Global Pandemic Prevention Continual Learning—Taking Online Learning as an Example: The Relevance of Self-Regulation, Mind-Unwandered, and Online Learning Ineffectiveness
Abstract
:1. Introduction
2. Literature Review
2.1. Self-Regulated Learning
2.2. Mind-Unwandered
2.3. Perceived Online Learning Ineffectiveness
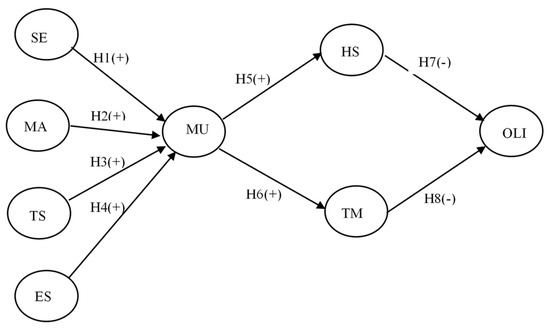
3. Hypotheses and Model
3.1. Hypotheses
3.1.1. SRL and Mind-Unwandered
3.1.2. Mind-Unwandered and Self-Regulation Time-Management and Help-Seeking
3.1.3. The Reflection of SRL and Online Learning Ineffectiveness
3.1.4. The Preparation and Execution Phases of Self-Regulation and Online Learning Ineffectiveness
3.2. Research Model
4. Method
4.1. Participants and Data Collection
4.2. Sample Analysis
5. Instruments
5.1. Development of the Questionnaire
- Self-regulation measures of various domains (self-evaluation, mood-adjustment, task-strategy, environment-structuring, time-management, help-seeking): The questionnaire design was adapted from the SRL framework proposed by Pintrich [48] as a theoretical basis, and with reference to the study on SRL of online learning by Hong et al. [2].
- (1)
- Self-evaluation example items: Before online learning, I would first understand the amount of learning to be done and set objectives; Before online learning, I would find out what I do not understand and try to ask questions in class.
- (2)
- Mood-adjustment example items: Before online learning I liked to finish miscellaneous tasks of my learning to avoid not being able to pay attention in class; When online learning, I respond patiently when the teacher asks me questions.
- (3)
- Task-strategy example items: During online learning, I adjusted the network system to avoid the inferior quality of the system which affects the learning efficiency; During online learning, I recorded the teacher’s lessons for fear of losing attention and missing some key points.
- (4)
- Environment-structuring example items: During online learning, I removed environmental interference from the class; During online learning, I found an environment that was not interfered with by external interferences (e.g., people walking around).
- (5)
- Time-management example items: After online learning, I will set the time to review my homework; After online learning, I will review the execution of my study time.
- (6)
- Help-seeking example items: After online learning, I will use the resources which are available around me (e.g., the learning websites) to improve my learning effectiveness; After online learning, I will ask my classmates for the key points or for assistance with problems that I didn’t understand in class.
- Mind-unwandered: mindfulness is used to measure the participant’s attention to the present moment [49]. Paying attention is the core of mind-unwandered [50]. Therefore, the mind-unwandered state was considered when designing the survey items about attention being fully attentive to both internal and external stimuli. For example, in online learning, I could follow the teacher’s teaching steps while learning even when I was not with the teacher; In online learning, I was extremely focused on the interactive discussions with my classmates.
- Online learning ineffectiveness: Ruhland and Brewer noted [51] that learning outcomes should prove what students know and should also capture the changes that occur in cognitive and emotional development during the learning process. Therefore, what participants perceive as learning outcomes refers to their insights into how the online learning program meets their needs and experiences. As noted above, given adolescents’ social norms, this study used ineffectiveness instead of effectiveness to design students’ perceived online learning performances. For example, my learning efficiency has deteriorated since online learning, and the quality of my work has deteriorated since online learning.
5.2. Item Analysis
5.3. Construct Reliability Analysis
5.4. Construct Validity Analysis
6. Results
6.1. Construct Analysis
6.2. Mediational Effects Analysis
7. Discussion
7.1. SRL and Mind-Unwandered
7.2. Mind-Unwandered, Time-Management, and Help-Seeking of SRL
7.3. The Reflection Phase of SRL and Online Learning Ineffectiveness
7.4. The Preparation and Execution Phases of SRL and Perceived Online Learning Ineffectiveness
8. Conclusions
8.1. Practical Recommendations
8.2. Limitations and Future Study
Author Contributions
Funding
Institutional Review Board Statement
Informed Consent Statement
Data Availability Statement
Conflicts of Interest
References
- Zheng, B.; Lin, C.H.; Kwon, J.B. The impact of learner-, instructor-, and course-level factors on online learning. Comput. Educ. 2020, 150, 103851. [Google Scholar] [CrossRef]
- Hong, J.C.; Liu, X.; Cao, W.; Tai, K.H.; Zhao, L. Effects of Self-Efficacy and Online Learning Mind States on Learning Ineffectiveness during the COVID-19 Lockdown. J. Educ. Technol. Soc. 2022, 25, 142–154. [Google Scholar]
- Smith, E.R.; Semin, G.R. Socially situated cognition: Cognition in its social context. In Advances in Experimental Social Psychology; Zanna, M.P., Ed.; Academic Press: San Diego, CA, USA, 2004; Volume 36, pp. 53–117. [Google Scholar]
- Cristofaro, F. “I feel and think, therefore I am”: An Affect-Cognitive Theory of management decisions. Eur. Manag. J. 2020, 38, 344–355. [Google Scholar] [CrossRef]
- Zimmerman, B.J. Attaining self-regulation: A social cognitive perspective. In Handbook of Self-Regulation; Boekaerts, M., Pintrich, P.R., Zeidner, M., Eds.; Academic Press: San Diego, CA, USA, 2000; pp. 13–39. [Google Scholar]
- Zimmerman, B.J.; Schunk, H.D. Self-Regulated Learning and Academic Achievement: Theoretical Perspectives, 2nd ed.; Longman: New York, NY, USA, 2008. [Google Scholar]
- Panadero, E. A review of self-regulated learning: Six models and four directions for research. Front. Psychol. 2017, 8, 422. [Google Scholar] [CrossRef] [PubMed]
- Li, S.; Chen, G.; Xing, W.; Zheng, J.; Xie, C. Longitudinal clustering of students’ self-regulated learning behaviors in engineering design. Comput. Educ. 2020, 153, 103899. [Google Scholar] [CrossRef]
- Martinez-Lopez, R.; Yot, C.; Tuovila, I.; Perera-Rodríguez, V.H. Online self-regulated learning questionnaire in a Russian MOOC. Comput. Hum. Behav. 2017, 75, 966–974. [Google Scholar] [CrossRef]
- Kara, M.; Kukul, V.; Çakır, R. Self-regulatio? in three types of online interaction: How does it predict online pre-service teachers’ perceived learning and satisfaction? Asia-Pac. Educ. Res. 2021, 30, 1–10. [Google Scholar] [CrossRef]
- Irvine, S.; Brooks, I.; Lau, R.; McKenna, L. Self-regulated learning instructional support for students enrolled in an accelerated nursing program. Collegian 2020, 27, 402–409. [Google Scholar] [CrossRef]
- Skinner, E.A.; Pitzer, J.R. Developmental dynamics of student engagement, coping, and everyday resilience. In Handbook of Research on Student Engagement; Springer: Boston, MA, USA, 2012; pp. 21–44. [Google Scholar] [CrossRef]
- Atmojo, S.E.; Muhtarom, T.; Lukitoaji, B.D. The level of self-regulated learning and self-awareness in science learning in the covid-19 pandemic era. J. Pendidik. IPA Indones. 2020, I 9, 512–520. [Google Scholar] [CrossRef]
- Mustajab Baharun, H.; Fawa’iedah, Z. Adapting to Teaching and Learning During Covid-19: A Case of Islamic School’s Initiative of Self-regulated Learning. Nadwa J. Educ. Teach. Train. 2020, 14, 241–264. [Google Scholar] [CrossRef]
- Cicchinelli, A.; Veas, E.; Pardo, A.; Pammer-Schindler, V.; Fessl, A.; Barreiros, C.; Lindstädt, S. Finding traces of self-regulated learning in activity streams. In Proceedings of the 8th International Conference on Learning Analytics and Knowledge, Sydney, Australia, 7–9 March 2018; pp. 191–200. [Google Scholar] [CrossRef] [Green Version]
- Robison, M.K.; Unsworth, N. Cognitive and contextual correlates of spontaneous and deliberate mind-wandering. J. Exp. Psychol. Learn. Mem. Cogn. 2018, 44, 85–98. [Google Scholar] [CrossRef] [PubMed]
- Wu, J.Y.; Xie, C. Using time pressure and note-taking to prevent digital distraction behavior and enhance online search performance: Perspectives from the load theory of attention and cognitive control. Comput. Hum. Behav. 2018, 88, 244–254. [Google Scholar] [CrossRef]
- Schad, D.J.; Nuthmann, A.; Engbert, R. Your mind wanders weakly, your mind wanders deeply: Objective measures reveal mindless reading at different levels. Cognition 2012, 125, 179–194. [Google Scholar] [CrossRef] [PubMed] [Green Version]
- Carciofo, R.; Song, N.; Du, F.; Wang, M.M.; Zhang, K. Metacognitive beliefs mediate the relationship between mind wandering and negative affect. Personal. Individ. Differ. 2017, 107, 78–87. [Google Scholar] [CrossRef]
- Magalhães, P.; Ferreira, D.; Cunha, J.; Rosário, P. Online vs traditional homework: A systematic review on the benefits to students’ performance. Comput. Educ. 2020, 152, 103869. [Google Scholar] [CrossRef]
- Panigrahi, R.; Srivastava, P.R.; Sharma, D. Online learning: Adoption, continuance, and learning outcome—A review of literature. Int. J. Inf. Manag. 2018, 43, 1–14. [Google Scholar] [CrossRef]
- Weiner, B. An attributional theory of achievement motivation and emotion. Psychol. Rev. 1985, 92, 548–573. [Google Scholar] [CrossRef]
- Soto, C.J.; John, O.P.; Gosling, S.D.; Potter, J. The developmental psychometrics of big five self-reports: Acquiescence, factor structure, coherence, and differentiation from ages 10 to 20. J. Personal. Soc. Psychol. 2008, 94, 718. [Google Scholar] [CrossRef] [Green Version]
- Van Herk, H.; Poortinga, Y.H.; Verhallen, T.M. Response styles in rating scales: Evidence of method bias in data from six EU countries. J. Cross-Cult. Psychol. 2004, 35, 346–360. [Google Scholar] [CrossRef] [Green Version]
- Daniel, E.; Benish-Weisman, M. Value development during adolescence: Dimensions of change and stability. J. Personal. 2019, 87, 620–632. [Google Scholar] [CrossRef]
- Sharma, V.; Shakeel, M. Illusion versus reality: An empirical study of overconfidence and self-attribution bias in business management students. J. Educ. Bus. 2015, 90, 199–207. [Google Scholar] [CrossRef]
- Rabin, E.; Henderikx, M.; Yoram, M.K.; Kalz, M. What are the barriers to learners’ satisfaction in MOOCs and what predicts them? The role of age, intention, self-regulation, self-efficacy and motivation. Australas. J. Educ. Technol. 2020, 36, 119–131. [Google Scholar] [CrossRef]
- Hong, J.C.; Lee, Y.F.; Ye, J.H. Procrastination predicts online self-regulated learning and online learning ineffectiveness on the Covid-19 lockdown. Personal. Individ. Differ. 2021, 174, 110673. [Google Scholar] [CrossRef] [PubMed]
- McCardle, L.; Young, B.W.; Baker, J. Self-regulated learning and expertise development in sport: Current status, challenges, and future opportunities. Int. Rev. Sport Exerc. Psychol. 2019, 12, 112–138. [Google Scholar] [CrossRef]
- Zimmerman, B.J. Development and adaptation of expertise: The role of self-regulatory processes and beliefs. In The Cambridge Handbook of Expertise and Expert Performance; Ericsson, K.A., Charness, N., Fel-tovich, P.J., Hoffman, R., Eds.; Cambridge University Press: New York, NY, USA, 2006; pp. 705–722. [Google Scholar]
- Lehmann, T.; Hahnlein, I.; Ifenthaler, D. Cognitive, metacognitive and motivational perspectives on pre-flection in self-regulated online learning. Comput. Hum. Behav. 2014, 32, 313–323. [Google Scholar] [CrossRef]
- Cárdenas-Robledo, L.A.; Peña-Ayala, A. A holistic self-regulated learning model: A proposal and application in ubiquitous-learning. Expert Syst. Appl. 2019, 123, 299–314. [Google Scholar] [CrossRef]
- Satpute, A.B.; Shu, J.; Weber, J.; Roy, M.; Ochsner, K.N. The functional neural architecture of self-reports of affective experience. Biol. Psychiatry 2013, 73, 631–638. [Google Scholar] [CrossRef]
- Lin, L.; Schwabe, L.; Zhan, L.; Wang, X.; Sun, X.; Zhang, L. Neural signature of affective but not cognitive self-regulation predicts cortisol response to psychosocial stress. Psychoneuroendocrinology 2021, 133, 105388. [Google Scholar] [CrossRef]
- Braem, S.; Bugg, J.M.; Schmidt, J.R.; Crump, M.J.C.; Weissman, D.H.; Notebaert, W.; Egner, T. Measuring adaptive control in conflict tasks. Trends Cogn. Sci. 2019, 23, 769–783. [Google Scholar] [CrossRef]
- Botvinick, M.M.; Cohen, J.D.; Carter, C.S. Conflict monitoring and anterior cingulate cortex: An update. Trends Cogn. Sci. 2004, 8, 539–546. [Google Scholar] [CrossRef] [Green Version]
- Dreisbach, G.; Frober, K. On how to be flexible (or not): Modulation of the stability-flexibility balance. Curr. Dir. Psychol. Sci. 2019, 28, 3–9. [Google Scholar] [CrossRef]
- Paul, K.; Pourtois, G.; van Steenbergen, H.; Gable, P.; Dreisbach, G. Finding a balance: Modulatory effects of positive affect on attentional and cognitive control. Curr. Opin. Behav. Sci. 2021, 39, 136–141. [Google Scholar] [CrossRef]
- Demetriou, A.; Kazi, S.; Makris, N.; Spanoudis, G. Cognitive ability, cognitive self-awareness, and school performance: From childhood to adolescence. Intelligence 2020, 79, 101432. [Google Scholar] [CrossRef]
- Lebois, L.A.M.; Wilson-Mendenhall, C.D.; Simmons, W.K.; Barrett, L.F.; Barsalou, L.W. Learning situated emotions. Neuropsychologia 2020, 145, 106637. [Google Scholar] [CrossRef] [Green Version]
- Jansen, R.S.; van Leeuwen, A.; Janssen, J.; Conijn, R.; Kester, L. Supporting learners’ self-regulated learning in Massive Open Online Courses. Comput. Educ. 2020, 146, 103771. [Google Scholar] [CrossRef]
- Schunk, D.H.; Ertmer, P.A. Self-regulation and academic learning: Self-efficacy enhancing interventions. In Handbook of Self-Regulation; Boekaerts, M., Pintrich, P.R., Zeidner, M., Eds.; Academic Press: Cambridge, MA, USA, 2000; pp. 631–649. [Google Scholar]
- Dorrenbacher, L.; Perels, F. More is more? Evaluation of interventions to foster self-regulated learning in college. Int. J. Educ. Res. 2016, 78, 50–65. [Google Scholar] [CrossRef]
- Cleary, T.J.; Velardi, B.; Schnaidman, B. Effects of the Self-Regulation Empowerment Program (SREP) on middle school students’ strategic skills, self-efficacy, and mathematics achievement. J. Sch. Psychol. 2017, 64, 28–42. [Google Scholar] [CrossRef]
- Pekrun, R.; Goetz, T.; Titz, W.; Perry, R. Academic emotions in students’ self-regulated learning and achievement: A program of qualitative and quantitative research. Educ. Psychol. 2002, 37, 91–105. [Google Scholar] [CrossRef]
- Giannakos, M.N. Enjoy and learn with educational games: Examining factors affecting learning performance. Comput. Educ. 2013, 68, 429–439. [Google Scholar] [CrossRef]
- Sun JC, Y.; Yeh KP, C. The effects of attention monitoring with EEG biofeedback on university students’ attention and self-efficacy: The case of anti-phishing instructional materials. Comput. Educ. 2017, 106, 73–82. [Google Scholar] [CrossRef]
- Pintrich, P.R. The role of goal orientation in self-regulated learning. In Handbook of Self-Regulation; Academic Press: Cambridge, MA, USA, 2000; pp. 451–502. [Google Scholar] [CrossRef]
- Brown, K.W.; Ryan, R.M. The benefits of being present: Mindfulness and its role in psychological well-being. J. Personal. Soc. Psychol. 2003, 84, 822–848. [Google Scholar] [CrossRef] [PubMed] [Green Version]
- Shapiro, S.L.; Carlson, L.E.; Astin, J.A.; Freedman, B. Mechanisms of mindfulness. J. Clin. Psychol. 2006, 62, 373–386. [Google Scholar] [CrossRef] [PubMed] [Green Version]
- Ruhland, S.K.; Brewer, J.A. Implementing an assessment plan to document student learning in a two-year technical college. J. Vocat. Educ. Res. 2001, 26, 141–171. [Google Scholar] [CrossRef]
- Hair, J.F.; Black, W.C.; Babin, B.J.; Anderson, R.E. Multivariate Data Analysis, 7th ed.; Prentice Hall: Upper Saddle River, NJ, USA, 2010. [Google Scholar]
- Nunnally, J.C. Psychometric Theory, 2nd ed.; McGraw-Hill: New York, NY, USA, 1978. [Google Scholar]
- Chin, W.W. The partial least squares approach to structural equation modeling. Mod. Methods Bus. Res. 1998, 295, 295–336. [Google Scholar]
- Bassellier, G.; Benbasat, I. Business competence of information technology professionals: Conceptual development and influence on IT-business partnerships. MIS Q. 2004, 28, 673–694. [Google Scholar] [CrossRef] [Green Version]
- Ju, Y.J.; Lien, Y.W. Who is prone to wander and when? Examining an integrative effect of working memory capacity and mindfulness trait on mind wandering under different task loads. Conscious Cogn. 2018, 63, 1–10. [Google Scholar] [CrossRef] [PubMed]
- Delorme, A.; Brandmeyer, T. When the meditating mind wanders. Curr. Opin. Psychol. 2019, 28, 133–137. [Google Scholar] [CrossRef] [Green Version]
- Smallwood, J.; O’Connor, R.C. Imprisoned by the past: Unhappy moods lead to a retrospective bias to mind wandering. Cogn. Emot. 2011, 25, 1481–1490. [Google Scholar] [CrossRef]
- Weinstein, C.E.; Husman, J.; Dierking, D.R. Self-regulation interventions with a focus on learning strategies. In Handbook of Self-Regulation; Academic Press: Cambridge, MA, USA, 2000; pp. 727–747. [Google Scholar]
- Rakovic, M.; Bernacki, M.L.; Greene, J.A.; Plumley, R.D.; Hogan, K.A.; Gates, K.M.; Panter, A.T. Examining the critical role of evaluation and adaptation in self-regulated learning. Contemp. Educ. Psychol. 2022, 68, 102027. [Google Scholar] [CrossRef]
- Wolters, C.A.; Won, S.; Hussain, M. Examining the relations of time management and procrastination within a model of self-regulated learning. Metacognition Learn. 2017, 12, 381–399. [Google Scholar] [CrossRef]
- Virtanen, P.; Niemi, H.; Nevgi, A. Active learning and self-regulation enhance student teachers’ professional competences. Australian. J. Teach. Educ. 2017, 42, 1–20. [Google Scholar] [CrossRef] [Green Version]
- Theobald, M. Self-regulated learning training programs enhance university students’ academic performance, self-regulated learning strategies, and motivation: A meta-analysis. Contemp. Educ. Psychol. 2021, 66, 101976. [Google Scholar] [CrossRef]
- Pardo, A.; Han, F.; Ellis, R.A. Combining university student self-regulated learning indicators and engagement with online learning events to predict academic performance. IEEE Trans. Learn. Technol. 2016, 10, 82–92. [Google Scholar] [CrossRef]
- Demuyakor, J. Coronavirus (COVID-19) and online learning in higher institutions of education: A survey of the perceptions of Ghanaian international students in China. Online J. Commun. Media Technol. 2020, 10, e202018. [Google Scholar] [CrossRef]
- Courtney, E.P.; Goldenberg, J.L.; Boyd, P. The contagion of mortality: A terror management health model for pandemics. Br. J. Soc. Psychol. 2020, 59, 607–617. [Google Scholar] [CrossRef]
- Anthonysamy, L.; Koo, A.-C.; Hew, S.-H. Self-regulated learning strategies and non-academic outcomes in higher education blended learning environments: A one-decade review. Educ. Inf. Technol. 2020, 25, 3677–3704. [Google Scholar] [CrossRef]
- Lorenza, L.; Carter, D. Emergency online teaching during COVID-19: A case study of Australian tertiary students in teacher education and creative arts. Int. J. Educ. Res. Open 2021, 2-2, 100057. [Google Scholar] [CrossRef]


| Dimension | M | SD | FL > 0.7 | Cronbach’s α | CR | AVE |
|---|---|---|---|---|---|---|
| Self-evaluation | 3.75–3.95 | 0.78–0.92 | 0.75–0.81 | 0.80 | 0.87 | 0.62 |
| Mood-adjustment | 3.77–3.89 | 0.80–0.91 | 0.74–0.81 | 0.78 | 0.86 | 0.60 |
| Task-strategy | 3.67–4.02 | 0.80–1.05 | 0.71–0.80 | 0.71 | 0.82 | 0.54 |
| Environment-structuring | 3.78–4.10 | 0.78–0.90 | 0.71–0.77 | 0.71 | 0.82 | 0.53 |
| Time-management | 3.78–3.40 | 0.81–0.86 | 0.73–0.79 | 0.77 | 0.85 | 0.60 |
| Helping-seeking | 3.76–3.94 | 0.77–0.91 | 0.74–0.78 | 0.76 | 0.85 | 0.58 |
| Mind-unwandered | 3.43–3.91 | 0.88–1.14 | 0.70–0.81 | 0.90 | 0.92 | 0.58 |
| OLI | 2.25–2.36 | 0.97–1.11 | 0.81–0.87 | 0.94 | 0.95 | 0.71 |
| Construct | 1 | 2 | 3 | 4 | 5 | 6 | 7 | 8 |
|---|---|---|---|---|---|---|---|---|
| Self-evaluation | (0.79) | |||||||
| Mood-adjustment | 0.66 | (0.78) | ||||||
| Task-strategy | 0.72 | 0.62 | (0.73) | |||||
| Environment-structuring | 0.55 | 0.62 | 0.59 | (0.73) | ||||
| Time-management | 0.75 | 0.65 | 0.73 | 0.64 | (0.77) | |||
| Helping-seeking | 0.66 | 0.67 | 0.70 | 0.62 | 0.71 | (0.76) | ||
| Mind-unwandered | 0.67 | 0.61 | 0.68 | 0.49 | 0.65 | 0.61 | (0.76) | |
| OLI | 0.59 | 0.51 | 0.60 | 0.50 | 0.61 | 0.61 | 0.65 | (0.84) |
| Independent Variable | Intervening Variable | Dependent Variable | Indirect Effect | Total Effect | VAF | Confidence Interval 2.50% | Confidence Interval 97.50% |
|---|---|---|---|---|---|---|---|
| Self-evaluation | Mind-unwandered | OLI | −0.06 ** (−2.82) | −0.23 | 26.00% | −0.08 | −0.01 |
| Self-evaluation | Reflection phrase | OLI | −0.05 * (−2.02) | −0.22 | 23.00% | −0.07 | −0.01 |
| Mood-adjustment | Mind-unwandered | OLI | −0.03 * (−1.97) | −0.04 | 75.00% | −0.06 | −0.01 |
| Mood-adjustment | Reflection phrase | OLI | −0.02 ** (−2.68) | −0.03 | 66.67% | −0.05 | −0.01 |
| Task-strategy | Mind-unwandered | OLI | −0.05 ** (−3.02) | −0.21 | 23.80% | −0.20 | −0.06 |
| Task-strategy | Reflection phrase | OLI | −0.04 * (−2.02) | −0.20 | 20.00% | −0.20 | −0.06 |
| Environment-structuring | Mind-unwandered | OLI | −0.03 * (−1.99) | −0.10 | 30.00% | −0.18 | −0.05 |
| Environment-structuring | Reflection phrase | OLI | −0.02 * (−1.98) | −0.09 | 22.00% | −0.16 | −0.05 |
Publisher’s Note: MDPI stays neutral with regard to jurisdictional claims in published maps and institutional affiliations. |
© 2022 by the authors. Licensee MDPI, Basel, Switzerland. This article is an open access article distributed under the terms and conditions of the Creative Commons Attribution (CC BY) license (https://creativecommons.org/licenses/by/4.0/).
Share and Cite
Yu, H.-H.; Hu, R.-P.; Chen, M.-L. Global Pandemic Prevention Continual Learning—Taking Online Learning as an Example: The Relevance of Self-Regulation, Mind-Unwandered, and Online Learning Ineffectiveness. Sustainability 2022, 14, 6571. https://doi.org/10.3390/su14116571
Yu H-H, Hu R-P, Chen M-L. Global Pandemic Prevention Continual Learning—Taking Online Learning as an Example: The Relevance of Self-Regulation, Mind-Unwandered, and Online Learning Ineffectiveness. Sustainability. 2022; 14(11):6571. https://doi.org/10.3390/su14116571
Chicago/Turabian StyleYu, Hsien-Hua, Ru-Ping Hu, and Mei-Lien Chen. 2022. "Global Pandemic Prevention Continual Learning—Taking Online Learning as an Example: The Relevance of Self-Regulation, Mind-Unwandered, and Online Learning Ineffectiveness" Sustainability 14, no. 11: 6571. https://doi.org/10.3390/su14116571
APA StyleYu, H.-H., Hu, R.-P., & Chen, M.-L. (2022). Global Pandemic Prevention Continual Learning—Taking Online Learning as an Example: The Relevance of Self-Regulation, Mind-Unwandered, and Online Learning Ineffectiveness. Sustainability, 14(11), 6571. https://doi.org/10.3390/su14116571

