Abstract
Chickpea is widely cultivated on calcareous sandy soils in arid and semi-arid regions of Pakistan; however, widespread boron (B) deficiencies in these soils significantly decreases its productivity. Soil application of B could improve chickpea yield and grain-B concentration. However, optimizing suitable B level is necessary due to a narrow deficiency and toxicity range of B. Nonetheless, the co-application of B-tolerant bacteria (BTB) and synthetic B fertilizer could be helpful in obtaining higher chickpea yields and grain-B concentration. Therefore, this study optimized the level of soil applied B along with BTB, (i.e., Bacillus sp. MN54) to improve growth, yield and grain-B concentrations of chickpea. The B concentrations included in the study were 0.00 (control), 0.25, 0.50, 0.75 and 1.00 mg B kg−1 soil combined with or without Bacillus sp. MN54 inoculation. Soil application of B significantly improved root system, nodulation, yield and grain-B concentration, and Bacillus sp. MN54 inoculation further improved these traits. Moreover, B application at a lower dose (0.25 mg B kg−1 soil) with BTB inoculation recorded the highest improvements in root system (longer roots with more roots’ proliferation), growth, nodulation and grain yield. However, the highest grain-B concentration was recorded under a higher B level (0.75 mg B kg−1 soil) included in the study. Soil application of 0.25 mg B kg−1 with Bacillus sp. MN54 inoculation improved growth and yield-related traits, especially nodule population (81%), number of pods plant−1 (38%), number of grains plant−1 (65%) and grain yield (47%) compared with control treatment. However, the grain-B concentration was higher under the highest B level (1.00 mg kg−1 soil) with Bacillus sp. MN54 inoculation. In conclusion, soil application of 0.25 mg B kg−1 with Bacillus sp. MN54 inoculation is a pragmatic option to improve the root system, nodule population, seedling growth, yield and agronomic grain-B biofortification of chickpea.
1. Introduction
Macro- and micronutrients are essential for optimum plant growth, and their availability has significant impact on crop performance [1]. Boron (B) is a non-metal element and Warington [2] was the pioneer scientist who described it as a micronutrient for the first time during 1923. It plays an important role in human metabolic activities and is highly important for humans [3], animals [4] and unicellular eukaryotes at varying levels [5]. However, different species require varying levels of B for their optimum growth. Boron is involved in brain functioning, psychomotor performance and reactive oxygen and it improves macronutrient metabolism [3]. Plants require B in minute quantities; however, it plays significant role in plant metabolic activities. It helps in stabilizing plant cell walls, membrane integrity, sugar transport and utilization of calcium and nitrogen [6,7,8]. Moreover, B regulates pod formation during the reproductive phase, which results in a higher yield. Contrastingly, B deficiency at the reproductive stage results in pollen sterility and decreases grain yield to a great extent [9]. Nonetheless, B plays a more critical role in crop performance during reproductive phase than in the vegetative phase, as it helps in seed setting and grain-filling [10]. FSoil application of nutrients is an ancient and economical method, and plants easily uptake soil-applied nutrients. Soil application of B significantly increases stem diameter (~2 cm) at the time of bud emergence [11]. Kanwal et al. [12] reported that a combined application of B and zinc (Zn) enhanced maize (Zea mays L.) productivity. Moreover, Panhwar et al. [13] stated that soil application of B and Zn improved the root length, dry weight, plant height, leaf area index and chlorophyll content of maize crop. Soil application of B also improved potassium (K) availability in soil [14]. Boron-deficiency may reduce the dry matter accumulation, photosynthetic activity, plant height and delay fruiting time [15]. Boron availability is extremely important during the reproductive phase to promote the growth and development of pollen tubes and the anther [16]. Yield-related traits of cotton (Gossypium hirsutum L.) have been improved by B application [17]. Similarly, soil application of micronutrients improved yield, seed quality and grain Zn concentration in mungbean (Vigna radiata L.) [18].
Boron is an important micronutrient, required in a minute quantity; however, its deficiency and toxicity cause serious losses in crop productivity. Cartwright et al. [19] reported that barley (Hordeum vulgare L.) production reduced by 17% at higher B concentrations. Pakistani soils are calcareous in nature; therefore, they suffer from micronutrient deficiencies [20]. Boron-deficiency is mostly observed in calcareous soils [21] and poses negative impacts on the productivity of arable crops. Boron-deficiency may reduce chlorophyll contents, disrupt enzyme activities and causes male sterility [22].
Leguminous crops are an integral component of different cropping systems established around the world. Chickpea (Cicer arietinum L.) is the third most important crop of these cropping systems after peas (Pisum sativum L.) and beans (Phaseolus vulgaris L.) [23]. Chickpea is nutritionally rich and can substitute meat for protein intake in humans [24]. It is a rich source of protein (22%) [25] and is consumed as a portion of daily diet in South-Asian region [26]. Luckily, chickpea requires less water and mostly grows in the Thal desert of Punjab province, Pakistan [27]. Chickpea production faces many challenges, including low and high temperature stress, weed infestation, nutrient deficiencies and disease infestation [28,29,30]. The population of Pakistan is witnessing a rapid increase, which would exert huge pressure on the country’s economy and food production. Therefore, rainfed regions of the country must be utilized for food security [31]. Chickpea is grown in sandy soil, while the Thal and Pothohar regions of Pakistan consist of sandy soils that have low organic matter and suffer from B-deficiency, which reduces the crop yield [21]. The sandy soils in arid and semi-arid regions are calcareous and generally deficit in nutrients and soil organic matter [32]. The crops produced in these soils accumulate lower amounts of essential nutrients; thus, human populations fed with the products of these crops face nutrient deficiencies. Several studies have indicated that the application of micronutrients either in the soil or as foliar and exploitation of soil microbes for solubilizing micronutrients have increased crop yield and concentration of micronutrients in harvested plant parts [33,34]. Therefore, chickpeas produced on calcareous soils in arid and semi-arid regions of Pakistan must be enriched with B for higher productivity and essential nutrients’ accumulation in grains.
Biofortification is an agronomic and plant breeding technique which enhances nutritional value of edible plant parts [35]. There are many agronomic approaches, which are capable of enhancing nutritive value of plants. These approaches include soil and foliar application of micronutrients to overcome micronutrient scarcity in human body [36,37]. Adequate supply of micronutrients is essential for crops to get better yield and quality [38]. Soil-applied iron (Fe) can potentially mitigate the Fe malnutrition problem of mungbean in Pakistan by improving the grain-Fe concentration and bioavailability [39]. Similarly, recent studies have reported that zinc (Zn) application through various methods have improved the yield and grain biofortification of mungbean [34,40,41]. A recent study has reported that seed coating [42] and seed priming [43] with B combined with B-tolerant bacteria (BTB) have improved chickpea yield under semi-arid conditions of Pakistan. However, the potential of foliar- or soil-applied B combined with BTB has not been explored yet.
Plant growth promoting microorganisms are being exploited in the recent era to avoid the negative impacts of synthetic fertilizers [44]. The ability of these microorganism to improve plant minerals’ uptake has been witnessed in the recent decade [45]. Bacteria has ability to survive and work under harsh environmental conditions. Mostly, bacteria are used for phosphorus (P) solubilizing and enhancing P uptake in calcareous soils [44]. However, Samreen et al. [46] reported that Bacillus spp. MN-54 strain is boron-tolerant and enhances P uptake. The Bacillus spp. MN-54 has been used to improve P uptake and growth of maize under lead [47] and chromium [48] toxicity. Similarly, Khan et al. [44] reported that Bacillus spp. MN-54 improved P uptake and enhanced chickpea productivity in calcareous soils. Most of these studies focused on P uptake and ignored B, although the bacteria can tolerate higher levels of B. Several bacteria are known to tolerate higher B levels through high B efflux and exclusions [49]. Two recent studies have indicated that Bacillus spp. MN-54 combined with B seed priming [43] and seed inoculation [47] improved the B uptake and productivity of chickpea. Nonetheless, these studies were focused on optimizing B levels due to the narrow deficiency and toxicity range for B. In addition, both studies indicated that Bacillus spp. MN-54 inoculation has the potential to improve B uptake and utilization. Seed inoculation is a promising technique, which delivers plant-growth-promoting bacteria in the rhizosphere [50]. The BTB tolerate higher B levels and help plants to uptake B from the soil. The survival of normal bacteria under harsh environmental conditions is a great challenge; therefore, using BTB to improve plants’ mineral nutrition, particularly of B, can be a viable option. Application of mineral fertilizer along with plant growth promoting microbes is more adaptable and affordable method to improve crop yield [51,52].
Soil application of B is known to improve crop performance; however, information regarding the interactive effect of soil applied B and Bacillus spp. MN-54 in chickpea is missing. Therefore, this study evaluated the effect of soil-applied B and Bacillus spp. MN-54 on the growth, productivity and grain biofortification of chickpea. It was hypothesized that Bacillus spp. MN-54 and soil B application will enhance chickpea productivity and grain B content. The results will help to improve chickpea productivity on B-deficit calcareous soils in arid and semi-arid regions.
2. Materials and Methods
2.1. Experimental Material
Seeds of chickpea variety ‘NIAB-2016’ were procured from Nuclear Institute for Agriculture and Biology (NIAB), Faisalabad, Pakistan. Bacillus sp. MN54 (accession no. KT375574) isolated bacterial strain was obtained from Soil and Environmental Microbiology Laboratory, Institute of Soil and Environmental Sciences, University of Agriculture Faisalabad, Pakistan. The bacterial strain was identified through molecular approach following Edwards [53] primers. The identified strain has already been used to improve growth and productivity of several crops [54,55], including chickpea [43,47]. Different concentrations of B were used, i.e., 0, 60, 120 and 180 mM, along with Bacillus sp. MN54 in these studies. The lowest growth reduction was observed at higher B concentrations (180 mM), with the presence of strain. The inoculated seeds observed a bacterial count of 108 per seed [55]. Selected inoculum was prepared in 500-mL Erlenmeyer flask containing 200 mL 10% tryptic soya broth. Inoculated broth was placed in shaking incubator (Firstek, Japan) at 180 rpm for 24 h at 28 °C ± 2 °C [54]. The optical density of inoculum was adjusted to 0.5 (bacterial population 109 cfu per mL) before seed inoculation.
2.2. Experimental Site
The pot experiments were conducted in the wire house of Department of Agronomy, Bahauddin Zakariya University, Multan, Pakistan during winter, 2018–2019 and 2019–2020 under natural conditions. Before sowing, soil samples were collected and analyzed to evaluate the soil fertility status. The experimental soil was clay-loam with pH of 8.40, 0.65% soil organic matter, 2.68 mScm−1 EC, 0.021% nitrogen, 0.62 mg kg−1 boron, 7.80 mg kg−1 phosphorus and 240 mg kg−1 available potassium.
2.3. Plant Material and Crop Husbandry
Different B concentrations (0.00, 0.25, 0.50, 0.75 and 1.00 mg kg−1 soil) were applied to the soil before seed sowing in each pot. These pots were divided into two portions. Half of the pots were inoculated with Bacillus sp. MN54 (108 bacteria per seed), while the remaining half were not inoculated. Boric acid (Merck, Germany product) was used as B source. To fulfill plants nutrients requirements, starter doses of 20 and 40 mg kg−1 of nitrogen and phosphorus, respectively, were applied to the pots prior to seed sowing. The earthen pots (22-cm diameter and 50-cm height) were filled with 20 kg soil. Initially, 8 seeds were sown in each pot and reduced to 5 per pot after successful seedling establishment. Completely randomized design with factorial arrangement was used in this experiment in both years, and all treatments had three replications. Weeds were controlled manually during experimental years, while irrigation was done daily to exclude the impacts of moisture stress. The experiment was harvested during 18 April 2019, and 23 April 2020 to record data.
2.4. Data Collection
2.4.1. Nodules Population, Allometric and Roots Related Traits
One plant was uprooted carefully from each pot and number of roots plant−1 were counted and averaged. Root length and plant height (cm) were measured with the help of a measuring tape. The root samples were kept in an oven at 70 °C for 48 h and dried until constant weight. The weight of the dried samples was measured and averaged to record dry weight. Chlorophyll index was recorded with SPAD meter. The SPAD values were noted from three random leaves from each plant and averaged. The leaves of uprooted plants were separated, and their area was measured with the help of leaf area meter. The first data was collected 55 days after sowing (DAS), while other data was recorded with 40 days interval.
2.4.2. Yield-Related Attributes
The crop was harvested at maturity and yield-related attributes were recorded. Total number of branches on each plant were carefully counted and averaged. All pods were harvested from two plants in each pot manually, counted and averaged to record number of pods per plant. To calculate number of grains per pod, total grains were separated from each pod, counted and averaged. Number of grains per plant were calculated according to the Equation (1) as follows:
To calculate 100-grain weight, 100 seeds were taken from each of the treatment and their weight was recorded. For biological yield and seed yield per plant, harvested plants from each of the treatment were sun-dried. After drying, their weight was recorded on an electric balance. Afterwards, plants were threshed manually to calculate grain yield per plant. Finally, harvest index of chickpea was recorded by using Equation (2), as follows:
2.4.3. Grain Boron Contents
Seeds were collected and dried in an oven at 70 °C for analyzing grain B contents. In the first step, 1 g seed sample from each treatment was ashed in a muffle furnace at 550 °C [56]. The ashed samples were then extracted by adding 0.36 N H2SO4 10 mL for 1 h and the solution was filtered through Whatman No. 1 filter paper. The solution volume was raised by adding 50 mL of distilled water and transferred to 50 mL transparent bottle. Buffer was prepared by dissolving 250 mL ammonium acetate and 15 mL ETDA in 400 mL distilled water. Afterwards, 125 mL acetic acid was added in solution slowly. Azomethine solution was prepared which contained 0.45 g of azomethine-H, 1 g of L-ascorbic acid and dissolved in 100 mL distilled water. Finally, 2 mL of buffer solution and 2 mL of azomethaine-H solution was dissolved in 1 mL extracted solution and kept for 45 min to develop the required color. B concentration of each sample was determined by using spectrophotometer at 420 nm.
2.5. Statistical Analysis
The differences among years were tested by t test, which indicated that year effect was non-significant (p > 0.01). Therefore, data of both years were pooled and used in statistical analysis. Two-way analysis of variance (ANOVA) techniques was used to test the significance in the data. Least significant difference (LSD) test at 1% probability was used as post-hoc test to record difference among treatment means [57] where ANOVA indicated significant differences. All statistical computations were done on SPSS statistical software version 20 [58]. Graphical representation of data was done in the Microsoft Excel program. Individual effects of soil-applied B and BTB inoculation were presented where interaction was non-significant. Likewise, individual effects were ignored, and interaction was presented in case of significant effect.
3. Results
3.1. Root Nodulation, Root System and Growth Parameters
The number of roots, the roots’ length and dry weight, and the plant height from 55–95 DAS were significantly altered by B application, BTB inoculation and their interaction, while the B–BTB inoculation interaction had a non-significant effect on the chlorophyll index and leaf area (Table 1).
Table 1.
Statistical summary (p-values) of root proliferation, growth parameters, nodule population, yield-related traits and grain-B concentration of chickpea under soil application of B and BTB inoculation.
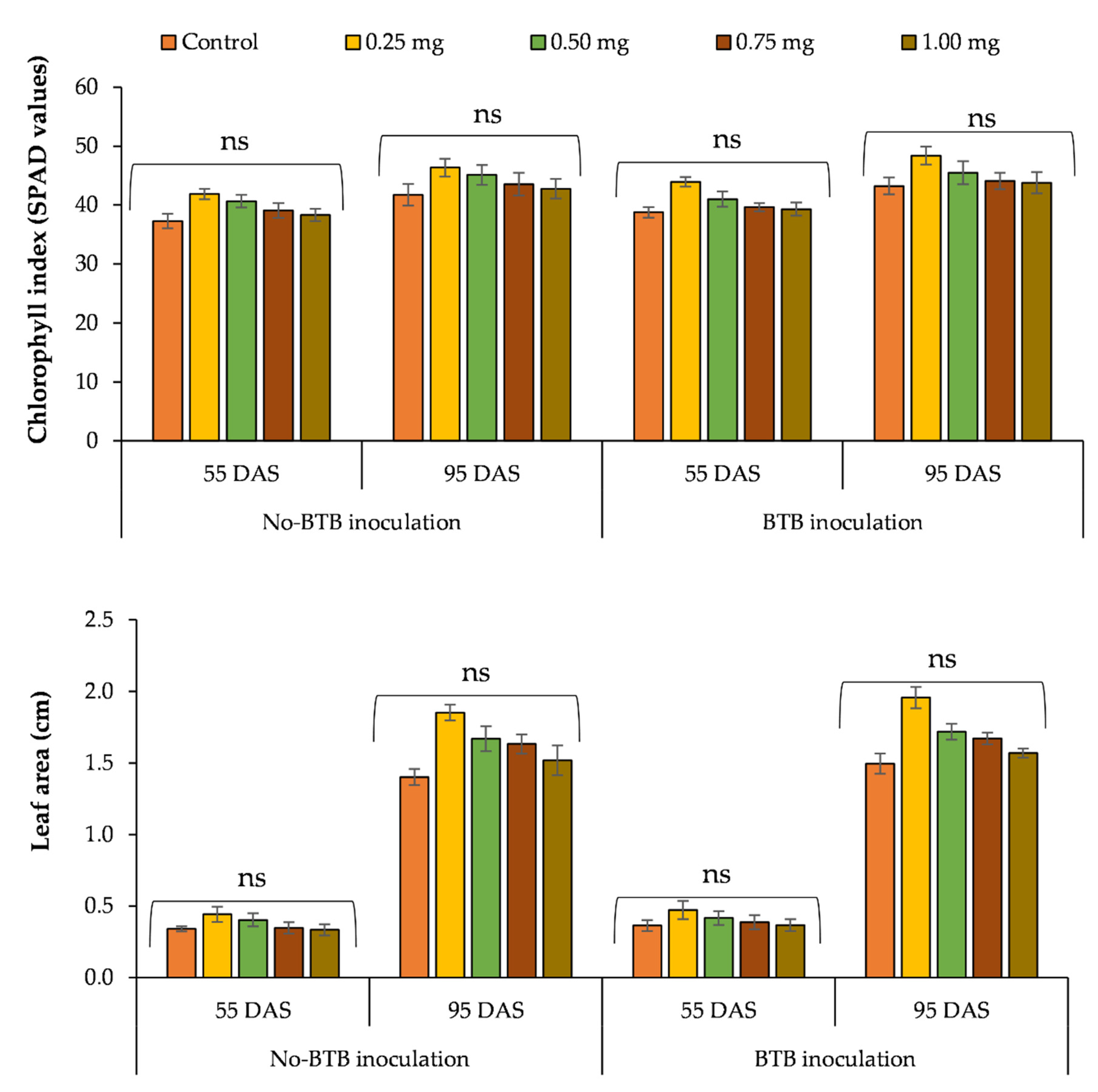
The soil application of B significantly improved the number of roots per plant, the roots’ length, the roots’ dry weight, the plant height and the leaf area from 55 DAS to 95 DAS (Figure 1, Figure 2 and Figure 3). The inoculation of BTB improved number of roots per plant, the roots’ length and dry weight, the plant height, the chlorophyll index and the leaf area throughout the growing season (Figure 1, Figure 2 and Figure 3). Regarding interactions, 0.25 mg kg−1 B application with BTB inoculation recorded the highest number of roots per plant−1, root length, root dry weight and plant height compared to the rest of the treatments. The lowest values of these traits were noted for the control treatment without BTB inoculation (Figure 1, Figure 2 and Figure 3).
Figure 1.
The influence of different doses of soil-applied boron and inoculation of boron-tolerant bacteria on number of roots per plant−1 and root length (cm) of chickpea crop (±S.E.). Here, BTB = boron tolerant bacteria, ns = non-significant. Means having different letters are statistically different from each other (p < 0.01).
Figure 2.
The influence of different doses of soil-applied boron and inoculation of boron-tolerant bacteria on root dry weight (g) and plant height (cm) of chickpea crop (±S.E.). Here, BTB = boron tolerant bacteria. Means having different letters are statistically different from each other (p < 0.01).
Figure 3.
The influence of different doses of soil-applied boron and inoculation of boron-tolerant bacteria on chlorophyll content and leaf area of chickpea crop (±S.E.). Here, BTB = boron tolerant bacteria, ns = non-significant. Means having different letters are statistically different from each other (p < 0.01).
3.2. Yield-Related Traits
Soil-applied B and BTB inoculation had significant effect on the number branches, pods and grains per plant−1, the number of grains per pod−1, the 100-grains weight, the grain yield, the biological yield and the grain B concentration of chickpea (Table 1). The B–BTB interaction had significant effect on number of pods per plant−1, the number of grains per plant−1, the grain yield, the biological yield and the grain-B concentration (Table 1). Soil application of B at lower levels (˂0.75 mg kg−1 soil) notably improved the yield-related traits, while the higher levels (>0.75 mg kg−1 soil) caused toxicity and reduced yield (Table 2, Table 3 and Table 4). Soil-applied B, BTB inoculation and their interaction had a significant effect on the nodule population of plants−1 (Table 1). Lower B levels (<0.75 mg kg−1 soil) were more effective in improving nodule population, while the higher levels (>0.75 mg kg−1 soil) proved toxic and reduced the nodule population (Table 3). Regarding interactions, 0.25 mg kg−1 B with BTB inoculation had the highest nodule population (81%) compared to the rest of the treatments (Table 3).
Table 2.
Effect of soil-applied boron and inoculation of boron-tolerant bacteria on number of nodules per plant and yield-related trait of chickpea.
Table 3.
Interactive effect of soil-applied boron and inoculation of boron-tolerant bacteria on number of nodules, pods and grains per plant−1 of chickpea.
Table 4.
Interactive effect soil applied boron and inoculation of boron-tolerant bacteria on yield components and grain B concentration of chickpea.
Soil application of 0.25 mg kg−1 soil B improved the yield-related traits, especially the number of branches per plant−1 (40%), the number of grains per pod−1 (28%) and the 100-grain weight (25%) as compared to control (Table 2). Similarly, the BTB inoculation significantly improved the number of branches per plant−1 (18%), the number of grains per pod−1 (11%) and the 100-grain weight (4%) compared to no inoculation treatment (Table 2).
Regarding B–BTB interaction, 0.25 mg kg−1 soil B with BTB inoculation recorded better yield-related traits than the rest of the treatments (Table 3 and Table 4). Soil application of 0.25 mg B kg−1 soil with BTB inoculation recorded the highest number of pods per plant−1 (46%), number of per grains plant−1 (62%), grain yield (47%) and biological yield (50%) compared to the control treatment (Table 3 and Table 4). However, the grain-B concentration was the highest (77%) under higher B levels along with BTB inoculation.
The nodule population, number of pods and yield-related traits had strong positive correlations with grain yield with or without BTB inoculation (Table 5). However, all these traits had non-significant correlations with grain-B concentration with and without BTB inoculation (Table 5).
Table 5.
Correlation between different growth traits with grain yield and grains B concentrations of chickpea.
4. Discussion
The results indicated that soil application of B with BTB inoculation recorded the highest root proliferations, improved morphological parameters and nodule population and increased the yield and grain-B concentrations compared to the control treatment. Soil application of 0.25 mg B kg−1 soil along with BTB inoculation improved the root traits, growth, nodulation and yield-related traits of chickpea, while higher B levels recorded a greater grain-B concentration (Figure 1, Figure 2 and Figure 3, Table 1, Table 2, Table 3, Table 4 and Table 5). Boron is involved in sugar translocation from source to sink, carbohydrate metabolism, seed development, pollen fertility, pod setting and grain yield [8]. Boron is most helpful during the reproductive stage rather than the vegetative stage as it is involved in fruit setting and seed development [59].
Soil application of 0.25 mg B kg−1 soil recorded the highest improvement in root traits and growth parameters, including the number of roots per plant−1, the plant height, the root length, the root dry weight and the leaf area. Moreover, seed inoculation with BTB improved root-related traits and growth parameters (Figure 1, Figure 2 and Figure 3). Plant height was significantly improved by soil application of B and BTB inoculation from 55–95 DAS, which is similar to the findings of Bayrak et al. [60]. Plant height of different chickpea genotypes has been reported to improve by soil application of B [60]. Ceyhan et al. [61] reported that soil application of B (7.5 kg ha−1) at sowing significantly improve plant height. Soil application of B increases photosynthesis rate and chlorophyll contents, while B-deficiency reduces chlorophyll and soluble protein contents, which ultimately reduce photosynthesis. Poor growth and the lowest dry matter production were recorded without B application throughout the growing season (Figure 2 and Figure 3). These results are similar to Zhao and Oosterhuis [15] who reported that B-deficiency during the reproductive stage lowers plant height, reduces dry matter production and interrupts photosynthesis. Boron is required by plants in minute quantity; however, metabolic activities are significantly altered by B-deficiency. Boron stabilizes the plant cell walls, membrane integrity and sugar transport and improves the utilization of calcium and nitrogen [6,7,8]. Nonetheless, pod formation is regulated by B during the reproductive phase, which improves the yield of leguminous plants. Better growth and yield-related traits with 0.25 mg B kg−1 soil are owed to these physiological and biochemical attributes, which were suppressed under B-deficiency. Boron-deficiency at the reproductive stage results in pollen sterility and decreases the grain yield to great extent [9]. Therefore, the lower yield under no B application can also be explained with pollen sterility.
Soil application with B significantly improved the nodule population, the number of branches and the yield-related traits of chickpea. Boron application at higher levels and no B application recorded a lesser nodule population and reduced numbers of pods and grain sizes. These results are in line with the findings of Agarwala and Sharma [62] and Srivastava et al. [63]. The number of flowers in chickpea were decreased by B-deficiency, which negatively affected photosynthesis, fruit setting, pods formation and yield. Chickpea pods population increased with B application on B-deficient soils [60]. Soil application of 10 kg ha−1 Zn proved a viable option to improve mung bean productivity along with higher grain Zn biofortification [64]. However, BTB inoculation improved nodule population and yield-related traits by providing better nutrients and water uptake as compared to non-inoculation. Availability of nutrients (including phosphorous and B) and water uptake is better by soil microbes along with growth stimulating bacteria, which increase growth and production [65]. Seed inoculation in plants involves ion homeostasis, which improves inorganic substances, including B [66]. The Bacillus spp. MN-54 improved P uptake and growth of maize under lead [47] and chromium [48] toxicity. Similarly, Khan et al. [44] reported that Bacillus spp. MN-54 improved P uptake and enhanced chickpea productivity in calcareous soils. Two recent studies have indicated that Bacillus spp. MN-54 combined with B seed priming [43] and seed inoculation [47] improved the B uptake and productivity of chickpea. The current study also reports that Bacillus spp. MN-54 can be combined with soil-applied B for improving the growth, yield and grain biofortification of chickpea. The improvement in yield and related traits with the inoculation of Bacillus spp. MN-54 could be attributed to higher P and B solubilization and availability to the plants at critical growth stages. Although, Bacillus spp. MN-54 tolerates higher B levels, it could not lower B-toxicity at higher levels. Therefore, Bacillus spp. MN-54 should be combined with lower B concentration for improving growth, yield and grain B contents. Although a higher B level recorded more grain-B contents, these had toxic effect on plant growth.
Soil application of 0.25 mg B kg−1 soil significantly improved the grain and biological yields, whereas a higher B level caused toxicity and no B application resulted in B-deficiency. These results agree with the previous study that seed coating of B (1.5 g kg−1) with bacterial inoculation had positive effects on chickpea growth and production, while higher levels become toxic and reduced production [43]. Chickpea yield has been reported to increase by 1 kg ha−1 soil application of B [63,67], while its production increased by 54% [68]. These results are in line with our findings that chickpea yield was increased by 47% in response to 0.25 mg B kg−1 soil BTB inoculation. Moreover, higher levels become toxic and ultimately reduced chickpea yield. These results are similar to the findings of Singh [69] who found that a higher dose of B (2 kg B ha−1) or B-contaminated irrigation water caused toxicity in plants and suppressed crop growth.
Boron soil application along with BTB inoculation promoted plant growth, nodulation and chickpea production. Different nutrients along with soil microbes enable plants to uptake more essential nutrients, which accelerate their growth and yield [51]. The BTB inoculation significantly improved the number of pods per plant−1 (5%), the number of grains per plant−1 (14%) and the grain yield (9%) of chickpea against the non-inoculation treatment. Co-application of BTB along with B seed coating (1.5 g B kg−1) increased the grain and biological yield by 37 and 40%, respectively [43]. Bacteria are more flexible in moving, transforming and solubilizing the nutrients in plant roots against bulk soil, thus helping plants achieve better nutrient and moisture uptake [70].
5. Conclusions
Soil application of B proved to be effective in increasing chickpea growth, yield and grain-B concentration. Similarly, BTB inoculation positively increased chickpea yield compared to the non-inoculation treatment. Soil application of B at a lower dose (0.25 mg B kg−1 soil) along with BTB inoculation was the most effective method to increase the nodule population, growth and crop yield. Higher B levels caused toxicity, and no application showed B-deficiency. Therefore, 0.25 mg B kg−1 soil and BTB inoculation seem to be a viable approach to improving the growth, yield and grain-B concentration of chickpea.
Author Contributions
Conceptualization, M.H.; data curation, N.M. and W.A.M.; formal analysis, N.M. and S.F.; funding acquisition, M.H., A.T.K.Z. and S.A.; investigation, T.A.Y.; methodology, T.A.Y. and M.N.; project administration, M.H.; software, S.F.; supervision, M.H.; validation, N.M. and W.A.M.; visualization, W.A.M.; writing—review and editing, M.H., T.A.Y., M.N., S.F., A.T.K.Z. and S.A. All authors have read and agreed to the published version of the manuscript.
Funding
The corresponding author (M.H.) is highly obliged to the Higher Education Commission of Pakistan for financial assistance to accomplish this study under NRPU grant No. 6998/Punjab/NRPU/R&D/HEC/2017. This project was supported by Researchers Supporting Project Number (RSP-2021/7) King Saud University, Riyadh, Saudi Arabia. The funders had no role in the design of the study; in the collection, analyses, or interpretation of data; in the writing of the manuscript, or in the decision to publish the results.
Institutional Review Board Statement
Not applicable.
Informed Consent Statement
Not applicable.
Data Availability Statement
All relevant data are within the manuscript.
Acknowledgments
This project was supported by Researchers Supporting Project Number (RSP-2021/7) King Saud University, Riyadh, Saudi Arabia.
Conflicts of Interest
The authors declare no conflict of interest.
References
- Sawan, Z.M.; Hafez, S.A.; Basyony, A.E. Effect of phosphorus fertilization and foliar application of chelated zinc and calcium on seed, protein and oil yields and oil properties of cotton. J. Agric. Sci. 2001, 136, 191–198. [Google Scholar] [CrossRef]
- Warington, K. The effect of boric acid and borax on the broad bean and certain other plants. Ann. Bot. 1923, 37, 629–672. [Google Scholar] [CrossRef]
- Nielsen, F.H. Is boron nutritionally relevant? Nutr. Rev. 2008, 66, 183–191. [Google Scholar] [CrossRef] [PubMed]
- Devirian, T.A.; Volpe, S.L. The physiological effects of dietary boron. Crit. Rev. Food Sci. Nutr. 2003, 43, 219–231. [Google Scholar] [CrossRef] [PubMed]
- Bonilla, I.; Garcia-González, M.; Mateo, P. Boron requirement in Cyanobacteria. Plant Physiol. 1990, 94, 1554–1560. [Google Scholar] [CrossRef] [PubMed] [Green Version]
- Wimmer, M.A.; Lochnit, G.; Bassil, E.; Mühling, K.H.; Goldbach, H.E. Membrane-associated, boron-interacting proteins isolated by boronate affinity chromatography. Plant Cell Physiol. 2009, 50, 1292–1304. [Google Scholar] [CrossRef] [Green Version]
- Ahmad, S.; Ahmad, A.; Zia-ul-Haq, M.; Ali, H.; Khaliq, T.; Anjum, M.A.; Khan, M.A.; Hussain, A.; Hoogenboom, G. Resources use efficiency of field grown transplanted rice (Oryza sativa L.) under irrigated semiarid environment. J. Food Agric. Environ. 2009, 7, 487–492. [Google Scholar]
- Flores, R.A.; da Silva, R.G.; da Cunha, P.P.; Damin, V.; de Abdala, K.O.; Arruda, E.M.; Rodrigues, R.A.; Maranhão, D.D.C. Economic viability of Phaseolus vulgaris (BRS Estilo) production in irrigated system in a function of application of leaf boron. Acta Agric. Scand. Sect. B Soil Plant Sci. 2017, 67, 697–704. [Google Scholar] [CrossRef]
- Hussain, M.; Khan, M.A.; Khan, M.B.; Farooq, M.; Farooq, S. Boron application improves growth, yield and net economic return of rice. Rice Sci. 2012, 19, 259–262. [Google Scholar] [CrossRef]
- Rehman, S.U.; Hussain, N.; Tariq, M.; Hussain, M.; Nasir, M.; Ayaz, M. Response of wheat to exogenous boron supply at various growth stages. Sarhad J. Agric 2012, 28, 411–414. [Google Scholar]
- Silva, C.A.T.; Cagol, A.; Silva, T.R.B.; Nobrega, L.H.P. Boron application before sowing of sunflower hybrid. J. Food Agric. Environ. 2011, 9, 580–583. [Google Scholar]
- Kanwal, S.; Rahmatullah, A.M.R.; Ahmad, R. Zinc partitioning in maize grain after soil fertilization with zinc sulfate. Int. J. Agric. Biol. 2010, 12, 299–302. [Google Scholar]
- Panhwar, Q.A.; Radziah, O.; Khanif, Y.M.; Naher, U.A. Application of boron and zinc in the tropical soils and its effect on maize (Zea mays) growth and soil microbial environment. Aust. J. Crop Sci. 2011, 5, 1649–1654. [Google Scholar]
- Tariq, M.; Mott, C.J.B. Effect of boron supply on the uptake of micronutrients by radish (Raphanus sativus L.). J. Agric. Biol. Sci. 2006, 1, 1–8. [Google Scholar]
- Zhao, D.; Oosterhuis, D.M. Cotton growth and physiological responses to boron deficiency. J. Plant Nutr. 2003, 26, 855–867. [Google Scholar] [CrossRef]
- Oosterhuis, D.M.; Zhao, D. Effect of boron deficiency on the growth and carbohydrate metabolism of cotton. In Plant Nutrition; Springer: Berlin/Heidelberg, Germany, 2001; pp. 166–167. [Google Scholar]
- Rashidi, M.; Gholami, M. Interactive effect of nitrogen and boron fertilizers on yield and yield components of cotton (Gossypium hirsutum L.). Libyan Agric. Res. Cent. J. Int. 2011, 1, 33–38. [Google Scholar]
- Haider, M.U.; Hussain, M.; Farooq, M.; Nawaz, A. Soil application of zinc improves the growth, yield and grain zinc biofortification of mungbean. Soil Environ. 2018, 37, 123–128. [Google Scholar] [CrossRef]
- Cartwright, B.; Zarcinas, B.A.; Mayfield, A.H. Toxic concentrations of boron in a red-brown earth at Gladstone, South Australia. Soil Res. 1984, 22, 261–272. [Google Scholar] [CrossRef]
- Rashid, A.; Ryan, J. Micronutrient constraints to crop production in soils with Mediterranean-type characteristics: A review. J. Plant Nutr. 2004, 27, 959–975. [Google Scholar] [CrossRef]
- Rashid, A.; Rafique, E.; Bhatti, A.U.; Ryan, J.; Bughio, N.; Yau, S.K. Boron deficiency in rainfed wheat in Pakistan: Incidence, spatial variability and management strategies. J. Plant Nutr. 2011, 34, 600–613. [Google Scholar] [CrossRef]
- Karim, M.R.; Zhang, Y.; Zhao, R.; Chen, X.; Zhang, F.; Zou, C. Alleviation of drought stress in winter wheat by late foliar application of zinc, boron, and manganese. J. Plant Nutr. Soil Sci. 2012, 175, 142–151. [Google Scholar] [CrossRef]
- Özkan, A.; Kafadar, F.N.; Can, C.; Kar, Y.; Mart, D.; Ceyhan, E. Genetic and biochemical properties of Cicer spp reveal distinction between wild and cultivated chickpea genotypes. Legum. Res.-AN Int. J. 2018, 42, 1–9. [Google Scholar] [CrossRef]
- Rokhzadi, A.; Toashih, V. Nutrient uptake and yield of chickpea (Cicer arietinum L.) inoculated with plant growth-promoting rhizobacteria. Aust. J. Crop Sci. 2011, 5, 44–48. [Google Scholar]
- Gunes, A.; Inal, A.; Adak, M.S.; Alpaslan, M.; Bagci, E.G.; Erol, T.; Pilbeam, D.J. Mineral nutrition of wheat, chickpea and lentil as affected by mixed cropping and soil moisture. Nutr. Cycl. Agroecosyst. 2007, 78, 83–96. [Google Scholar] [CrossRef]
- Merga, B.; Haji, J. Economic importance of chickpea: Production, value, and world trade. Cogent Food Agric. 2019, 5, 1615718. [Google Scholar] [CrossRef]
- Pakistan, G. Economic Survey of Pakistan; Economic Adviser’s Wing, Finance Division, Government of Pakistan: Islamabad, Pakistan, 2020.
- Upadhyaya, H.D.; Dwivedi, S.L.; Gowda, C.L.L.; Singh, S. Identification of diverse germplasm lines for agronomic traits in a chickpea (Cicer arietinum L.) core collection for use in crop improvement. Field Crop. Res. 2007, 100, 320–326. [Google Scholar] [CrossRef] [Green Version]
- Jha, U.C.; Chaturvedi, S.K.; Bohra, A.; Basu, P.S.; Khan, M.S.; Barh, D. Abiotic stresses, constraints and improvement strategies in chickpea. Plant Breed. 2014, 133, 163–178. [Google Scholar] [CrossRef]
- Garg, N.; Pandey, R. Effectiveness of native and exotic arbuscular mycorrhizal fungi on nutrient uptake and ion homeostasis in salt-stressed Cajanus cajan L. (Millsp.) genotypes. Mycorrhiza 2015, 25, 165–180. [Google Scholar] [CrossRef]
- Mahmood, K.; Munir, M.; Rafique, S. Rainfed farming systems and socio-economic aspects in Kalat Division (Highland Balochistan). Pak. J. Agric. Soc. Sci. 1991, 5, 15–20. [Google Scholar]
- El-Naggar, A.H.; Usman, A.R.A.; Al-Omran, A.; Ok, Y.S.; Ahmad, M.; Al-Wabel, M.I. Carbon mineralization and nutrient availability in calcareous sandy soils amended with woody waste biochar. Chemosphere 2015, 138, 67–73. [Google Scholar] [CrossRef]
- Kumar, A.; Choudhary, A.K.; Pooniya, V.; Suri, V.K.; Singh, U. Soil factors associated with micronutrient acquisition in crops-biofortification perspective. In Biofortification of Food Crops; Springer: New Delhi, India, 2016; ISBN 9788132227168. [Google Scholar]
- Haider, M.U.; Hussain, M.; Farooq, M.; Ul-Allah, S.; Ansari, M.J.; Alwahibi, M.S.; Farooq, S. Zinc biofortification potential of diverse mungbean [Vigna radiata (L.) Wilczek] genotypes under field conditions. PLoS ONE 2021, 16, e0253085. [Google Scholar] [CrossRef] [PubMed]
- Sadeghzadeh, B. A review of zinc nutrition and plant breeding. J. Soil Sci. Plant Nutr. 2013, 13, 905–927. [Google Scholar] [CrossRef] [Green Version]
- White, P.J.; Broadley, M.R. Biofortification of crops with seven mineral elements often lacking in human diets–iron, zinc, copper, calcium, magnesium, selenium and iodine. New Phytol. 2009, 182, 49–84. [Google Scholar] [CrossRef] [PubMed]
- Mao, H.; Wang, J.; Wang, Z.; Zan, Y.; Lyons, G.; Zou, C. Using agronomic biofortification to boost zinc, selenium, and iodine concentrations of food crops grown on the loess plateau in China. J. Soil Sci. Plant Nutr. 2014, 14, 459–470. [Google Scholar] [CrossRef] [Green Version]
- Singh, M.V. Micronutrient nutritional problems in soils of India and improvement for human and animal health. Indian J. Fertil. 2009, 5, 11–56. [Google Scholar]
- Majeed, A.; Minhas, W.A.; Mehboob, N.; Farooq, S.; Hussain, M.; Alam, S.; Rizwan, M.S. Iron application improves yield, economic returns and grain-Fe concentration of mungbean. PLoS ONE 2020, 15, e0230720. [Google Scholar] [CrossRef] [PubMed]
- Haider, M.U.; Hussain, M.; Farooq, M.; Nawaz, A. Optimizing zinc seed priming for improving the growth, yield and grain biofortification of mungbean (Vigna radiata (L.) wilczek). J. Plant Nutr. 2020, 43, 1438–1446. [Google Scholar] [CrossRef]
- Haider, M.U.; Hussain, M.; Farooq, M.; Nawaz, A. Zinc nutrition for improving the productivity and grain biofortification of mungbean. J. Soil Sci. Plant Nutr. 2020, 20, 1321–1335. [Google Scholar] [CrossRef]
- Hussain, M.; Mehboob, N.; Naveed, M.; Shehzadi, K.; Yasir, T.A. Optimizing boron seed coating level and boron-tolerant bacteria for improving yield and biofortification of chickpea. J. Soil Sci. Plant Nutr. 2020, 20, 2471–2478. [Google Scholar] [CrossRef]
- Mehboob, N.; Minhas, W.; Naeem, M.; Yasir, T.; Naveed, M.; Farooq, S.; Hussain, M. Seed priming with boron and Bacillus sp. MN54 inoculation improves chickpea productivity and grain boron concentrations. Crop Pasture Sci. 2021. In Press. [Google Scholar]
- Khan, M.I.; Afzal, M.J.; Bashir, S.; Naveed, M.; Anum, S.; Cheema, S.A.; Wakeel, A.; Sanaullah, M.; Ali, M.H.; Chen, Z. Improving nutrient uptake, growth, yield and protein content in chickpea by the co-addition of phosphorus fertilizers, organic manures, and bacillus sp. Mn-54. Agronomy 2021, 11, 436. [Google Scholar] [CrossRef]
- Qiu, Z.; Egidi, E.; Liu, H.; Kaur, S.; Singh, B.K. New frontiers in agriculture productivity: Optimised microbial inoculants and in situ microbiome engineering. Biotechnol. Adv. 2019, 37, 107371. [Google Scholar] [CrossRef] [PubMed]
- Samreen, T.; Zahir, Z.A.; Naveed, M.; Asghar, M. Boron tolerant phosphorus solubilizing Bacillus spp. MN-54 improved canola growth in alkaline calcareous soils. Int. J. Agric. Biol. 2019, 21, 538–546. [Google Scholar] [CrossRef]
- Afzal, M.J.; Khan, M.I.; Cheema, S.A.; Hussain, S.; Anwar-ul-Haq, M.; Ali, M.H.; Naveed, M. Combined application of Bacillus sp. MN-54 and phosphorus improved growth and reduced lead uptake by maize in the lead-contaminated soil. Environ. Sci. Pollut. Res. 2020, 27, 44528–44539. [Google Scholar] [CrossRef]
- Abubakar, M.; Naveed, M.; Ahmad, Z.; Cheema, S.A.; Khan, A.S.; Park, H.Y.; Kwon, C.H. Ameliorative Effect of Bacillus sp. MN-54 and Organic Amendments Combination on Maize Plants Growth and Physiology Under Chromium Toxicity. J. Agric. Sci. 2020, 12. [Google Scholar] [CrossRef]
- Ahmed, I.; Fujiwara, T. Mechanism of boron tolerance in soil bacteria. Can. J. Microbiol. 2010, 56, 22–26. [Google Scholar] [CrossRef] [PubMed]
- Philippot, L.; Raaijmakers, J.M.; Lemanceau, P.; Van Der Putten, W.H. Going back to the roots: The microbial ecology of the rhizosphere. Nat. Rev. Microbiol. 2013, 11, 789–799. [Google Scholar] [CrossRef]
- Berg, G. Plant–microbe interactions promoting plant growth and health: Perspectives for controlled use of microorganisms in agriculture. Appl. Microbiol. Biotechnol. 2009, 84, 11–18. [Google Scholar] [CrossRef]
- Adesemoye, A.O.; Kloepper, J.W. Plant–microbes interactions in enhanced fertilizer-use efficiency. Appl. Microbiol. Biotechnol. 2009, 85, 1–12. [Google Scholar] [CrossRef] [Green Version]
- Edwards, U.; Rogall, T.; Blöcker, H.; Emde, M.; Böttger, E.C. Isolation and direct complete nucleotide determination of entire genes. Characterization of a gene coding for 16S ribosomal RNA. Nucleic Acids Res. 1989, 17, 7843–7853. [Google Scholar] [CrossRef] [Green Version]
- Naveed, M.; Mitter, B.; Yousaf, S.; Pastar, M.; Afzal, M.; Sessitsch, A. The endophyte Enterobacter sp. FD17: A maize growth enhancer selected based on rigorous testing of plant beneficial traits and colonization characteristics. Biol. Fertil. Soils 2014, 50, 249–262. [Google Scholar] [CrossRef]
- Shabaan, M.; Asghar, H.N.; Akhtar, M.J.; Ali, Q.; Ejaz, M. Role of plant growth promoting rhizobacteria in the alleviation of lead toxicity to Pisum sativum L. Int. J. Phytoremed. 2021, 23, 837–845. [Google Scholar] [CrossRef]
- Chapman, H.D.; Pratt, P.F. Methods of analysis for soils, plants and waters. Soil Sci. 1962, 93, 68. [Google Scholar] [CrossRef] [Green Version]
- Steel, R.; Torrei, J.; Dickey, D. Principles and Procedures of Statistics A Biometrical Approach; McGraw-Hill: New York, NY, USA, 1997. [Google Scholar]
- IBM Corporation; IBM SPSS Inc. SPSS Statistics for Windows (Version 20); IBM Corporation: Armonk, NY, USA, 2012; pp. 1–8. [Google Scholar]
- Pandey, N.; Gupta, B. The impact of foliar boron sprays on reproductive biology and seed quality of black gram. J. Trace Elem. Med. Biol. 2013, 27, 58–64. [Google Scholar] [CrossRef]
- Bayrak, H.; Önder, M.; Gezgin, S. Effects on yield and some yield components of boron application in chickpea (Cicer arietinum L.) varieties. Selcuk Univ. J. Fac. Agric. 2005, 19, 66–74. [Google Scholar]
- Ceyhan, E.; Önder, M.; Öztürk, Ö.; Harmankaya, M.; Hamurcu, M.; Gezgin, S. Effects of application boron on yields, yield component and oil content of sunflower in boron-deficient calcareous soils. Afr. J. Biotechnol. 2008, 7, 2854–2861. [Google Scholar]
- Agarwala, S.C.; Sharma, C.P. Recognising Micronutrient Disorders of Crop Plants on the Basis of Visible Symptoms and Plant Analysis; Lucknow University: Lucknow, India, 1979; p. 72. [Google Scholar]
- Srivastava, S.P.; Yadav, C.R.; Rego, T.J.; Johansen, C.; Saxena, N.P.; Ramakrishna, A. Diagnosis of boron deficiency as a cause of flower abortion and failure of pod set in chickpea in Nepal. Int. Chickpea Newsl. 1996, 3, 29–30. [Google Scholar]
- Ullah, A.; Farooq, M.; Nadeem, F.; Rehman, A.; Hussain, M.; Nawaz, A.; Naveed, M. Zinc application in combination with zinc solubilizing Enterobacter sp. MN17 improved productivity, profitability, zinc efficiency, and quality of desi chickpea. J. Soil Sci. Plant Nutr. 2020, 20, 2133–2144. [Google Scholar] [CrossRef]
- Dey, R.; Pal, K.K.; Bhatt, D.M.; Chauhan, S.M. Growth promotion and yield enhancement of peanut (Arachis hypogaea L.) by application of plant growth-promoting rhizobacteria. Microbiol. Res. 2004, 159, 371–394. [Google Scholar] [CrossRef]
- Khan, A.; Zhao, X.Q.; Javed, M.T.; Khan, K.S.; Bano, A.; Shen, R.F.; Masood, S. Bacillus pumilus enhances tolerance in rice (Oryza sativa L.) to combined stresses of NaCl and high boron due to limited uptake of Na+. Environ. Exp. Bot. 2016, 124, 120–129. [Google Scholar] [CrossRef]
- Srivastava, S.P.; Yadav, C.R.; Rego, T.J.; Johansen, C.; Saxena, N.P. Diagnosis and alleviation of boron deficiency causing flower and pod abortion in chickpea (Cicer arietinum L.) in Nepal. In Boron in Soils and Plants; Springer: Berlin/Heidelberg, Germany, 1997; pp. 95–99. [Google Scholar]
- Dar, W.D. Macro-benefits from micronutrients for grey to green revolution in agriculture. In Proceedings of the IFA International Symposium On Micronutrients, New Delhi, India, 23–25 February 2004; pp. 1–13. [Google Scholar]
- Singh, A.L.; Jat, R.S.; Chaudhari, V.; Bariya, H.; Sharma, S.J. Toxicities and tolerance of mineral elements boron, cobalt, molybdenum and nickel in crop plants. Plant Stress 2010, 4, 31–56. [Google Scholar]
- Hayat, R.; Ali, S.; Amara, U.; Khalid, R.; Ahmed, I. Soil beneficial bacteria and their role in plant growth promotion: A review. Ann. Microbiol. 2010, 60, 579–598. [Google Scholar] [CrossRef]
Publisher’s Note: MDPI stays neutral with regard to jurisdictional claims in published maps and institutional affiliations. |
© 2021 by the authors. Licensee MDPI, Basel, Switzerland. This article is an open access article distributed under the terms and conditions of the Creative Commons Attribution (CC BY) license (https://creativecommons.org/licenses/by/4.0/).


