Antimony Mining from PET Bottles and E-Waste Plastic Fractions
Abstract
1. Introduction
2. Materials and Methods
2.1. Samples Origin
- -
- washed and shredded PET flakes, prepared for recycling (provided from a bottle-to-bottle recycling facility in Germany),
- -
- PET from recyclable soft-drink bottles,
- -
- PET from water bottles.
2.2. Samples Preparation
2.3. Total Antimony Concentration Assessment
2.4. PET Samples Acidic Extraction
2.5. E-Waste Plastics
2.5.1. Ashing
2.5.2. Acidic Extraction
2.6. Antimony Analysis After Acidic Extraction
3. Results
3.1. Antimony Recovery from PET
3.2. Antimony Recovery from E-Waste Plastics
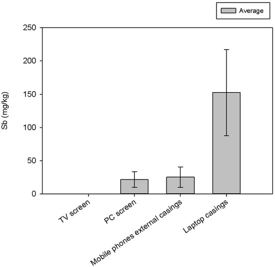
3.2.1. Antimony Total Amount in Shredded Samples
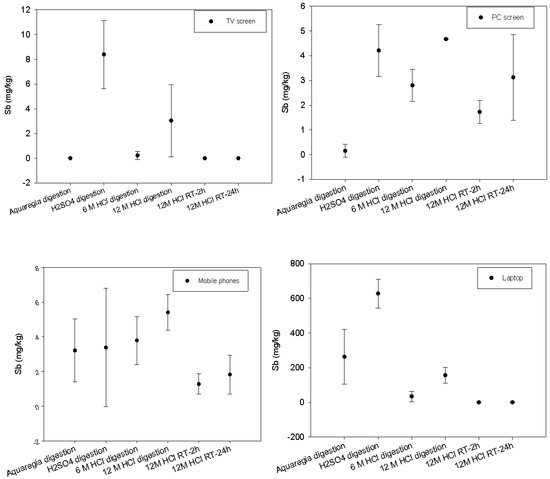
3.2.2. Antimony Extraction from Ashes
3.2.3. Comparison of Extraction Yields
4. Discussion
4.1. Antimony Recovery from PET
4.2. Antimony Recovery from E-Waste Plastics
4.2.1. Antimony Total Amount in Shredded Samples
4.2.2. Antimony Extraction from Ashes
4.2.3. Comparison of Extraction Yields
4.3. Evaluation of Different Extraction Solvents and Conditions
5. Conclusions
Author Contributions
Funding
Acknowledgments
Conflicts of Interest
References
- Shan, C.; Ma, Z.; Tong, M. Efficient removal of trace antimony(III) through adsorption by hematite modified magnetic nanoparticles. J. Hazard. Mater. 2014, 268, 229–236. [Google Scholar] [CrossRef] [PubMed]
- European Commission. Report on Critical Raw Materials and the Circular Economy; European Commission: Brussels, Belgium, 2018. [Google Scholar]
- United States Geological Mineral Commodity Summaries 2016. In Antimony. Available online: https://minerals.usgs.gov/minerals/pubs/commodity/antimony/mcs-2016-antim.pdf (accessed on 28 April 2018).
- United States Geological Mineral Commodity Summaries 2009. In Antimony. Available online: https://minerals.usgs.gov/minerals/pubs/commodity/antimony/mcs-2009-antim.pdf (accessed on 28 April 2018).
- United States Geological Mineral Commodity Summaries 2017. In Antimony. Available online: https://minerals.usgs.gov/minerals/pubs/commodity/antimony/mcs-2017-antim.pdf (accessed on 28 April 2018).
- Mathieux, F.; Ardente, F.; Bobba, S.; Nuss, P.; Blengini, G.A.; Dias, P.A.; Blagoeva, D.; de Matos, C.T.; Wittmer, D.; Pavel, C. Critical Raw Materials and the Circular Economy; Publications Office of the European Union: Luxembourg, 2017. [Google Scholar]
- Ciacci, L.; Reck, B.K.; Nassar, N.T.; Graedel, T.E. Lost by Design. Environm. Sci. Technol. 2015, 49, 9443–9451. [Google Scholar] [CrossRef] [PubMed]
- Barteková, E.; Kemp, R. Critical raw material strategies in different world regions. In The United Nations University–Maastricht Economic and Social Research Institute on Innovation and Technology (UNU-MERIT) Working Papers; Maastricht Economic and Social Research Institute on Innovation and Technology (MERIT): Maastricht, The Netherlands, 2016; Volume 5. [Google Scholar]
- Henckens, M.L.C.M.; Driessen, P.P.J.; Worrell, E. How can we adapt to geological scarcity of antimony? Investigation of antimony’s substitutability and of other measures to achieve a sustainable use. Resour. Conserv. Recycl. 2016, 108, 54–62. [Google Scholar] [CrossRef]
- USGS. Advanced Data Release of the 2016 Annual Tables. Available online: https://minerals.usgs.gov/minerals/pubs/commodity/antimony/ (accessed on 11 October 2018).
- Ökvist, L.S.; Hu, X.; Eriksson, J.; Kotnis, J.; Yang, Y.; Yli-Rantala, E.; Bacher, J.; Punkkinen, H.; Retegan, T.; Moya, M.G. Production Technologies of CRM from Secondary Resources: SCRREEN D4. 2; European Union: Brussels, Belgium, 2018. [Google Scholar]
- Froehlich, P.; Lorenz, T.; Martin, G.; Brett, B.; Bertau, M. Valuable Metals—Recovery Processes, Current Trends, and Recycling Strategies. Angew. Chem. Int. Ed. 2017, 56, 2544–2580. [Google Scholar] [CrossRef] [PubMed]
- Graedel, T.E.; Allwood, J.; Birat, J.-P.; Buchert, M.; Hagelüken, C.; Reck, B.K.; Sibley, S.F.; Sonnemann, G. What do we know about metal recycling rates? J. Ind. Ecol. 2011, 15, 355–366. [Google Scholar] [CrossRef]
- van Eygen, E.; de Meester, S.; Tran, H.P.; Dewulf, J. Resource savings by urban mining: The case of desktop and laptop computers in Belgium. Resour., Conserv. Recycl. 2016, 107, 53–64. [Google Scholar] [CrossRef]
- Anderson, C.G. The metallurgy of antimony. Chem. Erde-Geochem. 2012, 72, 3–8. [Google Scholar] [CrossRef]
- Turner, A.; Filella, M. Field-portable-XRF reveals the ubiquity of antimony in plastic consumer products. Sci. Total Environ. 2017, 584, 982–989. [Google Scholar] [CrossRef] [PubMed]
- Tostar, S.; Stenvall, E.; Boldizar, A.; Foreman, M.R.S.J. Antimony leaching in plastics from waste electrical and electronic equipment (WEEE) with various acids and gamma irradiation. Waste Manag. 2013, 33, 1478–1482. [Google Scholar] [CrossRef]
- Schlummer, M.; Gruber, L.; Mäurer, A.; Wolz, G.; Van Eldik, R. Characterisation of polymer fractions from waste electrical and electronic equipment (WEEE) and implications for waste management. Chemosphere 2007, 67, 1866–1876. [Google Scholar] [CrossRef]
- Alassali, A.; Fiore, S.; Kuchta, K. Assessment of antimony in plastics from WEEE. In Proceedings of the Crete 2018 6th International Conference on Industrial and Hazardous Waste Management, Chania, Crete, 4–7 September 2018. [Google Scholar]
- Dahlbo, H.; Poliakova, V.; Mylläri, V.; Sahimaa, O.; Anderson, R. Recycling potential of post-consumer plastic packaging waste in Finland. Waste Manag. 2018, 71, 52–61. [Google Scholar] [CrossRef]
- De Jesus, A.; Dessuy, M.B.; Huber, C.S.; Zmozinski, A.V.; Duarte, Á.T.; Vale, M.G.R.; Andrade, J.B. Determination of antimony in PET containers by direct analysis of solid samples using graphite furnace atomic absorption spectrometry and leaching studies. Microchem. J. 2016, 124, 222–227. [Google Scholar] [CrossRef]
- Takahashi, Y.; Sakuma, K.; Itai, T.; Zheng, G.; Mitsunobu, S. Speciation of antimony in PET bottles produced in Japan and China by X-ray absorption fine structure spectroscopy. Environ. Sci. Technol. 2008, 42, 9045–9050. [Google Scholar] [CrossRef]
- Westerhoff, P.; Prapaipong, P.; Shock, E.; Hillaireau, A. Antimony leaching from polyethylene terephthalate (PET) plastic used for bottled drinking water. Water Res. 2008, 42, 551–556. [Google Scholar] [CrossRef]
- Ibanescu, D.; Cailean, D.; Teodosiu, C.; Fiore, S. Assessment of the waste electrical and electronic equipment management systems profile and sustainability in developed and developing European Union countries. Waste Manag. 2018, 73, 39–53. [Google Scholar] [CrossRef]
- Fiore, S.; Ibanescu, D.; Teodosiu, C.; Ronco, A. Improving waste electric and electronic equipment management at full-scale by using material flow analysis and life cycle assessment. Sci. Total Environ. 2019, 659, 928–939. [Google Scholar] [CrossRef]
- Park, S.H.; Kim, S.H. Poly(ethylene terephthalate) recycling for high value added textiles. In Fashion and Textiles; Springer: Berlin/Heidelberg, Germany, 2014; Volume 1. [Google Scholar] [CrossRef]
- ISO. Plastics: Determination of Ash. Part 1: General Methods. 1997; ISO 3451-1; ISO: Geneva, Switzerland, 1997. [Google Scholar]
- Alassali, A.; Abis, M.; Fiore, S.; Kuchta, K. Classification of plastic waste originated from waste electric and electronic equipment based on the concentration of antimony. J. Hazard. Mater. 2019, 120874. [Google Scholar] [CrossRef]
- Schweitzer, G.K.; Pesterfield, L.L. The Aqueous Chemistry of the Elements; Oxford University Press: New York, NY, USA, 2010; ISBN 019539335X. [Google Scholar]
- Sarkar, S.G.; Dhadke, P.M. Solvent extraction separation of antimony (III) and bismuth (III) with bis (2, 4, 4-trimethylpentyl) monothiophosphinic acid (Cyanex 302). Sep. Purif. Technol. 1999, 15, 131–138. [Google Scholar] [CrossRef]
- Telford, K.; Maher, W.; Krikowa, F.; Foster, S. Measurement of total antimony and antimony species in mine contaminated soils by ICPMS and HPLC-ICPMS. J. Environ. Monit. 2008, 10, 136–140. [Google Scholar] [CrossRef]
- Michalski, R.; Szopa, S.; Jabłońska, M.; Łyko, A. Application of hyphenated techniques in speciation analysis of arsenic, antimony, and thallium. Sci. World J. 2012, 902464. [Google Scholar] [CrossRef]
- Bakircioglu, D.; Kurtulus, Y.B.; Ucar, G. Determination of some traces metal levels in cheese samples packaged in plastic and tin containers by ICP-OES after dry, wet and microwave digestion. Food Chem. Toxicol. 2011, 49, 202–207. [Google Scholar] [CrossRef]
- Chapa-Martínez, C.A.; Hinojosa-Reyes, L.; Hernández-Ramírez, A.; Ruiz-Ruiz, E.; Maya-Treviño, L.; Guzmán-Mar, J.L. An evaluation of the migration of antimony from polyethylene terephthalate (PET) plastic used for bottled drinking water. Sci. Total Environ. 2016, 565, 511–518. [Google Scholar] [CrossRef]
- Matsukami, H.; Tue, N.M.; Suzuki, G.; Someya, M.; Viet, P.H.; Takahashi, S.; Tanabe, S.; Takigami, H. Flame retardant emission from e-waste recycling operation in northern Vietnam: Environmental occurrence of emerging organophosphorus esters used as alternatives for PBDEs. Sci. Total Environ. 2015, 514, 492–499. [Google Scholar] [CrossRef]
- Maris, E.; Botane, P.; Wavrer, P.; Froelich, D. Characterizing plastics originating from WEEE: A case study in France. Miner. Eng. 2015, 76, 28–37. [Google Scholar] [CrossRef]
- Miller, R. Materials Challenges for a Transforming World. Johnson Matthey Technol. Rev. 2017, 61, 126–132. [Google Scholar] [CrossRef]
- Duchin, F.; Levine, S.H. The recovery of products and materials for reuse: The global context of resource management. Resour. Conserv. Recycl. 2019, 145, 422–447. [Google Scholar] [CrossRef]






| Sample | Br + Cl (ppm) * | P (ppm) ** |
|---|---|---|
| TV screen | 417.0 ± 292.8 | 2.4 ± 1.7 |
| PC screen | 4.9 ± 0.3 | 103.1 ± 2.9 |
| Mobile phones | 134.8 ± 0.7 | 410.9 ± 8.2 |
| Laptops | 60.1 ± 56.0 | 2755.2 ± 299.4 |
© 2019 by the authors. Licensee MDPI, Basel, Switzerland. This article is an open access article distributed under the terms and conditions of the Creative Commons Attribution (CC BY) license (http://creativecommons.org/licenses/by/4.0/).
Share and Cite
Alassali, A.; Picuno, C.; Samara, H.; Diedler, S.; Fiore, S.; Kuchta, K. Antimony Mining from PET Bottles and E-Waste Plastic Fractions. Sustainability 2019, 11, 4021. https://doi.org/10.3390/su11154021
Alassali A, Picuno C, Samara H, Diedler S, Fiore S, Kuchta K. Antimony Mining from PET Bottles and E-Waste Plastic Fractions. Sustainability. 2019; 11(15):4021. https://doi.org/10.3390/su11154021
Chicago/Turabian StyleAlassali, Ayah, Caterina Picuno, Hanin Samara, Sascha Diedler, Silvia Fiore, and Kerstin Kuchta. 2019. "Antimony Mining from PET Bottles and E-Waste Plastic Fractions" Sustainability 11, no. 15: 4021. https://doi.org/10.3390/su11154021
APA StyleAlassali, A., Picuno, C., Samara, H., Diedler, S., Fiore, S., & Kuchta, K. (2019). Antimony Mining from PET Bottles and E-Waste Plastic Fractions. Sustainability, 11(15), 4021. https://doi.org/10.3390/su11154021

