Spatial Spillover Effect of New Energy Development on Economic Growth in Developing Areas of China—An Empirical Test Based on the Spatial Dubin Model
Abstract
1. Introduction
2. Literature Review
3. Materials and Methods
3.1. Study Area
3.2. Variables
3.2.1. Explained Variable
3.2.2. Explanatory Variable
3.2.3. Control Variables
3.3. Data Sources
3.4. Method
3.4.1. Global Autocorrelation
3.4.2. Local Autocorrelation
3.4.3. Spatial Weight Matrix
3.4.4. Spatial Dubin Model
3.4.5. Direct and Indirect Effects
4. Empirical Results
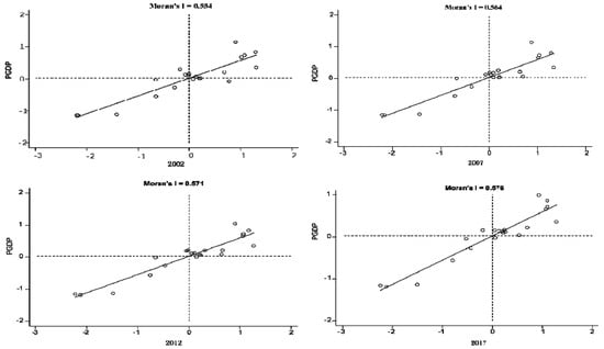
4.1. Global Autocorrelation Test
4.2. Local Autocorrelation Test
4.3. Spatial Dubin Model Analysis
4.3.1. Estimation of Panel Data without Considering Spatial Factors
4.3.2. Estimation of the SDM
4.3.3. Verification of Direct, Indirect, and Total Effects
5. Discussion
6. Conclusions and Policy Implications
6.1. Conclusions
- (1)
- The Moran’s I of the 21 developing provinces is not in a random and scattered state in the first and third quadrants, which show high–high and low–low characteristics. This shows that the development of new energy in developing areas has a strong spatial agglomeration characteristic.
- (2)
- Without considering the spatial weight matrix, the positive effect of new energy development on economic growth in developing areas is underestimated. After adding the spatial weight matrix, the positive effect is enhanced, but it produces a negative spatial spillover effect on the economic growth of neighboring areas.
- (3)
- From the perspective of control variables, the spatial spillover effects of human capital, physical capital, government investment, industrialization, and urbanization on the economic growth of neighboring areas are different. Human capital and urbanization have positive spatial spillover effects on the economic growth of the neighboring areas, while physical capital, government investment, and industrialization have negative spatial spillover effects.
6.2. Policy Implications
- (1)
- As an important new energy base in China, the development of new energy in developing areas is insufficient, and the policy system is not complete enough. Therefore, local governments in developing areas should strengthen the emphasis on new energy development, especially from the perspective of urbanization and human capital. The government should intensify policy innovation, form a long-term mechanism to support the sustainable development of new energy, and provide a great source of power for high-quality economic development in developing areas.
- (2)
- As the development of new energy in developing areas has strong spatial agglomeration characteristics and spillover effects, local governments in developing areas should increase the intensity of macro-control by optimizing the layout of the new energy industry, rationally arranging the timing of new energy development, controlling the scale of new energy development, and providing a solid foundation for the healthy development of new energy in developing areas.
- (3)
- Developing areas should combine their endowments with new energy resources, finding their own comparative advantages to develop new energy with local characteristics. This should take a differentiated development route, avoiding the problem of "homogenization" of resource development, and transforming comparative advantages into competitive advantages.
Author Contributions
Funding
Acknowledgments
Conflicts of Interest
References
- Pui, K.L.; Othman, J. The influence of economic, technical, and social aspects on energy-associated CO2 emissions in Malaysia: An extended Kaya identity approach. Energy 2019, 181, 468–493. [Google Scholar] [CrossRef]
- Gao, F.; Li, B.; Ren, B.Z.; Zhao, B.; Liu, P.; Zhang, J.W. Effects of residue management strategies on greenhouse gases and yield under double cropping of winter wheat and summer maize. Sci. Total Environ. 2019, 687, 1138–1146. [Google Scholar] [CrossRef] [PubMed]
- BP. Statistical Review of World Energy. 2019. Available online: https://www.bp.com/en/global/corporate/news-and-insights/press-releases/bp-statistical-review-of-world-energy-2019.html (accessed on 11 June 2019).
- Yang, Z.B.; Shao, S.; Yang, L.L.; Miao, Z. Improvement pathway of energy consumption structure in China’s industrial sector: From the perspective of directed technical change. Energy Econ. 2018, 72, 166–176. [Google Scholar] [CrossRef]
- National Bureau of Statistics of China. Major Achievements in Economic and Social Development over Forty Years of Reform and Opening Up. Available online: http://www.stats.gov.cn/ztjc/ztfx/ggkf40n/201809/t20180911_1622051.html (accessed on 11 September 2018).
- Ji, X.; Yao, Y.X.; Long, X.L. What causes PM2.5 pollution? Cross-economy empirical analysis from socioeconomic perspective. Energy Policy 2018, 119, 458–472. [Google Scholar] [CrossRef]
- Zeng, M.; Xue, S.; Ma, M.J.; Zhu, X.L. New energy bases and sustainable development in China: A review. Renew. Sustain. Energy Rev. 2013, 20, 169–185. [Google Scholar]
- Xi, J.P. Secure a Decisive Victory in Building a Moderately Prosperous Society in All Respects and Strive for the Great Success of Socialism with Chinese Characteristics for a New Era Delivered at the 19th National Congress of the Communist Party of China. J. Qiu Shi 2018, 1, 3–65. (In Chinese) [Google Scholar]
- He, Z.; Yang, Y. The mutual evolution and driving factors of China’s energy consumption and economic growth. Geogr. Res. 2018, 8, 1528–1540. [Google Scholar]
- Fodha, M.; Zaghdoud, O. Economic growth and pollutant emissions in Tunisia: An empirical analysis of the environmental Kuznets curve. Energy Policy 2010, 2, 1150–1156. [Google Scholar] [CrossRef]
- Baz, K.; Xu, D.Y.; Ali, H.; Ali, I.; Khan, I.; Khan, M.M.; Cheng, J.H. Asymmetric impact of energy consumption and economic growth on ecological footprint: Using asymmetric and nonlinear approach. Sci. Total Environ. 2020, 718, 137364. [Google Scholar] [CrossRef]
- Lundgren, B.; Schultzberg, M. Application of the economic theory of self-control to model energy conservation behavioral change in households. Energy 2019, 183, 536–546. [Google Scholar] [CrossRef]
- Kraft, J.; Kraft, A. On the relationship between energy and GNP. J. Energy Dev. 1978, 2, 401–403. [Google Scholar]
- Kobos, P.H.; Erickson, J.D.; Drennen, T.E. Technological learning and renewable energy costs: Implications for US renewable energy policy. Energy Policy 2006, 13, 1645–1658. [Google Scholar] [CrossRef]
- Timilsina, G.R.; Kurdgelashvili, L.; Narbel, P.A. Solar energy: Markets, economics and policies. Renew. Sustain. Energy Rev. 2012, 1, 449–465. [Google Scholar] [CrossRef]
- Bloch, H.; Rafiq, S.; Salim, R. Economic growth with coal, oil and renewable energy consumption in China: Prospects for fuel substitution. Econ. Model. 2015, 44, 104–115. [Google Scholar] [CrossRef]
- Chen, W. Japanese New Energy Industry and Sino-Japan Comparison. China Popul. Res. Environ. 2010, 6, 103–110. (In Chinese) [Google Scholar]
- Qiu, H.G.; Yan, J.B.; Lei, Z.; Sun, D.Q. Rising wages and energy consumption transition in rural China. Energy Policy 2018, 119, 545–553. [Google Scholar] [CrossRef]
- Liu, J.X. China’s renewable energy law and policy: A critical review. Renew. Sustain. Energy Rev. 2019, 99, 212–219. [Google Scholar] [CrossRef]
- Soytas, U.; Sari, R. Energy consumption and GDP: Causality relationship in G-7 countries and emerging markets. Energy Econ. 2003, 25, 33–37. [Google Scholar] [CrossRef]
- Balado-Naves, R.; Francisco Banos-Pino, J.; Mayor, M. Do countries influence neighbouring pollution? A spatial analysis of the ekc for CO2 emissions. Energy Policy 2018, 123, 266–279. [Google Scholar] [CrossRef]
- Shuai, C.Y.; Shen, L.Y.; Jiao, L.D.; Wu, Y.; Tan, Y.T. Identifying key impact factors on carbon emission: Evidences from panel and time-series data of 125 countries from 1990 to 2011. Appl. Energy 2017, 187, 310–325. [Google Scholar] [CrossRef]
- Magnani, N.; Vaona, A. Regional spillover effects of renewable energy generation in Italy. Energy Policy 2013, 56, 663–671. [Google Scholar] [CrossRef]
- Shahnazi, R.; Shahnazi, Z.D. Do renewable energy production spillovers matter in the EU? Renew. Energy 2020, 150, 786–796. [Google Scholar] [CrossRef]
- Hao, Y.; Liao, H.; Wei, Y.M. The Environmental Kuznets Curve for China’s Per Capita Energy Consumption and Electricity Consumption: An Empirical Estimation on the Basis of Spatial Econometric Analysis. China Soft Sci. 2014, 1, 134–147. [Google Scholar]
- Stejskal, J.; Hajek, P. Modelling Knowledge Spillover Effects Using Moderated and Mediation Analysis—The Case of Czech High-Tech Industries. Int. Conf. Knowl. Manag. Organ. 2015, 224, 329–341. [Google Scholar]
- Kim, E.J.; Kang, Y. Spillover Effects of Mega-Events: The Influences of Residence, Transportation Mode, and Staying Period on Attraction Networks during Olympic Games. Sustainability 2020, 12, 1206. [Google Scholar] [CrossRef]
- Zafra-Gómez, J.L.; Chica-Olmo, J. Spatial spillover effect of delivery forms on cost of public services in small and medium-sized Spanish municipalities. Cities 2019, 85, 203–216. [Google Scholar] [CrossRef]
- Yu, H.Y. The influential factors of China’s regional energy intensity and its spatial linkages: 1988–2007. Energy Policy 2012, 45, 583–593. [Google Scholar] [CrossRef]
- Jiang, L.; Folmer, H.; Ji, M.H. The drivers of energy intensity in China: A spatial panel data approach. China Econ. Rev. 2014, 31, 351–360. [Google Scholar] [CrossRef]
- Huang, G.X.; Ouyang, X.L.; Yao, X. Dynamics of China’s regional carbon emissions under gradient economic development mode. Ecol. Ind. 2015, 51, 197–204. [Google Scholar] [CrossRef]
- Ma, L.; Ye, Q.Q. Empirical Study on Relationship between Energy Consumption and Economic Growth—The case of Shaanxi Province. Econ. Geogr. 2016, 6, 130–135. (In Chinese) [Google Scholar]
- Jian, J.H.; Fan, X.J.; He, P.L.; Xiong, H.; Shen, H.Y. The Effects of Energy Consumption, Economic Growth and Financial Development on CO2 Emissions in China: A VECM Approach. Sustainability 2019, 18, 4850. [Google Scholar] [CrossRef]
- Pereira, A.M.; Pereira, R.M.M. Is fuel-switching a no-regrets environmental policy? Var evidence on carbon dioxide emissions, energy consumption and economic performance in Portugal. Energy Econ. 2010, 32, 227–242. [Google Scholar] [CrossRef][Green Version]
- Akalpler, E.; Hove, S. Carbon emissions, energy use, real GDP per capita and trade matrix in the Indian economy—An ARDL approach. Energy 2019, 168, 1081–1093. [Google Scholar] [CrossRef]
- Qi, S.Z.; Peng, H.R.; Zhang, X.L.; Tan, X.J. Is energy efficiency of Belt and Road Initiative countries catching up or falling behind? Evidence from a panel quantile regression approach. Appl. Energy 2019, 253, 113581. [Google Scholar] [CrossRef]
- Li, S.X.; Chen, G.G.; Wu, Q.S. Research on the Development Stages and Evolution Characteristics of China’s Energy Poverty Alleviation Policy. J. Jiangxi Univ. Sci. Technol. 2019, 2, 109–116. (In Chinese) [Google Scholar]
- Chen, S.Y.; Golley, J. Green productivity growth in China’s industrial economy. Energy Econ. 2014, 44, 89–98. [Google Scholar] [CrossRef]
- Lin, B.Q.; Zhu, J.P. Energy and carbon intensity in China during the urbanization and industrialization process: A panel VAR approach. J. Clean. Prod. 2017, 168, 780–790. [Google Scholar] [CrossRef]
- Yang, Z.; Fan, M.; Shao, S.; Yang, L. Does carbon intensity constraint policy improve industrial green production performance in China? A quasi-DID analysis. Energy Econ. 2017, 68, 271–282. [Google Scholar] [CrossRef]
- Zhang, J.; Wu, G.Y.; Zhang, J.P. The Estimation of China’s provincial capital stock: 1952–2000. J. Econ. Res. 2004, 10, 35–44. (In Chinese) [Google Scholar]
- Lesage, J.P. Spatial econometric panel data model specification: A Bayesian approach. Spat. Stat. 2014, 9, 122–145. [Google Scholar] [CrossRef]


| Variable | Definition | Units of Measurement |
|---|---|---|
| pgdp | real GDP per capita | yuan |
| nec | new energy consumption | tons of equivalent coal (tec) |
| edu | human capital | / |
| k | physical capital | yuan |
| gi | government investment | % |
| ir | industrialization | % |
| urp | urbanization | % |
| Variable | Max | Min | Mean | Std.dev | Obs |
|---|---|---|---|---|---|
| pgdp | 29,990.4 | 263.59 | 6659.303 | 5919.401 | 378 |
| nec | 69.27 | 0.03 | 13.18 | 15.51 | 378 |
| edu | 67,223.38 | 1600.88 | 20,233.02 | 13,553.77 | 378 |
| k | 1,657,983 | 739 | 124,258.2 | 227,080.7 | 378 |
| gi | 62.29 | 8.09 | 37.69 | 9.61 | 378 |
| ir | 59.24 | 11.84 | 37.69 | 8.09 | 378 |
| urp | 64.08 | 23.2 | 43.25 | 9.39 | 378 |
| Quadrant | Type | Characteristic |
|---|---|---|
| First quadrant | High–high | The attributes of area and neighboring areas are all at a high level, indicating that there is a positive spatial correlation. |
| Second quadrant | High–low | The higher attribute of the area itself and the lower attribute level of the neighboring areas indicate that there is a negative spatial correlation. |
| Third quadrant | Low–low | The attributes of the area and neighboring areas are at a low level, indicating that there is a positive spatial correlation. |
| Fourth quadrant | Low–high | The lower attribute of the area itself and the higher attribute level of the neighboring areas indicate that there is a negative spatial correlation. |
| Year | Moran’s I | z | p |
|---|---|---|---|
| 2000 | 0.551 | 5.471 | 0.000 |
| 2001 | 0.553 | 5.424 | 0.000 |
| 2002 | 0.554 | 5.435 | 0.000 |
| 2003 | 0.557 | 5.462 | 0.000 |
| 2004 | 0.559 | 5.484 | 0.000 |
| 2005 | 0.562 | 5.514 | 0.000 |
| 2006 | 0.563 | 5.517 | 0.000 |
| 2007 | 0.564 | 5.537 | 0.000 |
| 2008 | 0.566 | 5.548 | 0.000 |
| 2009 | 0.567 | 5.551 | 0.000 |
| 2010 | 0.568 | 5.552 | 0.000 |
| 2011 | 0.569 | 5.568 | 0.000 |
| 2012 | 0.571 | 5.588 | 0.000 |
| 2013 | 0.573 | 5.610 | 0.000 |
| 2014 | 0.574 | 5.622 | 0.000 |
| 2015 | 0.575 | 5.629 | 0.000 |
| 2016 | 0.575 | 5.631 | 0.000 |
| 2017 | 0.576 | 5.641 | 0.000 |
| Variable | Mixed OLS | Spatial Fixed Effect | Time Fixed Effect | Spatial and Time Effect |
|---|---|---|---|---|
| C | −4.781449*** (−10.04177) | |||
| lnnec | 0.009287 (1.449021) | 0.010560* (1.671699) | 0.003663 (0.396975) | 0.004621 (0.503183) |
| lnedu | 0.775275*** (26.002213) | 0.775774*** (25.864504) | 0.682738*** (20.486281) | 0.690670*** (20.973818) |
| lnk | 0.207925*** (13.358328) | 0.206254*** (12.997693) | 0.21583*** (14.829564) | 0.205256*** (13.703092) |
| lngi | −0.194858*** (−4.223427) | −0.199129*** (−4.269044) | 0.052876 (1.078609) | 0.06423 (1.262518) |
| lnir | 0.156184*** (4.035408) | 0.161332*** (4.231562) | 0.19686*** (4.7538) | 0.203076*** (4.958128) |
| lnurp | 0.948251*** (12.594021) | 0.968864*** (12.635552) | 0.609893*** (7.137995) | 0.690568*** (7.891696) |
| R2 | 0.9728 | 0.9734 | 0.9658 | 0.9663 |
| Sigma2 | 0.0283 | 0.0273 | 0.0169 | 0.0161 |
| Durbin–Watson | 0.3098 | 0.3052 | 0.5446 | 0.5556 |
| Log-L | 140.6371 | 147.5441 | 238.0474 | 246.5967 |
| LM test with no spatial lag | 50.0531*** | 52.2249*** | 0.3458* | 0.3206 |
| Robust LM test with no spatial lag | 24.9576*** | 25.9373*** | 1.1048 | 1.0307 |
| LM test with no spatial error | 92.8548*** | 97.7187*** | 1.9048** | 1.8661* |
| Robust LM test with no spatial error | 67.7593*** | 71.4311*** | 2.6639 | 2.5762 |
| Variable | Spatial Fixed Effect | Time Fixed Effect | Spatial and Time Fixed Effect |
|---|---|---|---|
| lnnec | 0.002797 (0.307436) | 0.005941 (0.615065) | 0.006448 (0.65078) |
| lnedu | 0.694504*** (21.558425) | 0.682599*** (18.878024) | 0.690447*** (18.679061) |
| lnk | 0.211533*** (13.856581) | 0.216251*** (14.368863) | 0.207047*** (12.976918) |
| lngi | 0.019443 (0.363138) | 0.047623 (0.951709) | 0.058552 (1.09463) |
| lnir | 0.217396*** (5.423562) | 0.193474*** (4.315853) | 0.199051*** (4.34585) |
| lnurp | 0.688468*** (7.820368) | 0.617714*** (7.008753) | 0.684365*** (7.382606) |
| W*lnnec | 0.003941 (0.357189) | 0.007953 (0.249807) | 0.00848 (0.254935) |
| W*lnedu | −0.286579*** (−4.539572) | 0.178641 (1.533619) | 0.115146 (0.327775) |
| W*lnk | −0.111533*** (−4.253752) | 0.00171 (0.040369) | −0.015316 (−0.349964) |
| W*lngi | −0.083882 (−1.141353) | 0.269873** (2.106837) | 0.245878* (1.773156) |
| W*lnir | −0.129901** (−2.205280) | −0.059122 (−0.433792) | −0.075811 (−0.546392) |
| W*lnurp | −0.104144 (−0.784553) | 0.35048 (1.385778) | 0.266693 (0.98228) |
| W*lnpgdp | 0.506994*** (9.073389) | −0.201965*** (−2.739615) | −0.10789 (−1.501744) |
| R2 | 0.9816 | 0.9844 | 0.9849 |
| Sigma2 | 0.0199 | 0.0167 | 0.0171 |
| Log-L | 204.23395 | 242.79131 | 250.32428 |
| Direct Effect | Indirect Effect | Total Effect | ||||
|---|---|---|---|---|---|---|
| Coefficient | t | Coefficient | t | Coefficient | t | |
| lnnec | 0.0072925 | 1.58 | −0.041731** | −2.25 | −0.034438* | −1.86 |
| lnedu | −0.185216*** | −4.7 | 0.1630871* | 1.74 | −0.022129 | −0.2 |
| lnk | 0.16428011*** | 9.54 | −0.165107*** | −2.72 | −0.000827 | −0.01 |
| lngi | −0.0218864 | −0.7 | −0.244092*** | −2.79 | −0.26598*** | −2.74 |
| lnir | 0.2108014*** | 10.06 | −0.326521*** | −4.8 | −0.115719* | −1.65 |
| lnurp | −0.140382*** | −3.1 | 0.5367898*** | 4.34 | 0.396408*** | 3.21 |
© 2020 by the authors. Licensee MDPI, Basel, Switzerland. This article is an open access article distributed under the terms and conditions of the Creative Commons Attribution (CC BY) license (http://creativecommons.org/licenses/by/4.0/).
Share and Cite
Bai, J.; Li, S.; Wang, N.; Shi, J.; Li, X. Spatial Spillover Effect of New Energy Development on Economic Growth in Developing Areas of China—An Empirical Test Based on the Spatial Dubin Model. Sustainability 2020, 12, 3249. https://doi.org/10.3390/su12083249
Bai J, Li S, Wang N, Shi J, Li X. Spatial Spillover Effect of New Energy Development on Economic Growth in Developing Areas of China—An Empirical Test Based on the Spatial Dubin Model. Sustainability. 2020; 12(8):3249. https://doi.org/10.3390/su12083249
Chicago/Turabian StyleBai, Jun, Shixiang Li, Nan Wang, Jianru Shi, and Xianmin Li. 2020. "Spatial Spillover Effect of New Energy Development on Economic Growth in Developing Areas of China—An Empirical Test Based on the Spatial Dubin Model" Sustainability 12, no. 8: 3249. https://doi.org/10.3390/su12083249
APA StyleBai, J., Li, S., Wang, N., Shi, J., & Li, X. (2020). Spatial Spillover Effect of New Energy Development on Economic Growth in Developing Areas of China—An Empirical Test Based on the Spatial Dubin Model. Sustainability, 12(8), 3249. https://doi.org/10.3390/su12083249

