Conversion of Vertical Slot Fishways to Deep Slot Fishways to Maintain Operation during Low Flows: Implications for Hydrodynamics
Abstract
1. Introduction
2. Materials and Methods
3. Results
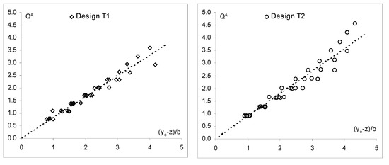
3.1. Discharge Equations
3.2. Water Depth
3.3. Water Surface
3.4. Velocity Fields
3.5. Turbulent Kinetic Energy
4. Discussion
5. Conclusions
Author Contributions
Funding
Acknowledgments
Conflicts of Interest
Abbreviations
| b | Slot width |
| Ikt | Turbulence intensity |
| k | Turbulent kinetic energy |
| Q | Discharge |
| QA | Dimensionless discharge |
| S | Bed slope |
| Vb | Velocity at the slot |
| Vmb | Velocity at the slot, averaged for all discharges tested |
| Vx, Vy, Vz | Velocity components in the three Cartesian axes |
| y | Flow depth |
| yA | Dimensionless flow depth |
| yo | Mean depth at the transverse middle section of the pool |
| yb | Depth at the slot measured from the base of the sill |
| ym | Mean depth in the pool |
| ymin | Minimum depth in the pool |
| ymax | Maximum depth in the pool |
| z | Sill height |
References
- Ward, J.V. The Four-Dimensional Nature of Lotic Ecosystems. J. N. Am. Benthol. Soc. 1989, 8, 2–8. [Google Scholar] [CrossRef]
- Mallen-Cooper, M.; Brand, D.A. Non-salmonids in a salmonid fishway: What do 50 years of data tell us about past and future fish passage? Fish. Manag. Ecol. 2007, 14, 319–332. [Google Scholar] [CrossRef]
- Noonan, M.J.; Grant, J.W.A.; Jackson, C.D. A quantitative assessment of fish passage efficiency. Fish Fish. 2012, 13, 450–464. [Google Scholar] [CrossRef]
- Thiem, J.D.; Binder, T.R.; Dumont, P.; Hatin, D.; Hatry, C.; Katopodis, C.; Stamplecoskie, K.M.; Cooke, A.S.J. Multispecies Fish Passage Behaviour in a Vertical Slot Fishway on the Richelieu River, Quebec, Canada. River Res. Appl. 2013, 29, 582–592. [Google Scholar] [CrossRef]
- Lucas, M.C.; Mercer, T.; Peirson, G.; Frear, P.A. Seasonal movements of coarse fish in lowland rivers and their relevance to fisheries management. In Management and Ecology of River Fisheries; John Wiley & Sons: Hoboken, NJ, USA, 2000; pp. 87–100. [Google Scholar]
- Marriner, B.A.; Baki, A.B.M.; Zhu, D.Z.; Cooke, S.J.; Katopodis, C. The hydraulics of a vertical slot fishway: A case study on the multi-species Vianney-Legendre fishway in Quebec, Canada. Ecol. Eng. 2016, 90, 190–202. [Google Scholar] [CrossRef]
- Mallen-Cooper, M.; Zampatti, B.; Stuart, I.; Baumgartner, L. Innovative Fishways—Manipulating Turbulence in the Vertical Slot Design to Improve Performance and Reduce Cost; A Report to the Murray Darling Basin Commission; Fishway Consulting Services; Murray Darling Basin Commission: Sydney, Australia, 2008. [Google Scholar]
- Santos, J.M.; Branco, P.; Katopodis, C.; Ferreira, T.; Pinheiro, A. Retrofitting pool-and-weir fishways to improve passage performance of benthic fishes: Effect of boulder density and fishway discharge. Ecol. Eng. 2014, 73, 335–344. [Google Scholar] [CrossRef]
- Larinier, M.; Marmulla, G. Fish passes: types, principles and geographical distribution an overview. In Proceedings of the Second International Symposium on the Management of Large Rivers for Fisheries, Phnom Penh, Kingdom of Cambodia, 11–14 February 2003. Volume II. [Google Scholar]
- Clay, C.H. Design of Fishways and Other Fish Facilities; Lewis Publishers, CRC Press: Boca Raton, FL, USA, 1995. [Google Scholar]
- Santos, J.M.; Silva, A.; Pinheiro, P.; Pinheiro, A.; Bochechas, J.; Ferreira, M.T.; Katopodis, C.; Pinheiro, P.; Pinheiro, A.; Bochechas, J.; et al. Ecohydraulics of pool-type fishways: Getting past the barriers. Ecol. Eng. 2012, 48, 38–50. [Google Scholar] [CrossRef]
- Puertas, J.; Pena, L.; Teijeiro, T. Experimental approach to the hydraulics of vertical slot fishways. J. Hydraul. Eng. 2004, 130, 10–23. [Google Scholar] [CrossRef]
- Wu, S.; Rajaratnam, N.; Katopodis, C. Structure of flow in vertical slot fishway. J. Hydraul. Eng. 1999, 125, 351–359. [Google Scholar] [CrossRef]
- Liu, M.; Rajaratnam, N.; Zhu, D.Z. Mean flow and turbulence structure in vertical slot fishways. J. Hydraul. Eng. 2006, 132, 765–777. [Google Scholar] [CrossRef]
- Bermúdez, M.; Puertas, J.; Cea, L.; Pena, L.; Balairón, L. Influence of pool geometry on the biological efficiency of vertical slot fishways. Ecol. Eng. 2010, 36, 1355–1364. [Google Scholar] [CrossRef]
- Larinier, M.; Porcher, J.P.; Travade, F.; Gosset, C. Passes à Poissons: Expertise, Conception des Ouvrages de Franchissement; Conseil Supérieur de la Pêche: Paris, France, 1992. [Google Scholar]
- Williams, J.G.; Armstrong, G.; Katopodis, C.; Larinier, M.; Travade, F. Thinking like a fish: A key ingredient for development of effective fish passage facilities at river obstructions. River Res. Appl. 2012, 28, 407–417. [Google Scholar] [CrossRef]
- Katopodis, C.; Gervais, R. Ecohydraulic analysis of fish fatigue data. River Res. Appl. 2012, 28, 444–456. [Google Scholar] [CrossRef]
- Thiem, J.D.; Dawson, J.W.; Hatin, D.; Danylchuk, A.J.; Dumont, P.; Gleiss, A.C.; Wilson, R.P.; Cooke, S.J. Swimming activity and energetic costs of adult lake sturgeon during fishway passage. J. Exp. Biol. 2016, 219, 2534–2544. [Google Scholar] [CrossRef] [PubMed]
- Rodríguez, Á.; Bermúdez, M.; Rabuñal, J.R.; Puertas, J. Fish tracking in vertical slot fishways using computer vision techniques. J. Hydroinform. 2015, 17, 275–292. [Google Scholar] [CrossRef]
- Pavlov, D.; Lupandin, A.; Skorobogatov, M. The Effects of Flow Turbulence on the Behavior and Distribution of Fish. J. Ichthyol. 2000, 20, S232–S261. [Google Scholar]
- Katopodis, C. Developing a toolkit for fish passage, ecological flow management and fish habitat works. J. Hydraul. Res. 2005, 43, 451–467. [Google Scholar] [CrossRef]
- Bermúdez, M.; Rico, Á.; Rodríguez, Á.; Pena, L.; Rabuñal, J.R.; Puertas, J.; Balairón, L.; Lara, Á.; Aramburu, E.; Morcillo, F.; et al. FishPath: aplicación informática de diseño de escalas de peces de hendidura vertical. Ing. Agua 2015, 19, 179. [Google Scholar] [CrossRef]
- Quaranta, E.; Katopodis, C.; Revelli, R.; Comoglio, C. Turbulent flow field comparison and related suitability for fish passage of a standard and a simplified low-gradient vertical slot fishway. River Res. Appl. 2017, 33, 1295–1305. [Google Scholar] [CrossRef]
- Silva, A.T.; Santos, J.M.; Ferreira, M.T.; Pinheiro, A.N.; Katopodis, C. Effects of water velocity and turbulence on the behaviour of Iberian barbel (Luciobarbus bocagei, Steindachner 1864) in an experimental pool-type fishway. River Res. Appl. 2011, 27, 360–373. [Google Scholar] [CrossRef]
- De Duarte, B.A.F.; Ramos, I.C.R.; de Santos, H.A. e Reynolds shear-stress and velocity: Positive biological response of neotropical fishes to hydraulic parameters in a vertical slot fishway. Neotrop. Ichthyol. 2012, 10, 813–819. [Google Scholar] [CrossRef]
- Silva, A.T.; Katopodis, C.; Santos, J.M.; Ferreira, M.T.; Pinheiro, A.N. Cyprinid swimming behaviour in response to turbulent flow. Ecol. Eng. 2012, 44, 314–328. [Google Scholar] [CrossRef]
- Rajaratnam, N.; Katopodis, C.; Solanki, S. New designs for vertical slot fishways. Can. J. Civ. Eng. 1992, 19, 402–414. [Google Scholar] [CrossRef]
- Rajaratnam, N.; Van der Vinne, G.; Katopodis, C. Hydraulics of Vertical Slot Fishways. J. Hydraul. Eng. 1986, 112, 909–927. [Google Scholar] [CrossRef]
- Kraus, N.C.; Lohrmann, A.; Cabrera, R. New Acoustic Meter for Measuring 3D Laboratory Flows. J. Hydraul. Eng. 1994, 120, 406–412. [Google Scholar] [CrossRef]
- Nikora, V.I.; Goring, D.G. ADV Measurements of Turbulence: Can We Improve Their Interpretation? J. Hydraul. Eng. 1998, 124, 630–634. [Google Scholar] [CrossRef]
- Fuentes-Pérez, J.F.; Sanz-Ronda, F.J.; de Azagra, A.M.; García-Vega, A. Non-uniform hydraulic behavior of pool-weir fishways: A tool to optimize its design and performance. Ecol. Eng. 2016, 86, 5–12. [Google Scholar] [CrossRef]
- Larinier, M. Pool fishways, pre-barrages and natural bypass channels. Bull. Franç. Pêche Piscic. 2002, 54–82. [Google Scholar] [CrossRef]
- Branco, P.; Santos, J.M.; Katopodis, C.; Pinheiro, A.; Ferreira, M.T. Pool-Type Fishways: Two Different Morpho-Ecological Cyprinid Species Facing Plunging and Streaming Flows. PLoS ONE 2013, 8, e65089. [Google Scholar] [CrossRef] [PubMed]
- Branco, P.; Santos, J.M.; Katopodis, C.; Pinheiro, A.; Ferreira, M.T. Effect of flow regime hydraulics on passage performance of Iberian chub (Squalius pyrenaicus) (Günther, 1868) in an experimental pool-and-weir fishway. Hydrobiologia 2013, 714, 145–154. [Google Scholar] [CrossRef]
- Silva, A.T.; Santos, J.M.; Franco, A.C.; Ferreira, M.T.; Pinheiro, A.N. Selection of Iberian barbel Barbus bocagei (Steindachner, 1864) for orifices and notches upon different hydraulic configurations in an experimental pool-type fishway. J. Appl. Ichthyol. 2009, 25, 173–177. [Google Scholar] [CrossRef]
- Lupandin, A. Effect of Flow Turbulence on Swimming Speed of Fish. Biol. Bull. 2005, 32, 461–466. [Google Scholar] [CrossRef]
- Pon, L.B.; Hinch, S.G.; Cooke, S.J.; Patterson, D.A.; Farrell, A.P. Physiological, energetic and behavioural correlates of successful fishway passage of adult sockeye salmon Oncorhynchus nerka in the Seton River, British Columbia. J. Fish Biol. 2009, 74, 1323–1336. [Google Scholar] [CrossRef] [PubMed]
- Johnson, E.L.; Caudill, C.C.; Keefer, M.L.; Clabough, T.S.; Peery, C.A.; Jepson, M.A.; Moser, M.L. Movement of Radio-Tagged Adult Pacific Lampreys during a Large-Scale Fishway Velocity Experiment. Trans. Am. Fish. Soc. 2012, 141, 571–579. [Google Scholar] [CrossRef]








| Design | Sill Height (cm) | Discharges Q (L/s) | # Measurement Planes | |
|---|---|---|---|---|
| Lowest Q | Highest Q | |||
| T1 | 10 | 25, 35, 45, 55, 65, 75, 84, 94 | 2 | 7 |
| 20 | 24, 35, 45, 55, 65, 75 | 3 | 7 | |
| 30 | 26, 35, 45, 55, 65, 75 | 3 | 7 | |
| 40 | 25, 34, 44, 55, 65 | 4 | 7 | |
| 50 | 25, 35, 45, 55 | 5 | 7 | |
| T2 | 10 | 26, 35, 45, 55, 65, 75, 85, 95 | 2 | 7 |
| 20 | 25, 35, 46, 55, 65, 75 | 3 | 8 | |
| 30 | 25, 35, 45, 55, 65 | 4 | 8 | |
| 40 | 25, 34, 44, 55 | 5 | 7 | |
| 50 | 25, 35, 44 | 6 | 7 | |
| Sill | Design T1 | Design T2 | ||||
|---|---|---|---|---|---|---|
| (cm) | QA | yo/b | Equation | QA | yo/b | Equation |
| 10 | 0.777 | 1.483 | QA = 0.794yo/b − 0.583 | 0.935 | 1.731 | QA = 0.844yo/b − 0.545 |
| 1.078 | 2.115 | (r2 = 0.996) | 1.283 | 2.217 | (r2 = 0.999) | |
| 1.403 | 2.476 | 1.658 | 2.620 | |||
| 1.715 | 2.841 | 2.008 | 2.997 | |||
| 2.021 | 3.361 | 2.376 | 3.421 | |||
| 2.332 | 3.679 | 2.743 | 3.926 | |||
| 2.628 | 4.010 | 3.119 | 4.240 | |||
| 2.937 | 4.809 | 3.478 | 4.756 | |||
| 20 | 0.757 | 2.241 | QA = 0.818yo/b − 1.040 | 0.921 | 2.369 | QA = 0.677yo/b − 0.680 |
| 1.092 | 2.688 | (r2 = 0.986) | 1.266 | 2.856 | (r2 = 0.999) | |
| 1.402 | 2.885 | 1.668 | 3.453 | |||
| 1.701 | 3.295 | 2.019 | 4.040 | |||
| 2.016 | 3.663 | 2.373 | 4.497 | |||
| 2.326 | 4.205 | 2.733 | 5.026 | |||
| 30 | 0.796 | 2.769 | QA = 0.857yo/b − 1.666 | 0.916 | 2.961 | QA=0.731yo/b − 1.269 |
| 1.071 | 3.348 | (r2 = 0.975) | 1.288 | 3.512 | (r2 = 0.999) | |
| 1.383 | 3.507 | 1.643 | 4.007 | |||
| 1.725 | 4.034 | 2.010 | 4.488 | |||
| 1.997 | 4.313 | 2.388 | 4.977 | |||
| 2.343 | 4.560 | |||||
| 40 | 0.773 | 3.345 | QA = 0.817yo/b − 1.981 | 0.900 | 3.631 | QA = 0.772yo/b − 1.880 |
| 1.068 | 3.783 | (r2 = 0.997) | 1.248 | 4.007 | (r2 = 0.997) | |
| 1.383 | 4.111 | 1.625 | 4.534 | |||
| 1.707 | 4.479 | 2.000 | 5.038 | |||
| 2.017 | 4.905 | |||||
| 50 | 0.769 | 3.915 | QA = 0.774yo/b − 2.264 | 0.903 | 4.233 | QA = 0.720yo/b − 2.142 |
| 1.094 | 4.362 | (r2 = 0.998) | 1.273 | 4.734 | (r2 = 0.999) | |
| 1.392 | 4.691 | 1.630 | 5.243 | |||
| 1.707 | 5.142 | |||||
| Design T1 | Design T2 | |
|---|---|---|
| QA | 0.827(yo − z)/b | 0.895(yo − z)/b |
| (r2 = 0.955) | (r2 = 0.933) | |
| (ymax − z)/b | 1.063(yo − z)/b + 0.388 | 0.996(yo − z)/b + 0.679 |
| (r2 = 0.994) | (r2 = 0.984) | |
| (yb − z)/b | 0.981(yo − z)/b + 0.242 | 1.053(yo − z)/b + 0.172 |
| (r2 = 0.986) | (r2 = 0.954) | |
| (ym − z)/b | 1.018(yo − z)/b | 1.015(yo − z)/b |
| (r2 = 0.998) | (r2 = 0.998) | |
| (ymin − z)/b | 0.982(yo − z)/b − 0.433 | 0.973(yo − z)/b + 0.496 |
| (r2 = 0.997) | (r2 = 0.992) |
| Design T1 | Design T2 | ||
|---|---|---|---|
| VSF (no sill) | 1.1 | 1.3 | |
| DSF (sill) | PA | 0.7–1.9 | 0.5–1.5 |
| PB | 0.4–1.1 | 0.3–1.3 |
| T1 | ||||||||
| k (cm2/s2) | Ikt | |||||||
| Sill (cm) | Q (L/s) | h (cm) | k1 | k2 | k3 | Ikt1 | Ikt2 | Ikt3 |
| 10 | 75 | 5 | 428 | 773 | 473 | 2.880 | 0.915 | 0.157 |
| 25 | 6655 | 3254 | 482 | 0.365 | 0.701 | 0.563 | ||
| 45 | 5583 | 1514 | 556 | 1.325 | 0.420 | 0.993 | ||
| 20 | 65 | 5 | 285 | 511 | 251 | 0.831 | 0.766 | 0.115 |
| 15 | 498 | 361 | 371 | 3.142 | 1.170 | 0.765 | ||
| 35 | 5532 | 1874 | 252 | 0.273 | 0.314 | 0.967 | ||
| 30 | 65 | 5 | 274 | 349 | 325 | 0.189 | 0.277 | 0.253 |
| 15 | 462 | 331 | 193 | 1.237 | 3.770 | 0.389 | ||
| 45 | 10,164 | 5426 | 301 | 1.535 | 2.300 | 1.264 | ||
| 40 | 55 | 5 | 311 | 187 | 241 | 0.249 | 0.242 | 0.157 |
| 25 | 200 | 300 | 143 | 3.831 | 0.792 | 0.394 | ||
| 45 | 7189 | 3569 | 229 | 6.106 | 23.279 | 20.501 | ||
| 50 | 45 | 5 | 173 | 118 | 218 | 0.314 | 0.095 | 0.124 |
| 35 | 196 | 104 | 94 | 0.318 | 0.158 | 0.578 | ||
| 55 | 6988 | 4602 | 220 | 1.769 | 26.678 | 2.560 | ||
| T2 | ||||||||
| k (cm2/s2) | Ikt | |||||||
| Sill (cm) | Q (L/s) | h (cm) | k1 | k2 | k3 | Ikt1 | Ikt2 | Ikt3 |
| 10 | 75 | 5 | 111 | 411 | 326 | 0.061 | 1.356 | 0.595 |
| 25 | 160 | 311 | 678 | 0.334 | 0.293 | 0.812 | ||
| 45 | 627 | 250 | 862 | 0.428 | 0.412 | 0.236 | ||
| 20 | 65 | 5 | 468 | 368 | 640 | 1.239 | 0.182 | 0.225 |
| 15 | 276 | 279 | 407 | 0.965 | 0.285 | 0.352 | ||
| 35 | 4107 | 4129 | 720 | 74.995 | 4.977 | 0.802 | ||
| 30 | 55 | 5 | 344 | 254 | 458 | 3.291 | 0.475 | 0.305 |
| 15 | 334 | 164 | 207 | 0.847 | 0.497 | 0.276 | ||
| 45 | 5767 | 4776 | 353 | 3.080 | 1.951 | 0.322 | ||
| 40 | 45 | 5 | 172 | 168 | 160 | 2.971 | 0.227 | 0.086 |
| 25 | 153 | 120 | 109 | 0.283 | 0.124 | 0.311 | ||
| 45 | 1049 | 1964 | 191 | 0.530 | 0.667 | 0.652 | ||
| 50 | 35 | 5 | 162 | 161 | 156 | 0.663 | 0.144 | 0.118 |
| 35 | 120 | 159 | 157 | 0.304 | 0.951 | 0.330 | ||
| 55 | 327 | 497 | 126 | 0.220 | 0.792 | 3.526 | ||
© 2018 by the authors. Licensee MDPI, Basel, Switzerland. This article is an open access article distributed under the terms and conditions of the Creative Commons Attribution (CC BY) license (http://creativecommons.org/licenses/by/4.0/).
Share and Cite
Pena, L.; Puertas, J.; Bermúdez, M.; Cea, L.; Peña, E. Conversion of Vertical Slot Fishways to Deep Slot Fishways to Maintain Operation during Low Flows: Implications for Hydrodynamics. Sustainability 2018, 10, 2406. https://doi.org/10.3390/su10072406
Pena L, Puertas J, Bermúdez M, Cea L, Peña E. Conversion of Vertical Slot Fishways to Deep Slot Fishways to Maintain Operation during Low Flows: Implications for Hydrodynamics. Sustainability. 2018; 10(7):2406. https://doi.org/10.3390/su10072406
Chicago/Turabian StylePena, Luís, Jerónimo Puertas, María Bermúdez, Luis Cea, and Enrique Peña. 2018. "Conversion of Vertical Slot Fishways to Deep Slot Fishways to Maintain Operation during Low Flows: Implications for Hydrodynamics" Sustainability 10, no. 7: 2406. https://doi.org/10.3390/su10072406
APA StylePena, L., Puertas, J., Bermúdez, M., Cea, L., & Peña, E. (2018). Conversion of Vertical Slot Fishways to Deep Slot Fishways to Maintain Operation during Low Flows: Implications for Hydrodynamics. Sustainability, 10(7), 2406. https://doi.org/10.3390/su10072406

