The Effect of Willow (Salix sp.) on Soil Moisture and Matric Suction at a Slope Scale
Abstract
1. Introduction
- (i)
- Assess the differences between willow-vegetated and fallow ground covers in terms of soil moisture and matric suction.
- (ii)
- Evaluate whether the dynamics of soil moisture and matric suction changed with the hillslope zone (i.e., toe, middle, and crest) under the different ground covers.
- (iii)
- Investigate the relationship between the soil moisture and matric suction at different hillslope zones under both ground covers.
- (iv)
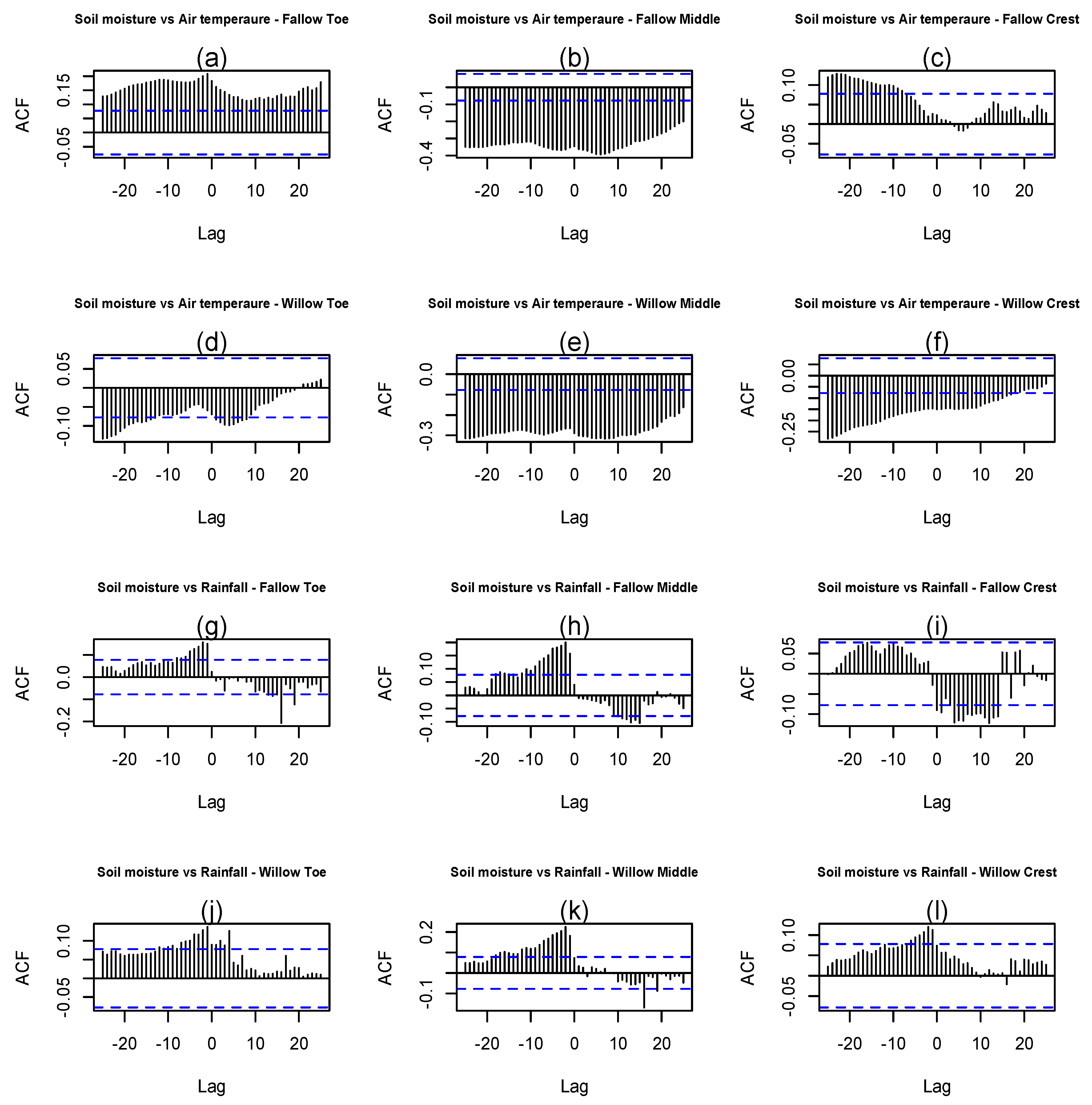
- Investigate the effect of air temperature and rainfall on the dynamics of soil moisture and matric suction under both ground covers.
2. Materials and Methods
2.1. Study Site
2.2. Experimental Setup
2.3. Data Analysis
3. Results
3.1. Soil Moisture
3.2. Matric Suction
3.3. The Relationship between Soil Moisture and Matric Suction
4. Discussion
5. Conclusions
Supplementary Materials
Author Contributions
Funding
Acknowledgments
Conflicts of Interest
References
- Gonzalez-Ollauri, A.; Mickovski, S.B. Plant-Best: A novel plant selection tool for slope protection. Ecol. Eng. 2017, 106, 154–173. [Google Scholar] [CrossRef]
- Waldron, L.J.; Dakessian, S. Soil reinforcement by roots: Calculation of increased soil shear resistance from root properties. Soil Sci. 1981, 132, 427–435. [Google Scholar] [CrossRef]
- Gonzalez-Ollauri, A.; Mickovski, S.B. Hydrological effect of vegetation against rainfall-induced landslides. J. Hydrol. 2017, 549, 374–387. [Google Scholar] [CrossRef]
- Gonzalez-Ollauri, A.; Stokes, A.; Mickovski, S.B. A novel framework to study the effect of tree architectural traits on stemflow yield and its consequences of soil-water dynamics. J. Hydrol. 2020, 582, 124448. [Google Scholar] [CrossRef]
- Gonzalez-Ollauri, A.; Mickovski, S.B. Plant-soil reinforcement response under different soil hydrological regimes. Geoderma 2017, 285, 141–150. [Google Scholar] [CrossRef]
- Debele, S.; Kumar, P.; Sahani, J.; Marti-Cardona, B.; Mickovski, S.B.; Leo, L.S.; Porcù, F.; Bertini, F.; Montesi, D.; Vojinovic, Z.; et al. Nature-based solutions for hydro-meteorological hazards: Revised concepts, classification schemes and databases. Environ. Res. 2019, 179 Pt B, 108799. [Google Scholar] [CrossRef]
- Schiechtl, H.-M.; Stern, R. Water Bioengineering Techniques: For Watercourse, Bank and Shoreline Protection; Wiley-Blackwell: Oxford, UK, 1997. [Google Scholar]
- Norris, J.; Stokes, A.; Mickovski, S.B.; Cameraat, E.; Van Beek, R.; Nicoll, B.; Achim, A. (Eds.) Slope Stability and Erosion Control: Ecotechnological Solutions; Springer: Doerdrecht, The Netherlands, 2008. [Google Scholar]
- Kumar, P.; Debele, S.E.; Sahani, J.; Aragão, L.; Barisani, F.; Basu, B.; Bucchignani, E.; Charizopoulos, N.; Di Sabatino, S.; Domeneghetti, A.; et al. Towards an operationalisation of nature-based solutions for natural hazards. Sci. Total Environ. 2020. Accepted for Publication. [Google Scholar] [CrossRef]
- Kirkby, M.J. Hillslope Hydrology. Landscape Systems: A series in Geomorphology; John Wiley and Sons: Hoboken, NJ, USA, 1978. [Google Scholar]
- Lu, N.; Godt, J. Hillslope Hydrology and Stability; Cambridge University Press: New York, NY, USA, 2013. [Google Scholar]
- Fan, Y.; Clark, M.; Lawrence, D.M.; Swenson, S.; Band, L.E.; Brantley, S.L.; Brooks, P.D.; Dietrich, W.E.; Flores, A.; Grant, G.; et al. Hillslope hydrology in global change research and Earth system modeling. Water Resour. Res. 2019, 55, 1737–1772. [Google Scholar] [CrossRef]
- Sidle, R.C.; Bogaard, T.A. Dynamic earth system and ecological controls of rainfall-initiated landslides. Earth Sci. Rev. 2016, 159, 275–291. [Google Scholar] [CrossRef]
- Bachmair, S.; Weiler, M.; Troch, P.A. Intercomparing hillslope hydrological dynamics: Spatio-temporalvariability and vegetation cover effects. Water Resour. Res. 2012, 48, W05537. [Google Scholar] [CrossRef]
- Li, E.; Kim, S. Seasonal and spatial characterization of soil moisture and soil water tension in a steep hillslope. J. Hydrol. 2019, 568, 676–685. [Google Scholar]
- Peskett, L.; MacDonald, A.; Heal, K.; McDonnell, J.; Chambers, J.; Uhlemann, S.; Upton, K.; Black, A. The impact of across-slope forest strips on hillslope subsurface hydrological dynamics. J. Hydrol. 2020, 581, 124427. [Google Scholar] [CrossRef]
- Vanapalli, S.K.; Fredlund, D.G.; Pufahl, D.E.; Clifton, A.W. Model for the prediction of shear strength with respect to soil suction. Can. Geotech. J. 1996, 33, 379–392. [Google Scholar] [CrossRef]
- Lu, N.; Likos, W.J. Unsaturated Soil Mechanics; John Wiley and Sons: Hoboken, NJ, USA, 2004. [Google Scholar]
- Van Genuchten, M. A closed-form equation predicting hydraulic conductivity of unsaturated soils. Soil Sci. Soc. Am. J. 1980, 44, 892–898. [Google Scholar] [CrossRef]
- Leung, A.; Garg, A.; Ng, C.W.W. Effects of plant roots on soil-water retention and induced suction in vegetated soil. Eng. Geol. 2015, 193, 183–197. [Google Scholar] [CrossRef]
- Ni, J.; Leung, A.K.; Ng, C.W.W. Unsaturated hydraulic properties of vegetated soil under single and mixed planting conditions. Géotechnique 2019, 69, 554–559. [Google Scholar] [CrossRef]
- Hayati, E.; Abdi, E.; Saravi, M.M.; Nieber, J.L.; Majnounian, B.; Chirico, G.B.; Wilson, B.; Nazarirad, M. Soil water dynamics under different forest vegetation cover: Implications for hillslope stability. Earth Surf. Process. Landf. 2018, 43, 2106–2120. [Google Scholar] [CrossRef]
- Norman, J.M.; Anderson, M.C. Soil–Plant–Atmosphere continuum. In Encyclopedia of Soils in the Environment; Hillel, D., Ed.; Elsevier: Amsterdam, The Netherlands, 2005; pp. 513–521. [Google Scholar]
- Rodríguez-Iturbe, I.; Porporato, A. Ecohydrology of Water-Controlled Ecosystems: Soil Moisture and Plant Dynamics; Cambridge University Press: Cambridge, UK, 2005. [Google Scholar] [CrossRef]
- Feng, H.; Liu, Y. Combined effects of precipitation and air temperature on soil moisture in different land covers in a humid basin. J. Hydrol. 2015, 531, 1129–1140. [Google Scholar] [CrossRef]
- Williams, C.A.; Reichstein, M.; Buchmann, N.; Baldocchi, D.; Beer, C.; Schwalm, C.; Wohlfahrt, G.; Hasler, N.; Bernhofer, C.; Foken, T.; et al. Climate and vegetation controls on the surface water balance: Synthesis of evapotranspiration measured across a global network of flux towers. Water Resour. Res. 2012, 48, W06523. [Google Scholar] [CrossRef]
- Zaimes, G.N.; Tardio, G.; Iakovoglou, V.; Gimenez, M.; Garcia-Rodriguez, J.L.; Sangalli, P. New tools and approaches to promote soil and water bioengineering in the Mediterranean. Sci. Total Environ. 2019, 693, 1–10. [Google Scholar] [CrossRef]
- Mabberley, D.J. The Plant Book; Cambridge University Press: Cambridge, UK, 1997. [Google Scholar]
- Vervaeke, P.; Luyssaert, S.; Mertens, J.; Meers, E.; Tack, F.M.G.; Lust, N. Phytoremediation prospects of willow stands on contaminated sediment: A field trial. Environ. Pollut. 2003, 126, 275–282. [Google Scholar] [CrossRef]
- Gray, D.H.; Sotir, R.B. Biotechnical and Eco-Engineering Slope Stabilization; Wiley: New York, NY, USA, 1996. [Google Scholar]
- Tardio, G.; Mickovski, S.B. Implementation of eco-engineering design into existing slope stability design practices. Ecol. Eng. 2016, 92, 138–147. [Google Scholar] [CrossRef]
- Mickovski, S.; Hallet, P.; Bransby, M.; Davis, M.; Sonnenberg, R.; Bengough, A. Mechanical reinforcement of soil by willow roots: Impacts of roots properties and root failure mechanisms. Soil Sci. Soc. Am. 2009, 73, 1276–1285. [Google Scholar] [CrossRef]
- Köppen, W. Die Wärmezonen der Erde, nach der Dauer der heissen, gemässigten und kalten Zeit und nach der Wirkung der Wärme auf die organische Welt betrachtet [The thermal zones of the earth according to the duration of hot, moderate and cold periods and to the impact of heat on the organic world]. Meteorol. Z. 2011, 20, 351–360. [Google Scholar]
- Gonzalez-Ollauri, A.; Mickovski, S.B. Shallow landslides as drivers for slope ecosystem evolution and biophysical diversity. Landslides 2017, 14, 1699–1714. [Google Scholar] [CrossRef]
- Voor de Poorte, P. PEDROX, Live Weather from Catterline. 2018. Available online: http://www.pedrox.com (accessed on 1 April 2019).
- Metcalfe, A.V.; Cowpertwait, P.S.P. Introductory time series with R; Use R Series; Springer: London, UK, 2009. [Google Scholar] [CrossRef]
- Brockwell, P.; Davis, R. Introduction to Time Series and Forecasting, 2nd ed.; Springer: Berlin, Germany, 2002; pp. 35–38. ISBN 978-0-387-94719-8. [Google Scholar]
- Kalman, R.E. A New Approach to Linear Filtering and Prediction Problems. J. Basic Eng. 1960, 82, 35–45. [Google Scholar] [CrossRef]
- Pratt, J.W.; Gibbons, J.D. Kolmogorov-Smirnov Two-Sample Tests. In Concepts of Nonparametric Theory; Springer Series in Statistics; Springer: New York, NY, USA, 1981. [Google Scholar]
- R Core Team. R: A Language and Environment for Statistical Computing; R Foundation for Statistical Computing: Vienna, Austria, 2018; Available online: https://www.R-project.org/ (accessed on 25 May 2020).
- Pulido-Fernández, M.; Schnabel, S.; Lavado-Contador, J.F.; Miralles Mellado, I.; Ortega Pérez, R. Soil organic matter of Iberian open woodland rangelands as influenced by vegetation cover and land management. Catena 2013, 109, 13–24. [Google Scholar] [CrossRef]
- Whalley, W.R.; Riseley, B.; Leeds-Harrison, P.B.; Bird, N.R.A.; Leech, P.K.; Adderley, W.P. Structural differences between bulk and rhizosphere soil. Eur. J. Soil Sci. 2005, 56, 353–360. [Google Scholar] [CrossRef]
- Davis, K.T.; Dobrowski, S.Z.; Holden, Z.A.; Higuera, P.E.; Abatzoglou, J.T. Microclimatic buffering in forests of the future: The role of local water balance. Ecography 2019, 42, 1–11. [Google Scholar] [CrossRef]
- Gonzalez-Ollauri, A.; Mickovski, S.B. Providing ecosystem services in a challenging environment by dealing with bundles, trade-offs, and synergies. Ecosyst. Serv. 2017, 28, 261–263. [Google Scholar] [CrossRef]
- Dolschak, K.; Gartner, K.; Berger, T.W. The impact of rising temperatures on water balance and phenology of European beech (Fagus sylvatica L.) stands. Model. Earth Syst. Environ. 2019, 5, 1347–1363. [Google Scholar] [CrossRef] [PubMed]
- Allen, R.; Pereira, L.; Raes, D.; Smith, M. Crop Evapotranspiration Guidelines for Computing Crop Water Requirements; FAO Irrigation and Drainage Paper No 56; Food and Agriculture Organization of the United Nations: Rome, Italy, 1998. [Google Scholar]
- Leung, A.K.; Feng, S.; Vitali, D.; Ma, L. Temperature Effects on the Hydraulic Properties of Unsaturated Sand and Their Influences on Water-Vapor Heat Transport. J. Geotech. Geoenviron. Eng. 2020, 146, 06020003. [Google Scholar] [CrossRef]
- Marshall, T.J.; Holmes, J.W.; Rose, C.W. Soil Physics; Cambridge University Press: Cambridge, UK, 1996. [Google Scholar]








| Tree Individual | Species | Hillslope Zone | DBH (m) | Height (m) | Crown Area (m2) | LAI |
|---|---|---|---|---|---|---|
| 1 | Salix viminalis | Toe | 0.44 | 2.84 | 6.54 | 3.26 |
| 2 | Salix caprea | Middle | 0.20 | 4.93 | 13.05 | 3.63 |
| 3 | Salix caprea | Crest | 0.11 | 4.52 | 8.77 | 4.46 |
| Variable | Transect | Hillslope Zone | Interpolation | Model | AIC |
|---|---|---|---|---|---|
| θv | Fallow | Toe | None | ||
| Middle | Linear | ||||
| ARIMA | ARIMA(1,0,0) | −2815 | |||
| Crest | ARIMA | ARIMA(0,1,0) | −399 | ||
| Willow-vegetated | Toe | ARIMA | ARIMA(4,0,0); | −1361 | |
| Middle | ARIMA | ARIMA(2,1,1) | −2438 | ||
| Crest | ARIMA | ARIMA(2,1,0) | −1208 | ||
| φ | Fallow | Toe | None | ||
| ARIMA | ARIMA(5,1,2) | 4685 | |||
| Crest | Linear | ||||
| ARIMA | ARIMA(3,2,1) | 4725 | |||
| Willow-vegetated | Toe | Linear | |||
| ARIMA | ARIMA(3,1,3) | 3572 | |||
| Middle | Linear | ||||
| ARIMA | ARIMA(4,1,4) | 3742 | |||
| Crest | Linear | ||||
| ARIMA | ARIMA(1,1,1) | 4539 |
Publisher’s Note: MDPI stays neutral with regard to jurisdictional claims in published maps and institutional affiliations. |
© 2020 by the authors. Licensee MDPI, Basel, Switzerland. This article is an open access article distributed under the terms and conditions of the Creative Commons Attribution (CC BY) license (http://creativecommons.org/licenses/by/4.0/).
Share and Cite
Gonzalez-Ollauri, A.; Mickovski, S.B. The Effect of Willow (Salix sp.) on Soil Moisture and Matric Suction at a Slope Scale. Sustainability 2020, 12, 9789. https://doi.org/10.3390/su12239789
Gonzalez-Ollauri A, Mickovski SB. The Effect of Willow (Salix sp.) on Soil Moisture and Matric Suction at a Slope Scale. Sustainability. 2020; 12(23):9789. https://doi.org/10.3390/su12239789
Chicago/Turabian StyleGonzalez-Ollauri, Alejandro, and Slobodan B. Mickovski. 2020. "The Effect of Willow (Salix sp.) on Soil Moisture and Matric Suction at a Slope Scale" Sustainability 12, no. 23: 9789. https://doi.org/10.3390/su12239789
APA StyleGonzalez-Ollauri, A., & Mickovski, S. B. (2020). The Effect of Willow (Salix sp.) on Soil Moisture and Matric Suction at a Slope Scale. Sustainability, 12(23), 9789. https://doi.org/10.3390/su12239789
