collected in four cities, whereas larger areas would be better but more time consuming. Thus, this work can be extended to other areas, especially densely populated cities. Moreover, this work can also include rural areas which are outside the densely populated urban areas in towns or cities.
- Indoor scenarios: This study can be further extended to include the performance of MBB in indoor environments such as shopping malls while considering single and multi-floor scenarios. Indoor coverage would become much more important due to the high demands of modern usage cases. Thus, further investigation in indoor environments will provide an overview of how MBB performs in a complicated internal building’s structure that can interfere with radio frequencies.
- One-time drive test: This study was carried out during the daytime where the cell traffic load was at a normal capacity. Hence, drive tests during peak and peak-off hours can be included in further investigations. In the peak period, most of the subscribers are likely to be online and demand more resources, whereas the data rate demand is low in the off-peak period.
- MBB services: Due to application limitations, this study was limited to two types of MBB services: web browsing and file (DL and UL) tests. Other services tests such as video streaming and voice can be included in future study, but it will require an application that can support these services.
- Beyond MBB services: Several factors other than MBB services have not been considered in this study, such as tariffs, prices, data packages, policies, privacy, billing, etc. These factors are not important in the analysis of network performance, but it will be more useful for the benchmarking stages.
- Measurement time: The measurements of this study were collected once for each area where the network performance of MNOs was not measured with various climatic conditions with multiple drive tests. Thus, a one-time drive test may not provide the actual network performance of each MNOs. Therefore, this study can be extended further to multiple, longer drive tests for each area.
- Auto technology: In this study, the mobile device chose the available network technology (i.e., 2G, 3G or 4G) to connect to a serving cell. However, this did not provide the network performance of each technology of MNO independently. It can be recommended to include a locked technology scenario where the mobile device is locked to one technology at each measurement time.
- User Mobility: The data measurements were collected with the medium mobility of car speed (≤70 kh/h). Therefore, various mobility scenarios could be considered for the drive test, such as low, medium and high speeds. These scenarios lead to the provision of more details on the network performance with respect to user mobility.
- 5G networks: This study focused on existing MBB networks (3G and 4G) because there are only limited commercial 5G MBB networks deployed in Oman. Therefore, the current study can be extended to involve 5G MBB using supported mobile phones and applications.
5.2. 5G Trends
6. Conclusions
Author Contributions
Funding
Institutional Review Board Statement
Informed Consent Statement
Data Availability Statement
Acknowledgments
Conflicts of Interest
References
- Alhammadi, A.; Roslee, M.; Alias, M.Y. Fuzzy logic based negotiation approach for spectrum handoff in cognitive radio network. In Proceedings of the 2016 IEEE 3rd International Symposium on Telecommunication Technologies (ISTT), Kuala Lumpur, Malaysia, 28–30 November 2016. [Google Scholar]
- Roslee, M.; Alhammadi, A.; Alias, M.Y.; Anuar, K.; Nmenme, P. Efficient handoff spectrum scheme using fuzzy decision making in cognitive radio system. In Proceedings of the 2017 3rd International Conference on Frontiers of Signal Processing (ICFSP), Paris, France, 6–8 September 2017. [Google Scholar]
- Lobo, B.J.; Alam, M.R.; Whitacre, B.E. Broadband speed and unemployment rates: Data and measurement issues. Telecommun. Policy 2020, 44, 101829. [Google Scholar] [CrossRef]
- ITU. Series P: Telephone Transmission Quality, Telephone Installations, Local Line Networks, Vocabulary for Performance, Quality of Service and Quality of Experience; T P.10/G.100; International Telecommunication Union Telecommunication Standardization Sector: Geneva, Switzerland, 2017. [Google Scholar]
- Bouraqia, K.; Sabir, E.; Sadik, M.; Ladid, L. Quality of experience for streaming services: Measurements, challenges and insights. IEEE Access 2020, 8, 13341–13361. [Google Scholar] [CrossRef]
- Jahromi, H.Z.; Delaney, D.T.; Hines, A. Beyond first impressions: Estimating quality of experience for interactive web applications. IEEE Access 2020, 8, 47741–47755. [Google Scholar] [CrossRef]
- Shayea, I.; Azmi, M.H.; Ergen, M.; El-Saleh, A.A.; Han, C.T.; Arsad, A.; Rahman, T.A.; Alhammadi, A.; Daradkeh, Y.I.; Nandi, D. Performance analysis of mobile broadband networks with 5g trends and beyond: Urban areas scope in malaysia. IEEE Access 2021, 9, 90767–90794. [Google Scholar] [CrossRef]
- Shayea, I.; Ergen, M.; Azmi, M.H.; Nandi, D.; El-Salah, A.A.; Zahedi, A. Performance analysis of mobile broadband networks with 5G trends and beyond: Rural areas scope in Malaysia. IEEE Access 2020, 8, 65211–65229. [Google Scholar] [CrossRef]
- Imoize, A.L.; Orolu, K.; Atayero, A.A.-A. Analysis of key performance indicators of a 4G LTE network based on experimental data obtained from a densely populated smart city. Data Brief 2020, 29, 105304. [Google Scholar] [CrossRef] [PubMed]
- Rajiullah, M.; Khatouni, A.S.; Midoglu, C.; Alay, Ö.; Brunstrom, A.; Griwodz, C. Mobile network performance during the COVID-19 outbreak from a testbed perspective. In Proceedings of the 14th International Workshop on Wireless Network Testbeds, Experimental evaluation & Characterization, London, UK, 25 September 2020. [Google Scholar]
- Wang, S.; Wiart, J. Sensor-Aided EMF Exposure Assessments in an Urban Environment Using Artificial Neural Networks. Int. J. Environ. Res. Public Health 2020, 17, 3052. [Google Scholar] [CrossRef]
- Falkenberg, R.; Sliwa, B.; Piatkowski, N.; Wietfeld, C. Machine learning based uplink transmission power prediction for LTE and upcoming 5G networks using passive downlink indicators. In Proceedings of the 2018 IEEE 88th Vehicular Technology Conference (VTC-Fall), Chicago, IL, USA, 27–30 August 2018. [Google Scholar]
- Shayea, I.; Rahman, T.A.; Azmi, M.H.; Han, C.T.; Arsad, A. Indoor network signal coverage of mobile telecommunication networks in West Malaysia: Selangor and Johor Bahru. In Proceedings of the 2017 IEEE 13th Malaysia International Conference on Communications (MICC), Johor Bahru, Malaysia, 28–30 November 2017. [Google Scholar]
- Raida, V.; Svoboda, P.; Rupp, M. On the Inappropriateness of Static Measurements for Benchmarking in Wireless Networks. In Proceedings of the 2020 IEEE 91st Vehicular Technology Conference (VTC2020-Spring), Antwerp, Belgium, 25–28 May 2020. [Google Scholar]
- Ericsson. Ericsson Mobility Report; Ericsson: Stockholm, Sweden, 2021. [Google Scholar]
- TRA. Telecom Sector Indicators Report; Telecommunications Regulatory Authority: Muscat, Oman, 2020. [Google Scholar]
- Perf, 3G/4G/5G Coverage Map, Oman. 2021. Available online: https://www.nperf.com/en/map/OM/-/223624.Omantel-Mobile/signal/ (accessed on 25 November 2021).
- MTC. Annual Report 2019; Ministry of Technology and Commnications: Muscat, Oman, 2019; pp. 1–62. [Google Scholar]
- Ooredoo. Capital Markets Day, Ooredoo Oman Updates. 2019. Available online: https://www.ooredoo.com/wp-content/uploads/2015/10/Capital-Markets-Day-Ooredoo-Oman-CEO-Ian-Dench-.pdf (accessed on 25 July 2021).
- Solutions, G. G-NetTrack Pro. Available online: https://gyokovsolutions.com/g-nettrack/ (accessed on 28 August 2021).
- Elsherbiny, H.; Nagib, A.M.; Abou-zeid, H.; Abbas, H.M.; Hassanein, H.S.; Noureldin, A.; Sediq, A.B.; Boudreau, G. 4G LTE Network Data Collection and Analysis along Public Transportation Routes. In Proceedings of the GLOBECOM 2020-2020 IEEE Global Communications Conference, Taipei, Taiwan, 7–11 December 2020. [Google Scholar]
- De Andrade, H.G.V.; Ferreira, C.C.; da Silva Filho, A.G. Latency analysis in real lte networks for vehicular applications. In Proceedings of the 2016 VI Brazilian Symposium on Computing Systems Engineering (SBESC), João Pessoa, Paraíba, Brazil, 1–4 November 2016. [Google Scholar]
- Raca, D.; Quinlan, J.J.; Zahran, A.H.; Sreenan, C.J. Beyond throughput: A 4G LTE dataset with channel and context metrics. In Proceedings of the 9th ACM Multimedia Systems Conference, Amsterdam, The Netherlands, 12–15 June 2018. [Google Scholar]
- Jahdhami, M.A.A.; El-Saleh, A.; Alhammadi, A.; Shayea, I. Performance Analysis of Mobile Broadband Networks in Ibra City, Oman. In Proceedings of the IEEE International Conference on Artificial Intelligence and Big Data Analytics (ICAIBDA 2021), Jawa Barat, Indonesia, 27–29 October 2021. [Google Scholar]
- Abdulraqeb, A.; Mardeni, R.; Yusoff, A.; Ibraheem, S.; Saddam, A. Self-optimization of handover control parameters for mobility management in 4G/5G heterogeneous networks. Autom. Control Comput. Sci. 2019, 53, 441–451. [Google Scholar] [CrossRef]


















| Year | Sites Number Per Technology | Average SE (bps/Hz) | SE Growth Ratio Overall Technology | ||
|---|---|---|---|---|---|
| 2G | 3G | 4G | |||
| 2015 | 4083 | 3745 | 1285 | 5.33 | |
| 2016 | 4279 | 4403 | 2008 | 6.41 | 1.20 |
| 2017 | 4396 | 4805 | 3086 | 7.78 | 1.46 |
| 2018 | 4426 | 5226 | 3881 | 8.58 | 1.61 |
| 2019 | 4498 | 5399 | 4270 | 8.89 | 1.67 |
| 2020 | 4609 | 5923 | 5826 | 10.06 | 1.89 |
| Term | Description |
|---|---|
| Longitude | Current location longitude in decimal format. |
| Latitude | Current location latitude in decimal format. |
| Speed | Vehicle speed in km/h. |
| Type | Type of network technology: 2G/3G/4G. |
| LEVEL | Signal strength in dBm recorded as: RXLEV for 2G, RSCP for 3G and RSRP for 4G. For simplicity, RSRP was used as a signal level for all networks. |
| QUAL | Signal quality of the network in dB and recorded as: RXQUAL for 2G, ECNO for 3G and RSRQ for 4G. For simplicity, RSRQ was used as signal quality for all networks. |
| CQI | Channel quality indicator measure over 4G network only. |
| Ping | Measured the required time to send an amount of data and receive a response in ms. |
| DL/UL | Downlink/uplink data transfer speed in kbps. |
| Handover | The process of transferring voice calls or data sessions from one serving cell to a target cell. |
| Parameter | Setting |
|---|---|
| Ping URL | www.google.com (accessed on 28 August 2021). |
| Ping number | 10 |
| Ping packet size | 56 bytes |
| Ping interval | 1000 ms |
| Ping sequence time | 10 s |
| Upload URL | http://ipv4.download.thinkbroadband.com (accessed on 28 August 2021). |
| Upload time | 10 s |
| Download URL | http://ipv4.download.thinkbroadband.com/1GB.zip (accessed on 28 August 2021). |
| Download file size | 1 GB |
| Download time | 10 s |
| Pause between test | 1 s |
| Multithread | No |
| Simultaneous UL/DL | Yes |
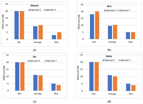
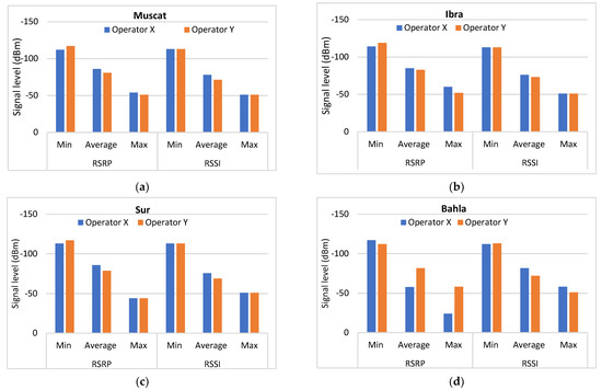
| City | MNO | RSRP (dBm) | RSRQ (dB) | CQI | |||||||
|---|---|---|---|---|---|---|---|---|---|---|---|
| Min | Avg. | Max | Min | Avg | Max | Min | Avg | Max | Sdv. | ||
| Muscat | X | −112 | −85.98 | −54 | −20 | −9.27 | −3 | 1 | 8.48 | 15 | 2.55 |
| Y | −117 | −80.63 | −51 | −20 | −10.03 | −5 | 1 | 10.66 | 15 | 3.51 | |
| Ibra | X | −114 | −84.90 | −60 | −18 | −9.62 | −5 | 4 | 10.80 | 15 | 2.34 |
| Y | −119 | −82.70 | −52 | −20 | −10.27 | −5 | 1 | 8.62 | 15 | 3.20 | |
| Sur | X | −113 | −85.70 | −44 | −20 | −11.11 | −5 | 1 | 8.77 | 15 | 2.59 |
| Y | −117 | −78.66 | −44 | −20 | −10.85 | −4 | 1 | 7.00 | 14 | 2.63 | |
| Bahla | X | −117 | −57.66 | −24 | −20 | −10.96 | −5 | 1 | 10.69 | 15 | 2.30 |
| Y | −112 | −81.46 | −58 | −20 | −10.15 | −4 | 3 | 10.90 | 15 | 2.98 | |
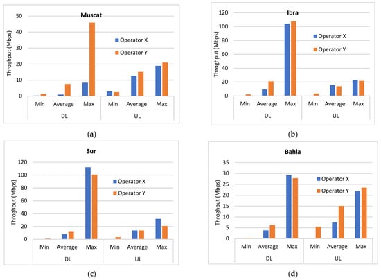
| City | MNO | Throughput (Mbps) | Ping (ms) | Handover No. | |||||
|---|---|---|---|---|---|---|---|---|---|
| Avg DL | Avg UL | Max DL | UL Max | Avg | Stdev | Loss | Total | ||
| Muscat | X | 0.93 | 12.76 | 8.36 | 18.89 | 46.94 | 94.55 | 1.12 | 309 |
| Y | 7.48 | 15.14 | 45.84 | 20.93 | 35.86 | 44.66 | 0.18 | 189 | |
| Ibra | X | 9.26 | 15.54 | 104.01 | 22.77 | 48.18 | 27.30 | 2.18 | 129 |
| Y | 20.90 | 13.80 | 107.54 | 21.53 | 41.71 | 41.53 | 0.05 | 88 | |
| Sur | X | 7.75 | 13.67 | 112.17 | 31.77 | 49.70 | 17.80 | 1.76 | 234 |
| Y | 11.53 | 13.71 | 100.68 | 20.77 | 38.15 | 105.16 | 0 | 175 | |
| Bahla | X | 3.77 | 7.46 | 29.21 | 21.82 | 128.87 | 238.22 | 2.14 | 36 |
| Y | 6.23 | 15.04 | 27.81 | 23.41 | 39.38 | 27.00 | 0 | 111 | |
Publisher’s Note: MDPI stays neutral with regard to jurisdictional claims in published maps and institutional affiliations. |
© 2022 by the authors. Licensee MDPI, Basel, Switzerland. This article is an open access article distributed under the terms and conditions of the Creative Commons Attribution (CC BY) license (https://creativecommons.org/licenses/by/4.0/).
Share and Cite
El-Saleh, A.A.; Alhammadi, A.; Shayea, I.; Alsharif, N.; Alzahrani, N.M.; Khalaf, O.I.; Aldhyani, T.H.H. Measuring and Assessing Performance of Mobile Broadband Networks and Future 5G Trends. Sustainability 2022, 14, 829. https://doi.org/10.3390/su14020829
El-Saleh AA, Alhammadi A, Shayea I, Alsharif N, Alzahrani NM, Khalaf OI, Aldhyani THH. Measuring and Assessing Performance of Mobile Broadband Networks and Future 5G Trends. Sustainability. 2022; 14(2):829. https://doi.org/10.3390/su14020829
Chicago/Turabian StyleEl-Saleh, Ayman A., Abdulraqeb Alhammadi, Ibraheem Shayea, Nizar Alsharif, Nouf M. Alzahrani, Osamah Ibrahim Khalaf, and Theyazn H. H. Aldhyani. 2022. "Measuring and Assessing Performance of Mobile Broadband Networks and Future 5G Trends" Sustainability 14, no. 2: 829. https://doi.org/10.3390/su14020829
APA StyleEl-Saleh, A. A., Alhammadi, A., Shayea, I., Alsharif, N., Alzahrani, N. M., Khalaf, O. I., & Aldhyani, T. H. H. (2022). Measuring and Assessing Performance of Mobile Broadband Networks and Future 5G Trends. Sustainability, 14(2), 829. https://doi.org/10.3390/su14020829

