Abstract
The non-uniform adsorption characteristics of coal strictly restrict the development and utilization of CBM, and the structure of coal is the fundamental reason for its non-uniform adsorption of methane. To investigate the fundamental causes of methane adsorption capacity differences in coal with various meso-structures, small coking coal and lean coal samples were subjected to isothermal adsorption, computed tomography (CT) scanning, scanning electron microscopy (SEM), and mercury intrusion porosimetry (MIP) to obtain the correlation between the meso-structure of coal and its non-uniform adsorption characteristics. The reasons for the differences in methane adsorption capacity between the specimens were summarized from the perspectives of material and structural heterogeneities, meso-morphology and pore size distribution. The following conclusions could be drawn: (1) The coal samples with different heterogeneity degrees exhibit varying methane adsorption capacities. (2) Compared to the specific surface area, the mineral composition exerts a greater influence on the adsorption capacity of the coal samples. (3) The gas adsorption capacities of the coal samples with similar meso-morphology and pore size distribution characteristics are similar, while among the coal samples with similar pore size distributions but different meso-morphologies, the gas adsorption capacities significantly differ.
1. Introduction
China contains abundant coalbed methane (CBM) resources, with 36.81 × 1012 m3 of geological CBM resources at a burial depth of 2000 m and 10.87 × 1012 m3 of recoverable CBM resources at a burial depth of 1500 m [1]. Shao, Liu, and Zhao et al. [2,3,4] found that different geological and tectonic environments impose notable effects on the distribution and enrichment of CBM. As a clean energy source, the development and utilization of CBM can both alleviate energy shortages and prevent environmental pollution. However, as a natural medium, there are always micro-pores, fissures, and mixed impurities within coal, which results in different coal parts exhibiting distinct adsorption capacities, referred to as the non-uniform adsorption characteristics of coal. These characteristics seriously restrict the development and utilization of CBM, so it is important to study the non-uniform adsorption characteristics of coal for CBM extraction.
There are three states of CBM, namely the adsorbed state, free state, and dissolved state, but most methane is adsorbed on the surface of the coal matrix [5,6]. The non-uniform adsorption phenomenon of methane in coal has been extensively studied worldwide over the past decade. Several scholars have studied the influence of the adsorption potential and surface free energy of coal on its non-uniform adsorption characteristics; Liu et al. [7] revealed the non-uniform adsorption characteristics of coal from the two aspects of the adsorption potential and surface free energy. Based on adsorption potential theory, Wang et al. [8] established coal adsorption characteristic curves for different coal ranks. Fan et al. [9] constructed a relationship between the surface free energy of coal and gas adsorption, and then pointed out that, the larger the surface free energy of coal samples is, the higher the adsorption capacity of the coal samples. Other scholars have explored the effect of external factors, such as temperature and stress conditions, on the adsorption capacity of coal; Wierzbicki [10] used diffusion coefficients at different temperatures and pressures to characterize the adsorption of methane by coal. Abunowara et al. [11] found that the adsorption of CO2 by Malaysian coal was favorable under low temperature and dry coal conditions. Yue et al. [12] explored the effect of temperature on the non-uniform adsorption characteristics of coal from the perspective of the equivalent heat of adsorption. Zhang [13] investigated the adsorption state of methane on coal surfaces under different temperature conditions. Ma et al. [14] found that the adsorption capacity of medium- and high-rank coals is positively correlated with the pressure and thermal evolution degree. Scholars have established mathematical models related to the non-uniform adsorption of methane by coal; Zhou et al. [15] developed a non-uniform potential well model for coal-methane adsorption kinetics using the Monte Carlo method, and then verified that the model is more accurate than the ideal Langmuir equation by combining it with physical experiments. Ripepi et al. [16] used a dual-site Langmuir adsorption model to describe high pressure carbon dioxide adsorption in coal by considering both the adsorbed and absorbed phases. Feng et al. [17] found that the methane enrichment zone in coal exhibits fractal characteristics based on the box dimension method of the fractal geometry, and the fractal dimensions all varied between 1.5 and 2.0. Perera et al. [18] proposed a new model to describe the relationship between coal adsorption capacity and effective factors, which was based on the existing DR equation and modified by inserting a new expression for the term of micro-pore capacity. Song et al. [19] concluded that the presence of oxygen-containing functional groups promotes CH4 adsorption by calculating radial distribution functions between different oxygen-containing functional groups and CH4 molecules. Li et al. [20] explored the gas adsorption mechanism of coal from the perspective of the change in the specific surface Gibbs function.
Although a large number of experimental and theoretical studies have been conducted by scholars worldwide regarding the non-uniform adsorption characteristics of coal, a consensus has not yet been reached regarding the factors influencing the non-uniform distribution of coalbed methane. In recent years, with the development of microscopic observation techniques, more scholars have investigated the non-uniform adsorption characteristics of coal from a microscopic perspective; Hodot [21] divided pores into four categories according to the pore size, as follows: micro-pores < 10 nm, 10 nm < transition pores < 100 nm, 100 nm < meso-pores < 1000 nm, and 1000 nm < macro-pores. Skoczylas et al. [22] found that the adsorption capacity of coal samples depends on the micro-structure and the grinding level; the larger the particles forming the granular fraction are, the smaller the amount of desorbed methane. Mahamud et al. [23] studied the pore changes and structural characteristics of coal in the coking process using cryogenic liquid nitrogen adsorption and CO2 adsorption. Pan et al. [24] used atomic force microscopy (AFM) to characterize the macro-molecules and nanoscale pores of different types of tectonically deformed coals. Tambaria et al. [25] found that changes in the structural geometry of coal related to the presence of meso-pores and micro-pores, and that chemical structure can affect the extent of gas adsorption in coal. Hu et al. [26] found that the CH4 adsorption capacity of coal was determined by both the accessible micro-pore volume distributions and external surface areas in coal. Li et al. [27] used optical microscopy and scanning electron microscopy to evaluate coal samples and found that the adsorption capacity of coal depends on the specific surface area and total pore volume. Wang et al. [28] discussed the mechanism of methane diffusion in coal samples based on the pore structure and heterogeneity of coal samples. Jiang et al. [29] obtained the correlation between the microscopic pore structure and macroscopic gas adsorption/dispersion characteristics of low-rank coal based on the relationship between pore structure parameters and the gas adsorption/desorption characteristic parameters of low-rank coal. Nie et al. [30] studied the pore structure characteristics of coal via low-pressure nitrogen adsorption and scanning electron microscopy in terms of four aspects, i.e., the pore volume, specific surface area, pore size distribution, and pore shape. Zhang et al. [31] analyzed the pore structure of coal via mercury intrusion porosimetry and low-temperature liquid nitrogen adsorption, and concluded that the distribution of meso- and macro-pores is the main factor leading to the difference in gas dispersion characteristics between tectonic and native coals. In the above microscopic studies, some scholars focused on the effect of the pore structure on the adsorption capacity of coal, while other scholars used briquette coal with a notable structural difference from primary coal for testing, and the test results failed to fully reflect the effect of the microstructure of coal on its non-uniform adsorption characteristics.
In this paper, we conducted isothermal adsorption tests involving coking and lean coal samples, and then performed CT scanning, SEM, and MIP tests involving these samples, in order to explore the effects of the internal density and heterogeneity, meso-morphology, material components, and pore size distribution on the adsorption capacity of the specimens.
2. Experiments
2.1. Samples
In this work, coking and lean coal specimens were used. Both adsorption and meso-structure tests were conducted involving these two types of coal samples for verification. Experimental samples were obtained from the Xiqu coal mine in the Xishan coalfield and the Heshun coal mine in the Qinshui coalfield, respectively, in North China. Referring to the GB/T212-2008 industrial analysis method of coal, industrial analysis results for the experimental coal samples are listed in Table 1. Four coking coal samples were prepared, numbered 1-1, 1-2, 1-3, and 1-4, respectively, and another four lean coal samples were prepared, numbered 2-1, 2-2, 2-3, and 2-4, respectively. The preparation process of these coal samples was carried out according to the following steps:
Table 1.
Industrial analysis results for the experimental coal samples.
- (1)
- A standard coal sample of Φ50 mm × 100 mm was subjected to CT scanning on the μCT225kVFCB high-precision micro-CT platform developed by Taiyuan University of Technology, and the experimental method and technical indices are detailed in the literature [32]. The scanning voltage was 110 kV, the current was 130 μA, the amplification was 3.8 times, and the resolution was 49.3 µm. Figure 1 shows CT slices of standard coking and lean coal samples. In the slice, the bright white area indicates the region of clay minerals, the gray part indicates the coal matrix, and the black part indicates the fissures, which demonstrates that the coking coal exhibits obvious heterogeneity.
Figure 1. The CT slices of coking and lean coal samples.
- (2)
- Based on the CT scanning images of the standard samples, a three-dimensional model was established. The number of layers after CT scanning was 1500 and the middle 300–1200th layers were selected for model reconstruction. Regarding each layer, in two dimensions, each slice/layer consisted of 2048 × 2048 pixels, from which a homogeneous region of 600 × 600 pixels was selected in professional CT analysis software developed by our group. Therefore, a reconstruction encompassing 900 layers was obtained, of which each layer consisted of 600 × 600 pixels. Similarly, several homogeneous regions of 150 × 150 × 150 pixels with different average attenuation coefficients within the reconstruction were searched and located to obtain different subsamples. The distribution of each subsample in the coking coal standard sample is shown in Figure 2.
Figure 2. Distribution of the subsamples in the coking coal standard sample.
2.2. Adsorption/Desorption Tests
The methane adsorption test system is shown in Figure 3. By setting the temperature of the incubator, the adsorption tanks were placed in a constant-temperature incubator at 20 °C. Of the six sample adsorption tanks, only the seventh tank was used for coal sample adsorption, and the remaining five sample adsorption tanks were used as reference tanks. Before the adsorption tests, a coal sample was placed in tank 7, and a vacuum pump was activated to eliminate free gas in the coal and pipelines. The degassing treatment lasted 24 h until the system vacuum pressure reached below 5 Pa. The valves of the reference tanks were closed, and the valve of the methane storage cylinder was opened. Therefore, a quantitative amount of methane gas was injected into the test chamber. After 24 h of methane isothermal adsorption, a final pressure fluctuation range of 0.1 psi was considered the equilibrium standard, followed by CH4 desorption experiments, and the desorption equilibrium standard was consistent with the adsorption equilibrium standard. According to the ideal gas equation, the methane adsorption content in the coal samples can be calculated with Equation (1), as follows:
where is the methane adsorption amount per unit mass of coal sample at equilibrium, mL/g; is the free space volume, mL; is the final state cumulative pressure at adsorption, MPa; is the universal gas constant, 8.314 J/(mol·K); is the incubator temperature, K; and is the mass of the coal sample, g.
Figure 3.
Adsorption test system.
2.3. CT, SEM, and MIP Experiments
To obtain secondary CT scanning images, a μCT225kVFCB high-precision CT experimental system with a scanning voltage of 90 kV, a scanning current of 120 μA, a magnification of 13.3 times, and a resolution of 14.7 µm was used.
The SEM experiments were performed using a QUANTA 250 scanning electron microscope. Full-amplitude scanning was first performed on the surface of the coal samples, and enlarged scanning was then concentrated on a specific area. To reflect the detailed morphology of the coal samples truly and comprehensively, 10–12 concentrated point scanning areas were selected for each coal sample with a maximum magnification of 5000 times. The SEM images characterizing the coal sample mesoscale morphology were selected from hundreds of electron microscopy images of each coal sample. In this paper, SEM images of the same point at a low magnification of 100 and medium magnification of 1000 were used to illustrate the meso-morphology of the coal samples.
A Pore Master 33 mercury piezometer was used for the MIP tests, which can measure pore diameters ranging from 8 nm to 1 mm under pressures from 1.5 kPa to 231 MPa. In the mercury intrusion process, as the inlet pressure was increased, the size of the pores accessible to mercury decreased. By recording the accumulated mercury content in the coal sample under any inlet pressure and considering the relationship between the inlet pressure and pore size [33,34], the pore size distribution of the samples could be obtained.
3. Results
3.1. Adsorption Capacity of the Samples
Figure 4 shows the CH4 adsorption amount of the samples. The adsorption content in the different coal samples of the same type differed. The content in the coking coal samples was more variable, with a maximum value 1.34 times the minimum value, while lean coal exhibited a maximum value 1.09 times the minimum value. The adsorption capacity of these two types of coal samples followed the order of 1-4 > 1-3 > 1-2 > 1-1 and 2-1 > 2-3 > 2-2 > 2-4, respectively.
Figure 4.
Adsorption capacity of the samples.
3.2. Meso-Morphology
The meso-morphology describes the coal surface information obtained via SEM, such as the coal matrix (shape and density), pores and fissures (size, shape, and connectivity), and mineral grains (size, quantity, and shape). Figure 5 shows representative SEM images of the samples at the 30 kV working voltage. The eight coal samples were initially classified into four categories based on the following three factors: coal matrix morphology, mineral components, and development of pores and fissures.

Figure 5.
The SEM images of the coal samples. (a) 1-1; (b) 1-2; (c) 1-3; (d) 1-4; (e) 2-1; (f) 2-2; (g) 2-3; (h) 2-4.
The first category included coking coal sample 1-1 and lean coal sample 2-4. Many white spots and streaks were observed in the corresponding electron micrographs, the coal matrix was loose, pores were developed, and many mineral grains were filled within the pore-fissure network. Coal sample 2-4 mainly contained mineral pores [35].
The second category encompassed coking coal samples 1-2 and 1-3 and lean coal samples 2-2 and 2-3. The corresponding electron micrographs showed greyish material with fewer white spots and streaks, low pore development, fewer macro-pores, and a dense coal matrix.
The third category included coking coal sample 1-4. This sample exhibited a unique morphology, and the coal matrix was flake-like phyteral composed of fusinite [36], which resulted in this sample attaining poor connectivity and a limited distribution of mineral components.
The fourth category contained lean coal sample 2-1. The corresponding electron micrograph was dark, pore development was obvious, especially macro-pores, the coal matrix was locally concave or convex, and the presence of mineral grains was less visible under local magnification, exhibiting the characteristics of a pore-fissure network with a high degree of macro-pore development.
The above classification of the meso-morphology of the samples could provide a reference and classification basis for CT and MIP experimental data analysis, and could facilitate the study of the heterogeneity and pore structure of samples.
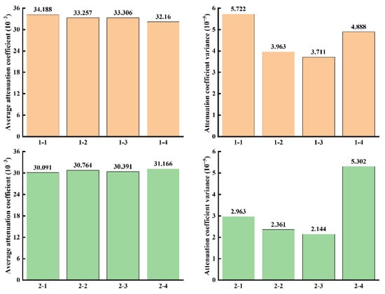
3.3. Average Attenuation Coefficient and Variance
According to the Beer equation and statistical knowledge, the linear attenuation coefficient of each point in the CT image, average attenuation coefficient, and variance can be calculated with the following Equations (2)–(4), respectively:
where is the intensity of X-rays after passing through the object, is the emission intensity of the X-ray source, is the attenuation coefficient within the object, is the distance across which X-rays pass inside the object, is the X-rays attenuation coefficient along a given path within the object, is the average attenuation coefficient, is the attenuation coefficient variance, is the attenuation coefficient at any point within the object, and is the number of pixel points.
Figure 6 lists the average attenuation coefficient and variance in the samples. Figure 6 indicates that there are slight differences in the average attenuation coefficient, but there remain distinctions in the attenuation coefficient variance, indicating material distribution differences among these samples. According to Equations (5) and (6), two samples can be considered similar samples with similar densities and similar degrees of heterogeneity. Otherwise, the two samples can be regarded as different samples. Equations (5) and (6) are as follows:
where is the difference in the average attenuation coefficient between the two samples, is the difference in the attenuation coefficient variance between the two samples, and are the average attenuation coefficients of the samples i and j, respectively, and and are the respective attenuation coefficient variances.
Figure 6.
Average attenuation coefficient and variance in the coal samples.
With the above algorithm, these samples could be divided into three categories, as follows: low, moderate, and high average attenuation coefficients and variances.
Samples 1-1 and 2-4 exhibited high average attenuation coefficient values and high attenuation coefficient variance values. The average attenuation coefficients of coking coal sample 1-1 and lean coal sample 2-4 were 34.188 × 10−3 and 31.166 × 10−3, respectively, which are the maximum values among the same coal sample type. The reason for this phenomenon is that more mineral grains occurred in these coal samples, the density of which is much higher than that of the coal matrix. In terms of the variance in the attenuation coefficient, these two samples yielded values of 5.722 × 10−5 and 5.302 × 10−5, respectively, which are also the maximum variance values. This phenomenon is caused by the presence of crystalline mineral particles resulting in material heterogeneity and a random distribution of mineral crystals and irregular pores, and fissures resulting in structural heterogeneity.
Samples 1-2, 1-3, 2-2, and 2-3 attained moderate average attenuation coefficient values and low attenuation coefficient variance values. The average attenuation coefficients of coking coal samples 1-2 and 1-3 and lean coal samples 2-2 and 2-3 occurred at the intermediate level. This is because there were fewer mineral particles in the coal matrix, pores and fissures were generally well developed, and the overall fine appearance was dominated by the coal matrix. In addition, these two types of coal samples exhibited similar attenuation coefficient variance values; the value for the two coking coal samples was approximately 3.837 × 10−5, and the value for the two lean coal samples was approximately 2.252 × 10−5, which occurred at the lowest level for the same sample type, indicating that these four samples exhibited low heterogeneity. This was caused by an irregular distribution of pores and fissures with poor development in these coal samples.
Samples 1-4 and 2-1 yielded low average attenuation coefficient values and high attenuation coefficient variance values. Due to its unique mesoscale morphological structure, namely flake-like phyteral, formed via the filamentous carbonization of plant stems (roots) and other fibrous tissues at the peatization stage, coking coal sample 1-4 exhibited the characteristics of a low density, with well-developed pores. Lean coal sample 2-1 was characterized by a loose coal matrix, fewer mineral components, and obvious development of macro-pores, resulting in its low density and high structural heterogeneity. Although the attenuation coefficient variance values of these two coal samples significantly differed, these samples still occurred at a relatively high level. The variance in the attenuation coefficient of coking coal sample 1-4 reached 4.888 × 10−5, second only to that of coking coal sample 1-1, but higher than that of coking coal samples 1-2 and 1-3, indicating its high heterogeneity. The variance in the attenuation coefficient of lean coal 2-1 was 2.963 × 10−5, which is also lower than that of lean coal sample 2-4, but higher than that of lean coal samples 2-2 and 2-3. However, the mineral pores in coal sample 2-4 caused its attenuation coefficient variance to be much higher than that of the other subsamples. Therefore, the attenuation coefficient variance of lean coal sample 2-1 was also high. Hence, these two samples attained a low density and high structural heterogeneity.
3.4. Pore Structure Characteristics
In this paper, we adopted the pore classification found in the literature [21] to study the pore structure of coal samples. As shown in Figure 7, at a pore size <100 nm, the pore volume increment initially changed rapidly and then slowly, and the downward trend eventually stabilized with increasing pore size; the highest point occurred in the micro-pore range. However, the number of pores within the 10~100 nm pore size range is large, which causes the pore volume of transition pores to be greater than that of micro-pores. Therefore, the pore size at this stage was predominantly characterized by transition pores. At a pore size >100 nm, the curve occurred close to the X-axis at the early stage with little change until a pore size of 10,000 nm was approached, except for in coking coal sample 1–3, which still exhibited no obvious change. The curves of the remaining samples all indicated a fluctuating upward trend with a single peak, multiple peaks, or a continuous increase to the highest point, revealing the characteristics of a small number and low proportion of meso-pores or a large number and high proportion of macro-pores within this pore size range.
Figure 7.
Pore size distribution curves of the samples.
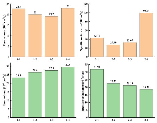
Figure 8 provides the pore volume and specific surface area of the samples, and the relationships between micro-pore, transition pore, meso-pore, and macro-pore volumes are shown in Figure 9. According to Figure 8 and Figure 9 and the above classification of coal samples, the following could be concluded:
Figure 8.
Pore volume and specific surface area of the samples.
Figure 9.
Pore volume distribution of the samples.
- (1)
- The pore volume of lean coal is larger than that of coking coal. Although these two coal types exhibit a pore size distribution dominated by micro-pores and transition pores, lean coal contains more macro-pores, which results in the larger pore volume of lean coal.
- (2)
- When the meso-morphology is similar, coal samples with similar average attenuation coefficient and variance characteristics exhibit very similar pore size distributions; when the meso-morphology differs, the pore size distributions of coal samples with similar average attenuation coefficient and variance characteristics clearly differ.
Coal samples with similar average attenuation coefficient and variance characteristics exhibit very similar pore size distributions when the meso-morphology is similar. In regard to coking coal samples 1-2 and 1-3 and lean coal samples 2-2 and 2-3, the average attenuation coefficient and variance in these samples occurred at a low level among similar coal samples; these samples all exhibited the similar meso-morphological characteristics of a dense coal matrix, poor pore-fissure development and fewer mineral grains, and the corresponding pore size distribution patterns all revealed the characteristics of high development of micro-pores and transition pores, and low development of meso- and macro-pores, indicating the pore size distribution sequence of transition pores > micro-pores > macro-pores > meso-pores.
When the meso-morphology differs, the pore size distribution of coal samples with similar average attenuation coefficient and variance characteristics clearly differs. For example, the average attenuation coefficient and variance values of coking coal sample 1-1 and lean coal sample 2-4 occur among the highest values for similar coal samples, but the pore size distributions greatly differ. Coal sample 1-1 indicates obvious development of micro-pores and transition pores, followed by macro-pores, and almost no development of meso-pores, while coal sample 2-4 indicates development of transition pores and macro-pores, followed by micro-pores, and the lowest development of meso-pores. Although both these samples exhibit pore development and more mineral particles in SEM images, coal sample 2-4 contains more pores in the form of mineral pores, and this particular pore morphology results in a greater proportion of macro-pores. In addition, although coking coal sample 1-4 and lean coal sample 2-1 exhibit the characteristics of a low average attenuation coefficient and high attenuation coefficient variance, their different meso-morphologies also result in different pore size distributions. The main component of the coal matrix of coal sample 1-4 is fusinite, which is mostly formed through the filamentous carbonization of plant stems (roots) and other fibrous tissues, thus, causing coal sample 1-4 to develop a unique meso-morphology. The pore size distribution of coal sample 1-4 indicates the order of transition pores > micro-pores > macro-pores > meso-pores. Macro-pores are clearly visible in coal sample 2-1 under the electron microscope, resulting in a pore size distribution sequence of transition pore > macro-pore > micro-pore > meso-pore, and the proportion of macro-pores is second to that of transition pores.
3.5. Effect of the Meso-Structure on the Adsorption Capacity
The meso-structure describes the overall information of coal at the mesoscale, including mesoscale morphological information obtained via SEM, average density and heterogeneity of the coal samples obtained via CT, and pore volume, pore size distribution, and specific surface area obtained via MIP. Based on the mesoscale information reflected in the obtained SEM images, the pore size distribution derived from MIP, and the average attenuation coefficient and variance calculated via CT, there are also obvious dissimilarities between samples of the same coal type, and these differences lead to differences in the samples’ adsorption capacity. In regard to coking coal samples 1-2 and 1-3 and lean coal samples 2-2 and 2-3, the coal samples of the same type exhibit a similar meso-morphology, close heterogeneity, comparable pore volume (approximately 0.0196 cm3/g for the coking coal samples and 0.0270 cm3/g for the lean coal samples), and similar pore size distribution, so these coking and lean coal samples exhibit similar methane adsorption capacities. However, samples with similar pore size distributions but different meso-morphologies may significantly differ in their gas adsorption capacity. Although coking coal samples 1-1 and 1-4 exhibit similar pore volumes and pore size distributions, the significant difference in meso-morphology and heterogeneity results in a difference in the methane adsorption capacity between these the two coal samples. The large number of mineral particles in coal sample 1-1 occupy a large number of adsorption sites, while the unique meso-structure of coal sample 1-4 provides more adsorption sites, so the adsorption capacities of these two samples differ greatly. In this section, the adsorption differences between the various experimental samples and meso-structural reasons are examined, and two important parameters, namely the specific surface area and heterogeneity, are selected for analysis and discussion. The specific surface area reflects pore and fissure development, especially the micro-pore and transition pore development. The degree of heterogeneity reflects the pore fracture development and mineral distribution.
3.5.1. Specific Surface Area
The specific surface area is an important parameter to evaluate the ability of mineral adsorption. The magnitude of the specific surface area is mainly determined by the development of micro-pores and transition pores; the larger the specific surface area, the more adsorption sites there are and the higher the adsorption capacity of the coal samples is [37,38]. The relationship between the adsorption capacity of the coal samples and the specific surface area is shown in Figure 10. Among the experimental coal samples, when there are fewer mineral crystal particles in the coal samples, coal samples with larger specific surface areas can adsorb more methane. This occurs because the adsorption of methane by coal mainly transpires on the surface of micro-pores and transition pores, and micro-pores and transition pores contribute the most to the specific surface area. The larger the specific surface area of pores in the coal sample, the more adsorption sites there are in the coal sample. However, the crystalline mineral particles distributed on the surface of the coal matrix and within pore fissures occupy a certain number of adsorption sites, yielding a much smaller effective number of adsorption sites in the coal sample than the actual number of adsorption sites, which ultimately results in a reduction in the methane adsorption capacity. Among the lean coal samples, there exists an overall linear correlation between the specific surface area and methane adsorption capacity. However, the specific surface area of sample 2-2 is larger than that of sample 2-3, but the adsorption capacity of sample 2-2 is lower instead. This occurs because the average attenuation coefficient and variance values of coal sample 2-2 are slightly higher than those of coal sample 2-3, indicating that there are more mineral grains in coal sample 2-2, thus, resulting in the lower methane adsorption capacity of sample 2-2. The presence of many mineral particles also causes a significant reduction in the space for effective methane adsorption in coal sample 2-4, which results in a notable deviation of coal sample 2-4 from the straight line. Among the coking coal samples, the specific surface area and methane adsorption capacity also indicate a positive linear correlation. When there are few mineral components in a given sample, the adsorption capacity of the sample increases with increasing specific surface area. Although coal sample 1-1 exhibits a large specific surface area, this sample attains the lowest methane adsorption capacity because the presence of more mineral particles leads to a significant reduction in the number of effective adsorption sites in this coal sample. Due to its unique meso-structure and fewer mineral components, coal sample 1-4 exhibits a much larger specific surface area and number of effective adsorption sites than those of the rest of the subsamples, which results in the largest methane adsorption volume for this sample.
Figure 10.
Relationship between the adsorption capacity and specific surface area of the samples.
3.5.2. Heterogeneity
To characterize the material heterogeneity (mineral diversity) and structural heterogeneity (pore and fissure development), according to the classification of coal samples in terms of the average attenuation coefficient and variance, the density and heterogeneity degree can be classified, as shown in Table 2. The relationship between the heterogeneity of the coal samples and methane adsorption capacity is examined in conjunction with the mesoscale information reflected in the obtained SEM images and pore development revealed via MIP, as follows:
Table 2.
Average density and heterogeneity of the samples.
- (1)
- Coal samples with a high density and high heterogeneity achieve a low gas adsorption capacity. The high density indicates more mineral grains in the coal matrix and pore fissures, combined with a well-developed pore fissure network. These coal samples exhibit the highest heterogeneity, which is reflected in both material and structural aspects. Although the pore development degree is high, mineral grains occupy a large amount of gas adsorption space, which causes a decrease in the amount of methane adsorbed by these coal samples. For example, coking coal sample 1-1 and lean coal sample 2-4 attain a low gas adsorption capacity because of their well-developed pores and notable mineral grain filling inside some pores. These samples exhibit obvious material and structural heterogeneity.
- (2)
- Coal samples with a medium density and low heterogeneity achieve a general gas adsorption capacity. A medium density indicates that these coal samples mostly consist of a coal matrix, with fewer mineral crystals and a less developed pore network, indicating lower heterogeneity and fewer number of gas adsorption sites, so the adsorption capacity is average. Coking coal samples 1-2 and 1-3 and lean coal samples 2-2 and 2-3 indicate a dense coal matrix, poor pore development, fewer mineral components, and low structural heterogeneity, which results in a moderate adsorption capacity.
- (3)
- Coal samples with a low density and high heterogeneity attain a high gas adsorption capacity. A low density indicates that these coal samples comprise a larger coal matrix with a well-developed pore structure. The higher the degree of pore development is, the larger the specific surface area, and the higher the gas adsorption capacity of the coal samples. Coking coal sample 1-4 exhibits a unique filamentous carbonized phyteral structure. Compared to the other coal samples, its characteristics of a lower density, larger specific surface area, and higher structural heterogeneity endow this sample with the highest gas adsorption capacity for the same coal sample type. Due to limited mineral particle filling and high pore development, lean coal sample 2-1 is also characterized by a low density and high structural heterogeneity, and its adsorption capacity is also among the highest values for the lean coal samples.
In summary, the adsorption capacity of the coal samples can be characterized by their density and heterogeneity. The order of the adsorption capacity of the coal samples is as follows: coal samples with a low density and high heterogeneity > coal samples with a medium density and low heterogeneity > coal samples with a high density and high heterogeneity. The last category of coal samples exhibits a higher material heterogeneity than that of the other coal samples.
4. Discussion
In this paper, the fundamental reasons for methane adsorption capacity differences among small coal samples are examined in terms of the meso-structure. Compared to previous research results, the following differences are obtained.
The experimental samples comprised of raw coal highly similar to actual coal, which were processed into cubic coal samples with a length of 7.4 mm for isothermal methane adsorption, CT scanning, SEM, and MIP tests. This was realized because SEM requires a flat surface, and the mercury intrusion test method also suffers limitations regarding the size of test samples, so small coal samples of the above size were comprehensively selected.
Based on the isothermal adsorption test of the experimental coal samples, three microscopic techniques were used to observe the meso-structure of the coal samples. These three techniques exhibit their own advantages and disadvantages. For example, CT scanning focuses on the characterization of the density and heterogeneity of coal samples, SEM focuses on the observation of the typical meso-morphology of coal samples, and the MIP test method focuses on the characterization of the pore volume, pore size distribution, and the specific surface area of coal samples. Therefore, this paper combined these three experimental methods to analyze the fundamental causes of methane adsorption capacity differences from multiple perspectives.
Compared to studies focusing on the effects of factors, such as the pore volume, micro-pore development, and specific surface area on the adsorption capacity, in this paper, the factors affecting the adsorption capacity of coal samples were determined from the perspectives of the density and heterogeneity, mineral composition, and pore size distribution. In reference [26], Hu et al., found that the adsorption capacity of coal depends on the external surface area. In reference [27], Li et al., found that the adsorption capacity of coal is positively correlated with the specific surface area. However, we found that this conclusion applies to coal samples with fewer mineral components, and among coal samples with more mineral components, the adsorption capacity is poor despite a large specific surface area. This occurs because although the number of gas adsorption sites in coal samples with a large specific surface area is greater, the presence of mineral particles results in a smaller number of effective gas adsorption sites, thus, causing a reduction in the adsorption capacity of these coal samples. In reference [28], Wang et al., found that the more complex the pore structure of coal and the rougher the surface, the greater the impact on the methane diffusion coefficient, which only considered the influence of the structural heterogeneity of coal on its adsorption performance. In reference [30], Nie et al., characterized the pore structure of coals of different ranks via gas adsorption and scanning electron microscopy, found that the pore geometry of coals with different metamorphism levels is very different and that the coal surface is heterogeneous, and proposed that the pore structural heterogeneity is responsible for the differences in gas adsorption capacity between the coal samples studied. Due to the different research methods, the material heterogeneity of the experimental coal samples was characterized via CT and SEM in this paper. We found that the heterogeneity causing the difference in adsorption capacity between the experimental coal samples originates from both structural and material aspects.
Finally, this paper only focused on the effect of the meso-structure on the methane adsorption capacity, without considering the effect of the meso-structure on the intermediate adsorption process. This aspect will be investigated in subsequent studies.
5. Conclusions
In this paper, adsorption tests of coal samples were conducted, and the mesoscale information (heterogeneity, mineral diversity, morphology characteristics, and pore development) of the coal samples was obtained via CT, SEM, and MIP. Then, the adsorption differences between the samples and structural causes were examined. The main conclusions are as follows:
- (1)
- Heterogeneity affects the adsorption capacity of the experimental coal samples. Coal samples with a low density and high heterogeneity attain the highest adsorption capacity, and the heterogeneity is reflected in a high structural heterogeneity. Coal samples with a medium density and low heterogeneity attain the moderate adsorption capacity, and the heterogeneity is reflected in low structural heterogeneity. Coal samples with a high density and high heterogeneity attain the lowest adsorption capacity, and the heterogeneity is reflected in high material and structural heterogeneity levels.
- (2)
- Compared to the specific surface area, the mineral composition more notably influences the adsorption capacity of the coal samples. Due to the occurrence of mineral particles, coal samples with a larger specific surface area can adsorb less methane. The reason is that the mineral components in the coal samples occupy a large number of methane adsorption sites, resulting in a notable reduction in the effective adsorption space for methane. Therefore, the number of effective adsorption sites in a given coal sample is the key factor determining the adsorption capacity.
- (3)
- The gas adsorption capacities of coal samples with similar meso-morphologies and pore size distribution characteristics are highly comparable while, among coal samples with similar pore size distributions and different meso-morphologies, the gas adsorption capacities significantly differ.
The results of this study help to explain the heterogeneous enrichment of coalbed methane in coal reservoirs and will have certain guiding significance for coalbed methane mining engineering.
Author Contributions
Conceptualization, L.S. and T.C.; methodology, L.S.; software, Y.J.; validation, L.S., T.C. and Y.J.; writing—original draft preparation, L.S., X.S. and L.Z.; writing—review and editing, T.C. and Y.J. All authors have read and agreed to the published version of the manuscript.
Funding
This work was financially supported by the National Natural Science Foundation of China (Nos. 51904197 and 52104097), Applied Basic Research Foundation of Shanxi Province (201901D211031) and Science and Technology Innovation Project of Higher Education Institutions in Shanxi Province (2019L0187).
Institutional Review Board Statement
Not applicable.
Informed Consent Statement
Not applicable.
Data Availability Statement
Archive of College of Safety and Emergency Management Engineering, Taiyuan University of Technology, Taiyuan, Shanxi, China.
Acknowledgments
The authors would also like to express their sincere gratitude to the editor and anonymous reviewers for their valuable comments, which have greatly improved this paper.
Conflicts of Interest
The authors declare no conflict of interest.
References
- Zhang, D.; Zhu, J.; Zhao, X.; Gao, N.; Geng, M.; Chen, G.; Jiao, J.; Liu, S.T. Dynamic assessment of coalbed methane resources and availability in China. Meitan Xuebao/J. China Coal Soc. 2018, 43, 1598–1604. [Google Scholar]
- Shao, L.; Hou, H.; Tang, Y.; Lu, J.; Qiu, H.; Wang, X.; Zhang, J. Selection of strategic replacement areas for CBM exploration and development in China. Nat. Gas Ind. B 2015, 2, 211–221. [Google Scholar] [CrossRef][Green Version]
- Liu, D.M.; Qian, L.J. Main Geological Controls on Distribution and Occurence and Enrichment Patterns of Coalbed Methane in China. Coal Sci. Technol. 2014, 42, 19–24. [Google Scholar]
- Zhao, Z. Evaluation of coalbed methane resources in the Huainan-Huaibei coalfield of Anhui Province, China, using an analytic hierarchy process and grey cluster method. Arab. J. Geosci. 2021, 14, 1718. [Google Scholar] [CrossRef]
- Nugrahanti, A.; Fathaddin, M.T. The impact of permeability and well spacing on well productivity in a coalbed methane reservoir. Int. J. Civ. Eng. Technol. 2017, 8, 236–244. [Google Scholar]
- Liu, W.; Zhang, C.; Zhang, Z.; Li, J.; Zhu, L.; Hu, S.; Zhou, X. A new method of mineral inversion based on error analysis and static response equation error: A case study of a shale gas reservoir in the Wufeng-Longmaxi Formation. Interpretation 2022, 10, T117–T126. [Google Scholar] [CrossRef]
- Liu, S.S.; Meng, Z.P. Study on energy variation of different coal-body structure coals in the process of isothermal adsorption. J. China Coal Soc. 2015, 40, 1422–1427. [Google Scholar]
- Wang, Y.; Tao, C.; Ni, X.; Gao, X.; He, Y. Amount of adsorbed gas in deep coal reservoir based on adsorption potential theory. J. China Coal Soc. 2018, 43, 1547–1552. [Google Scholar]
- Fan, Y.P.; Huo, Z.G.; Zhao, J.; Shu, L.Y.; Sun, F.; Mu, Y.L. Surface free energy of coal and its variation law with gas extraction. Saf. Coal Mines 2021, 52, 15–20. [Google Scholar]
- Wierzbicki, M. Changes in the sorption/diffusion kinetics of a coal-methane system caused by different temperatures and pressures. Gospo-Darka Surowcami Miner. 2013, 29, 155–168. [Google Scholar] [CrossRef][Green Version]
- Abunowara, M.; Bustam, M.A.; Sufian, S.; Eldemerdash, U. Description of Carbon Dioxide Adsorption and Desorption onto Malaysian Coals under Subcritical Condition. Procedia Eng. 2016, 148, 600–608. [Google Scholar] [CrossRef][Green Version]
- Yue, G.; Wang, Z.; Xie, C. Experimental study of coal surface adsorption uniformity in low temperature environment. Sci. Technol. Rev. 2014, 32, 71–74. [Google Scholar]
- Zhang, Y.Q. Thermodynamic analysis of methane adsorption on coal surface under different temperature conditions. Coal Eng. 2018, 50, 95–98. [Google Scholar] [CrossRef]
- Ma, X.; Song, Y.; Liu, S.; Jiang, L.; Hong, F. Quantitative research on adsorption capacity evolution of middle-high rank coal reservoirs in geological history: A case study from Hancheng Area in Ordos Basin. Acta Pet. Sin. 2014, 35, 1080–1086. [Google Scholar]
- Zhou, D.; Feng, Z.C.; Zhao, D.; Cai, T.T.; Wang, C. Numerical simulation on the methane adsorption characteristics of coal with non-uniform potential well. J. China Coal Soc. 2016, 41, 1968–1975. [Google Scholar]
- Tang, X.; Ripepi, N. High pressure supercritical carbon dioxide adsorption in coal: Adsorption model and thermodynamic characteristics. J. CO2 Util. 2017, 18, 189–197. [Google Scholar] [CrossRef]
- Wang, C.; Feng, Z.; Zhou, D.; Zhao, D.; Cai, T. Study on fractal characteristics of coalbed gas occurrence. Chin. J. Geophys. 2019, 62, 3571–3579. [Google Scholar]
- Perera, M.S.A.; Ranjith, P.G.; Choi, S.K.; Airey, D.; Weniger, P. Estimation of gas adsorption capacity in coal: A review and an analytical study. Int. J. Coal Prep. Util. 2012, 32, 25–55. [Google Scholar] [CrossRef]
- Song, Y.; Jiang, B.; Lan, F.J. Competitive adsorption of CO2/N2/CH4 onto coal vitrinite macromolecular: Effects of electrostatic interactions and oxygen functionalities. Fuel 2019, 235, 23–38. [Google Scholar]
- Li, X.; Zhang, M.; Li, Z.; Nie, B.S.; Chen, Z.F.; Yue, C. Variation law of coal specific surface Gibbs function in gas adsorption process. Meitan Xuebao/J. China Coal Soc. 2019, 44, 509–519. [Google Scholar]
- Hodot, B.B. Coal and Gas Outburst; Song, S.; Wang, Y., Translators; China Industrial Press: Beijing, China, 1966. (In Chinese) [Google Scholar]
- Skoczylas, N.; Dutka, B.; Sobczyk, J. Mechanical and gaseous properties of coal briquettes in terms of outburst risk. Fuel 2014, 134, 45–52. [Google Scholar] [CrossRef]
- Mahamud, M.M.; Menéndez, J.M.; Álvarez, A. Fractal Analysis of CO2 and N2 Adsorption Data to Assess Textural Changes during Char Gasification. Fuel Processing Technol. 2019, 189, 15–27. [Google Scholar] [CrossRef]
- Pan, J.; Zhu, H.; Hou, Q.; Wang, H.; Wang, S. Macromolecular and pore structures of Chinese tectonically deformed coal studied by atomic force microscopy. Fuel 2015, 139, 94–101. [Google Scholar] [CrossRef]
- Tambaria, T.N.; Sugai, Y.; Nguele, R. Adsorption Factors in Enhanced Coal Bed Methane Recovery: A Review. Gases 2022, 2, 1–21. [Google Scholar] [CrossRef]
- Hu, B.; Cheng, Y.; He, X.; Wang, Z.; Jiang, Z.; Wang, C.; Li, W.; Wang, L. New insights into the CH4 adsorption capacity of coal based on microscopic pore properties. Fuel 2020, 262, 116675. [Google Scholar] [CrossRef]
- Li, Y.N.; Li, G.Z.; Chen, Z.H. Research on the Characteristics of Coal Reservoir Porosity and the Influence of Specific Surface Area on Coal Ad-sorption Capacity. China Coalbed Methane 2016, 13, 3–6. [Google Scholar]
- Wang, L.; Zhang, G.; Liu, J.; Chen, X.; Li, Z. Effect of the pore structure on adsorption and diffusion migration of different rank coal samples. Energy Fuels 2020, 34, 12486–12504. [Google Scholar] [CrossRef]
- Jing, Y.; Cheng, Y.P.; Zhang, S. Quantitative characterization of pore structure and gas adsorption and diffusion properties of low-rank coale. J. China Coal Soc. 2021, 46, 3221–3233. [Google Scholar]
- Nie, B.; Liu, X.; Yang, L.; Meng, J.; Li, X. Pore structure characterization of different rank coals using gas adsorption and scanning electron microscopy. Fuel 2015, 158, 908–917. [Google Scholar] [CrossRef]
- Zhang, H.; Zhang, L.; Wang, D.; Hou, J. Gas emission characteristics of tectonic coal and microscopic explanation of pore structure. J. China Coal Soc. 2018, 43, 3404–3410. [Google Scholar]
- Kang, Z.; Yang, D.; Zhao, Y.; Hu, Y. Thermal cracking and corresponding permeability of Fushun oil shale. Oil Shale 2011, 28, 273. [Google Scholar] [CrossRef]
- Zhao, D.; Zhao, Y.S.; Feng, Z.C. Analysis of effect of water injection on methane desorption in coal combining pore structure. Chin. J. Rock Mech. Eng. 2011, 30, 686–692. [Google Scholar]
- Yao, Y.; Liu, D. Comparison of low-field NMR and mercury intrusion porosimetry in characterizing pore size distributions of coals. Fuel 2012, 95, 152–158. [Google Scholar] [CrossRef]
- Zhang, H. SEM Research of Coal in China; Geological Publishing House: Beijing, China, 2003. [Google Scholar]
- Cui, J.; Mei, M. Preliminary classification of phyterals. Mei Tan Hsueh Pao (J. China Coal Soc.) 1994, 19, 521–525. [Google Scholar]
- Zhao, J.; Xu, H.; Tang, D.; Mathews, J.P.; Li, S.; Tao, S. A comparative evaluation of coal specific surface area by CO2 and N2 adsorption and its influence on CH4 adsorption capacity at different pore sizes. Fuel 2016, 183, 420–431. [Google Scholar] [CrossRef]
- Heister, K. How accessible is the specific surface area of minerals? A comparative study with Al-containing minerals as model substances. Geoderma 2016, 263, 8–15. [Google Scholar] [CrossRef]
Publisher’s Note: MDPI stays neutral with regard to jurisdictional claims in published maps and institutional affiliations. |
© 2022 by the authors. Licensee MDPI, Basel, Switzerland. This article is an open access article distributed under the terms and conditions of the Creative Commons Attribution (CC BY) license (https://creativecommons.org/licenses/by/4.0/).