Next Article in Journal
Residential Energy-Related CO2 Emissions in China’s Less Developed Regions: A Case Study of Jiangxi
Previous Article in Journal
Gaming Avatar Can Influence Sustainable Healthy Lifestyle: Be Like an Avatar
 
 
Font Type:
Arial Georgia Verdana
Font Size:
Aa Aa Aa
Line Spacing:
Column Width:
Background:
Article

Evaluation of Wind Energy Potential Using an Optimum Approach based on Maximum Distance Metric

1
School of Electronic Information and Electrical Engineering, Shanghai Jiao Tong University, Shanghai 200240, China
2
Department of Electrical Engineering, Balochistan University of Information Technology, Engineering and Management Sciences (BUITEMS), Quetta 87300, Pakistan
*
Author to whom correspondence should be addressed.
Sustainability 2020, 12(5), 1999; https://doi.org/10.3390/su12051999
Submission received: 23 January 2020 / Revised: 1 March 2020 / Accepted: 3 March 2020 / Published: 5 March 2020
(This article belongs to the Section Energy Sustainability)

Abstract

The integration of wind power as an alternative energy source has gotten much attention globally. In this paper, the Weibull distribution model based on different artificial intelligent algorithms and numerical methods is used to evaluate the wind profile. The application of Weibull distribution in wind data assessment can be extensively found, but the methods applied for estimating the parameters still need improvement. Three artificial intelligent algorithms are presented as an alternative method for estimation of Weibull parameters, and an objective function is proposed through the concept of maximum distance metric. Its convergence was proven mathematically through its boundedness for all wind data types. The optimization methods based on the proposed objective function are compared with the conventional numerical approaches for Weibull parameter estimation. Two-year wind data from the site in the southern area of Pakistan has been used to conduct this analysis. Furthermore, this work provides an eloquent way for the selection of a suitable area, evaluation of parameters, and appropriate wind turbine models through real-time data for power production.

1. Introduction

The renewable energy sector has been encouraged to develop due to its endless resource, lower index of greenhouse gas emissions, and better economics. The World Wind Energy Association highlights the increased development of wind energy investments in recent years [1]. According to their report, the world’s total wind installed capacity reached a staggering 597 GW in the year 2018, with a high rate of progress about 13% in the last three years [1,2].
Wind resource analyses are performed to predict the performance and output of potential power projects. This allows investors and developers to gather more accurate feasibility of the project under consideration. The process consists of many steps and methods, but one of the most critical steps is wind characterization through distribution functions. Several distribution models have been used for this purpose. Some of the most commonly used are the Rayleigh distribution, the Gaussian distribution, and the two-parameter Weibull (Wb) distribution [3,4,5,6,7,8]. Luna and Church [9] determined that the application of probability distribution on wind data depends more on the considered data. According to their analysis, lognormal distribution was the best representation of wind data. Several distribution functions have been utilized for wind data representation and can be found in the literature extensively [10,11,12,13].
The Weibull distribution is by far the most applied distribution for wind data representation, and according to the international standard of the International Electrotechnical Commission (IEC: 614-00-12), two-parameter Weibull is a proper approach to analyze wind characteristics [14]. However, there has been a hot debate over the right selection methods for its parameters, i.e., shape (k) and scale (c) parameters. In this context, various methods have been adopted for Weibull parameter estimation. Several numerical approaches have been used for Weibull parameter estimation in the past. Some of the common ones are the method of moment (MM), the graphical method (GM), the maximum likelihood method (MLM), and the modified maximum likelihood method (MMLM) [15,16,17,18]. However, all of the algorithms mentioned-above possess limitations unique to each of them. For instance, the methods based on maximum likelihood are extensively iterative, and these methods hence do not give the optimum results in all cases [12].
Although most of the studies on this subject point towards the numerical methods for this purpose [17,18,19,20], there has been a recent development with the application of artificial intelligence optimization algorithms [21,22,23,24,25,26]. Nevertheless, wind data is not just crucial for wind turbine performance, but also design, planning of transportation, and installation of a wind turbine in the onshore-offshore environment. Similarly, wind data/parameters are essential for distributions, for blade lifting, installation, and planning. Therefore, the correct estimation of wind parameters is essential for wind farm designing, planning, and installation [27,28,29].
The significant advantage of an applicable optimization algorithm would be its characteristics of optimizing to the considered data. Therefore, if perfected, this technique can be the one go-to method for every data type. The most important factor in this process is the selection of the right objective function. If the objective function is divergent, it will not give good accuracy and even diverge out of bounds in some cases. This idea is not new. However, it has not been as successful due to the use of wrong objective functions or, in other words, lack of a well-defined criterion for their convergence. All the studies on this subject have been conducted through the mean-based objective functions, such as the root mean square error or the mean bias error [21,22,23,24,25,26]. Therefore, there is a need for a convergent objective function or a proper criterion for an objective function to converge when used for Weibull parameter estimation.
In this context, this study compares seven methods for Weibull parameter estimation based on their fitness with the real data. These include the grey wolf optimization algorithm (GWO), cuckoo search optimization algorithm (CSO), particle swarm optimization algorithm (PSO), the method of moments (MoM), the modified maximum likelihood method (MMLM), the empirical method of Justus (EMJ), and the energy pattern factor method (EPFM). This study is an effort to determine the accurate Wb parameters and power potential of the Sujawal area located in the Sothern region of Pakistan. The considered wind data is a 10-minute interval 2-year data at four-mast heights (20, 40, 60, 80 m), obtained from the database of a Pakistan government project supervised by the World Bank Group. The significant contributions are listed as follows:
  • A convergent objective function is proposed based on the maximum distance metric for Weibull parameter estimation through AI optimization algorithms. The convergence of the proposed method is proved mathematically.
  • AI optimization approach based on the proposed objective function (as an alternate approach) is compared with the results from numerical methods.
  • The wind shear exponent, turbulence intensity, extreme wind speed values, and year of returns are computed for the proposed area.
  • Annually wind energy production is calculated for potential wind farms through selected commercially available wind turbine systems from different manufacturers.
It is worth mentioning here that this kind of detailed study is hardly carried out for this area. It is also hoped that the outcomes of this work can be substantial and contribute useful information regarding wind power harnessing to potential investors and academic researchers as well.

2. Site Description and Wind Data Measurement

The proposed site is located near Sujawal city in the south-east coastal area of Pakistan and about 160 km from provincial capital (Sindh) Karachi. The geographical location of the site is latitude 24.515563° N, longitude 68.18865° E, and an elevation of 17 m. It is an open area site and easily accessible for all kinds of vehicles. The land profile of the site is mostly flat with no obstacle in the radius of 300 m from the Met-mast. The surface roughness length was found to be 0.054 m for the open field with low buildings and trees. A vertical triangular lattice tower, usually named metrological mast (Met-mast), was designed and installed at the proposed location according to the up-to-date version of the IEC Standard 61400-12-1 [30]. The data is calculated for two years (June 2017–May 2018) at 10 min average of time. The geographical map of Sujawal city is shown in Figure 1.

3. Data Analysis Method

The wind data analysis method is shown in Figure 2. After the collection of wind data, it is analyzed through two approaches. The first approach is through the data descriptors from the real data. This includes the wind mean, kurtosis, skewness, standard deviation, and coefficient of variance. The second approach is the Weibull model for the given wind data. The Weibull parameter estimation is performed through two approaches. Four numerical methods and three AI optimization methods based on the maximum-distance metric are used and compared to determine the better approach for Weibull parameter estimation, and the mentioned aspects are discussed below.

3.1. Weibull Distribution Function and Estimation Methods

The Weibull probability density function f ( v ) and Weibull cumulative distribution function F ( v ) are expressed as follows [11,12,13,14,15,16]:
f ( v ) = k c ( v c ) k 1 e x p ( ( v c ) k ) ,
F ( v ) = 1 e x p ( ( v c ) k ) .
Weibull (Wb) parameters have been computed through several numerical methods. This study compares four of the most commonly used methods with artificial intelligence optimization algorithms. The four methods selected here are given as follows:
i.
Empirical method of Justus (EMJ) [16,31],
ii.
Energy pattern factor method (EPFM) [16,31],
iii.
Moment of method (MoM) [31,32],
iv.
Modified maximum likelihood method (MMLM) [16].

3.2. Artificial Optimization Algorithm for Weibull Parameters Estimation

Based on natural mechanisms, artificial intelligence optimization algorithms can be used to search the optimal parameter values. These algorithms have vast applications in many fields. The basic structure of these algorithms is defined as follows.
  • Initialize the search agents and their positions.
  • Evaluate the quality of the current position through the objective function.
  • If acceptable, terminate. Otherwise, search new position and go to the previous step.
In order for an optimization algorithm to converge, the most important criteria is the convergence of the objective function for the given data. Therefore, the selection of these objective functions can influence the final outcome. The objective functions are based on the error formulas. Some of the conventional errors that have been used in wind data analysis are the mean bias error, root mean square error and many more.
Theorem: 
Let R m be the set of length m vectors with real components. Assume that d is a conventional mean-based metric on R m × R m , defined as
d ( x , y ) = [ 1 m l = 1 m d * ( x l , y l ) ] b ,
where d * represents a metric on R × R and b R . Then if d ( x , y ) = M , and   l { 1 , 2 , 3 , , m } , such that | x l y l | M , then   i { 1 , 2 , 3 , , m } such that | x i y i | > M .
Explanation: 
Assume that b = 1 and d * ( x i , y i ) = ( x i y i ) 2 , then the metric d becomes mean bias error. Similarly, if b = 1 / 2 and d * ( x i , y i ) = ( x i y i ) 2 , then d becomes the root mean square error. This is the definition of mean-based errors that are conventionally used with artificial intelligence optimization techniques. However, it has been observed that these objective functions are divergent in many cases of Weibull parameter estimation. The above theorem states the property that makes these objective functions divergent.
Proof: 
Let x , y R m such that d ( x , y ) = M , and assume that   l { 1 , 2 , , m } such that | x l y l | M .
Now let | x l y l | M ,   l { 1 , 2 , , m } , but since   l { 1 , 2 , , m } such that d ( x , y ) M , therefore, equality is contradicted, and
d ( x , y ) < M .
Therefore, our assumption that | x l y l | M ,   l { 1 , 2 , , m } is false, so   i { 1 , 2 , , m } such that | x i y i | > M .  □
Explanation: 
Now define a metric as follows:
Definition: 
Let R m be the set of length m vectors with real components. Assume that d is a metric on R m × R m , based on 1-D maximum distance, defined as
d ( x , y ) = maximum l | x l y l | .
Lemma: 
If d ( x , y ) = M then the metric d satisfies the following properties:
  • For any l { 1 , 2 , , m } , | x l y l | M .
  • | x ¯ y ¯ | M .
The properties defined above allow d to always converge for Weibull parameter estimation.

3.2.1. Particle Swarm Optimization (PSO) Algorithm

Eberhart and Kennedy [33] proposed the idea of an artificial intelligence optimization algorithm based on the behavior of particle swarms. In the PSO algorithm, each particle is considered to be a part of multidimensional space, adjusting its position for the optimum results in the swarm on each iteration. The position of the swarm is also considered in the process. It optimizes itself due to the continuous motion of the particles. Therefore, the whole swarm moves towards the optimum solution and ultimately finishes the search with the best value. Assume that for each particle j , the best position is ( x 0 b e s t , y 0 b e s t ) . This position is termed as the local best. Then the best result termed as global best position among the all particles is recorded ( x g b e s t , y g b e s t ) . The movement of each particle depends on the particle’s initial position and the weighted average of the particle’s best position and swarm’s best position. It can be mathematically defined as [33]
x j i + 1 = x j i + v x , j i ,
y j i + 1 = y j i + v y , j i .
Here,
v x , j i + 1 = ώ i v x , j i + a 1 µ 1 ( x o b e s t x j i ) + a 2 µ 2 ( x g b e s t x j i ) ,
v y , j i + 1 = ώ i v y , j i + a 1 λ 1 ( y o b e s t y j i ) + a 2 λ 2 ( x g b e s t y j i ) .
where, ώ stands for particle inertia weight, a 1 and a 2 refer to acceleration coefficients, µ 1 µ 2 , λ 1 , and λ 2 are positive random constants within the range of (0,1), and ώ is expressed as
ώ i = ώ i n i t i a l + ( ώ f i n a l ώ i n i t i a l ) ( 1 n ¨ ) .
Here, n ¨ represents the maximum number of iterations.
Further, the PSO algorithm can be summarized as follows:
  • Initialization of particle space and positive random constants.
  • Evaluate and calculate the objective function for each particle.
  • Evaluate the best position (by updating local best) of each particle and global best within all of the particles.
  • Update the particles according to the initial step.
  • Termination criterion: stop if the output is the global best, otherwise, repeat the iteration process and return to the objective function calculation step for the best output.

3.2.2. Cuckoo Search optimization (CSO) Algorithm

Many fruit flies and bird species have Lévy flight behavior. It was combined with cuckoo species’ brood parasitic behavior to form an artificial intelligence optimization algorithm. Cuckoo has a mechanism of searching the optimum nest for the hatching of eggs. The bird considers an initial set of nests for the possible solution. These nests are updated based on Lévy distribution. In this context, the Mantegna′s algorithm [34] is utilized with the Lévy flight of Cuckoo to find the optimal solutions. Mathematically, the new position is stated as
x i z + 1 = x i z + ϵ o Θ û ( v ~ ) 1 ά ( x i z x b e s t z ) .
where, ϵ o , is a constant, usually 0.01. û and v ~ are obtained through normal distribution, x i z + 1 is the new solution generated from x i z . ά is the scale factor with a value of 1.5, and Θ is calculated according to the following equation:
Θ = [ Γ ( 1 + ά ) sin ( π ά 2 ) Γ ( 1 + ά 2 ) ά 2 ά 1 2 ] .
The Cuckoo discards the weak solutions and keeps better solutions for the next iteration, which is achieved through the probability of detection, represented as P r o . The new solution is obtained from the following expression [35,36]:
x i z + 1 = x i z + r o ( x i , b z x i , c z ) .
In Equation (13), r o stands for a uniformly distributed random number of intervals (0, 1), whereas x i , b z and x i , c z represent two random solutions for the i t h generation.
Cuckoo Search Optimization algorithm can be summarized in the following steps:
  • Parameters initialization: generate the initial population of nests (q) and assume the objective function (Fq).
  • Compare each nest and record the best solution, including its objective function.
  • Generate new solution (i) by the Levy flight and calculate the new objective function (Fi)
  • If F i < F q then exchange “q” for the new solution generated by “i”, otherwise keep the solution “q”, while the nest fraction smaller than “Pro” is abandoned, and new nets are generated.
  • If the required iteration is reached with an optimal solution, continue to the next step; otherwise, go to the objective function (Fi) calculation step.
  • Finally, the output is the best solution or best nest.

3.2.3. Grey Wolf Optimization (GWO) Algorithm

Another similar artificial intelligence optimization algorithm is the Grey Wolf optimization algorithm. This algorithm was developed in 2014 and has been used in various applications ever since [37]. Based on the leadership hierarchy of gray wolves, this method initializes a set of wolves and their positions. It follows the gray wolf leadership hierarchy and selects the leaders based on the objective function. If the current location is not acceptable, the distance vector is computed. The new position is determined based on the distance-vector, and the process is repeated. The distance vector is determined as follows:
d ^ = | a ^ P ^ p ( t ) W ^ ( i r ) |
Here, P ^ p and W ^ represent the pray position and wolf position, respectively, i r denotes iteration number, whereas a ^ and b ^ are the vectors of coefficients that are computed as
a ^ = 2 γ ^ 1
b ^ = 2 o ^ γ ^ 1 o ^
Here o ^ shows a linear dropping from 2 to 0 throughout the iterations and γ ^ 1 , γ ^ 2 ϵ [ 0 , 1 ] . The new position is determined based on the following formula:
W ^ ( i r + 1 ) = w ^ p ( t ) b ^ d ^ .
GWO is based on the following steps:
  • Parameters initialization: generate the initial population of search agents, leaders, iteration count, and search domain.
  • Compare the agents’ fitness based on the objective function.
  • If the location is acceptable, then terminate. If not, find a new distance through Equation (14) and find new leaders through Equation (17).
  • Repeat from the second step.
  • Finally, the output is the best location.

3.3. Wind Shear and Wind Indicators

Wind shear is a variation of the speed of wind with altitudes, and due to the air viscosity and drag friction of surface (land or sea), the air flows faster at higher altitudes. Usually, daytime variations follow the one-seventh rule of thumb (1/7 power law), which predicts a proportional increase in wind speed to the 7th root of altitude. The power-law model is generally used to characterize the effect of roughness of the earth’s surface on wind speed, which is expressed as [38,39]
V V o = ( H H o ) α ,
where V and V o represent the wind velocities at the respective heights H and H o , respectively, and α is the friction coefficient, called wind shear exponent, which is given as [38,40]
α = l n ( V ) l n ( V o ) l n ( H ) l n ( H o ) .
The critical indicators for wind data are the power density (PD), which depicts the power generated by numerous wind speeds at a specific location. Both real wind data collected from an area and the Wb function could be utilized to calculate wind PD and energy density (ED). The formulations are provided as [11,20]
P D = 1 2 ρ A v a v g 3 ,
W b   P D = 0 1 2 ρ v 3 f ( v ) d v = 1 2 ρ c 3 Γ ( 1 + 3 k ) ,
E D = 1 2 ρ c 3 Γ ( 1 + 3 k ) T .
Further relevant numerical descriptors for wind data are the speed average v a v g , speed variance σ 2 , speed standard deviation σ , maximum energy-carrying wind speed (VmaxE), and the most probable wind speed (Vmp) are defined in [16,19,41,42].

3.4. Fitness Test Analysis

Many statistical methods have been used to compute the errors and then be analyzed to find the better fit technique for these calculations. The performance test analysis methods are considered in this study are root mean square error (RMSE), the coefficient of determination (R2), and mean bias error (MBE) and expressed as [16,28,42]
R M S E = 1 n i = 1 n ( y i x i ) 2 ,
R 2 = i = 1 n ( y i m ) 2 i = 1 n ( x i m ) 2 i = 1 n ( y i m ) 2 ,
M B E = 1 n i = 1 n ( y i x i ) .
where m , y i , x i and n , respectively, show average wind, actual i th wind, predicted i th wind, and the observation count of wind speeds. The average accuracy percentage a c c u r a c y p e r c e n t a g e a v g is computed as follows:
a c c u r a c y p e r c e n t a g e a v g = ( 2 + R a v g 2 R M S E a v g M B E a v g ) . 100 .
Here, R a v g 2 is the average coefficient of determination, R M S E a v g is the average root mean square and M B E a v g is the mean bias errors over the four heights.

4. Results and Discussion

Data for this work comprises real-time wind data for a period of two years with the measurement of ten minutes intervals at different heights. Wind shear exponent is measured using the power-law model to analyze the vertical deviation of wind speed. The Weibull distribution is employed to appraise the wind power potential and wind characteristics of the given site. Three optimization algorithms and four numerical methods are compared to elicit the optimal Weibull parameters. Furthermore, turbulence intensity, extreme wind speed, wind directions, and annual energy production are examined to give an optimal assessment of the respective area.

4.1. Wind Speed Characteristics Analysis

The statistical descriptors such as mean wind speed standard deviation (S.D), power density (PD), energy density (ED) skewness (Sk.), kurtosis (Kur.), and coefficient of variance (CV) defining the behavior of wind data are presented in Table 1. It is evident that the two-year mean wind speeds of the site are 5.3, 6.2, 6.9, and 7.4 m/s at mast heights 20, 40, 60, and 80 m, respectively.
The standard deviation value changes with an increase in the Met-mast height. However, this change is considerably small when compared to the change in mean wind speeds. So, it can be seen that skewness for both years is slightly negative at the height 80 m, but it stays positive for all other heights with a decreasing trend as Met-mast height increases. It is because of which increase in the mast height, the mean wind speed changes, which indicates a more stable wind at higher mast heights. The kurtosis of the wind also follows a similar trend where it decreases as the height is increased.
Figure 3 depicts monthly mean wind speed (MWS) variations at different heights for the years 2016–2017 and 2017–2018. It can be analyzed from the monthly statistics; March to September is found to be the best wind speed period in both years at all mast heights. The months of May and June show the highest mean wind speeds, while the lowest mean wind speed occurred in the months of January and February for the two years at four-mast heights. It was observed that mean wind speed for the mast height above 60 m in all months was above 5 m/s.

4.2. Wind Shear and Turbulence Intensity Analysis

Figure 4a–c shows the wind shear profile, monthly mean wind shear, and diurnal shear exponent (α) of the investigated site. The exponent “α” of power-law was evaluated for the atmospheric boundary layer, which is calculated by using 10 min measured mean wind speed data at heights of 40, 60, and 80 m. The mean value of “α” was 0.228 at the selected site. The monthly highest values of “α” were in January (0.307) and February (0.319), while the lowest was in June (0.140) and July (0.144). It is apparent in Figure 3c that the wind shear exponent reaches its minimum value during the day time due to the higher temperature. The shear exponent starts increasing at 1400 hrs as the temperature starts decreasing and reaches its maximum value in the midnight.
Figure 5 exhibits the turbulence intensity (T.I) at different heights. T.I is calculated using 10 min time interval measured wind speed and standard deviation data of the candidate site. It was observed that T.I reduces as the height increases. The variation in T.I level at 80 and 60 m heights was found to be less as compared to T.I variation at 40 and 20 m because the wind speed at higher heights becomes smoother and steadier. The International Electro-Technical Commission (IEC) designed standards IEC 61400-1 for wind turbines, and it states that the allowable T.I level is 18% for 15 m/s wind speed [43,44]. The variation in T.I level at the selected site was found in the allowable range of IEC, as exhibited in Figure 5. Moreover, the surface roughness length at the site was found 0.054 m for the open field [30,45]; thus, the site has an acceptable range of wind shear and T.I level.

4.3. Extreme Wind Speed and Direction Analysis

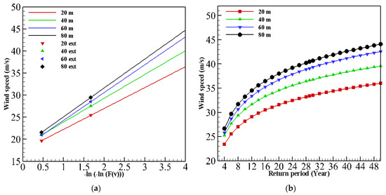
Wind turbine optimization is essential for the maximum output of a wind system. In this context, the analysis of extreme wind speed values and wind direction is essential. Figure 6 represents the annually extreme wind speed and the return period of extreme wind speed values at different heights. Gumbel distribution function is applied to compute the value of extreme wind speed (EWS) [46,47,48]; annually extreme values for Gumbel curve fit are obtained using 2-maxima wind speed values in the individual year at relevant height. The 2-maxima extreme values are ranged from approximately 20 to 30 m/s at four heights. Fifty-year extreme values are obtained using time series data for each time period. At the height of 60 and 80 m, there is an approximately 15.5 m/s difference between the highest and lowest gust wind speed values for a 50-year return period.
Figure 7 shows the wind rose diagrams for years 2016–2017 and 2017–2018. The Windographer software was used to obtain the wind rose diagrams for directional analysis of the available wind. In the figures, 0 degree represents north, and the whole is divided into 24 equal sectors. In the year 2016–2017, around 60% of wind exist in the sectors between 240 and 270 degrees clockwise, whereas 15 percent of the wind lies in the sectors between 30 and 45 degrees clockwise.
In the following year, 2017–2018, there is no significant change in the direction of the wind; around 55 percent wind lies in between 240 and 270 degrees, and almost 17 percent lies between 30 and 45 degrees clockwise. The maximum percentage of the wind lies in the south-west direction, which is ideal for wind turbines (WTs). Therefore, WTs are able to capture the maximum optimum power from the wind and work effectively, instead of changing the direction frequently.

4.4. Weibull Parameters Test Analysis

Table 2 illustrated the Wb parameters “k” and “c” at different heights for both years (2016–2018) calculated using the seven methods. It is apparent from the table that the “k” ranged from 2.37 to 3.24, whereas the “c” ranged from 5.79 to 8.34 for the heights of 20 to 80 m. The shape parameter value increase with the increase in height, which indicates steady wind at the candidate site. The scale parameter for the two years was 7.1 m/s, which is almost the same as that for the two years independently. Fitness tests are used to compute the accuracy of the used methods. These tests also help us to compare different methods with each other. In this context, MBE, R2, and RMSE errors are applied to the Weibull distribution curves and real data. Table A1 (see Appendix A) illustrates the fitness test results for different approaches. It shall be noted that all the used methods show acceptable fitness, suggesting the good fit of wind data with Weibull distribution. The accuracy percentage is also illustrated in Table A1. It shall be noted that although all the used methods show an acceptable accuracy, the accuracy percentage of all the AI methods is over 99%.
The good fit of these methods can also be seen in Figure 8a–d, where the probability density function and cumulative distribution for Weibull are presented at all mast heights for the year 2017–18. Moreover, the cumulative frequency for wind speeds more than 4 m/s was found to be 71%, 79%, 82%, and 85% at 20, 40, 60, and 80 m mast heights, respectively. It also exhibited that the probability for wind speed higher than 20 m/s is zero. The PDFs and CDFs for the year 2017–2018 at considered heights are depicted in Figure A1a–d.
It is challenging to analyze the fitness of distribution with multiple error functions. Therefore, a new fitness criterion is proposed based on the three error formulas. It is defined as
N e t   f i t n e s s = i n | M B E i | + i n R M S E i + i n ( 1 R i 2 ) 3 n .
where n is the total number of error entries. Figure 9 presents the comparison of net fitness of the methods used for the estimation of Weibull parameters. It is apparent that all methods at all mast heights show acceptable performance. The error for AI algorithms ranges between 0.004276 and 0.005583, while that of the numerical methods ranges between 0.056606 to 0.067614. Figure 10 compares the convergence for all AI methods at the height of 80 m with 100 iterations. In both years, the grey wolf algorithm converges the fastest. However, all the methods perform similarly for the higher number of iterations.

4.5. Wind Energy Density and Specific Wind Characteristics

For the year 2016–2017, Weibull MWS, specific wind speeds, power density, and energy density at four heights are summarized in Table 3. The average wind speed ranged from 5.3 to 7.42 m/s, while Vmp and VmaxE are found between 4.7 to 7.2 m/s and 7.7 to 10.1 m/s, respectively. The annual Weibull PD and ED ranged between 147 to 351 W/m2 and 1993 to 3079 kWh/m2, respectively. The annual Weibull wind PD and ED, mean wind speed, and specific wind speeds for the year 2017–2018 are given in Table A2.
According to wind power classes (WPC), regions that fall in WPC-III or above are suitable for most wind power conversion systems [19,49]. Results of measured wind speed and power density revealed that the Sujawal area stands in WPC-III and is suitable to harness the wind power.

4.6. Energy Production and Cost analysis

Total energy production and capacity factor are fundamental aspects of a wind power project. Furthermore, the capacity factor (CF) can be used to characterize the annual energy production (AEP) of the WTs. From [50], the random nature of wind usually affects the value of CF, which in result affects the efficiency and serviceability of the WTs. In practice, CF generally varies from 20% to 70%. The technical specifications of selected WTs are illustrated in Table 4.
The energy produced is calculated using the WTs power curves data and the number of hours when the possibility of wind speed stayed in different bins at the turbine hub height; energy production, CF, and cost analysis are defined in [19,42,51]. The wind speed for different hub heights of the WTs is calculated using the power-law extrapolation model. The capacity factor (CF) and annual energy production (AEP) and of WTs with different power ratings ranged from 0.33 to 2.75 MW are estimated, respectively, and shown in Table 5. The calculations are made by assuming constant losses of 16.005%, i.e., turbine performance losses, wake effect losses, availability losses, and electrical losses.
The maximum AEP of 10905.966 MWh is gained by Gamesa G114-2.5 wind turbines followed by GE 2.75-103 (9563.679 MWh) and Windtec DF 2000-WT55 (8858.846 MWh). Whereas the minimum AEP of 718.831 MWh is generated by Enercon E-33/330, followed by EWT DW54-500 (1425.002 MWh). The CF is ranged between 0.20 to 0.51 for the selected WTs at their corresponding hub heights. The maximum CF is 0.51 for Gamesa G114-2.5, while minimum CF is 0.20 for Nordex N60/1300 wind turbine.
The estimated cost of energy per unit for WTs is given in Table 5. The cost of energy per unit is calculated by taking the assumptions (for instance, initial investment cost, operation and maintenance cost, real interest rate, life span, and cost of wind turbines) from the literature [19,42,51,52,53]. The lowest cost of energy (COE) per unit is 21.31 US Dollar $/MWh for Windtec DF 2000 followed by Gamesa G114-2.5 and GE 1.7- 100 with COE/unit 21.63 $/MWh and 22.72 $/MWh, respectively, while the highest COE is 54.47 $/MWh for Nordex N60/1300 followed by Enercon E-48/800 and Enercon E-33/330 with COE/unit 47.75 $/MWh and 43.32 $/MWh, respectively. Moreover, the cost of energy per unit ranges from 21.31 to 54.47 $/MWh. The capacity factor and cost/unit of all WTs are found in the appropriate range at the proposed site. Moreover, the capacity factor and cost/unit of selected WTs show that the Gamesa G114-2.5, Windtec DF 2000-WT55, and GE 1.7-100 wind turbines with the highest CF and lowest cost/unit are the most suitable for the selected site. Therefore, the WT models with corresponding specifications and power curves can be suitable for power production in the proposed area.

5. Conclusions

The Weibull distribution is considered as the most capable model for wind resource assessment in any region worldwide. Nevertheless, the precise estimation of its parameters remains a challenge for wind community researchers and developers. In this paper, a new criterion is introduced to estimate the Weibull parameters, which is based on the maximum distance metric. The proposed convergence objection function results are verified through mathematical expression. Furthermore, three artificial intelligence (AI) optimization algorithms are compared with four numerical methods using 2-year wind data (acquired from the Sujawal site). The goodness-fit tests show that the optimization algorithms have adequate accuracy for Weibull model parameter estimation in comparison to numerical methods.
The net fitness results for AI algorithms are ranged between 0.004276 and 0.005583, while that of the numerical methods ranged between 0.056606 to 0.067614. Furthermore, the average accuracy percentage of all the considered AI methods is over 99%. According to these findings, optimization algorithms present supremacy over numerical approaches. Also, the proposed convergent objective functions based on the maximum distance metric give a better approach for the optimization algorithms. The outcomes of the data analysis showed that the site has an energy density of about 3014.477 kWh/m2, and a power density of 344.118 W/m2 at the 80 m height.
The Windtec DF 2000-WT55 and Gamesa G114-2.5 wind turbines showed the highest annual energy production with good capacity factor and lowest cost of energy per unit, whereas, the capacity factor was found between 0.20 and 0.51 for the selected wind turbines. It is determined that the wind turbine models with corresponding specifications and power curves can be suitable for the investigated area. Besides, artificial intelligence optimization algorithms can be an alternative approach to the conventional numerical methods for Weibull model parameter estimation.

Author Contributions

Initial idea purpose, data collection, formal analysis, methodology, writing the original draft, M.G.; resources, supervision, N.T.; methodology, review & editing, validation W.H.; data collection, software, validation, M.H.N.; and M.Y. All authors have read and agreed to the published version of the manuscript.

Funding

This work was supported in part by the Scientific Research and Innovation project of Shanghai Education Commission [(Grant number: 2019-01-07-00-02-E00044)].

Acknowledgments

The authors would like to acknowledge the Alternative Energy Development Board, Government of Pakistan and World Bank Group for providing and accessing the technical data for this research.

Conflicts of Interest

The authors declare no conflict of interest.

Nomenclature

αWind shear exponent
kWeibull distribution shape parameter dimensionless
cWeibull distribution scale parameter (m/s)
vavgMeasure mean wind speed (m/s)
σStandard deviation of wind speed (m/s)
VmpMost probable wind speed (m/s)
VmaxEMaximum carrying energy wind speed (m/s)
f(v)Probability density function
F(v)Cumulative distribution function
$US dollar

Abbreviations

EMJEmpirical method of Justus
EPFMEnergy pattern factor method
MoMMoment of method
MMLMModified maximum likelihood method
AIArtifical intellgence
PSOParticle swarm optimization
CSOCuckoo search optimization
GWOGrey wolf optimization
IEC International Electrotechnical Commission
PDPower density
EDEnergy density
WPCWind power class
AEPAnnual energy production
CFCapacity factor

Appendix A

Table A1. Performance test results for Weibull fit.
Table A1. Performance test results for Weibull fit.
Height (m)TestMethod
MMLMEMJEPFMMoMGWOPSOCSO
20MBE−0.009970.01103−0.07597−0.065970.015103−0.00804−0.00144
R20.961290.845160.985230.915230.9910280.9934370.994537
RMSE0.031550.014210.020070.040040.0011530.0018420.000158
40MBE−0.05597−0.062970.00403−0.067970.019703−0.00364−0.00604
R20.961290.845160.985230.915230.9940280.9941370.994937
RMSE0.058450.008210.067930.053960.0052530.0047420.006642
60MBE−0.00897−0.07497−0.05097−0.020970.012703−0.00334−0.00204
R20.961290.845160.985230.915230.9903280.9912370.991137
RMSE0.047450.070210.026070.052960.0010630.0010420.000658
80MBE−0.05197−0.070970.00903−0.048970.018903−0.00454−0.00714
R20.953650.961290.845160.985230.9915230.9965370.991937
RMSE0.055090.079990.060780.069610.0008530.0006420.000658
Accuracy %95.984192.718995.934394.253999.101499.562799.5648

Appendix B

Figure A1. Weibull probability distributions at different heights for year 2017–18: (a) 20 m, (b) 40 m, (c) 60 m, (d) 80 m.
Figure A1. Weibull probability distributions at different heights for year 2017–18: (a) 20 m, (b) 40 m, (c) 60 m, (d) 80 m.
Sustainability 12 01999 g0a1

Appendix C

Table A2. Weibull mean wind speed, specific wind speeds, power and energy densities for year 2017-2018.
Table A2. Weibull mean wind speed, specific wind speeds, power and energy densities for year 2017-2018.
Height (m)MethodVavg (m/s)Vmp (m/s)VmaxE (m/s)PD (W/m2)ED (kWh/m2)
80EMJ7.28547.1349.661318.1872787.32
EPFM7.28547.0719.773324.1192839.28
MoM7.28547.1319.666318.4412789.54
MMLM7.27727.1479.611315.0812760.11
PSO7.11196.97989.4012351.6393080.36
CSO7.13276.98239.4621351.9053082.69
GWO7.09166.94149.4086353.4423096.15
60EMJ6.86.6669.003258.0752260.74
EPFM6.86.5969.13263.9222311.96
MoM6.86.6649.007258.2722262.47
MMLM6.79046.668.985256.7452249.09
PSO6.70646.68058.6739256.6862248.57
CSO6.75066.73648.7068256.12243.43
GWO6.7016.66768.6821258.7982267.07
40EMJ6.11225.9348.196191.2851675.65
EPFM6.11225.8588.328196.2591719.23
MoM6.11225.9318.202191.4851677.4
MMLM6.10415.9028.229192.1671683.38
PSO6.0265.82698.1226191.9081681.11
CSO6.00885.80858.1025192.7621688.59
GWO6.00345.80268.0963192.0891682.7
20EMJ5.21134.8587.322127.931120.67
EPFM5.21134.7897.429131.0321147.84
MoM5.21134.8527.332128.2111123.13
MMLM5.21484.8347.37129.4181133.7
PSO5.15664.90757.084130.0651139.37
CSO5.19064.9337.142131.0071147.62
GWO5.14824.87887.1064131.5741152.59

References

  1. Sustainable Development Goal 7: (SDG-7). Available online: https://www.iea.org/sdg.1 (accessed on 2 December 2019).
  2. WWEA Library. Available online: https://library.wwindea.org/ (accessed on 2 December 2019).
  3. Wais, P. Two and three-parameter Weibull distribution in available wind power analysis. Renew. Energy 2017, 103, 15–29. [Google Scholar] [CrossRef]
  4. Celik, A. Weibull representative compressed wind speed data for energy and performance calculations of wind energy systems. Energy Convers. Manag. 2003, 44, 3057–3072. [Google Scholar] [CrossRef]
  5. Baseer, M.A.; Meyer, J.P.; Rehman, S.; Alam, M.M. Wind power characteristics of seven data collection sites in Jubail, Saudi Arabia using Weibull parameters. Renew. Energy 2017, 102, 35–49. [Google Scholar]
  6. Petković, D.; Shamshirband, S.; Anuar, N.B.; Saboohi, H.; Wahab, A.W.A.; Protić, M.; Zalnezhad, E.; Mirhashemi, S.M.A. An appraisal of wind speed distribution prediction by soft computing methodologies: A comparative study. Energy Convers. Manag. 2014, 84, 133–139. [Google Scholar] [CrossRef]
  7. Ordóñez, G.; Osma, G.; Vergara, P.; Rey, J. Wind and Solar Energy Potential Assessment for Development of Renewables Energies Applications in Bucaramanga, Colombia; IOP Publishing: Bristol, UK, 2014. [Google Scholar]
  8. Teimouri, M.; Hoseini, S.M.; Nadarajah, S. Comparison of estimation methods for the Weibull distribution. Statistics 2013, 47, 93–109. [Google Scholar] [CrossRef]
  9. Luna, R.; Church, H. Estimation of long-term concentrations using a “universal” wind speed distribution. J. Appl. Meteorol. 1974, 13, 910–916. [Google Scholar] [CrossRef]
  10. Carta, J.A.; Ramirez, P.; Velazquez, S. A review of wind speed probability distributions used in wind energy analysis: Case studies in the Canary Islands. Renew. Sustain. Energy Rev. 2009, 13, 933–955. [Google Scholar] [CrossRef]
  11. Allouhi, A.; Zamzoum, O.; Islam, M.R.; Saidur, R.; Kousksou, T.; Jamil, A.; Derouich, A. Evaluation of wind energy potential in Morocco’s coastal regions. Renew. Sustain. Energy Rev. 2017, 72, 311–324. [Google Scholar] [CrossRef]
  12. Jiang, H.; Wang, J.; Wu, J.; Geng, W. Comparison of numerical methods and metaheuristic optimization algorithms for estimating parameters for wind energy potential assessment in low wind regions. Renew. Sustain. Energy Rev. 2017, 69, 1199–1217. [Google Scholar] [CrossRef]
  13. Oner, Y.; Ozcira, S.; Bekiroglu, N.; Senol, I. A comparative analysis of wind power density prediction methods for Çanakkale, Intepe region, Turkey. Renew. Sustain. Energy Rev. 2013, 23, 491–502. [Google Scholar] [CrossRef]
  14. Mostafaeipour, A.; Jadidi, M.; Mohammadi, K.; Sedaghat, A. An analysis of wind energy potential and economic evaluation in Zahedan, Iran. Renew. Sustain. Energy Rev. 2014, 30, 641–650. [Google Scholar] [CrossRef]
  15. Akdağ, S.A.; Dinler, A. A new method to estimate Weibull parameters for wind energy applications. Energy Convers. Manag. 2009, 50, 1761–1766. [Google Scholar] [CrossRef]
  16. Mohammadi, K.; Alavi, O.; Mostafaeipour, A.; Goudarzi, N.; Jalilvand, M. Assessing different parameters estimation methods of Weibull distribution to compute wind power density. Energy Convers. Manag. 2016, 108, 322–335. [Google Scholar] [CrossRef]
  17. Seguro, J.; Lambert, T. Modern estimation of the parameters of the Weibull wind speed distribution for wind energy analysis. J. Wind Eng. Ind. Aerodyn. 2000, 85, 75–84. [Google Scholar] [CrossRef]
  18. Usta, I. An innovative estimation method regarding Weibull parameters for wind energy applications. Energy 2016, 106, 301–314. [Google Scholar] [CrossRef]
  19. Fazelpour, F.; Markarian, E.; Soltani, N. Wind energy potential and economic assessment of four locations in Sistan and Balouchestan province in Iran. Renew. Energy 2017, 109, 646–667. [Google Scholar] [CrossRef]
  20. Saleh, H.; Abou El-Azm Aly, A.; Abdel-Hady, S. Assessment of different methods used to estimate Weibull distribution parameters for wind speed in Zafarana wind farm, Suez Gulf, Egypt. Energy 2012, 44, 710–719. [Google Scholar] [CrossRef]
  21. Wang, G.; Giannakis, G.B.; Chen, J. Robust and Scalable Power System State Estimation via Composite Optimization. IEEE Trans. Smart Grid 2019, 10, 6137–6147. [Google Scholar] [CrossRef]
  22. Wu, D.; Han, Z.; Liu, Z.; Zhang, H. Study on configuration optimization and economic feasibility analysis for combined cooling, heating and power system. Energy Convers. Manag. 2019, 190, 91–104. [Google Scholar] [CrossRef]
  23. Grgic, I.; Basic, M.; Vukadinovic, D. Optimization of electricity production in a grid-tied solar power system with a three-phase quasi-Z-source inverter. J. Clean. Prod. 2019, 221, 656–666. [Google Scholar] [CrossRef]
  24. Howland, M.; Lele, S.K.; Dabiri, J.O. Wind farm power optimization through wake steering. Proc. Natl. Acad. Sci. USA 2019, 116, 14495–14500. [Google Scholar] [CrossRef] [PubMed]
  25. Jiang, P.; Yang, H.; Heng, J. A hybrid forecasting system based on fuzzy time series and multi-objective optimization for wind speed forecasting. Appl. Energy 2019, 235, 786–801. [Google Scholar] [CrossRef]
  26. Wu, B.; Maleki, A.; Pourfayaz, F.; Rosen, M.A. Optimal design of stand-alone reverse osmosis desalination driven by a photovoltaic and diesel generator hybrid system. Sol. Energy 2018, 163, 91–103. [Google Scholar] [CrossRef]
  27. Verma, A.S.; Jiang, Z.; Ren, Z.; Gao, Z.; Vedvik, N.P. Response-Based Assessment of Operational Limits for Mating Blades on Monopile-Type Offshore Wind Turbines. Energies 2019, 12, 1867. [Google Scholar] [CrossRef]
  28. Verma, A.S.; Gao, Z.; Jiang, Z.; Ren, Z.; Vedvik, N.P. Structural Safety Assessment of Marine Operations from a Long-Term Perspective: A Case Study of Offshore Wind Turbine Blade Installation. In Proceedings of the ASME 2019 38th International Conference on Ocean, Offshore and Arctic Engineering, American Society of Mechanical Engineers Digital Collection, Glasgow, UK, 9–14 June 2019. [Google Scholar]
  29. Li, L.; Gao, Z.; Moan, T. Joint environmental data at five european offshore sites for design of combined wind and wave energy devices. In Proceedings of the ASME 2013 32nd International Conference on Ocean, Offshore and Arctic Engineering, American Society of Mechanical Engineers Digital Collection, Nantes, France, 9–14 June 2013. [Google Scholar]
  30. Wind Energy Generation Systems, IEC 61400-12-1:2017. Available online: www.webstore.iec.ch/publication/26603 (accessed on 15 February 2020).
  31. Rocha, P.A.C.; de Sousa, R.C.; de Andrade, C.F.; da Silva, M.E.V. Comparison of seven numerical methods for determining Weibull parameters for wind energy generation in the northeast region of Brazil. Appl. Energy 2012, 89, 395–400. [Google Scholar] [CrossRef]
  32. Shoaib, M.; Siddiqui, I.; Amir, Y.M.; Rehman, S.U. Evaluation of wind power potential in Baburband (Pakistan) using Weibull distribution function. Renew. Sustain. Energy Rev. 2017, 70, 1343–1351. [Google Scholar] [CrossRef]
  33. Eberhart, R.; Kennedy, J. A new optimizer using particle swarm theory. In Proceedings of the MHS’95. Proceedings of the Sixth International Symposium on Micro Machine and Human Science, Nagoya, Japan, 4–6 October 1995. [Google Scholar]
  34. Yang, X.S. Nature-Inspired: Metaheuristic Algorithms, 2nd ed.; Luniver Press: Beckington, UK, 2010. [Google Scholar]
  35. Jiang, P.; Wang, Y.; Wang, J. Short-term wind speed forecasting using a hybrid model. Energy 2017, 119, 561–577. [Google Scholar] [CrossRef]
  36. Sanajaoba, S.; Fernandez, E. Maiden application of Cuckoo Search algorithm for optimal sizing of a remote hybrid renewable energy System. Renew. Energy 2016, 96, 1–10. [Google Scholar] [CrossRef]
  37. Mirjalili, S.; Mirjalili, S.M.; Lewis, A. Grey Wolf Optimizer. Adv. Eng. Softw. 2014, 69, 46–61. [Google Scholar] [CrossRef]
  38. Villena-Ruiz, R.; Ramirez, F.J.; Honrubia-Escribano, A.; Gomez-Lazaro, E. A techno-economic analysis of a real wind farm repowering experience: The Malpica case. Energy Convers. Manag. 2018, 172, 182–199. [Google Scholar] [CrossRef]
  39. Arslan, T.; Bulut, Y.M.; Yavuz, A.A. Comparative study of numerical methods for determining Weibull parameters for wind energy potential. Renew. Sustain. Energy Rev. 2014, 40, 820–825. [Google Scholar] [CrossRef]
  40. Alayat, M.; Kassem, Y.; Çamur, H. Assessment of Wind Energy Potential as a Power Generation Source: A Case Study of Eight Selected Locations in Northern Cyprus. Energies 2018, 11, 2697. [Google Scholar] [CrossRef]
  41. Adaramola, M.; Paul, S.; Oyedepo, S. Assessment of electricity generation and energy cost of wind energy conversion systems in north-central Nigeria. Energy Convers. Manag. 2011, 52, 3363–3368. [Google Scholar] [CrossRef]
  42. Gul, M.; Tai, N.; Huang, W.; Nadeem, M.H.; Yu, M. Assessment of Wind Power Potential and Economic Analysis at Hyderabad in Pakistan: Powering to Local Communities Using Wind Power. Sustainability 2019, 11, 1391. [Google Scholar] [CrossRef]
  43. Aukitino, T.; Khan, M.; Ahmed, M.R. Wind energy resource assessment for Kiribati with a comparison of different methods of determining Weibull parameters. Energy Convers. Manag. 2017, 151, 641–660. [Google Scholar] [CrossRef]
  44. IEC 61400-1Wind Turbines-Part 1: Design Requirements. Available online: www.iec.ch (accessed on 21 December 2019).
  45. AEDB, Resource Potential. Available online: www.aedb.org/ae-technologies/wind-power/wind-re (accessed on 15 February 2020).
  46. Lee, B.H.; Ahn, D.J.; Kim, H.G.; Ha, Y.C. An estimation of the extreme wind speed using the Korea wind map. Renew. Energy 2012, 42, 4–10. [Google Scholar] [CrossRef]
  47. Kim, S.; Shin, H.; Joo, K.; Heo, J.H. Development of plotting position for the general extreme value distribution. J. Hydrol. 2012, 475, 259–269. [Google Scholar] [CrossRef]
  48. Kang, D.; Ko, K.; Huh, J. Determination of extreme wind values using the Gumbel distribution. Energy 2015, 86, 51–58. [Google Scholar] [CrossRef]
  49. NRC. Wind Power Class. Available online: www.nrc.gov/docs/ML0720/ML072040340.pdf (accessed on 23 December 2019).
  50. Soulouknga, M.; Doka, S.; Revanna, N.; Djongyang, N.; Kofane, T. Analysis of wind speed data and wind energy potential in Faya-Largeau, Chad, using Weibull distribution. Renew. Energy 2018, 121, 1–8. [Google Scholar] [CrossRef]
  51. Albani, A.; Ibrahim, M. Wind energy potential and power law indexes assessment for selected near-coastal sites in Malaysia. Energies 2017, 10, 307. [Google Scholar] [CrossRef]
  52. Islam, M.R.; Saidur, R.; Rahim, N.A. Assessment of wind energy potentiality at Kudat and Labuan, Malaysia using Weibull distribution function. Energy 2011, 36, 985–992. [Google Scholar] [CrossRef]
  53. Akdag, S.A.; Bagiorgas, H.S.; Mihalakakou, G. Use of two-component Weibull mixtures in the analysis of wind speed in the Eastern Mediterranean. Appl. Energy 2010, 87, 2566–2573. [Google Scholar] [CrossRef]
Figure 1. Geographical map of Sujawal city.
Figure 1. Geographical map of Sujawal city.
Sustainability 12 01999 g001
Figure 2. Schematic diagram for wind data evaluation.
Figure 2. Schematic diagram for wind data evaluation.
Sustainability 12 01999 g002
Figure 3. Monthly mean wind speed (MWS) variations at all Met-mas heights: (a) 2016–2017, (b) 2017–2018.
Figure 3. Monthly mean wind speed (MWS) variations at all Met-mas heights: (a) 2016–2017, (b) 2017–2018.
Sustainability 12 01999 g003
Figure 4. Wind shear exponent measurement “α”: (a) Shear profile, (b) monthly and annually mean shear exponent “α”, (c) hourly mean “α”.
Figure 4. Wind shear exponent measurement “α”: (a) Shear profile, (b) monthly and annually mean shear exponent “α”, (c) hourly mean “α”.
Sustainability 12 01999 g004
Figure 5. Turbulence intensity variation of site: (a) 20 m, (b) 40 m, (c) 60 m (d) 80 m.
Figure 5. Turbulence intensity variation of site: (a) 20 m, (b) 40 m, (c) 60 m (d) 80 m.
Sustainability 12 01999 g005
Figure 6. Extreme wind speed at different heights: (a) extreme wind speed (EWS) values, (b) EWS with the period of return.
Figure 6. Extreme wind speed at different heights: (a) extreme wind speed (EWS) values, (b) EWS with the period of return.
Sustainability 12 01999 g006
Figure 7. Windrose diagrams: (a) 2016–2017, (b) 2017–2018.
Figure 7. Windrose diagrams: (a) 2016–2017, (b) 2017–2018.
Sustainability 12 01999 g007
Figure 8. Weibull probability distributions at four heights (2016–17): (a) 20 m, (b) 40 m, (c) 60 m, (d) 80 m.
Figure 8. Weibull probability distributions at four heights (2016–17): (a) 20 m, (b) 40 m, (c) 60 m, (d) 80 m.
Sustainability 12 01999 g008
Figure 9. Net fitness results for all methods.
Figure 9. Net fitness results for all methods.
Sustainability 12 01999 g009
Figure 10. Convergence process for optimization algorithms: (a) 2016–2017, (b) 2017–2018.
Figure 10. Convergence process for optimization algorithms: (a) 2016–2017, (b) 2017–2018.
Sustainability 12 01999 g010
Table 1. Statistical descriptors of the measured wind speed data.
Table 1. Statistical descriptors of the measured wind speed data.
YearHeight (m)Vavg (m/s)S.D (m/s)PD (W/m2)ED (kWh/m2)Sk.Kur.CV %
June 2016–May 2017807.4272.81344.1183014.477−0.0082.86637.838
606.9762.662288.4492526.810.1513.06938.162
406.3312.52223.9241961.5740.4073.24539.805
205.3642.398150.2171315.8970.6313.18144.698
June 2017–May 2018807.2852.64315.2152761.285−0.1172.7136.244
606.82.454256.7852249.440.0062.93436.091
406.1122.281192.2471684.0850.3143.22637.315
205.2112.172130.2811141.2650.6473.22441.677
Overall807.3562.725329.6672887.881−0.0632.78837.041
606.8882.558272.6172388.1250.0793.00237.126
406.2222.4208.0861822.8290.3613.23638.56
205.2882.285140.2491228.5810.6393.20243.188
Table 2. Weibull paraments “k” and “c” at different heights for both years, 2016 to 2018.
Table 2. Weibull paraments “k” and “c” at different heights for both years, 2016 to 2018.
PeriodHeight (m)Methods
PSOCSOGWOEMJEPFMMoMMMLM
k values
2016–2017202.41982.45632.40782.39762.34612.3882.3777
2017–20182.7352.7242.7022.5872.5012.57882.5517
Overall2.622.6022.5982.48272.41522.47372.4558
2016–2017402.80192.81892.79792.71942.63792.71232.682
2017–20182.87582.87282.87182.9172.79432.91172.8745
Overall2.45832.46232.45632.80612.70612.79992.7637
2016–2017603.1613.1383.1172.84682.76652.84092.8298
2017–20183.24743.27643.22943.02462.90693.02043.0298
Overall3.19923.19323.16222.92752.83022.92232.9167
2016–2017803.05053.07953.03252.87322.80682.86752.8763
2017–20183.03853.00753.00653.01072.9143.00643.0463
Overall3.07073.04473.02872.93722.85672.93212.9527
c (m/s) values
2016–2017206.5166.5046.56.05126.05336.05166.0577
2017–20185.7965.8355.7895.86815.87345.86865.8743
Overall5.95.8735.8615.96065.96415.96115.967
2016–2017407.05157.05657.01257.11787.1257.11857.1148
2017–20186.76036.74136.73536.8536.86476.85356.848
Overall5.8685.8895.8617.72187.73247.72247.7111
2016–2017607.74157.72357.71257.82967.83817.83027.8194
2017–20187.48237.52837.47837.61227.62527.61267.6009
Overall7.68667.68267.65866.98666.99586.98726.9826
2016–2017808.12998.17698.15798.33218.33988.33288.3163
2017–20187.95977.98677.94078.15728.16878.15788.1438
Overall8.16888.19188.14688.24528.25478.24588.2306
Table 3. Weibull mean wind speed, specific wind speeds, power, and energy densities for the year 2016–2017.
Table 3. Weibull mean wind speed, specific wind speeds, power, and energy densities for the year 2016–2017.
Height (m)MethodVavg (m/s)Vmp (m/s)VmaxE (m/s)PD (W/m2)ED (kWh/m2)
80EMJ7.42687.179010.0140346.63613036.5320
EPFM7.42687.128010.1020351.55373079.6100
MoM7.42687.175010.0210347.04173040.0850
MMLM7.41317.16909.9920344.49213017.7500
PSO7.14017.01449.4259344.87053021.066
CSO7.15847.04849.4198345.00013022.201
GWO7.12756.99189.4282346.95943039.364
60EMJ6.97636.72509.4390288.89132530.6880
EPFM6.97636.66509.5410293.99962575.4370
MoM6.97636.72109.4460289.25232533.8500
MMLM6.96566.70309.4450288.60862528.2120
PSO6.92966.86399.0402288.04362523.262
CSO6.91116.83459.0376288.38182526.225
GWO6.89916.81239.0419289.71112537.869
40EMJ6.33136.01408.7170222.17391946.2440
EPFM6.33135.94708.8250226.66051985.5460
MoM6.33136.00808.7260222.54541949.4980
MMLM6.32575.97908.7580223.57481958.5150
PSO6.27926.02368.5464223.35141956.559
CSO6.28516.04088.5349224.0781962.923
GWO6.24415.98728.5033222.43331948.516
20EMJ5.36424.83107.7930147.66971293.5860
EPFM5.36424.77707.8730150.20981315.8380
MoM5.36424.82207.8080148.13051297.6230
MMLM5.36924.81507.8310149.05041305.6810
PSO5.77725.22758.3579149.15031306.557
CSO5.76845.25728.2889148.92651304.596
GWO5.76255.20138.3556151.11661323.781
Table 4. Wind turbines (WTs) technical specifications.
Table 4. Wind turbines (WTs) technical specifications.
WT Models P r   ( MW ) V c i   ( m / s ) V r   ( m / s ) V c o   ( m / s ) Hub Height (m)Diameter (m)
GE 1.7- 1001.703102396103
Nordex N90/25002.50313.52510090
Vestas V80-2.02.004152510080
Acciona AW-70/15001.50411.6258070
Nordex N60/13001.302.515256060
Vestas V90-1.81.803.5122510590
Enercon E-33/3300.33313285033.4
Enercon E-48/8000.80312345548
Suzlon S52-6000.60413257552
EWT DW54-5000.502.510254054
GE 2.75-1032.753132385103
Gamesa g114-2.52.5021025125114
Windtec DF 2000 WT552.0039.52090113
Siemens SWT-2.3-1082.30311.52580108
Table 5. WTs power production, annual energy production (AEP), capacity factor (CF), and cost/MWh.
Table 5. WTs power production, annual energy production (AEP), capacity factor (CF), and cost/MWh.
WTs ModelPower (MW)AEP (MWh)CFCost$/MWh
GE 1.7- 1000.84847432.230.47422.72990001
Nordex N90/25000.8637560.2570.345231.21081287
Vestas V80-2.00.60895333.7990.304435.39412813
Acciona AW-70/15000.44793923.3760.298636.08162292
Nordex N60/13000.25712252.4560.197854.46902226
Vestas V90-1.80.70846205.2690.393527.37985414
Enercon E-33/3300.0821718.8310.248743.32116045
Enercon E-48/8000.18271600.8260.225647.75697076
Suzlon S52-6000.19631719.3430.327132.93785571
EWT DW54-5000.16271425.0020.325333.12011252
GE 2.75-1031.09179563.6790.39727.13847003
Gamesa G114-2.51.24510905.9660.49821.63448314
Windtec DF 2000-WT551.01138858.8460.505621.30928126
Siemens SWT-2.3-1080.98148597.0360.426725.24952567

Share and Cite

MDPI and ACS Style

Gul, M.; Tai, N.; Huang, W.; Nadeem, M.H.; Yu, M. Evaluation of Wind Energy Potential Using an Optimum Approach based on Maximum Distance Metric. Sustainability 2020, 12, 1999. https://doi.org/10.3390/su12051999

AMA Style

Gul M, Tai N, Huang W, Nadeem MH, Yu M. Evaluation of Wind Energy Potential Using an Optimum Approach based on Maximum Distance Metric. Sustainability. 2020; 12(5):1999. https://doi.org/10.3390/su12051999

Chicago/Turabian Style

Gul, Mehr, Nengling Tai, Wentao Huang, Muhammad Haroon Nadeem, and Moduo Yu. 2020. "Evaluation of Wind Energy Potential Using an Optimum Approach based on Maximum Distance Metric" Sustainability 12, no. 5: 1999. https://doi.org/10.3390/su12051999

APA Style

Gul, M., Tai, N., Huang, W., Nadeem, M. H., & Yu, M. (2020). Evaluation of Wind Energy Potential Using an Optimum Approach based on Maximum Distance Metric. Sustainability, 12(5), 1999. https://doi.org/10.3390/su12051999

Note that from the first issue of 2016, this journal uses article numbers instead of page numbers. See further details here.

Article Metrics

Back to TopTop