Next Article in Journal
Therapeutic Qualities and Sustainable Approach to Heritage of the City. The Coastal Strip in Gdańsk, Poland
Next Article in Special Issue
Estimating the True Size of Public Procurement to Assess Sustainability Impact
Previous Article in Journal
Styrene and Bioaerosol Removal from Waste Air with a Combined Biotrickling Filter and DBD–Plasma System
Previous Article in Special Issue
Advancement of Green Public Purchasing by Category: Do Municipality Green Purchasing Policies Have Any Role in Japan?
 
 
Font Type:
Arial Georgia Verdana
Font Size:
Aa Aa Aa
Line Spacing:
Column Width:
Background:
Article

Sustainable Public Procurement in Central European Countries. Can It Also Bring Savings?

Department of Regional Science and Management, Faculty of Economics, Technical University, Kosice 040 01, Slovakia
*
Author to whom correspondence should be addressed.
Sustainability 2020, 12(21), 9241; https://doi.org/10.3390/su12219241
Submission received: 5 October 2020 / Revised: 29 October 2020 / Accepted: 3 November 2020 / Published: 6 November 2020
(This article belongs to the Special Issue Prospects and Challenges of Sustainable Public Purchasing)

Abstract

The efficiency of public resource use and its strategic framework with respect to sustainable public procurement policies, such as the most economically advantageous tender (hereafter MEAT), has become an important topic nowadays. Therefore, the study examines the determinants of savings creation within MEAT in Central European countries. It uses a dataset published in the Tenders Electronic Daily database in 2017–2018 about contract award notices and carries out a generalized linear model to study the determinants of savings creation within MEAT. The findings suggest that when services are procured within MEAT, the savings are considerably higher than compared to works. If the framework agreement takes place in a procurement process, the savings are significantly smaller. In cases where the subject of procurement is not co-financed by EU funds, the savings are higher than in the case that they are. If an open type of procurement is used, the savings are seemingly smaller than in cases where a non-open type of procurement takes place. When the contract is awarded to a single supplier, the savings are higher than otherwise. A higher number of total offers, as well as a higher number of offers from small and medium-sized enterprises, induce higher savings. It can be concluded that the use of sustainable public procurement subtly reduces the creation of savings.

1. Introduction

The sustainability of public spending is a key issue for many EU Member States, gaining even greater momentum in the ongoing coronavirus pandemic. The Recovery Plan for Europe and the Multiannual Financial Framework (MFF) proposed by the European Commission (EC) to help repair the economic and social damage caused by the coronavirus pandemic, kick-start the European economy, and create and protect jobs provide a framework for implementing structural reforms across the EU [1]. According to the European Council, the Recovery Plan for Europe will require massive public and private sector investment at the European level in order for the Union to stand firmly on the path to a sustainable and resilient recovery whilst supporting green and digital priorities [2]. While some investments at the Member State level may focus on structural–systemic reforms requiring legislative, conceptual, or other fundamental changes, many other investments may focus on infrastructure projects. This will represent a major challenge for all stakeholders to ensure that the public money from the MFF is used to get sustainable value for money. Regardless of how public resources are spent, it should be borne in mind that, within the EU legislative framework, public authorities must procure services, goods, or works in accordance with the rules and procedures laid down by the EU public procurement legislation.
Public procurement is the process of acquiring goods, services, and works through public contracts. It plays a key role in the EU as one of the market-oriented tools to achieve smart, sustainable, and inclusive growth while ensuring the most efficient use of public funds [3]. The EC estimates that 14% of EU GDP is spent through public procurement. Given this significant amount of public finance, public procurement is considered to be a fundamental element of the investment ecosystem [4] (p. 2). In the context of the modernized legislative framework represented by the EU Public Procurement Directives, adopted in 2014, public procurement has become a tool for promoting environmental, social, and R&D policies across the EU.
The definitions of sustainable public procurement (SPP) vary. Walker et al. have defined SPP “as the pursuit of sustainable development objectives through the purchasing and supply process” [5]. Meehan and Bryde see SPP as “the acquisition of goods and services in a way that ensures that there is the least impact on society and the environment throughout the full life cycle of the product” [6]. Finally, the EC describes SPP as the “process by which public authorities seek to achieve the appropriate balance between the three pillars of sustainable development—economic, social and environmental—when procuring goods, services or works at all stages of the project” [7]. According to the definition provided by the European Commission, SPP includes economic, social, and environmental aspects. This fully corresponds to Grandia and Kruyen who note that the European Commission’s definition includes the triple bottom line dimensions often referred to as the three Ps: People (social), Planet (environmental), and Profit (economic) [8]. In addition to the definitions provided, the innovative aspects of procurement should also be included because innovation is considered a key driver to sustainability [9].
The purpose of this paper is to study the extent to which SPP, defined by most economically advantageous tender (MEAT) criteria, is used within Visegrad Group countries (Poland, Czech republic, Slovak Republic and Hungary), as well as to analyze the factors that influence the potential savings of SPP. The revision of the MEAT criteria introduced by the new EU public procurement directives is one of the tools through which contracting authorities achieve performance based on the best price–quality ratio (BPQR). Like the EU public procurement directives, the World Trade Organization’s Agreement on Government Procurement (GPA) allows tenders to be evaluated based on the criteria that will allow the contracting authority to obtain the most advantageous tender [10]. The application of MEAT criteria by contracting authorities is one of several tools for implementing SPP. Other tools include the application of socially, environmentally, or innovation-oriented technical specifications, exclusion criteria, or special contract performance clauses [11,12,13].
Most previous studies on SPP have focused more on the application of only one aspect of SPP, such as the environmental [14,15,16,17] rather than on the social or innovative aspects in public procurement. In addition, as noted by Cheng, Appolloni, D’Amato, and Zhu, in some cases the term sustainable procurement is used to refer to Green Public Procurement (GPP) [18]. Several other studies point to challenges that make it difficult to integrate environmental considerations into public procurement and identify opportunities to overcome barriers and support GPP policies [19,20,21,22]. However, there have been exceptions and some previous studies have focused on the application of social aspects in specific types of the procurement process, such as food procurement (see e.g., Stefani, Tiberti, Lombardi, Cei, and Sacchi, 2017) [23]. Günther and Scheibe have focused on the way in which certain procedures could increase the implementation of SPP [19]. Other studies (see e.g., Bernal et al., 2019) focus on identifying possible strategies for including social aspects in public procurement [24], or the collaboration between the contracting authority and supplier (see e.g., Witjes and Lozano, 2016) [25]. However, most previous studies have worked with different operationalizations or conceptualizations of SPP, making it impossible to provide an overview of how much SPP, including its subcategories, is implemented and what patterns appear therein [8].
The use of the MEAT criteria as one of the award criteria and its effects has been the subject of several studies. Stake [26] has investigated the effect of the MEAT criteria on small and medium-sized enterprises (SMEs) in public procurement. The study used procurement data from Sweden and found no significant effect on SME participation in procurement calls for tenders as a result of using MEAT in firm evaluations. Grandia and Kruyen used the text mining technique to analyze more than 140,000 Belgian public procurement notices and found that the use of MEAT criteria by contracting authorities was no prerequisite for SPP [8]. Bergman and Lundberg [27] argue that price–quality scoring is inappropriate, because it is non-transparent and open to strategic manipulations as a result of depending on irrelevant alternatives. Nemec and Grega [28] used regression analysis to examine procurement award notices in Slovakia and found that using the lowest price leads to higher savings rather than using the MEAT criteria. Igarashi et al. [29] point out that contracting authorities typically avoid preferring green criteria over conventional criteria. Green criteria are used rather than qualifiers or are directly incorporated into conventional criteria. According to Appolloni, Coppola, and Piga [30], the reasons for the rare use of environmental considerations in public procurement can be found in the lack of appropriate regulations at the national and international level or in the insufficient training of procurement staff.
The issue of SPP, or rather its individual aspects, has been a widely discussed topic in response to climate change or social inequality. This deserves more attention in terms of the public finances which public authorities spend in the public procurement process. Therefore, investigating the use of the MEAT criteria within aspects of SPP and their impact on the public procurement process is a major focus of this paper. It will investigate public procurement elements such as procedures, contract types, estimated prices, final prices, and savings from an empirical standpoint.
To this end, we devote our attention to two main research questions:
RQ1:
To what extent are the SPP aspects used in MEAT criteria?
RQ2:
What is the impact of different procurement factors on creating savings in public procurement using MEAT?
It will use basic descriptive statistical methods to analyze contract award notices published in 2017–2018 by Slovak, Czech, Hungarian, and Polish contracting authorities in Tender Electronics Daily (TED) [31]. A generalized linear model was also created with a continuous dependent variable—savings. This can be measured as the percentage difference between the estimated and final price of the contract.
Following the above, the hypothesis was formulated as follows: “MEATs using the SPP criteria generate lower savings than MEATs without SPP criteria”.
This paper is structured as follows. Section 2 provides details regarding the dataset and methodology used in the research. Section 3 contains the findings, followed by the discussion in Section 4, while Section 5 is devoted to the conclusion.

2. Materials and Methods

The current research examined contract award notices (CANs) published in the TED database in 2017–2018. The basis of the dataset consists of over 700,000 CANs, sent to TED by contract authorities in Slovakia, Poland, the Czech Republic, and Hungary. As a result of their transformation from forms sent electronically for publication by the contracting authorities, the available data represent the so-called flat data, so each notice applies to each individual contract awarded to an individual supplier [32] (p. 4). The data contained in the original dataset only included notices that resulted in a contract, not those later canceled. The study excluded data relating to contracts awarded based on the lowest price criterion and data on procurements outside the scope of EU public procurement directives. Finally, only data were included from contracts awarded after the end of the 24-month transposition period (18 April 2016) to harmonize Member States’ legislation with the provisions of EU Public Procurement Directives adopted in 2014. For the needs of the current research, a dataset was obtained consisting of 112,272 CANs, for which MEAT was used to award the contract. However, CANs without data on the estimated contract price had to be excluded. This led to a serious reduction in the number of contracts examined and left a final total of 52,435 contracts. For the purpose of the research, only those CANs for which the percentage saving was calculated as the difference between the estimated price and the final price of the contract from the interval [−100, 75] were considered. This was done due to fact that values outside this interval could have been caused by wrong data insertion by clerks who are in charge of it and institution representatives.
Following this, the MEAT criteria that included one or more aspects of SPP were identified. To this end, four categories of aspects were developed through which SPP policy is implemented. In these, individual MEATs based on keywords and their language mutations were included.
The first category represents environmental aspects and is often referred to as Green Public Procurement (GPP). The EC defines GPP [33] (p. 4) as “a process whereby public authorities seek to procure goods, services and works with a reduced environmental impact throughout their life-cycle when compared to goods, services and works with the same primary function that would otherwise be procured”. The GPP is thus a policy tool designed to increase environmental protection and develop more environmentally sustainable economies [17]. The basic concept of GPP is based on the introduction of common environmental standards for technical specifications, award criteria, as well as contract performance clauses. Consistent application of GPP can lead to mutually beneficial situations where the reduction of environmental burdens is associated with a reduction in the related costs [34]. In other words, reducing environmental burdens through the green criteria set out in procurement may be reflected in future reductions in government spending on health care or environmental remediation. This category therefore includes criteria for evaluating bids in the form of, e.g., emission and toxicity reduction, various environmental certificates, environmentally focused qualifications of workers, waste recovery, and efficient use of resources.
The second category includes social aspects and is referred to as Socially Responsible Public Procurement (SRPP). This is defined by the EC as procurement processes that take one or more social considerations into account, such as decent work, job opportunities, compliance with social and working condition rights, social inclusion, and access for all [12] (p. 7). The main purpose of the SRPP is to achieve societal objectives, such as the promotion of employment and equal opportunities, and inclusion and accessibility [35], by setting common standards for products and services, award criteria, as well as contract performance clauses. Therefore, as in the case of GPP, the application of social aspects may need to be considered as an investment with a return in the future. Successful application of aspects such as the social inclusion of disadvantaged groups, the promotion of safety and health, or the creation of new jobs may lead to future savings in government spending on social security or health care that governments would otherwise have to spend. Socially oriented MEAT criteria focus on, e.g., improving the access of the underprivileged, long-term unemployed, or disabled citizens to the labor market, better wage conditions and safer working environments, and fair trade or supporting local suppliers.
The third group of MEAT criteria, created for the needs of the current research, contains a combination of criteria focused on the science, research, innovation, and economic sustainability of the subject of the contract. The criteria for research, development, or innovation include, for example, the form of innovative elements, development methodology, or the performance of related research activities. Economic sustainability is generally a factor related to environmental, social, or innovation aspects, and in some cases, it is difficult to distinguish which of these aspects is preferred, especially when using cost-effectiveness in combination with environmental criteria. Economic sustainability criteria include criteria such as operating cost-effectiveness, operating costs of the subject of the contract, or life-cycle costs, if they cannot be included in the environmental criteria.
The last and fourth group of MEAT criteria used in the analysis is a combination of SPP-focused criteria included in the previous groups. This means that in case of SPP being defined by aspects from more than one category, it was included in this mixed group for further analysis.
A very brief overview of the division of procurement using MEAT criteria that are considered sustainable and other MEATs can be seen in Table 1 (row percentages are proposed). The proportion of sustainable public procurements (defined by particular MEAT criteria) in the total number of procurements is very low in V4 countries (only 4.5%). The highest share of MEAT criteria used in the procurement process is in Poland, followed by Hungary and the Czech Republic. Public procurements with MEAT criteria are very rarely used in Slovakia.
The distribution of individual groups using SPP-focused MEATs by country is shown in Table 2. Innovative aspects and aspects of economic sustainability represent more than half of all sustainable MEATs in the Czech Republic, with the smallest share of them in Hungary. The highest share of the use of environmental criteria can be seen in the case of Hungary. In the case of social aspects, these are most widely used in Poland, where they represent almost three quarters of all MEAT procurement following a sustainable public procurement policy.
In order to fulfil the main purpose of the paper, the potential savings of each CAN were calculated using the following formula:
S a v i n g = 100 { ( F i n a l   p r i c e E s t i m a t e d   p r i c e ) × 100 }
It is clear that in order to calculate the real savings, it would be necessary to compare the market prices with the final price of the contract. However, due to the lack of market price data, as well as the extensive dataset, the estimated contract price was used to calculate the savings. The same approach has also been used by Nemec et al. [28,36], Pavel [37], Kuhlman and Johnson [38], and Gavurova et al. [39]. Another reason why we did not use market prices is the excessive heterogeneity of the data sample used, which contains data on procurement in several economic sectors. The estimated price therefore represents the value of the contract determined by the relevant contracting authority as estimated in accordance with the provisions of Article 5 of Directive 2014/24/EU [3]. The final price represents the value of the tender submitted by the successful tenderer in the relevant contract.
After calculating the potential saving, a generalized linear model was constructed to better understand how savings are created. At the beginning of the econometric modelling, we started with as many as possible explanatory variables and during the analysis we gradually, step by step, removed statistically insignificant variables. The formal equation of the final model is:
S a v i n g = β 0 + β 1 T y p e   o f   c o n r a c t i + β 2 F r a m e   a g r e e m e n t i + β 3 E U   f u n d s i + β 4 T y p e   o f   p r o c u r e m e n t i + β 5 C o n s o r t i u m i + β 6 N u m b e r   o f   o f f e r s i + β 7 N u m b e r   o f   o f f e r s   b y   S M E s i + β 8 S u s t a i n a b l e   p u b l i c   p r o c u r e m e n t i + ε i
The dependent variable in the model is savings. This is a continuous variable and can reach values from (100,75). The type of contact is a nominal variable and has three values: services, utilities, and works. The framework agreement is a dichotomous variable which indicates whether public procurement was done by framework agreement. EU funds is a binary variable and indicates whether the contract is related to a project or program financed by EU funds [32] (p. 18). The type of procurement is a nominal variable which provides information about the procedure of public procurement. There are two possible cases considered—open procedure or other non-open procedures, such as competitive dialogue, innovative partnership, negotiated with a call for competition, negotiated without a call for competition, and a restricted procedure. The consortium variable indicates if the contract has been awarded to a group of economic operators [32] (p. 21). The number of offers is a continuous variable which gives information about the number of offers that have been proposed by competitors. The number of offers by SMEs indicate the number of offers that have been proposed by small and medium enterprises. Sustainable public procurement is a binary variable that indicates whether the MEAT used in public procurement focused on any aspects of sustainable public procurement or not.
The test of the model effects is shown in Table 3. According to the p values, the null hypothesis of zero effect significance of the explanatory variables can be rejected. Thus, all considered explanatory variables have some discernible effect on the dependent variable. A test of the significance of the model was also run, where the hypotheses are as follows:
Hypothesis H0:
The suggested model is not significantly suitable for the data.
Hypothesis H1:
The suggested model is significantly suitable for the data.
The likelihood-ratio chi-square is 1038.508 on 14 degrees of freedom, with p value <0.001. Thus, the null hypothesis can be rejected that involves the idea that explained variance in a set of data is significantly smaller than the unexplained variance.

3. Results

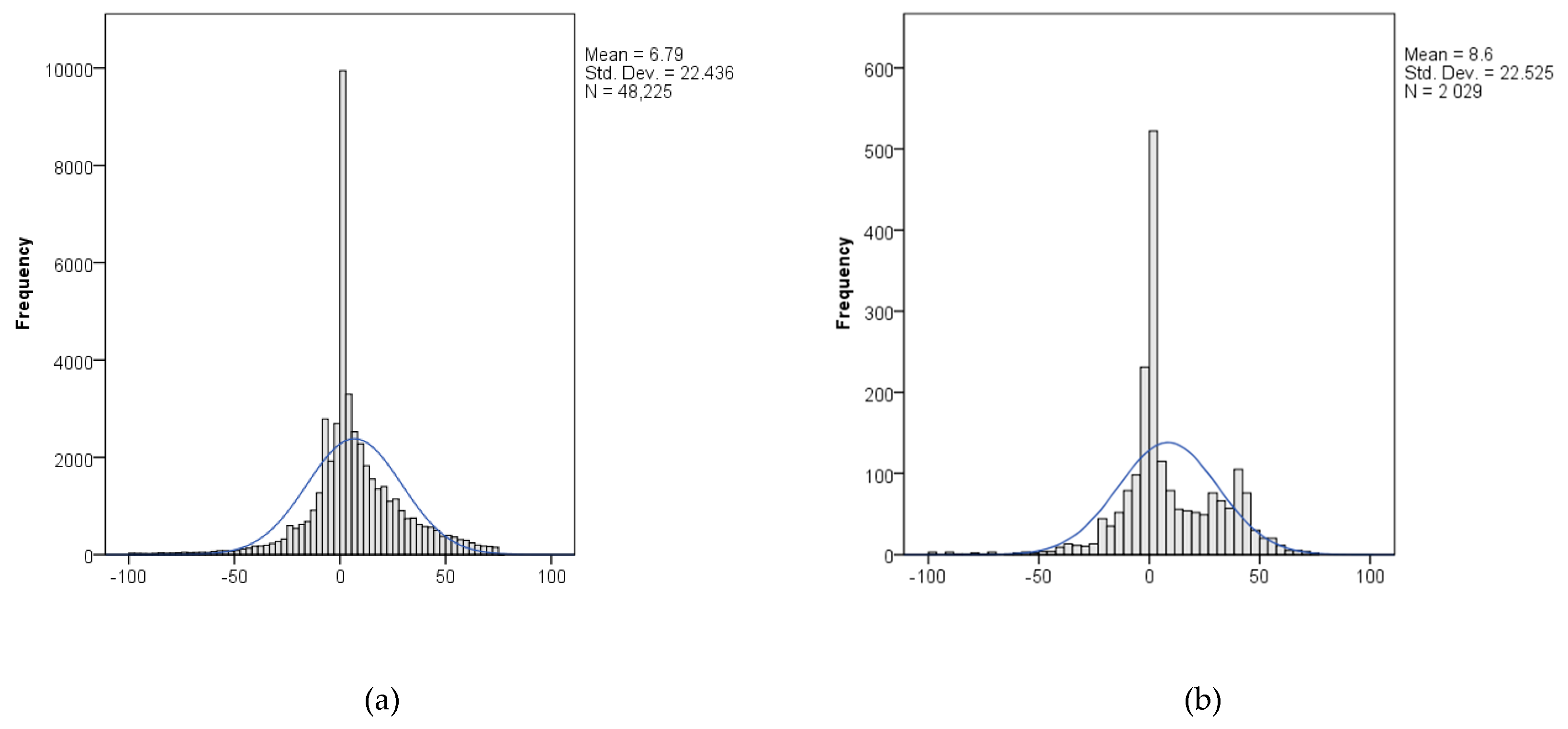
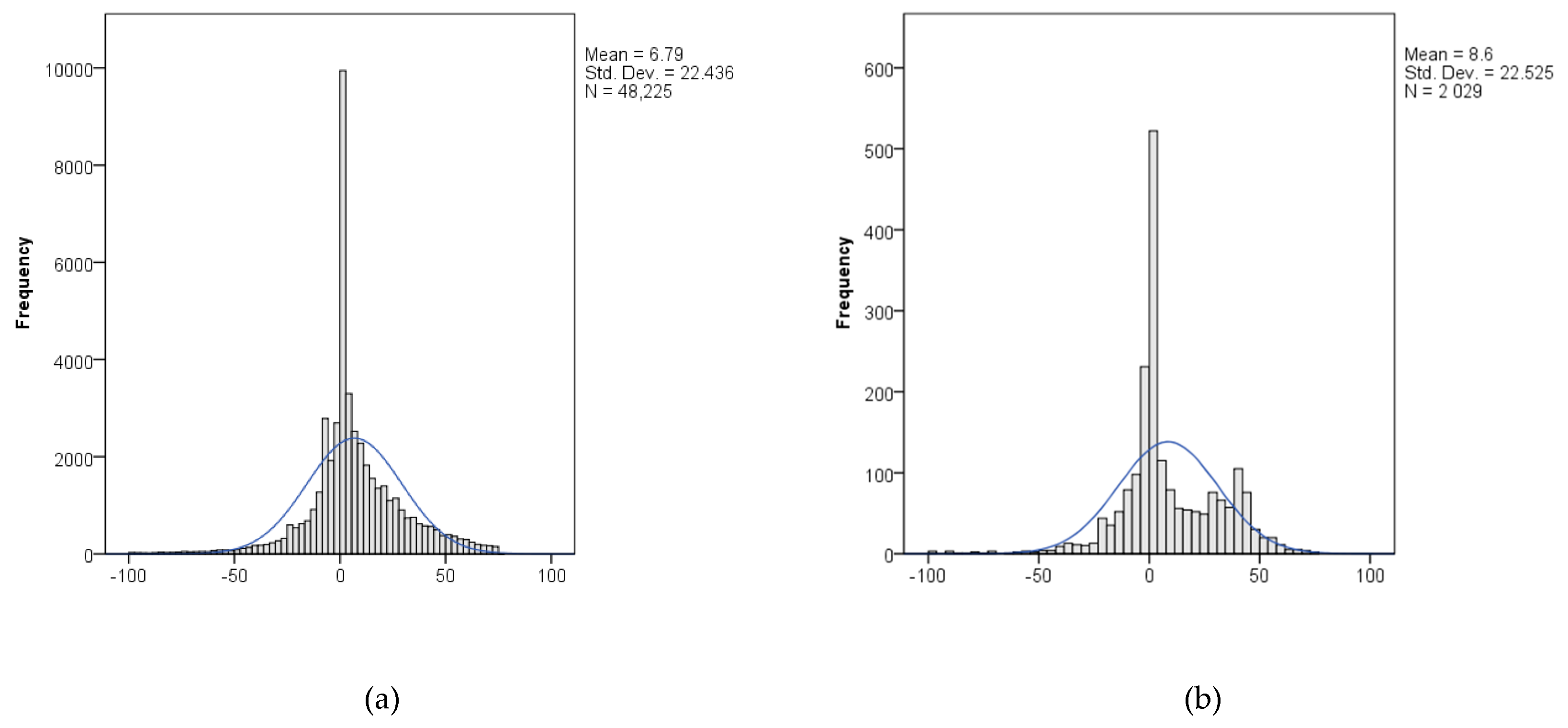
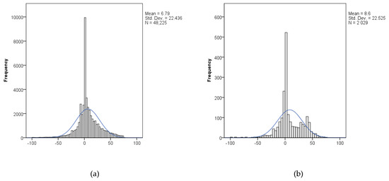
The first finding that can be drawn from the data is that the average savings according to the procurement type are 6.79% in the case of non-SPP MEAT and 8.6% in the case of SPP-oriented MEAT. The distribution of savings is shown in Figure 1. The savings in the case of non-sustainable MEAT follow a somewhat normal distribution, with the majority of cases concentrated around zero as the average. On the other hand, in the case of sustainable-oriented MEAT, the distribution has two peaks, and the substantial part of savings is concentrated between 25% and 50% savings, as shown in Figure 1.
The average savings by SPP type are shown in Figure 2. It is evident that the savings reached in the SPP MEAT, which belong to the social aspect group, are significantly higher than the other ones. There are medium savings gained by the non-sustainable MEATs and MEATs covering environmental aspects. Finally, there are low savings gained in the group of the mixed aspects as well as the innovations and economic sustainability group.
The regression results are shown in Table 4. The first statistically significant explanatory variable is the type of contract. In the case of services, the savings are significantly higher than in the case of works. The coefficient for utilities was not found to be statistically significant. Secondly, in the case that there is no framework agreement within the public procurement, the savings are 10.5% higher than in the case of a framework agreement. If the subject of the procurement is not financed from EU funds, the savings are 4.7% higher in comparison to the cases funded from EU funds. In terms of the type of procurement, the study distinguishes between the open type of procurement and other non-open types of procurement. The current findings suggest that in cases where the open type of procurement is used, the savings are smaller than otherwise. In other words, if a non-open type of procurement is used, the savings are 15.732% higher than compared to an open type of procurement. There were slightly higher savings, by 4.5%, reported in cases where a contract was awarded to a single supplier rather than a group of suppliers. The higher the number of offers, the higher the competition is among competitors and thus higher savings are achieved. An increase in the number of offers by one induces an increase of savings by 3.2%. Moreover, the higher the number of offers made by SMEs, the higher the savings are (by 2%). If contracting authorities use criteria not focused on sustainable public procurement, the savings are 0.4% higher in comparison to the use of criteria focused on sustainable public procurement policy. This finding is somewhat in contrast with the fact that the average saving is 6.79% in the case of non-SPP MEAT and 8.6% in the case of SPP-oriented MEAT. This can be caused by fact that the difference in between average savings is not distinctive and the average value in the case of SPP is affected by high savings achieved in the case of SPP MEAT social aspects.

4. Discussion

From the current selection of data on contracts awarded, we can see considerable untapped potential in the application of MEAT criteria in evaluating tenders in Central Europe and particularly the V4 countries. The original dataset contained more than 700,000 CANs, awarded on the basis of either the lowest price criterion or MEAT. Contracts awarded through MEAT represent approximately 16% of the total number of contracts in the original dataset. This corresponds to the EC’s conclusions in the Single Market Scoreboard, where two out of three contracts were awarded on the basis of the lowest price criterion in Central European countries between 2016 and 2018 [40]. Among all Central European countries, Slovakia and the Czech Republic represent the countries with the lowest use of MEAT in the evaluation of offers. The award of contracts on the basis of the lowest price criterion was used in up to 85% of cases on average in the analyzed countries [40].
The results of the current research also show a marginal share of MEAT criteria focused on SPP policy. However, this does not mean that the contracting authorities in Central European countries do not pursue SPP policies. The use of MEAT criteria is only one of the ways to implement environmental, social, or innovation-oriented aspects in public procurement. It should be emphasized that the application of an environmental criterion in technical specifications, for example, or setting specific contract performance conditions, may seem to the contracting authorities to be an easier way than applying different formulas to evaluate the best quality–price ratio. The dominance of social and environmental aspects is probably related to the high level of attention paid to these issues, at both the national and European level. The low share of SPP-oriented criteria within MEAT, as well as the dominance of environmental criteria, correspond to the conclusions of the above-mentioned studies (see e.g., Grandia and Kruyen, 2020), according to which the use of MEAT for tender evaluation is not a prerequisite for SPP [8].
According to the analysis, the use of non-SPP MEATs increases the savings achieved. This can be explained by the different scale of relative weighting of the criteria set by the contracting authorities. It is possible that the relative weight of some price-related criteria is, in cases of SPP MEAT, low and the weight of the non-price criteria is dominant. As stated by Igarashi et al., the environmental criteria are usually given a low weight, which has a low impact on tender evaluation [29]. Such cases leave tenderers less room to adjust their bids on the price-related criteria side. It is common for contracting authorities to pursue EU horizontal policy objectives by setting various non-price criteria within the MEAT, such as the number of people employed to perform the contract or the amount of emissions. The criteria following the sustainability policy represent a qualitative extension of the classic MEAT criteria aimed at the best price–quality ratio directly related to the subject of the contract. The use of SPP MEAT may therefore result in additional costs for the supplier, which will be reflected in the final price of the contract. In other words, as in the case of the lowest price criterion, which leads to higher savings compared to MEAT (see e.g., Grega and Nemec, 2015) [28], the use of non-SPP MEAT has the same effect compared to SPP MEAT criteria. Contracting authorities are thus exposed to a “sustainability charge” in the form of increased costs caused by their requirements for the subject matter of the contract, which pursue “benefits that go beyond the mere acquisition of goods, services or works” [41] (p. 15).
The present results also suggest that a determinant with a significant impact on achieving savings in the use of MEAT is the award of contracts under a non-framework agreement. A framework agreement means an agreement between one or more contracting authorities and one or more economic operators. Its purpose is to establish the terms governing contracts to be awarded during a given period with regard to price in particular and the quantity envisaged [3]. They usually end up with several economic operators while individual contracts are awarded during the duration of the framework agreement on the basis of the so-called “second round”. Within this, the economic operators with whom the framework agreement was originally concluded compete with each other. The reason for achieving higher savings in awarding contracts without the use of framework agreements may be the absence of further rounds. In this case, suppliers must offer a competitive price from the beginning as they will no longer have the opportunity to adjust it further as in the case of a framework agreement. Another reason may be the higher transaction costs of the supplier, which cover the risk of the non-execution of the transaction, probably due to the nature of the framework agreement.
In terms of the procurement procedures used, the results have shown that the open procedure is the most widely used procedure. On the other hand, the results of the analysis indicate lower savings by using an open procedure in comparison to other procurement procedures. Other procurement procedures include a restricted procedure, competitive dialogue, or a negotiated procedure with or without prior publication. These procedures are characterized by at least a two-phase process. For example, a competitive dialogue is used to find and define the most appropriate way to meet the requirements of the contracting authority. It consists of a dialogue phase in which the contracting authorities discuss the subject matter of the contract and the bidding phase. The presumption of higher savings in the case of a competitive dialogue can be explained by its very purpose. It is possible to obtain better value for money through a dialogue between the contracting authority and the tenderer. Moreover, it will help the contracting authority to gain the necessary knowledge of what the market can actually deliver. Meehan and Bryde [6] point out that contractor engagement strategies are essential for SPP implementation. Through involvement in the form of a competitive dialogue, SPP-related requirements can be a key element of the contractual framework. It is widely acknowledged that the procurement process requires a high degree of flexibility and dialogue between contracting authorities and tenderers [22]. It is necessary to note that according to Article 30 (1) of the Directive 2014/24/EU, contracts in the competitive dialogue can only be awarded on the sole basis of the award criterion of the best price–quality ratio [3]. In this context, further research is needed on elements of other procurement procedures such as restricted or negotiated procedures with or without prior publication.
In the case of contracts co-financed by EU funds, it is logical that they do not achieve the same savings as in the case of other contracts. Reference should be made to the specific nature of the contracts financed by EU funds, which are the length of the approval process by the co-financing national authorities or the specific conditions for implementation such as the contractor’s obligation to be audited by different audit authorities. It is therefore clear that all conditions relating to either the process itself or the performance of the contracts are part of the supplier’s transaction costs, reflected in the final price.
However, it must be noted that the results of the research are affected by the absence of data, as well as the poor quality of the data itself. Due to the missing data on the estimated value, it was necessary to exclude almost half of the original dataset. A common example is the procurement of electricity, where the contracting authority provides an estimated price in a value which corresponds to the total quantity that will be delivered during the duration of the contract. However, it only states the price per unit as the final price. These cases subsequently lead to the reporting of extreme savings or overpricing. The reason for these errors may be the human factor, the inconsistent methodology for determining the estimated value of the contract, or the efforts of contracting authorities to report high savings to the public. It should be noted that the purpose of the estimated contract price is primarily to determine whether the contract meets the financial thresholds set by EU procurement directives for stricter procurement procedures. On the other hand, the estimated value of the contract serves as a reference framework for setting minimum requirements for the tenderer’s turnover or a reference for proving the tenderer’s experience [3].
Another weak part of the research is the fact that during the categorization of the contracts into groups according to the individual aspects, the weight of the individual criteria which were set within MEAT by the contracting authorities were not taken into account. However, these deficits form the basis for further research. This research could be focused on the evaluation of various aspects of SPP policies set by the contracting authorities in the MEAT criteria, their relative weights, and the impact of their use on the number of tenders, SMEs, or other elements of public procurement.

5. Conclusions

The European Commission supports the implementation of SPP within all EU countries. However, the Central European countries (especially V4 countries) lag behind in the implementation of new EU regulations. The first aim of the current research was to analyze the share of SPP among other types of public procurement in these countries. The data from the TED database 2017–2018 were used as the basic input for the analysis. In order to isolate SPP, four groups of MEAT criteria (economic, social, environmental, and mixed) were used.
To answer the first research question (RQ1) stated in Section 1, the share of procurements with SPP MEAT criteria was isolated from the dataset. Only 4.5% of procurements in V4 countries used SPP MEAT criteria within the procurement process. This is a relatively low number. Significant differences were found by analysis of the distribution of SPP MEAT criteria in procurement processes among V4 countries. The highest share of SPP MEAT criteria in procurement processes in the analyzed dataset was found in Poland (81.5%), followed by Hungary (10.2%) and Czech Republic (7.6%). The share of SPP MEAT criteria in Slovakia was only 0.6%.
The second research question (RQ2) focused on the impact of various procurement factors on the creation of savings in procurement using MEAT criteria. In regression analysis, the influence of seven different procurement factors on potential savings were analyzed. The results are described in detail in Section 3 and are further discussed in Section 4, but results can be summarized as follows. When considering the type of contract, the highest savings can be obtained in services when using MEAT criteria. There are lower savings when using the open procedure and in the case that the object of the procurement is funded by EU structural funds. In this context, it is also important to note that the use of framework agreements significantly reduce the generation of potential savings in procurement. On the other hand, when a contract is awarded to a single economic operator, savings increase. The same effect, higher savings, are observed in cases when the number of offers from SMEs increases and the total number of offers increases.
Two implications for practice can be derived from our research. According to our research, the minimum weight of SPP MEAT criteria should be determined by the policy makers to be able to consider the procurement process as sustainable public procurement. This could help to reach SPP policy aims more efficiently. Secondly, according to our results, the inclusion of SPP MEAT criteria does not significantly influence the potential savings of procurement. Therefore, contracting authorities should not be afraid of an unusually high negative impact of SPP MEAT criteria on final prices.
For further research, the authors recommended investigating the various aspects of SPP within MEAT criteria and their impact on individual elements of procurement. In the case of a very low weight of SPP MEAT criterion, the aim of SPP policy remains unfulfilled and the only positive result is good looking statistic reports from public authorities. This policy issue can be solved by defining the minimum weight of SPP within MEAT criteria in public procurement in order to report them as SPP. Sustainable MEAT criteria should be the optimal combination of indicators that measure economic efficiency and those that quantify social responsibility and environmental resilience. The minimum level of these indicators or their relative weights should be set through procurement legislation. However, it is important that any future regulations in this area consider the specificities related to the procurement of goods, services, or works.
In addition to the original focus of this article, the authors state that the current situation related to the COVID-19 pandemic and its impact on European public procurement markets should be considered in further research. Because the initial findings show a relatively widespread (almost 50% share on open procurement procedures) application of the so-called non-competitive procedures in the form of negotiated procedures without a call for competition [42]. Therefore, future research will need to focus on the extent to which the horizontal policy measures originally set to meet environmental or social objectives are applied.

Author Contributions

Conceptualization, P.D. and P.N.; methodology, M.K.; formal analysis, M.K.; data curation, P.N.; writing—original draft preparation, P.N., P.D. and M.K.; writing—review and editing, P.N., P.D. and M.K. All authors have read and agreed to the published version of the manuscript.

Funding

This work was supported by the Slovak Research and Development Agency under the Contract no. APVV-19-0263.

Conflicts of Interest

The authors declare no conflict of interest.

References

  1. European Commission. Recovery Plan for Europe. 2020. Available online: https://ec.europa.eu/info/live-work-travel-eu/health/coronavirus-response/recovery-plan-europe_en (accessed on 14 September 2020).
  2. European Council. Special meeting of the European Council (17, 18, 19, 20 and 21 July 2020)—Conclusions. 2020. Available online: https://www.consilium.europa.eu/media/45109/210720-euco-final-conclusions-en.pdf (accessed on 13 September 2020).
  3. European Union. Directive 2014/24/EU of the European Parliament and of the Council on Public Procurement and Repealing Directive 2004/18/EC. Off. J. Eur. Union. 2014, 57, 65–242. [Google Scholar]
  4. European Commission. Making Public procurement work in and for Europe. 2017. Available online: https://ec.europa.eu/docsroom/documents/25612 (accessed on 13 September 2020).
  5. Walker, H.; Miemczyk, J.; Johnsen, T.; Spencer, R. Sustainable procurement: Past, present and future. J. Purch. Supply Manag. 2012, 18, 201–206. [Google Scholar] [CrossRef]
  6. Meehan, J.; Bryde, D. Sustainable procurement practice. Bus. Strat. Environ. 2011, 20, 94–106. [Google Scholar] [CrossRef]
  7. European Union. Green and Sustainable Public Procurement. 2019. Available online: https://ec.europa.eu/environment/gpp/versus_en.htm (accessed on 10 September 2020).
  8. Grandia, J.; Kruyen, P.M. Assessing the implementation of sustainable public procurement using quantitative text-analysis tools: A large-scale analysis of Belgian public procurement notices. J. Purch. Supply Manag. 2020, 100627. [Google Scholar] [CrossRef]
  9. Silvestre, B.S.; Ţîrcă, D.M. Innovations for sustainable development: Moving toward a sustainable future. J. Clean. Prod. 2019, 208, 325–332. [Google Scholar] [CrossRef]
  10. World Trade Organization. Revised Agreement on Government Procurement. 2014. Available online: https://www.wto.org/english/docs_e/legal_e/rev-gpr-94_01_e.htm (accessed on 26 October 2020).
  11. European Union. Buying Green, a Handbook of Green Public Procurement. 2016. Available online: https://ec.europa.eu/environment/gpp/pdf/Buying-Green-Handbook-3rd-Edition.pdf (accessed on 16 September 2020).
  12. European Union. Buying Social, a Guide to Taking Account of Social Considerations in Public Procurement. 2010. Available online: https://op.europa.eu/en/publication-detail/-/publication/cb70c481-0e29-4040-9be2-c408cddf081f (accessed on 17 September 2020).
  13. European Union. Buying for Social Impact. Good Practice from around the EU. 2020. Available online: https://op.europa.eu/en/publication-detail/-/publication/3498035f-5137-11ea-aece-01aa75ed71a1 (accessed on 16 September 2020).
  14. Lundberg, S.; Marklund, P.-O.; Strömbäck, E.; Sundström, D. Using public procurement to implement environmental policy: An empirical analysis. Environ. Econ. Policy Stud. 2015, 17, 487–520. [Google Scholar] [CrossRef]
  15. Nasiche, F.; Ngugi, G.K. Determinants of adoption of green procurement in the public sector—A case study of Kenya Pipeline Company. Int. J. Soc. Sci. Entrep. 2014, 1, 1–21. [Google Scholar]
  16. Testa, F.; Iraldo, F.; Frey, M.; Daddi, T. What factors influence the uptake of GPP (green public procurement) practices? New evidence from an Italian survey. Ecol. Econ. 2012, 82, 88–96. [Google Scholar] [CrossRef]
  17. Yu, C.; Morotomi, T.; Yu, H. What Influences Adoption of Green Award Criteria in a Public Contract? An Empirical Analysis of 2018 European Public Procurement Contract Award Notices. Sustainability 2020, 12, 1261. [Google Scholar] [CrossRef]
  18. Cheng, W.; Appolloni, A.; D’Amato, A.; Zhu, Q. Green Public Procurement, missing concepts and future trends—A critical review. J. Clean. Prod. 2018, 176, 770–784. [Google Scholar] [CrossRef]
  19. Günther, E.; Scheibe, L. The hurdle analysis. A self-evaluation tool for municipalities to identify, analyse and overcome hurdles to green procurement. Corp. Soc. Responsib. Environ. Manag. 2006, 13, 61–77. [Google Scholar] [CrossRef]
  20. Thomson, J.; Jackson, T. Sustainable procurement in practice: Lessons from local government. J. Environ. Plan. Manag. 2007, 50, 421–444. [Google Scholar] [CrossRef]
  21. Swanson, M.; Weissman, A.; Davis, G.; Socolof, M.L.; Davis, K. Developing priorities for greener state government purchasing: A California case study. J. Clean. Prod. 2005, 13, 669–677. [Google Scholar] [CrossRef]
  22. Uttam, K.; Roos, C.L.L. Competitive dialogue procedure for sustainable public procurement. J. Clean. Prod. 2015, 86, 403–416. [Google Scholar] [CrossRef]
  23. Stefani, G.; Tiberti, M.; Lombardi, G.V.; Cei, L.; Sacchi, G. Public food procurement: A systematic literature review. Int. J. Food Syst. Dyn. 2017, 8, 270–283. [Google Scholar] [CrossRef]
  24. Bernal, R.; San-Jose, L.; Retolaza, J.L. Improvement Actions for a More Social and Sustainable Public Procurement: A Delphi Analysis. Sustainability 2019, 11, 4069. [Google Scholar] [CrossRef]
  25. Witjes, S.; Lozano, R. Towards a more Circular Economy: Proposing a framework linking sustainable public procurement and sustainable business models. Resour. Conserv. Recycl. 2016, 112, 37–44. [Google Scholar] [CrossRef]
  26. Stake, J.Y. Evaluating quality or lowest price: Consequences for small and medium-sized enterprises in public procurement. J. Technol. Transf. 2017, 42, 1143–1169. [Google Scholar] [CrossRef]
  27. Bergman, M.A.; Lundberg, S. Tender evaluation and supplier selection methods in public procurement. J. Purch. Supply Manag. 2013, 19, 73–83. [Google Scholar] [CrossRef]
  28. Grega, M.; Nemec, J. Factors Influencing Final Price of Public Procurement: Evidence from Slovakia. Procedia Econ. Finance 2015, 25, 543–551. [Google Scholar] [CrossRef]
  29. Igarashi, M.; De Boer, L.; Michelsen, O. Investigating the anatomy of supplier selection in green public procurement. J. Clean. Prod. 2015, 108, 442–450. [Google Scholar] [CrossRef]
  30. Appolloni, A.; Coppola, M.A.; Piga, G. Implementation of Green Considerations in Public Procurement: A Means to Promote Sustainable Development. In Green Public Procurement Strategies for Environmental Sustainability; Shakya, R.K., Ed.; IGI Global: Hershey, PA, USA, 2019; pp. 23–44. [Google Scholar] [CrossRef]
  31. The European Commission. Tenders Electronic Daily (csv subset)–Public Procurement Notices. 2019. Available online: https://data.europa.eu/euodp/en/data/dataset/ted-csv (accessed on 20 August 2020).
  32. EU Open Data Portal. TED (csv) Data Information. 2019. Available online: https://data.europa.eu/euodp/repository/ec/dg-grow/mapps/2019/TED(csv)_data_information_v3.2.pdf (accessed on 10 March 2020).
  33. European Commission. Public Procurement for a Better Environment. COM(2008) 400 Final. 2008. Available online: https://eur-lex.europa.eu/LexUriServ/LexUriServ.do?uri=COM:2008:0400:FIN:EN:PDF (accessed on 18 September 2020).
  34. Appolloni, A.; D’Amato, A.; Cheng, W. Is Public Procurement Going Green? Experiences and Open Issues. SSRN Electron. J. 2011. [Google Scholar] [CrossRef]
  35. Cravero, C. Socially Responsible Public Procurement and Set-Asides: A Comparative Analysis of the US, Canada and the EU. Arct. Rev. Law Politi. 2017, 8, 8. [Google Scholar] [CrossRef]
  36. Nemec, J.; Kubak, M.; Krapek, M.; Horehajova, M. Competition in Public Procurement in the Czech and Slovak Public Health Care Sectors. Healthcare 2020, 8, 201. [Google Scholar] [CrossRef]
  37. Pavel, J. Analýza vlivu míry konkurence na cenu rozsáhlých staveb dopravní infrastruktury. Politická Ekon. 2010, 58, 343–356. (In Czech) [Google Scholar] [CrossRef]
  38. Kuhlman, J.M.; Johnson, S.R. The Number of Competitors and Bid Prices. South. Econ. J. 1983, 50, 213. [Google Scholar] [CrossRef]
  39. Gavurova, B.; Mikeska, M.; Huculova, E. Evaluation of selected determinants of public procurement in the health sector. Adm. Manag. Public 2020, 34, 45–63. [Google Scholar] [CrossRef]
  40. European Commission. Single Market Scoreboard. Public Procurement. 2020. Available online: https://ec.europa.eu/internal_market/scoreboard/performance_per_policy_area/public_procurement/index_en.htm (accessed on 23 September 2020).
  41. Arrowsmith, S.; Treumer, S.; Fejø, J.; Jiang, L. Public Procurement Regulation: An Introduction. 2011. Available online: https://nottingham-repository.worktribe.com/preview/1010473/eprintspublicprocurementregulationintroduction.pdf (accessed on 26 September 2020).
  42. Tenders Electronic Daily (TED)—The European Public Procurement Journal. COVID-19-Related Tenders. Available online: https://simap.ted.europa.eu/web/simap/covid-related-tenders (accessed on 26 October 2020).
Figure 1. Savings—SPP vs. non SPP. (a) non SPP MEAT, (b) SPP MEAT.
Figure 1. Savings—SPP vs. non SPP. (a) non SPP MEAT, (b) SPP MEAT.
Sustainability 12 09241 g001
Figure 2. Average Savings by SPP Group.
Figure 2. Average Savings by SPP Group.
Sustainability 12 09241 g002
Table 1. Proportion of Sustainable Public Procurement (SPP) Most Economically Advantageous Tenders (MEATs) and Non-SPP MEATs by Country.
Table 1. Proportion of Sustainable Public Procurement (SPP) Most Economically Advantageous Tenders (MEATs) and Non-SPP MEATs by Country.
Country/Procurement TypeCzech RepublicHungaryPolandSlovak Republic
Non-SPP MEAT3.3%4.1%92.5%0.1%
SPP MEAT7.6%10.2%81.5%0.6%
Source: Authors.
Table 2. Distribution of Individual SPP MEAT Groups by Country.
Table 2. Distribution of Individual SPP MEAT Groups by Country.
Country/Sustainability AspectCzech RepublicHungaryPolandSlovak Republic
Environmental aspects24.3%64.4%11.9%35.7%
Innovations and Economic sustainability51.4%2.1%8.5%28.6%
Mixed aspects11.6%15.9%6.1%28.6%
Social aspects12.7%17.6%73.5%7.1%
Source: Authors.
Table 3. Test of Model Effects.
Table 3. Test of Model Effects.
Variable Wald Chi-SquaredfSig.
(Intercept)17.5351<0.001
Type of contract111.3302<0.001
Frame agreement138.0491<0.001
EU Funds16.4501<0.001
Type of procurement14.11010.004
Group of suppliers16.0791<0.001
Number of offers135.4211<0.001
Number of offers by SMEs17.5811<0.001
SPP MEAT3.96810.046
Dependent variable: saving. Model: (Intercept), type of contract, framework agreement, EU funds, type of procurement, group of suppliers, number of offers, number of offers by small and medium-sized enterprises (SMEs), SPP MEAT. Source: Authors.
Table 4. Regression Analysis.
Table 4. Regression Analysis.
ParameterExp(B)Std. Error95% Wald Confidence IntervalHypothesis Test
LowerUpperWald Chi-SquaredfSig.
(Intercept)0.0021.98755.065 × 10−50.05769.69810.000
(Type of contract = Services)73.2670.796315.374349.17321.80610.000
(Type of contract = Utilities)2.6030.78500.56012.0990.04710.828
(Type of contract = Works)1a......
(Framework agreement = No)10.5310.89638.77512.288138.04910.000
(Framework agreement = Yes)1a......
(EU Funds = No)4.6820.42492.03310.78316.45010.000
(EU Funds = Yes)1a......
(Type of procurement = Non Open)15.7320.95062.442101.36514.11010.004
(Type of procurement = Open)1a......
(Group of suppliers = No)4.4910.40012.0479.85516.07910.000
(Group of suppliers = Yes)1a......
Number of offers3.2680.12222.5794.141135.42110.000
Number of offers by SMEs1.9810.13521.5202.58217.58110.000
(SPP MEAT = NO)0.4360.66090.1241.5343.96810.046
(SPP MEAT = YES)1a......
(Scale)485.724b4.0786477.795493.784
Dependent variable: Saving. Model: (Intercept), type of contract, framework agreement, EU funds, type of procurement, group of suppliers, number of offers, number of offers by SMEs, SPP MEAT. a. Parameter is redundant. b. Maximum likelihood estimate. Source: Authors.
Publisher’s Note: MDPI stays neutral with regard to jurisdictional claims in published maps and institutional affiliations.

Share and Cite

MDPI and ACS Style

Džupka, P.; Kubák, M.; Nemec, P. Sustainable Public Procurement in Central European Countries. Can It Also Bring Savings? Sustainability 2020, 12, 9241. https://doi.org/10.3390/su12219241

AMA Style

Džupka P, Kubák M, Nemec P. Sustainable Public Procurement in Central European Countries. Can It Also Bring Savings? Sustainability. 2020; 12(21):9241. https://doi.org/10.3390/su12219241

Chicago/Turabian Style

Džupka, Peter, Matúš Kubák, and Peter Nemec. 2020. "Sustainable Public Procurement in Central European Countries. Can It Also Bring Savings?" Sustainability 12, no. 21: 9241. https://doi.org/10.3390/su12219241

APA Style

Džupka, P., Kubák, M., & Nemec, P. (2020). Sustainable Public Procurement in Central European Countries. Can It Also Bring Savings? Sustainability, 12(21), 9241. https://doi.org/10.3390/su12219241

Note that from the first issue of 2016, this journal uses article numbers instead of page numbers. See further details here.

Article Metrics

Back to TopTop