English-Medium Instruction as a Pedagogical Strategy for the Sustainable Development of EFL Learners in the Chinese Context: A Meta-Analysis of Its Effectiveness
Abstract
1. Introduction
2. Literature Review
2.1. Perceptions and Measured Effectiveness of EMI
2.2. EMI Practices in Tertiary Education in Mainland China
3. The Study
3.1. Research Questions and Context
- Are there any significant differences in subject content and English learning achievements between students taking EMI and CMI courses?
- To what extent do the variables of discipline, research design, instruction time in English, publication type, and journal type moderate the differences in subject content and English learning achievements between students taking EMI and CMI courses?
3.2. Method
3.2.1. Literature Search
3.2.2. Coding Procedure
3.2.3. Computing Effect Size
3.2.4. Assessing Publication Bias
4. Results
4.1. Differences in Subject Content and English Learning Achievements
4.2. Moderator Variables
5. Discussion
5.1. Academic Achievements
5.2. Moderators
6. Conclusions
Author Contributions
Funding
Acknowledgments
Conflicts of Interest
Appendix A

Appendix B

References
- Galloway, N.; Ruegg, R. The provision of student support on English Medium Instruction programmes in Japan and China. J. Engl. Acad. Purp. 2020, 45, 100846. [Google Scholar] [CrossRef]
- Macaro, E.; Curle, S.; Pun, J.; An, J.S.; Dearden, J. A systematic review of English medium instruction in higher education. Lang. Teach. 2018, 51, 36–76. [Google Scholar] [CrossRef]
- Wannagat, U. Learning through L2—Content and language integrated learning (CLIL) and English as medium of instruction (EMI). Int. J. Biling. Educ. Biling. 2007, 10, 663–682. [Google Scholar] [CrossRef]
- Di Sabato, B.; Macaro, E. Language and content intersections in CLIL and EMI. Rass. Ital. Linguist. Appl. 2018, 50, 21–32. [Google Scholar]
- Zhao, J.; Dixon, L.Q. Introduction. In English-Medium Instruction in Chinese Universities: Perspectives, Discourse and Evaluation; Zhao, J., Dixon, L.Q., Eds.; Routledge: New York, NY, USA, 2017; pp. 1–19. [Google Scholar]
- Hu, G. The misleading academic discourse on Chinese-English bilingual education in China. Rev. Educ. Res. 2008, 78, 195–231. [Google Scholar] [CrossRef]
- Hu, G. English-medium instruction in higher education: Lessons from China. J. Asia TEFL 2019, 16, 1–11. [Google Scholar] [CrossRef]
- Hou, A.Y.C.; Morse, R.; Chiang, C.-L.; Chen, H.-J. Challenges to quality of English medium instruction degree programs in Taiwanese universities and the role of local accreditors: A perspective of non-English-speaking Asian country. Asia Pac. Educ. Rev. 2013, 14, 359–370. [Google Scholar] [CrossRef]
- Dearden, J.; Macaro, E. Higher education teachers’ attitudes towards English medium instruction: A three-country comparison. Stud. Second Lang. Learn. Teach. 2016, 6, 455–486. [Google Scholar] [CrossRef]
- Galloway, N.; Kriukow, J.; Numajiri, T. Internationalisation, higher education and the growing demand for English: An investigation into the English medium of instruction (EMI) movement in China and Japan. Br. Counc. 2017. Available online: https://englishagenda.britishcouncil.org/sites/default/files/attachments/h035_eltra_internationalisation_he_and_the_growing_demand_for_english_a4_final_web.pdf (accessed on 16 October 2019).
- Hu, G.W.; Lei, J. English-medium instruction in Chinese higher education: A case study. High. Educ. 2014, 67, 551–567. [Google Scholar] [CrossRef]
- Hu, J.; Wu, P. Understanding English language learning in tertiary English-medium instruction contexts in China. System 2020, 93, 102305. [Google Scholar] [CrossRef]
- Kong, M.; Wei, R. EFL learner’s attitudes toward English-medium instruction in China: The influence of sociobiographical variables. Linguist. Educ. 2019, 52, 44–51. [Google Scholar] [CrossRef]
- Tong, F.; Shi, Q. Chinese–English bilingual education in China: A case study of college science majors. Int. J. Biling. Educ. Biling. 2012, 15, 165–182. [Google Scholar] [CrossRef]
- Graham, K.M.; Eslami, Z.R. Attitudes toward EMI in East Asia and the Gulf: A systematic review. Lang. Probl. Lang. Plan. 2019, 43, 8–31. [Google Scholar] [CrossRef]
- Aizawa, I.; Rose, H. An analysis of Japan’s English as medium of instruction initiatives within higher education: The gap between meso-level policy and micro-level practice. High. Educ. 2019, 77, 1125–1142. [Google Scholar] [CrossRef]
- Rose, H.; McKinley, J. Japan’s English-medium instruction initiatives and the globalization of higher education. High. Educ. 2018, 75, 111–129. [Google Scholar] [CrossRef]
- Chou, M.H. Speaking anxiety and strategy use for learning English as a foreign language in full and partial English-medium instruction contexts. TESOL Q. 2018, 52, 611–633. [Google Scholar] [CrossRef]
- Doiz, A.; Lasagabaster, D.; Pavon, V. The integration of language and content in English-medium instruction courses: Lecturers’ beliefs and practices. Iberica 2019, 38, 151–175. [Google Scholar]
- Hua, T.L. Understanding the learning challenges of English-medium instruction learners and ways to facilitate their learning: A case study of Taiwan Psychology students’ perspectives. Lat. Am. J. Content Lang. Integr. Laclil 2019, 12, 321–340. [Google Scholar] [CrossRef]
- Lei, J.; Hu, G. Is English-medium instruction effective in improving Chinese undergraduate students’ English competence? Int. Rev. Appl. Linguist. Lang. Teach. 2014, 52, 99–126. [Google Scholar] [CrossRef]
- Li, M. The effectiveness of a bilingual education program at a Chinese university: A case study of social science majors. Int. J. Biling. Educ. Biling. 2018, 21, 897–912. [Google Scholar] [CrossRef]
- Hu, G.; Li, L.; Lei, J. English-medium instruction at a Chinese University: Rhetoric and reality. Lang. Policy 2014, 13, 21–40. [Google Scholar] [CrossRef]
- Hu, G.; Li, X. Asking and answering questions in English-medium instruction classrooms: What is the cognitive and syntactic complexity level? In English-Medium Instruction in Chinese Universities: Perspectives, Discourse and Evaluation; Zhao, J., Dixon, L.Q., Eds.; Routledge: New York, NY, USA, 2017; pp. 184–203. [Google Scholar]
- Vinke, A.A. English as the Medium of Instruction in Dutch Engineering Education. Ph.D. Thesis, Delft University of Technology, Delft, The Netherlands, 1995. Available online: http://repository.tudelft.nl/islandora/object/uuid:491b55f9-fbf9-4650-a44d-acb9af8412a8?collection=research (accessed on 22 March 2020).
- Sánchez-Pérez, M.d.M. Teacher Training for English-Medium Instruction in Higher Education; IGI Global: Hershey, PA, USA, 2020. [Google Scholar]
- Kim, J.; Kim, E.G.; Kweon, S.O. Challenges in implementing English-medium instruction: Perspectives of Humanities and Social Sciences professors teaching engineering students. Engl. Specif. Purp. 2018, 51, 111–123. [Google Scholar] [CrossRef]
- Tong, F.; Tang, S. English-Medium Instruction in a Chinese University Math Classroom. In English-Medium Instruction in Chinese Universities: Perspectives, Discourse and Evaluation; Zhao, J., Dixon, L.Q., Eds.; Routledge: New York, NY, USA, 2017; pp. 128–144. [Google Scholar]
- Kim, K.-R. Korean professor and student perceptions of the efficacy of English-medium instruction. Linguist. Res. 2011, 28, 711–741. [Google Scholar]
- Yang, M.; O’Sullivan, P.S.; Irby, D.M.; Chen, Z.; Lin, C.; Lin, C. Challenges and adaptations in implementing an English-medium medical program: A case study in China. BMC Med. Educ. 2019, 19. [Google Scholar] [CrossRef]
- Aguilar, M.; Muñoz, C. The effect of proficiency on CLIL benefits in Engineering students in Spain. Int. J. Appl. Linguist. 2014, 24, 1–18. [Google Scholar] [CrossRef]
- Joe, Y.; Lee, H.-K. Does English-medium instruction benefit students in EFL contexts? A case study of medical students in Korea. Asia Pac. Educ. Res. 2013, 22, 201–207. [Google Scholar] [CrossRef]
- Lin, T.; He, Y.Y. Does Bilingual Instruction Impact Students’ Academic Performance in Content-Based Learning? Evidence from Business School Students Attending Bilingual and L1 Courses. Sustainability 2019, 11, 263. [Google Scholar] [CrossRef]
- Yang, W. Content and language integrated learning next in Asia: Evidence of learners’ achievement in CLIL education from a Taiwan tertiary degree programme. Int. J. Biling. Educ. Biling. 2015, 18, 361–382. [Google Scholar] [CrossRef]
- Li, M. Evaluation of Learning Outcomes in an Eduation Course: Does It Work? In English-Medium Instruction in Chinese Universities: Perspectives, Discourse and Evaluation; Zhao, J., Dixon, L.Q., Eds.; Routledge: New York, NY, USA, 2017; pp. 147–164. [Google Scholar]
- Guo, H.; Tong, F.; Wang, Z.; Min, Y.; Tang, S. English- vs. Chinese-medium instruction in Chinese higher education: A quasi-experimental comparison. Sustainability 2018, 10, 4230. [Google Scholar] [CrossRef]
- Han, J. An empirical study on students’ academic achievements in jointly sponsored bilingual programs. Teach. Engl. China 2009, 32, 3–12. [Google Scholar]
- Lo, Y.Y.; Lo, E.S.C. A meta-analysis of the effectiveness of English-medium education in Hong Kong. Rev. Educ. Res. 2014, 84, 47–73. [Google Scholar] [CrossRef]
- Tong, F.; Wang, Z.; Min, Y.; Tang, S. A systematic literature synthesis of 19 years of bilingual education in Chinese higher education: Where does the academic discourse stand? Sage Open 2020, 10. [Google Scholar] [CrossRef]
- Card, N.A. Applied Meta-Analysis for Social Science Research; Guilford Publications: New York, NY, USA, 2012. [Google Scholar]
- Minister of Education. Guanyu Jiaqiang Gaodeng Xuexiao Benke Jiaoxue Gongzuo Tigao Jiaoxue Zhiliang De Ruogan Yijian [Guidelines for Improving the Quality of Undergraduate Teaching]. 2011. Available online: http://www.moe.gov.cn/jyb_sjzl/moe_364/moe_302/moe_309/tnull_4682.html (accessed on 6 May 2018).
- Xu, H. College Students’ Attitudes toward English-Medium Instruction and the English Language. In English-Medium Instruction in Chinese Universities: Perspectives, Discourse and Evaluation; Zhao, J., Dixon, L.Q., Eds.; Routledge: New York, NY, USA, 2017; pp. 59–75. [Google Scholar]
- Becher, T.; Trowler, P.R. Academic Tribes and Territories: Intellectual Enquiry and the Culture of Disciplines, 2nd ed.; SRHE and Open University Press: Philadelphia, PA, USA, 2001. [Google Scholar]
- Moher, D.; Liberati, A.; Tetzlaff, J.; Altman, D.G. Preferred reporting items for systematic reviews and meta-analyses: The PRISMA statement. Int. J. Surgery 2010, 8, 336–341. [Google Scholar] [CrossRef] [PubMed]
- Zhang, G. Jichu hulixue shuangyu jiaoxue chutan [A preliminary study of bilingual teaching of Basic Nursing course]. Keji Chuangxin Daobao 2012, 20, 185–187. [Google Scholar]
- Cohen, J. Statistical Power Analysis for the Behavioral Sciences, 2nd ed.; Lawrence Erlbaum Associates: Hillsdale, NJ, USA, 1988. [Google Scholar]
- Borenstein, M.; Hedges, L.V.; Higgins, J.P.T.; Rothstein, H.R. Introduction to Meta-Analysis; John Wiley & Sons: Chichester, UK, 2009. [Google Scholar]
- Li, S. The effectiveness of corrective feedback in SLA: A meta-analysis. Lang. Learn. 2010, 60, 309–365. [Google Scholar] [CrossRef]
- Yu, F. Daxue Wuli Lixue Kecheng Shuangyu Jiaoxue De Shijian Yanjiu [A Study of Bilingual Teaching Practice on Mechanics Course of College Physics]. Master’s Thesis, Capital Normal University, Beijing, China, 2004. [Google Scholar]
- Sun, L.; Xiao, J. Gaoshi benke yingyong shuangyu jiaoxue de chubu yanjiu yu tansuo [The preliminary research and exploration of bilingual teaching in normal university]. Guangdong Jiaoyu Xueyuan Xuebao 2006, 26, 69–72. [Google Scholar]
- Zhou, J. A Study of the Effects of Bilingual Teaching on College Students’ English Proficiency and Subject Content Knowledge. Master’s Thesis, Hunan University, Changsha, China, 2008. [Google Scholar]
- Li, X.; Tian, W.; Bao, C.; Li, X.; Fan, L.; Gao, X.; Zhao, Y. 5nianzhi yufang yixue benkesheng liuxing bingxue shuangyu jiaoxue moshi de tansuo yu shijian [Exploration and practice on bilingual teaching mode of Epidemiology for five-year program preventive medical undergraduates]. Zhongguo Gaodeng Yixue Jiaoyu 2009, 10, 10–12. [Google Scholar]
- Peng, L. Status Quo and Effectiveness of Bilingual Education at a University in China: A Case Study of Bilingual Higher Mathematics Course. Master’s Thesis, National University of Defense Technology, Changsha, China, 2009. [Google Scholar]
- Wang, J. “Shuangyu-waiyu” tongbu huanjingxia de jiaoxue xiaoguo shiyan yanjiu [An experimental study on the effectiveness of the synchronous bilingual-EFL teaching]. Xinan Keji Daxue Xuebao 2009, 26, 70–74. [Google Scholar]
- Zhao, R.; Wang, J.; Liu, Z. Zhenjiuxue shuangyu jiaoxue de xiaoguo fenxi [An analysis of the effectiveness of bilingual teaching of Acupuncture course]. Changchun Zhongyiyao Daxue Xuebao 2009, 25, 639–640. [Google Scholar]
- Deng, S.; Li, X.; Huang, H.; Li, C.; He, Q.; Chen, C. Benke husheng jichu hulixue shuangyu jiaoxue xiaoguo yanjiu [A study of the effectivnenss of bingual teaching of “Basic Nursing” for undergruate nursing majors]. Xiangnan Xueyuan Xuebao 2010, 12, 77–78. [Google Scholar]
- Lu, S.; Wu, J.; Cheng, M. Chuanranbingxue shuangyu jiaoxue xiaoguo pingjia yu fenx [The evaulation and analysis of the effectiveness of bilingual teaching of Epidemiology]. Guiyang Yixueyuan Xuebao 2011, 36, 98–99, 101, 110. [Google Scholar]
- Wang, W.; Zheng, M. Shuangyu jiaoxue zai xitong jiepouxue jiaoxuezhong de yingyong xiaoguo pingjia [The evaulation of the effectiveness of the application of bilingual teaching of Systematic Anatomy]. Sichuan Jiepouxue Zazhi 2011, 19, 80–82. [Google Scholar]
- Yu, C. Gaozhi huli zhuanye erke huli shuangyu jiaoxue xiaoguo tanjiu [Exploring the effectiveness of bilingual teaching of Pediatric Nursing for higher vocational nursing majors]. Yixue Xinxi 2011, 24, 1142–1143. [Google Scholar]
- Yu, L.; Han, J. Chushi yingyu shuiping dui quanyingyu shuangyu jiaoxue xiaoguo de yingxiang [The Impact of Prior English Proficiency on the Effectiveness of English-medium Programs]. Zhongguo Waiyu 2011, 8, 74–81. [Google Scholar]
- Li, H. Gaozhi gaozhuan shewai huli zhuanye binglixue jiaoxuezhong shuangyu jiaoxue de xiaoguo tanjiu [Exploring the effectiveness of bilingual teaching of Pathematology for international-oriented nursing specialty in higher vocational colleges]. Keji Xinxi 2012, 21, 145–146. [Google Scholar]
- Liu, Z.; Luo, Y.; Hu, H. Gaoxiao shuangyu jiaoxue shizheng fenxi [An empirical analysis of bilingual education in Chinese colleges and universities]. Zhongguo Daxue Jiaoxue 2012, 5, 58–60. [Google Scholar]
- Xiang, Z.; Wang, W.; Wang, H.; Wang, W.; Yang, Z. Shuangyu jiaoxue zai renti jishengchongxue zhong de yingyong xiaoguo chutan [Effect of bilingual teaching in Human Parasitology]. Kunming Yixueyuan Xuebao 2012, 33, 125–127. [Google Scholar]
- Chen, L. Neike huli shuangyu jiaoxue de shijian yu tantao [The practice and exploration of bilingual teaching of Medical Nursing]. Zhongguo Minzu Minjian Yiyao 2013, 22, 60–62. [Google Scholar]
- Chen, X. Neikexue shuangyu jiaoxue xiaoguo ji fenxi [The analysis of the effectiveness of bilingual teaching of Internal Medicine]. Zhongwai Yixue Yanjiu 2014, 22, 70–71. [Google Scholar]
- Pu, Y. Dijinshi shuangyu jiaoxue moshi zai gaoxiao guanggao zhuanye de yingyong yanjiu—Yi Xi’an Waiguoyu Daxue Guanggao Chuangyi ke weili [A Study of Progressive Bilingual Teaching Mode for the Advertising Specialty in Colleges and Universities: A Case Study of Advertising Creativity Course in Xi’an International Studies University]. Master’s Thesis, Xi’an International Studies University, Xi’an, China, 2013. [Google Scholar]
- Qin, D.; Ye, Y.; Xiong, Y.; Liu, J.; Li, H. Putong yixue yuanxiao youxiu benkesheng zhong kaizhan yaolixue shuangyu jiaoxue de tansuo [Exploration of bilingual pharmacology education to excellent undergraduates in general medical colleges]. Zhongguo Gaodeng Yixue Jiaoyu 2013, 12, 5–6. [Google Scholar]
- Sha, B.; Gao, W.; Feng, H.; Jing, X. Waiyu shentou moshi zai yixue yuanxiao xibao shengwuxue shuangyu jiaoxue zhong de yingyong [Application of maintenance model in bilingual education of Cell Biology at medical colleges]. Xibei Yixue Jiaoyu 2014, 22, 907–909. [Google Scholar]
- Li, S.; Gao, Y.; Liu, C. Wunianzhi huli benke “hulixue jichu” shiyanke shuangyu jiaoxue de xiaoguo pingjia [The evaluation of the effectivenss of bilingual teaching in the experimental course of Fundamentals of Nursing for five-year nursing undergraduates]. Jiaoyu Guancha 2015, 4, 78–79, 81. [Google Scholar]
- Lu, X.; Yang, S.; Dong, Z.; Zhou, L.; Guan, Y. Shewai huli zhuanye yixue mianyi yu bingyuan shengwu shuangyu jiaoxue de tansuo yu shijian [Using bilingual teaching in medical immunology and pathogen biology for international-oriented nursing specialty]. Zhongguo Gaodeng Yixue Jiaoyu 2015, 6, 67–68. [Google Scholar]
- He, L.; Ma, F.; Li, Y.; Zhou, M.; Long, P.; Gong, Y. Shenzang neike shuangyu jiaoxue chafang de shijian yu tansuo [The practice and exploration of bilingual teaching model in ward rounds of Internal Medicine of Nephrology]. Xiandai Shengwu Yixue Jinzhan 2016, 16, 546–549. [Google Scholar]
- Han, J. Zhongyi neikexue shuangyu jiaoxue gaige tantao [Research on reform of “bilingual teaching” in Internal Medicine of Traditional Chinese Medicine]. Zhongguo Zhongyiyao Xiandai Yuancheng Jiaoyu 2017, 15, 43–44. [Google Scholar]
- Jiang, B.; Wang, A.; Yang, P. Shuangyu jiaoxue zai yanke jiaoxue zhong de yunyong yanjiu [Application research of bilingual teaching in ophthalmology teaching]. Zhongguo Jixu Yixue Jiaoyu 2017, 9, 25–27. [Google Scholar]
- Zhuang, W.; Zhang, X.; Huang, S.; Hong, H.; Chen, X.; Huang, T.; Ma, Z. Shantou Daxue Yixueyuan quanying yu zhongwen jiaoxue xiaoguo duibi fenxi—Yi jichu zonghe kaoshi ji OSCE weili [Comparative analysis of the effects of the English-based teaching and Chinese-based Teaching: Taking Shantou University Medical College as an example]. Yixue Jiaoyu Yanjiu Yu Shijian 2017, 25, 912–915. [Google Scholar]
- Mi, W. Bingli shenglixue shuangyu jiaoxue kecheng gaige yanjiu [Study on the reform of bilingual teaching in Pathophysiology]. Zhongguo Jixu Yixue Jiaoyu 2018, 10, 5–6. [Google Scholar]
- Du, L.; Lu, G. Hulixue zhuanye zhongmei hezuo banxue fangxiang “Hulixue Daolun” chuangxinxing shuangyu jiaoxue moshi de xiaoguo yanjiu [Study on the effect of the innovative bilingual teaching model of Introduction to Nursing in the direction of Sino-US cooperative education in nursing]. Yixue Jiaoyu Yanjiu Yu Shijian 2019, 27, 143–146. [Google Scholar]
- He, Y.; Huang, W.; Zhang, M. Erke hulixue shuangyu jiaoxue ziyuanku de yingyong dui jiaoxue xiaoguo de yingxiang [The influence of the application of bilingual teaching resource bank on the teaching effect of Pediatric Nursing]. Jiaoyu Xiandaihua 2019, 58, 130–131. [Google Scholar]
- Liu, A. Banianzhi guipeisheng shuangyu linchuang jiaoxue zai gushangke yingyong fenxi [Analysis on the application of bilingual clinical teaching in eight-year system standardized training students in Orthopedics and Traumatology]. Zhongguo Zhongyiyao Xiandai Yuancheng Jiaoyu 2019, 17, 1–3. [Google Scholar]
- Long, X.; Tao, Y.; Liu, B.; Sun, Q.; Zhao, Y.; Guo, H.; Han, X. Fuchankexue shuangyu jiaoxue shijian yu sikao [Practice and reflection on bilingual teaching of Obstetrics and Gynecology]. Jixu Yixue Jiaoyu 2019, 33, 23–25. [Google Scholar]
- Xu, L.; Xu, N.; Ren, Y. Jichu yixue zhuanye xuesheng peiyang qingkuang de diaocha fenxi [Investigation and analysis of the training of students majoring in basic medical science]. Jichu Yixue Jiaoyu 2017, 19, 636–638. [Google Scholar]
- Tan, R. Yixuesheng ruxue chengji dui daxue chengji de yingxiang yanjiu [A study on the effect of medical students’ admission scores on their academic scores in university]. Xueyuan 2013, 12, 52. [Google Scholar]
- Rubio-Alcalá, F.D.; Mallorquín, S. Teacher Training Competences and Subsequent Training Design for Higher Education Plurilingual Programs. In Teacher Training for English-Medium Instruction in Higher Education; Sánchez-Pérez, M.d.M., Ed.; IGI Global: Hershey, PA, USA, 2020; pp. 41–61. [Google Scholar]
- Sánchez-Pérez, M.d.M. Predicting content proficiency through disciplinary-literacy variables in English-medium writing. System 2021, 97, 102463. [Google Scholar] [CrossRef]


| Study | Sample Size | Achievement | Effect Size (d) | SE | Discipline | Design | Instruction Time in English | Publication Type | Journal Type | |
|---|---|---|---|---|---|---|---|---|---|---|
| EMI | CMI | |||||||||
| Yu [49] | 95 | 101 | Subject content | −0.241 | 0.143 | OHD (Physics) | NE | Unreported | Thesis | NA |
| Sun and Xiao [50] | 52 | 39 | Subject content | −0.156 | 0.212 | OHD (Mathematics) | RCT | ≥50% | Article | Chinese |
| Zhou [51] | 29 | 31 | Subject content | −0.430 | 0.261 | OHD (Physics) | QED | Unreported | Thesis | NA |
| English | 0.581 | 0.264 | ||||||||
| Han [37] | 137 | 137 | Subject content | 0.217 | 0.121 | OHD (Mathematics) | QED | ≥50% | Article | English |
| English | 0.706 | 0.128 | ||||||||
| Li et al. [52] | 56 | 19 | Subject content | 0.178 | 0.330 | MD | NE | Unreported | Article | Chinese |
| Peng [53] | 36 | 36 | English | 0.734 | 0.254 | OHD (Mathematics) | QED | ≥50% | Thesis | NA |
| Wang [54] | 59 | 59 | Subject content | −0.265 | 0.185 | OHD (Computer Science) | NE | Unreported | Article | Chinese |
| Zhao et al. [55] | 53 | 54 | Subject content | 0.415 | 0.195 | MD | NE | Unreported | Article | Chinese |
| Deng et al. [56] | 147 | 133 | Subject content | 0.380 | 0.121 | MD | NE | Unreported | Article | Chinese |
| English | 0.896 | 0.126 | ||||||||
| Lu et al. [57] | 65 | 65 | Subject content | −0.173 | 0.176 | MD | NE | <50% | Article | Chinese |
| Wang and Zheng [58] | 104 | 101 | Subject content | 0.305 | 0.141 | MD | RCT | Unreported | Article | Chinese |
| English | 9.146 | 0.473 | ||||||||
| Yu [59] S1 | 119 | 115 | Subject content | 1.357 | 0.145 | MD | RCT | <50% | Article | Chinese |
| Yu [59] S2 | 126 | 141 | Subject content | 1.557 | 0.140 | MD | RCT | <50% | Article | Chinese |
| Yu and Han [60] | 137 | 137 | Subject content | 0.031 | 0.121 | OHD (Chemistry-related) | NE | ≥50% | Article | Chinese |
| English | 0.477 | 0.123 | ||||||||
| Li [61] S1 | 111 | 119 | Subject content | 1.422 | 0.147 | MD | NE | Unreported | Article | Chinese |
| Li [61] S2 | 128 | 136 | Subject content | 1.456 | 0.138 | MD | NE | Unreported | Article | Chinese |
| Liu et al. [62] | 64 | 67 | Subject content | −0.124 | 0.175 | OHD (Physics) | QED | ≥50% | Article | Chinese |
| Xiang et al. [63] | 53 | 43 | Subject content | 0.198 | 0.198 | MD | NE | Unreported | Article | Chinese |
| Chen [64] | 36 | 33 | Subject content | −0.165 | 0.241 | MD | NE | ≥50% | Article | Chinese |
| Chen [65] | 60 | 146 | Subject content | 0.386 | 0.155 | MD | NE | Unreported | Article | Chinese |
| Pu [66] | 40 | 40 | Subject content | −0.049 | 0.224 | SD (Advertising) | QED | ≥50% | Thesis | NA |
| English | 0.535 | 0.228 | ||||||||
| Qin et al. [67] | 62 | 65 | Subject content | 0.055 | 0.178 | MD | NE | ≥50% | Article | Chinese |
| English | 1.661 | 0.207 | ||||||||
| Sha et al. [68] | 245 | 245 | Subject content | 2.442 | 0.119 | MD | RCT | Unreported | Article | Chinese |
| Li et al. [69] | 80 | 87 | Subject content | 0.619 | 0.158 | MD | NE | Unreported | Article | Chinese |
| Lu et al. [70] | 50 | 50 | Subject content | 0.132 | 0.200 | MD | NE | Unreported | Article | Chinese |
| He et al. [71] | 10 | 10 | Subject content | 1.005 | 0.475 | MD | RCT | Unreported | Article | Chinese |
| English | 1.081 | 0.479 | ||||||||
| Han [72] | 80 | 78 | Subject content | 2.659 | 0.218 | MD | NE | Unreported | Article | Chinese |
| Jiang et al. [73] | 56 | 56 | Subject content | 2.871 | 0.269 | MD | NE | Unreported | Article | Chinese |
| Zhuang et al. [74] S1 | 36 | 140 | Subject content | 0.866 | 0.192 | MD | NE | ≥50% | Article | Chinese |
| Zhuang et al. [74] S2 | 34 | 157 | Subject content | 1.399 | 0.202 | MD | NE | ≥50% | Article | Chinese |
| Zhuang et al. [74] S3 | 32 | 162 | Subject content | 0.844 | 0.198 | MD | NE | ≥50% | Article | Chinese |
| Zhuang et al. [74] S4 | 26 | 144 | Subject content | 1.324 | 0.225 | MD | NE | ≥50% | Article | Chinese |
| Zhuang et al. [74] S5 | 23 | 157 | Subject content | 1.837 | 0.243 | MD | NE | ≥50% | Article | Chinese |
| Zhuang et al. [74] S6 | 25 | 151 | Subject content | 1.408 | 0.229 | MD | NE | ≥50% | Article | Chinese |
| Guo et al. [36] | 18 | 25 | Subject content | 0.390 | 0.312 | SD (Mass Media) | QED | ≥50% | Article | English |
| English | 0.198 | 0.310 | ||||||||
| Li [35] | 53 | 100 | Subject content | −0.150 | 0.170 | SD (Early Childhood Education) | NE | ≥50% | Article | English |
| Mi [75] | 50 | 50 | Subject content | 2.395 | 0.262 | MD | RCT | ≥50% | Article | Chinese |
| Du and Lu [76] | 105 | 87 | Subject content | 0.767 | 0.150 | MD | NE | Unreported | Article | Chinese |
| He et al. [77] | 40 | 40 | Subject content | 2.456 | 0.296 | MD | NE | Unreported | Article | Chinese |
| English | 1.955 | 0.272 | ||||||||
| Lin and He [33] | 187 | 311 | Subject content | −0.061 | 0.093 | SD (Business) | NE | Unreported | Article | English |
| Liu [78] | 37 | 36 | Subject content | 0.063 | 0.234 | MD | RCT | Unreported | Article | Chinese |
| English | 1.819 | 0.278 | ||||||||
| Long et al. [79] | 106 | 54 | Subject content | −1.183 | 0.212 | MD | RCT | <50% | Article | Chinese |
| Yang et al. [30] S1 | 30 | 226 | Subject content | 0.370 | 0.195 | MD | NE | ≥50% | Article | English |
| Yang et al. [30] S2 | 25 | 222 | Subject content | 0.410 | 0.212 | MD | NE | ≥50% | Article | English |
| Achievement | k | Mean d | SE | 95% CI | Z | p |
|---|---|---|---|---|---|---|
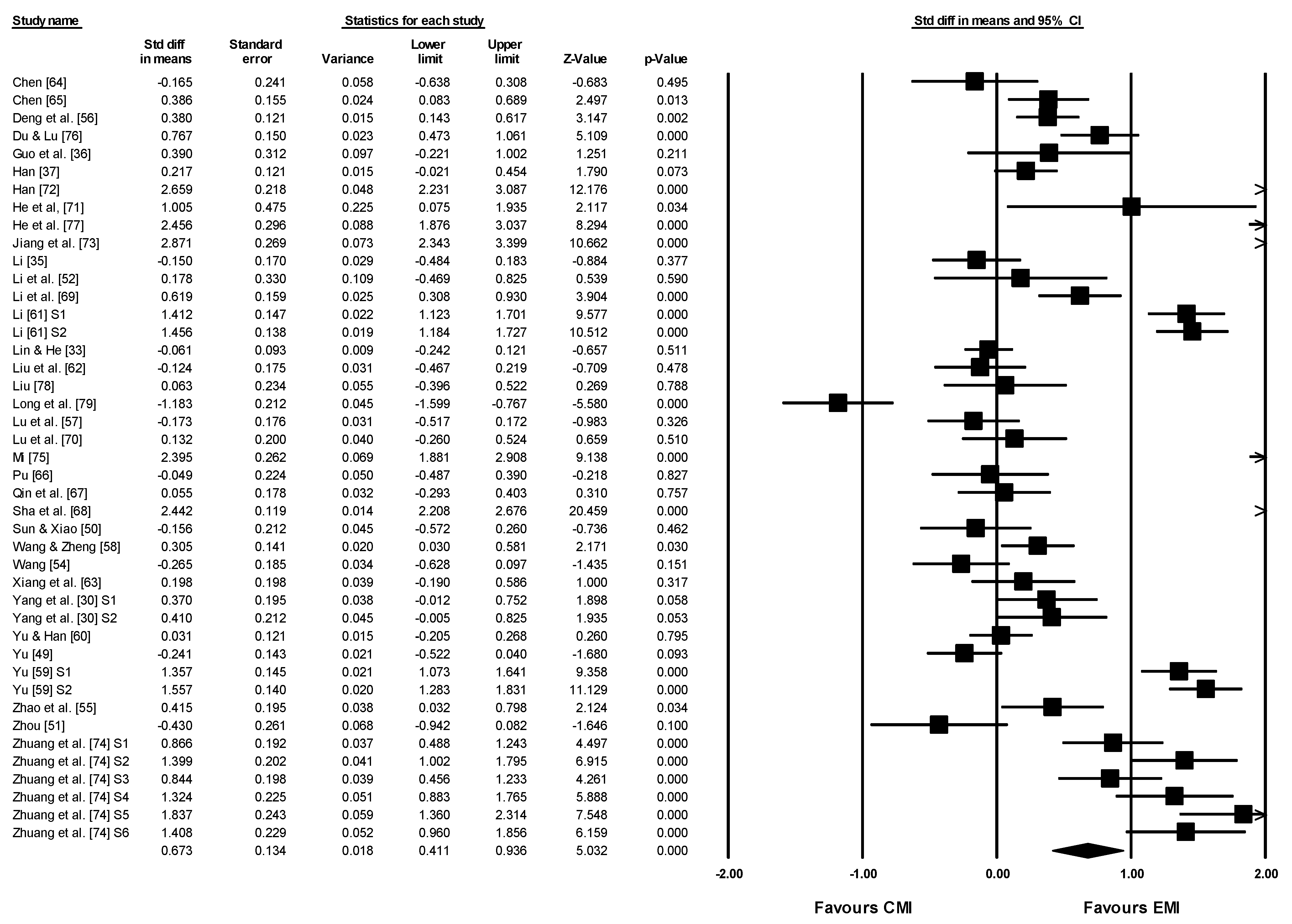
| Subject content | 43 | 0.673 | 0.134 | (0.411, 0.936) | 5.032 | 0.000 |
| English | 12 | 1.583 | 0.344 | (0.908, 2.258) | 4.598 | 0.000 |
| Moderator | k | Mean d | SE | 95% CI | Q | p |
|---|---|---|---|---|---|---|
| Discipline | 14.190 | 0.000 | ||||
| MD | 32 | 0.933 | 0.137 | (0.665, 1.202) | ||
| OHD | 7 | −0.134 | 0.290 | (−0.701, 0.434) | ||
| SD | 4 | 0.023 | 0.3857 | (−0.736, 0.782) | ||
| Design | 3.706 | 0.157 | ||||
| RCT | 9 | 0.868 | 0.285 | (0.310, 1.426) | ||
| QED | 5 | −0.000 | 0.381 | (−0.748, 0.747) | ||
| NE | 29 | 0.728 | 0.157 | (0.420, 1.036) | ||
| Instruction time in English | ||||||
| ≥50% | 18 | 0.599 | 0.211 | (0.185, 1.013) | 0.851 | 0.653 |
| <50% | 4 | 0.404 | 0.444 | (−0.466, 1.274) | ||
| Unreported | 21 | 0.790 | 0.196 | (0.407, 1.174) | ||
| Publication Type | ||||||
| Published | 40 | 0.741 | 0.136 | (0.474, 1.008) | 3.591 | 0.058 |
| Thesis | 3 | –0.238 | 0.499 | (−1.216, 0.739) | ||
| Journal Type | ||||||
| English | 6 | 0.191 | 0.344 | (−0.484, 0.865) | 3.014 | 0.083 |
| Chinese | 34 | 0.839 | 0.145 | (0.554, 1.124) |
| Moderator | k | Mean d | SE | 95% CI | Q | p |
|---|---|---|---|---|---|---|
| Discipline | 9.087 | 0.011 | ||||
| MD | 6 | 2.672 | 0.506 | (1.680, 3.664) | ||
| OHD | 4 | 0.624 | 0.607 | (−0.565, 1.813) | ||
| SD | 2 | 0.369 | 0.867 | (−1.331, 2.069) | ||
| Design | 17.388 | 0.000 | ||||
| RCT | 3 | 3.935 | 0.663 | (2.636, 5.235) | ||
| QED | 5 | 0.554 | 0.491 | (−0.408, 1.516) | ||
| NE | 4 | 1.236 | 0.554 | (0.171, 2.302) | ||
| Instruction time in English | 6.163 | 0.013 | ||||
| Above 50% | 6 | 0.721 | 0.499 | (−0.257, 1.699) | ||
| Unreported | 6 | 2.491 | 0.509 | (1.492, 3.489) | ||
| Pub Type | 2.516 | 0.113 | ||||
| Published | 9 | 1.916 | 0.412 | (1.109, 2.723) | ||
| Thesis | 3 | 0.616 | 0.708 | (−0.771, 2.004) | ||
| Journal Type | 2.579 | 0.108 | ||||
| English | 2 | 0.457 | 1.049 | (−1.599, 2.512) | ||
| Chinese | 7 | 2.370 | 0.565 | (1.262, 3.478) |
Publisher’s Note: MDPI stays neutral with regard to jurisdictional claims in published maps and institutional affiliations. |
© 2021 by the authors. Licensee MDPI, Basel, Switzerland. This article is an open access article distributed under the terms and conditions of the Creative Commons Attribution (CC BY) license (https://creativecommons.org/licenses/by/4.0/).
Share and Cite
Peng, J.-E.; Xie, X. English-Medium Instruction as a Pedagogical Strategy for the Sustainable Development of EFL Learners in the Chinese Context: A Meta-Analysis of Its Effectiveness. Sustainability 2021, 13, 5637. https://doi.org/10.3390/su13105637
Peng J-E, Xie X. English-Medium Instruction as a Pedagogical Strategy for the Sustainable Development of EFL Learners in the Chinese Context: A Meta-Analysis of Its Effectiveness. Sustainability. 2021; 13(10):5637. https://doi.org/10.3390/su13105637
Chicago/Turabian StylePeng, Jian-E, and Xiaowen (Serina) Xie. 2021. "English-Medium Instruction as a Pedagogical Strategy for the Sustainable Development of EFL Learners in the Chinese Context: A Meta-Analysis of Its Effectiveness" Sustainability 13, no. 10: 5637. https://doi.org/10.3390/su13105637
APA StylePeng, J.-E., & Xie, X. (2021). English-Medium Instruction as a Pedagogical Strategy for the Sustainable Development of EFL Learners in the Chinese Context: A Meta-Analysis of Its Effectiveness. Sustainability, 13(10), 5637. https://doi.org/10.3390/su13105637

