Abstract
In this work, the impact of exogenous aerobic bacteria mixture (EABM) on municipal solid waste (MSW) is well evaluated in the following aspects: biogas production, leachate analysis, organic waste degradation, EABM population, and the composition of microbial communities. The study was designed and performed as follows: the control bioreactor (R1) was filled up with MSW and the culture medium of EABM and the experimental bioreactor (R2) was filled up with MSW and EABM. The data suggests that the composition of microbial communities (bacterial and methanogenic) in R1 and R2 were similar at day 0, while the addition of EABM in R2 led to a differential abundance of Bacillus cereus, Bacillus subtilis, Staphylococcus saprophyticus, Staphlyoccus xylosus, and Pantoea agglomerans in two bioreactors. The population of exogenous aerobic bacteria in R2 greatly increased during hydrolysis and acidogenesis stages, and subsequently increased the degradation of volatile solid (VS), protein, lipid, and lignin by 59.25%, 25.68%, 60.47%, and 197.62%, respectively, compared to R1. The duration of hydrolysis and acidogenesis in R2 was 33.33% shorter than that in R1. At the end of the study, the accumulative methane yield in R2 (494.4 L) was almost three times more than that in R1 (187.4 L). In addition, the abundance of acetoclasic methanogens increased at acetogenesis and methanogenesis stages in both bioreactors, which indicates that acetoclasic methanogens (especially Methanoseata) could contribute to methane production. This study demonstrates that EABM can accelerate organic waste degradation to promote MSW biodegradation and methane production. Moreover, the operational parameters helped EABM to generate 20.85% more in accumulative methane yield. With a better understanding of how EABM affects MSW and the composition of bacterial community, this study offers a potential practical approach to MSW disposal and cleaner energy generation worldwide.
1. Introduction
With increasing global urbanization and industrialization, municipal solid waste (MSW) is a growing problem worldwide due to its impact on human health and the environment [1]. At present, landfill is the most common method of MSW disposal; approximately 80%of waste generated globally is converted into landfill [2,3]. Benefits of landfill include the potential of utilizing landfill gas (mostly methane and carbon dioxide) to generate electricity, as well as eliminating environmental safety risks to human health. However, fast human population expansion and industrialization have led to drastically increased MSW production, not to mention land shortages [4]. According to the world bank, the growth rate of MSW generation is much greater than the rate of urbanization, and MSW production has risen tenfold in the past century [5,6]. Hence, researchers have focused on how to accelerate biodegradation at the landfill sites to combat the crisis we face [7,8,9,10]. Some studies indicate that physical and chemical treatments could influence biodegradation and methane production of MSW [11,12,13], while others suggest that bacteria plays a crucial role in MSW biodegradation [14]. For instance, high C/N ratio feedstock digestion is enhanced when methanogenic propionate degradation consortiais enriched [15]. Enterobacter aerogenes and Escherichia coli were also reported as co-culture for the hydrogen production of using MSW [16]. Researchers believe the alternations of physical and chemical parameters offer better environmental conditions for bacteria to catalyze MSW to carbon dioxide, methane, and water through a cascade of biochemical reactions [17].
As a complex biological reaction, MSW biodegradation consists of four distinct stages: hydrolysis, acidogenesis, acetogenesis, and methanogenesis [18]. Bacteria break down organic waste into H2, CO2, and organic acids at hydrolysis and acidogenesis stages; after that, methanogens convert them into methane at acetogenesis and methanogenesis stages [19,20]. Hence, researchers introduced other materials containing highly active microbial communities, such as sludge and manure, as additives to promote MSW biodegradation and methane production [21,22]. However, unclear composition and uncertain culture conditions of those microbial communities make this method difficult to adopt for landfill/industry. Therefore, we need to come up with a practical method. In our previous study, we raised a hypothesis that by accelerating organic waste, MSW biodegradation and methane production could be promoted [23]. Hence, five specific species of aerobic bacteria were obtained from a landfill site and prepared as exogenous aerobic bacteria mixture (EABM). The study observed that organic waste degradation and methane production increase when EABM codigest with MSW. However, the study is insufficient to prove that EABM could accelerate organic waste degradation. In this study, we intend to take an insight into the interaction between EABM and organic waste degradation by adopting metagenome sequencing [24,25,26]. Moreover, the working condition of EABM within MSW is crucial to develop a practical approach. This study evaluates the effects of operational parameters (data unpublished) of EABM on MSW biodegradation. In addition, the shift of bacterial community associated with MSW biodegradation with EABM addition is also analyzed.
The aim of this research is to study the impact of EABM on sustainable methane production associated with MSW biodegradation. For this purpose, the interaction of EABM and organic waste will first be presented by connecting the data of EABM reproduction, organic waste degradation, and biogas production (methane, carbon dioxide, and oxygen concentration). This study not only presents conclusive data that EABM promotes methane production by accelerating organic waste degradation, but also outlines the operational parameters for EABM in MSW and the effects of EABM on microbial community. This research presents new insight about EABM, which may help advance the development of an applicable approach for MSW biodegradation and cleaner energy generation at landfills.
2. Materials and Methods
2.1. Materials and Setup
All bacteria strains were stored at 4 ℃ in our lab before experiments. The preparations of EABM and MSW strictly follow procedures outlined in a previous study [23]. Two acrylic bioreactors (R1 and R2) with a dimension of 8 mm × 0.2 m × 0.66 m were constructed (Figure 1). Each bioreactor came with one leachate collection pot and one gas collection pot at the top, as well as one MSW sampling pot on the side. The leachate was pumped back through the recirculation pipe after being collected at the bottom of bioreactor. Ten kg MSW shredded to 5 cm in diameter and well mixed was placed above 2 kg gravel stones in each bioreactor and covered with 2 kg soil on top. The initial MSW pH in R1 (well mixed with 1.0 kg EABM culture medium) and R2 (well mixed with 1.0 kg EABM and 200.0 g Phanerochaete chrysosporium mycelia pellets) was adjusted to around 7.0 pH (Table 1). During the experiments, the leachate was recirculated back to the bioreactor every two days and the bioreactors were maintained at 30 °C. The moisture content remained the same until the end of the study.
Figure 1.
Scheme of bioreactors.
Table 1.
Configurations of bioreactors.
2.2. Sampling and Analytical Methods
MSW samples, biogas, and the leachates were measured every other day. Biogas was collected by connecting a Tedlar bag to the gas port. Biogas volume was measured by liquid displacement under the conditions previously described [27]. Meanwhile, an infrared methane gas analyzer Gasboard-3200L (Cubic Optoelectronics China Ltd., Wuhan, China) was used to measure the concentration of methane, carbon dioxide, and oxygen. Once the leachate was sampled, it was first analyzed using a pH meter (Mettler Toledo Instruments Ltd., Shanghai, China). The moisture content was calculated by heating the sample at 105 °C for 24 h as a dry weight. Volatile solid (VS) was calculated by ashing the dry weight sample at 550 ℃ to a constant weight in a muffle furnace. Organic waste degradation (protein, lipid, and lignin) were calculated using the methods described in previous studies [28,29,30]. Microsoft Excel was adopted to calculate related statistical parameters. Significant differences were determined when p ≤ 0.05. All values in tables were the average from triplicate measurements with standard deviation.
The MSW samples for high-through put sequencing were collected every 10 days from day 0 from two bioreactors. Each sample was first centrifuged at 3000× g for 5 min, then the supernatant was centrifuged at 10,000× g for 20 min. After that, the supernatant was decanted carefully to obtain the settled biomass for DNA extraction. Total genomic DNA was extracted using a Soil DNA Kit (OMEGA, USA) according to the manufacturer’s instructions. The 16S rRNA genes were amplified based on the publish methods with bacterial universal primer (515F: GTG CCA GCM GCC GCG GTA A, 806R: GGA CTA CHV GGG TWT CTA AT) and archaeal universal primer (Ar915F: AGG AAT TGG CGG GGG AGC AC, Ar1386R: GCG GTG TGT GCA AGG AGC) [31,32]. After PCR amplification, 16S rRNA genes were stored at −20 ℃ until submitted to the company (The Beijing Genomics Institute, China) for the pyrosequencing analysis. DNA samples were paired-end sequenced by Miseq from Illumina. High-quality reads were connected as cleantags by overlap. After excluding singletons operational taxonomic units (OTUs), clustering at 3% divergence (97% similarity), OTUs were identified. Final OTUs were assigned and classified into each taxonomic level.
3. Results and Discussions
3.1. Methane Production Associate with MSW Biodegradation
Daily methane production in two bioreactors started to increase all the way to the peak of 10.1 L and 24.5 L in R1 and R2, respectively (Figure 2B). However, after peaking, production decreased sharply until no methane production could be measured. Meanwhile, the trends of the accumulative methane yield in two bioreactors were similar (Figure 2A). After the lag phase at the beginning, the production cumulated rapidly until it became stabilized. At the end of the study, the accumulative methane yield in R1 and R2 was 187.6 L and 494.9 L, respectively. The data shows that with the addition of EABM, the accumulative methane yield in R2 was 163.81% more than R1.
Figure 2.
Methane production: (A) accumulative methane yield and (B) daily methane production.
Methane production per organic matter indicates the degree of waste stabilization [27]. According to the authors of [33,34,35], the methane production rate under microbial treatments varies from 44.6 to 79 L·kg−1 organic matter. The methane production rate under physical and chemical treatments is between 57.27 to 79.28 L·kg−1 organic matter [36,37,38]. Meanwhile, at the end of this study, the methane production rate in R2 was 136.20 L·kg−1 organic matter, which is higher than what was reported (Table 2).
Table 2.
Comparisons of methane productions rate with references.
The operational parameters for EABM in this study included adjusting the initial MSW pH to around 7.0 at the beginning. During the experiment, the bioreactor was maintained at 30 °C, and all collected leachate was pumped back to the bioreactor. Compared to the previous study, the operational parameters helped to generate 20.85% and 37.63% in the accumulative methane yield and methane production rate [23].
3.2. Bacteriareproduction in Bioreactors
The compositions of bacterial community in two bioreactors were similar at Phylum level at day 0 (Figure 3A). The bacterial 16S rRNA gene sequences were assigned to Bacteroidetes, Firmicutes, Synergistetes, Chlorofex, Gemmatimonadetes, and Spirochaetes. At Family level, they were identified as Bacillaceae, Enterobacteriaceae, Staphylococcaceae, Hydrogenophilaceae, Pseudomonadaceae, and Rhodocyclaceae (Figure 3B). However, the addition of EABM led to a difference in abundance of bacteria in two bioreactors at day 0 of the study.
Figure 3.
The abundance of bacteria in two bioreactors at day 0: (A) the abundance of bacteria classified by Phylum and (B) the abundance of bacteria classified by Family.
Bacillus cereus, B. subtilis, Staphylococcus saprophyticus, S. xylosus, and Pantoea agglomerans are the dominant bacteria in both bioreactors; their abundances increased rapidly at first. Later, the abundances of Staphylococcus saprophyticus, Staphylococcus xylosus, and Pantoea agglomerans dropped after the 30th and 20th day in R1 and R2, respectively. Meanwhile, the abundances of Bacillus cereus and B. Subtilis still remained at high levels in both bioreactors (Figure 4).
Figure 4.
The abundance of five species of aerobic bacteria in two bioreactors with time: (A) the abundance of five species of aerobic bacteria in R1 with time and (B) the abundance of five species of aerobic bacteria in R2 with time.
Sporulation is an important and multicellular process which plays a crucial role for spore-forming bacteria [39]. This process makes it possible for bacteria to enter a dormant state and survive adverse environments for extended periods, even centuries [40,41]. Oxygen and nutrients became insufficient as methane is produced in bioreactors, which forced Bacillus cereus and B. subtilis to form spores. This may explain why these two species remain dominant when methane was generated, while the abundances of other added bacteria dropped.
3.3. Methanogens in Bioreactors
The compositions of methanogenic communities in two bioreactors were similar at day 0 (Figure 5). At Phylum level, the sequences were classified as Crenarchaeota and Euryarchaeota in both bioreactors. At Genus level, they were identified as Methanobacterium, Methanothermobacter, Methanogenium, Methanomicrobiales, Methanosaeta, Methanosarcina, and Methnospirillum. McMahon pointed out that high levels of archaea with Methanosaeta was the dominant acetoclastic methanogen that started up well in the anaerobic digestion [42]. This may also explain why the Methanosaeta Genus was the dominant methanogen in both bioreactors of this study.
Figure 5.
The abundance of methanogens in two bioreactors at day 0: (A) the abundance of methanogens classified by Phylum and (B) the abundance of methanogens classified by Genus.
Based on the substrate that methanogens utilize, they can typically be classified as hydrogenotrophic or acetoclastic. CO2 and H2 can be consumed by hydrogenotrophic methanogens to produce methane, while acetoclastic methanogens use acetate to produce methane. Acetoclastic methanogens remained dominant in both bioreactors at day 0 as well as by the end of the study (Table 3). After 60 days of biodegradation, the abundances of acetoclastic methanogens increased in both bioreactors, while the abundances of hydrogenotrophic methanogens decreased. However, compared to R1, the abundances of acetoclastic methanogens in R2 at the end of study was 18.94% higher than in R1. The predominance of acetoclastic methanogens at stable bioreactors were found in a previous study [43,44]. Meanwhile, other studies also reported that the increase of acetoclastic methanogens was accompanied by 85%–120% increases in methane production. Hence, the increase of acetoclastic methanogens contributed to methane production compared to hydrogenotrophic methanogens at biodegradation [45].
Table 3.
Percentages of two types of methanogens.
3.4. Correlations of Microbial Community Dynamics and Methane Production
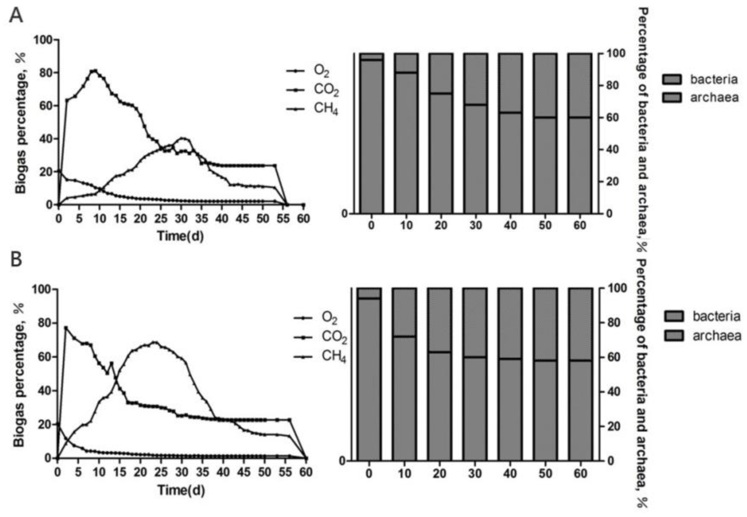
Combining the data of bioga sproduction and microbial community dynamics, similarities were found in both bioreactors (Figure 6). Oxygen concentration decreased rapidly when biodegradation began, causing bacteria to become dominant in both bioreactors. On the other hand, methanogens became active and started to reproduce when the methane level greatly increased. However, differences can still be found in two bioreactors. The pH value is a key parameter to differentiate the four stages of MSW biodegradation [46]. The decrease in pH isa mark of the acidogenesis stage, while a neutral pH is a mark of the acetogenesis stage and methanogenesis stage [47]. The first neutral pH appeared on the 32nd day in R1 and the 24th day in R2, which means the duration of the hydrolysis and acidogenesis stage in R2 is 33.33% shorter than in R1 (Figure 7). At the stage of hydrolysis and acidogenesis, the degradation of the volatile solid, protein, lipid, and lignin in R2 was 59.25%, 25.68%, 60.47%, and 197.62% higher than in R1 (see data in the Supplementary Materials). Oxygen concentration below 3% was first recorded on the 25th in R1 and the 15th in R2 (Figure 6). Meanwhile, the abundances of Bacillus cereus, B. subtilis, Staphylococcus saprophyticus, S. xylosus, and Pantoea agglomerans increased rapidly and the maximum abundances were recorded on the 30th in R1 and the 20th in R2 during the hydrolysis and acidogenesis stages (Figure 4). Hence, the addition of EABM enhanced the processes of hydrolysis and acidogenesis through consuming oxygen and organic waste, driving MSW biodegradation forward to the acetogenesis and methanogenesis stages. At the end of study, the abundance of acetoclastic methanogens in R2 showed 18.94% higher than in R1 (Table 3). With the addition of EABM, the degradation of organic waste in MSW increased. Complex organic waste was broken down into organic acid, offering more acetate for acetoclastic methanogens to utilize [19]. As the product of these biological reactions, methane production increased at the end.
Figure 6.
Variations of bacteria abundance and biogas concentrations in two bioreactors: (A) variations of bacteria abundances and biogas concentrations in R1 and (B) variations of bacteria abundances and biogas concentrations in R2.
Figure 7.
pH variations with time in two bioreactors.
3.5. Future Prospects and Current Challenges
Studies clearly indicated that EABM promote methane production by accelerating organic waste degradation during MSW biodegradation. Certain prepared procedures and operating conditions of EABM guarantee its stability and repeatability on MSW biodegradation. China has required major cities to implement waste classification in the year 2017 [48]. A study suggested that government policy could advance waste classification management [49]. Hence, the concentration of organic waste is expected to increase at landfills. This would give EABM a great advantage to promote MSW biodegradation and cleaner energy generation. The lab-scale results inspired us to perform field trials for more convincing data to develop a practical approach. Therefore, the extraction well operation, leachate recirculation routes, and operation methods of EABM at landfills should be taken into consideration. Moreover, research indicates toxicants such as sulfide, ammonia, and emerging nanomaterials could seriously retard methane production at landfills [50,51]. Further research should focus on eliminating toxicants before MSW is introduced into landfill as well as the life cycle assessment and commercial operating calculation of a re-designed landfill. In addition, turning landfill sites into city gardens or transforming solid waste into soil fertilizer could be a new solution after MSW codigests with EABM and reaches stabilization [51,52].
4. Conclusions
The results suggest that the EABM accelerated organic waste degradation, which promoted MSW biodegradation and methane production. VS degradation increased by 59.25%, and duration hydrolysis and acidogenesis stages were shortened by 33.33%. The accumulative methane yield in R2 (494.9 L) showed almost three times more than that in R1 (187.6 L). Meanwhile, the operational parameters for EABM helped to generate 20.85% more methane production. The high-throughput sequencing reveals that when the biodegradation was driven to the acetogenesis and methanogenesis stages, methanogens became active. As methane was produced, the abundance of hydrogenotrophic methanogens decreased and the acetoclastic methanogens increased. Methanosaeta was the dominant in the methanogenic community, which may contribute to the methane production in biodegradation. Hence, after closely studying the impacts of EABM on methane production of MSW and its operational parameters, we conclude that the addition of EABM is a potential solution for MSW disposal at landfills.
Supplementary Materials
The following are available online at https://www.mdpi.com/2071-1050/12/5/1815/s1, Figure S1: (A) VS, (B) Protein, (C) Lipid and (D) Lignin degradation with time; Figure S2: Leachate analysis with time in two bioreactors (A) COD; (B) BOD5.
Author Contributions
This research was conceived by S.G., L.L., and Z.Y. S.G. and J.M. designed and set up the experiments, and L.L. and Z.Y. advised. S.G. and J.M. performed the experiments and analyzed the data. S.G., L.L., and Z.Y. wrote the paper. All authors have read and agreed to the published version of the manuscript.
Acknowledgments
This study was funded by National Natural Science Foundation of China (41977254), Youth Innovation Promotion Association CAS (2017376), Foundation for Innovative Research Groups of Hubei Province (2019CFA012) and Wuhan Science and Technology Conversion Special Project (2018060403011348).
Conflicts of Interest
The authors declare no conflicts of interests.
Abbreviations
| EABM | exogenous aerobic bacteria mixture |
| MSW | municipal solid waste |
| OTUs | operational taxonomic units |
| VS | volatile solid |
References
- Vergara, S.E.; Tchobanoglous, G. Municipal Solid Waste and the Environment: A Global Perspective. Soc. Sci. Electron. Publ. 2012, 37, 277–309. [Google Scholar] [CrossRef]
- Castaldi, M.J. Perspectives on sustainable waste management. Annu. Rev. Chem. Biomol. Eng. 2014, 5, 547. [Google Scholar] [CrossRef] [PubMed]
- Ziyang, L.; Luochun, W.; Nanwen, Z.; Youcai, Z. Martial recycling from renewable landfill and associated risks: A review. Chemosphere 2015, 131, 91–103. [Google Scholar] [CrossRef] [PubMed]
- Debishree, K.; Sukha Ranjan, S. Municipal Solid Waste Management using Geographical Information System aided methods: A mini review. Waste Manag. Res. J. Int. Solid Wastes Public Clean. Assoc. Iswa 2014, 32, 1049–1062. [Google Scholar]
- Hoornweg, D.; Bhada-Tata, P.; Kennedy, C. Environment: Waste production must peak this century. Nature 2013, 502, 615–617. [Google Scholar] [CrossRef]
- Daniel, H.; Perinaz, B.T. What A Waste: A Global Review of Solid Waste Management. Available online: https://siteresources.worldbank.org/INTURBANDEVELOPMENT/Resources/336387-1334852610766/What_a_Waste2012_Final.pdf (accessed on 4 February 2020).
- Boonyaroj, V.; Chiemchaisri, C.; Chiemchaisri, W.; Yamamoto, K. Enhanced biodegradation of phenolic compounds in landfill leachate by enriched nitrifying membrane bioreactor sludge. J. Hazard. Mater. 2016, 323 Pt A, 323. [Google Scholar] [CrossRef]
- Zha, F.; Zhang, J.; Yao, D.; Wang, X.; Youbiao, H.U.; Gao, L.; Yang, J. Effect on Dissolved Organic Matter in Landfill Leachate by Sonication. Environ. Sci. Technol. 2016, 17, 1295–1300. [Google Scholar]
- Liu, L.; Xue, Q.; Zeng, G.; Ma, J.; Liang, B. Field-scale monitoring test of aeration for enhancing biodegradation in an old landfill in China. Environ. Prog. Sustain. Energy 2016, 35, 380–385. [Google Scholar] [CrossRef]
- Chen, R.; Nie, Y.; Tanaka, N.; Niu, Q.; Li, Q.; Li, Y.Y. Enhanced methanogenic degradation of cellulose-containing sewage via fungi-methanogens syntrophic association in an anaerobic membrane bioreactor. Bioresour. Technol. 2017, 245, 810. [Google Scholar] [CrossRef]
- Reinhart, D.R.; Mccreanor, P.T.; Townsend, T. The bioreactor landfill: Its status and future. Waste Manag. Res. 2002, 20, 172–186. [Google Scholar] [CrossRef]
- Valencia, R.; Zon, W.V.D.; Woelders, H.; Lubberding, H.J.; Gijzen, H.J. The effect of hydraulic conditions on waste stabilisation in bioreactor landfill simulators. Bioresour. Technol. 2009, 100, 1754–1761. [Google Scholar] [CrossRef] [PubMed]
- Warith, M. Bioreactor landfills: Experimental and field results. Waste Manag. 2002, 22, 7–17. [Google Scholar] [CrossRef]
- Sawamura, H.; Yamada, M.; Endo, K.; Soda, S.; Ishigaki, T.; Ike, M. Characterization of microorganisms at different landfill depths using carbon-utilization patterns and 16S rRNA gene based T-RFLP. J. Biosci. Bioeng. 2010, 109, 130. [Google Scholar] [CrossRef] [PubMed]
- Li, Y.; Li, L.; Sun, Y.; Yuan, Z. Bioaugmentation strategy for enhancing anaerobic digestion of high C/N ratio feedstock with methanogenic enrichment culture. Bioresour. Technol. 2018, 261, 188–195. [Google Scholar] [CrossRef] [PubMed]
- Sharma, P.; Melkania, U. Impact of heavy metals on hydrogen production from organic fraction of municipal solid waste using co-culture of Enterobacter aerogenes and E. Coli. Waste Manag. 2018, 75, 289–296. [Google Scholar] [CrossRef] [PubMed]
- Griffin, M.E.; Mcmahon, K.D.; Mackie, R.I.; Raskin, L. Methanogenic population dynamics during start-up of anaerobic digesters treating municipal solid waste and biosolids. Biotechnol. Bioeng. 2015, 57, 342–355. [Google Scholar] [CrossRef]
- Rich, C.; Gronow, J.; Voulvoulis, N. The potential for aeration of MSW landfills to accelerate completion. Waste Manag. 2008, 28, 1039–1048. [Google Scholar] [CrossRef]
- Sang, N.N.; Soda, S.; Ishigaki, T.; Ike, M. Microorganisms in landfill bioreactors for accelerated stabilization of solid wastes. J. Biosci. Bioeng. 2012, 114, 243. [Google Scholar] [CrossRef]
- Bareither, C.A.; Wolfe, G.L.; Mcmahon, K.D.; Benson, C.H. Microbial diversity and dynamics during methane production from municipal solid waste. Waste Manag. 2013, 33, 1982–1992. [Google Scholar] [CrossRef]
- Sosnowski, P.; Wieczorek, A.; Ledakowicz, S. Anaerobic co-digestion of sewage sludge and organic fraction of municipal solid wastes. Adv. Environ. Res. 2003, 7, 609–616. [Google Scholar] [CrossRef]
- Callaghan, F.J.; Wase, D.A.J.; Thayanithy, K.; Forster, C.F. Continuous co-digestion of cattle slurry with fruit and vegetable wastes and chicken manure. Biomass Bioenergy 2002, 22, 71–77. [Google Scholar] [CrossRef]
- Ge, S.; Liu, L.; Xue, Q.; Yuan, Z. Effects of exogenous aerobic bacteria on methane production and biodegradation of municipal solid waste in bioreactors. Waste Manag. 2015, 55, 93–98. [Google Scholar] [CrossRef] [PubMed]
- Logan, B.E.; Regan, J.M. Electricity-producing bacterial communities in microbial fuel cells. Trends Microbiol. 2006, 14, 512–518. [Google Scholar] [CrossRef] [PubMed]
- Quail, M.A.; Smith, M.; Coupland, P.; Otto, T.D.; Harris, S.R.; Connor, T.R.; Bertoni, A.; Swerdlow, H.P.; Gu, Y. A tale of three next generation sequencing platforms: Comparison of Ion Torrent, Pacific Biosciences and Illumina MiSeq sequencers. Bmc Genom. 2012, 13, 341. [Google Scholar] [CrossRef] [PubMed]
- Loman, N.J.; Misra, R.V.; Dallman, T.J.; Constantinidou, C.; Gharbia, S.E.; Wain, J.; Pallen, M.J. Performance comparison of benchtop high-throughput sequencing platforms. Nat. Biotechnol. 2012, 30, 434–439. [Google Scholar] [CrossRef] [PubMed]
- Sponza, D.T.; Ağdağ, O.N. Impact of leachate recirculation and recirculation volume on stabilization of municipal solid wastes in simulated anaerobic bioreactors. Process Biochem. 2004, 39, 2157–2165. [Google Scholar] [CrossRef]
- Tang, J.; Chen, K.; Fang, H.; Xu, J.; Li, J. Characterization of the pretreatment liquor of biomass from the perennial grass, Eulaliopsis binata, for the production of dissolving pulp. Bioresour. Technol. 2013, 129, 548–552. [Google Scholar] [CrossRef]
- Zhang, Y.; Yue, D.; Liu, J.; He, L.; Nie, Y. Effect of organic compositions of aerobically pretreated municipal solid waste on non-methane organic compound emissions during anaerobic degradation. Waste Manag. 2012, 32, 1116–1121. [Google Scholar] [CrossRef]
- Rice, E.W.; Bridgewater, L.; Association, A.P.H. Standard Methods for the Examination of Water and Wastewater; American Public Health Association: Washington, DC, USA, 2012. [Google Scholar]
- Caporaso, J.G.; Lauber, C.L.; Walters, W.A.; Berglyons, D.; Huntley, J.; Fierer, N.; Owens, S.M.; Betley, J.; Fraser, L.; Bauer, M. Ultra-high-throughput microbial community analysis on the Illumina HiSeq and MiSeq platforms. Isme J. Multidiscip. J. Microb. Ecol. 2012, 6, 1621–1624. [Google Scholar] [CrossRef]
- Engelbrektson, A.; Kunin, V.; Wrighton, K.C.; Zvenigorodsky, N.; Chen, F.; Ochman, H.; Hugenholtz, P. Experimental factors affecting PCR-based estimates of microbial species richness and evenness. Isme J. 2010, 4, 642. [Google Scholar] [CrossRef]
- Zhao, J. Enhancement of Methane Production from Solid-state Anaerobic Digestion of Yard Trimmings by Biological Pretreatment. Ph.D. Thesis, Ohio State University, Columbus, OH, USA, 2013. [Google Scholar]
- Yuan, X.; Ma, L.; Wen, B.; Zhou, D.; Kuang, M.; Yang, W.; Cui, Z. Enhancing anaerobic digestion of cotton stalk by pretreatment with a microbial consortium (MC1). Bioresour. Technol. 2016, 207, 293–301. [Google Scholar] [CrossRef] [PubMed]
- Merrylin, J.; Kumar, S.A.; Kaliappan, S.; Yeom, I.-T.; Banu, J.R. Biological pretreatment of non-flocculated sludge augments the biogas production in the anaerobic digestion of the pretreated waste activated sludge. Environ. Technol. 2013, 34, 2113–2123. [Google Scholar] [CrossRef] [PubMed]
- Chiemchaisri, C.; Chiemchaisri, W.; Nonthapund, U.; Sittichoktam, S. Acceleration of solid waste biodegradation in tropical landfill using bioreactor landfill concept. Available online: http://citeseerx.ist.psu.edu/viewdoc/download?doi=10.1.1.548.6159&rep=rep1&type=pdf (accessed on 4 February 2020).
- San, I.; Onay, T.T. Impact of various leachate recirculation regimes on municipal solid waste degradation. J. Hazard. Mater. 2001, 87, 259–271. [Google Scholar] [CrossRef]
- Agdag, O.N.; Sponza, D.T. Effect of alkalinity on the performance of a simulated landfill bioreactor digesting organic solid wastes. Chemosphere 2005, 59, 871–879. [Google Scholar] [CrossRef] [PubMed]
- Hu, Y.; Cai, Q.; Shen, T.; Yong, G.; Yuan, Z.; Hu, X. Regulator DegU is required for multicellular behavior in Lysinibacillus sphaericus. Res. Microbiol. 2018, 169, 177–187. [Google Scholar] [CrossRef] [PubMed]
- Cano, R.J.; Borucki, M.K. Revival and identification of bacterial spores in 25- to 40-million-year-old Dominican amber. Science 1995, 268, 1060–1064. [Google Scholar] [CrossRef]
- Fimlaid, K.A.; Shen, A. Diverse mechanisms regulate sporulation sigma factor activity in the Firmicutes. Curr. Opin. Microbiol. 2015, 24, 88–95. [Google Scholar] [CrossRef]
- Mcmahon, K.D.; Zheng, D.; Stams, A.J.; Mackie, R.I.; Raskin, L. Microbial population dynamics during start-up and overload conditions of anaerobic digesters treating municipal solid waste and sewage sludge. Biotechnol. Bioeng. 2004, 87, 823–834. [Google Scholar] [CrossRef]
- Ariesyady, H.D.; Ito, T.; Okabe, S. Functional bacterial and archaeal community structures of major trophic groups in a full-scale anaerobic sludge digester. Water Res. 2007, 41, 1554. [Google Scholar] [CrossRef]
- Raskin, L.; Poulsen, L.K.; Noguera, D.R.; Rittmann, B.E.; Stahl, D.A. Quantification of methanogenic groups in anaerobic biological reactors by oligonucleotide probe hybridization. Appl. Environ. Microbiol. 1994, 60, 1241–1248. [Google Scholar] [CrossRef]
- Razaviarani, V.; Buchanan, I.D. Reactor performance and microbial community dynamics during anaerobic co-digestion of municipal wastewater sludge with restaurant grease waste at steady state and overloading stages. Bioresour. Technol. 2014, 172, 232–240. [Google Scholar] [CrossRef] [PubMed]
- Christensen, T.H.; Kjeldsen, P. Basic biochemical processes in landfills. In Sanitary Landfilling: Process, Technology, and Environmental Impact; Academy Press: New York, NY, USA, 1989; pp. 29–49. [Google Scholar]
- Francois, V.; Feuillade, G.; Matejka, G.; Lagier, T.; Skhiri, N. Leachate recirculation effects on waste degradation: Study on columns. Waste Manag. 2007, 27, 1259–1272. [Google Scholar] [CrossRef] [PubMed]
- Chen, F.; Li, X.; Ma, J.; Yang, Y.; Liu, G.-J. An Exploration of the Impacts of Compulsory Source-Separated Policy in Improving Household Solid Waste-Sorting in Pilot Megacities, China: A Case Study of Nanjing. Sustainability 2018, 10, 1327. [Google Scholar] [CrossRef]
- Zhou, A.; Wu, S.; Chu, Z.; Huang, W.-C. Regional Differences in Municipal Solid Waste Collection Quantities in China. Sustainability 2019, 11, 4113. [Google Scholar] [CrossRef]
- Chen, J.L.; Ortiz, R.; Steele, T.W.J.; Stuckey, D.C. Toxicants inhibiting anaerobic digestion: A review. Biotechnol. Adv. 2014, 32, 1523–1534. [Google Scholar] [CrossRef]
- Pandyaswargo, A.H.; Jagath Dickella Gamaralalage, P.; Liu, C.; Knaus, M.; Onoda, H.; Mahichi, F.; Guo, Y. Challenges and An Implementation Framework for Sustainable Municipal Organic Waste Management Using Biogas Technology in Emerging Asian Countries. Sustainability 2019, 11, 6331. [Google Scholar] [CrossRef]
- Liu, L.; Ma, J.; Xue, Q.; Shao, J.; Chen, Y.; Zeng, G. The in situ aeration in an old landfill in China: Multi-wells optimization method and application. Waste Manag. 2018, 76, 614–620. [Google Scholar] [CrossRef]
© 2020 by the authors. Licensee MDPI, Basel, Switzerland. This article is an open access article distributed under the terms and conditions of the Creative Commons Attribution (CC BY) license (http://creativecommons.org/licenses/by/4.0/).






