Estimation Algorithm for Vehicle Motion Parameters Based on Innovation Covariance in AC Chassis Dynamometer
Abstract
1. Introduction
2. Basic Principles of AC Chassis Dynamometer
3. Motion Parameter Estimation Method for Chassis Dynamometer
3.1. Kalman Filtering Algorithm
3.2. Adaptive Kalman Filtering Algorithm Based on Innovation
3.3. Determination of Kalman Filter Parameters
4. Algorithm Verification
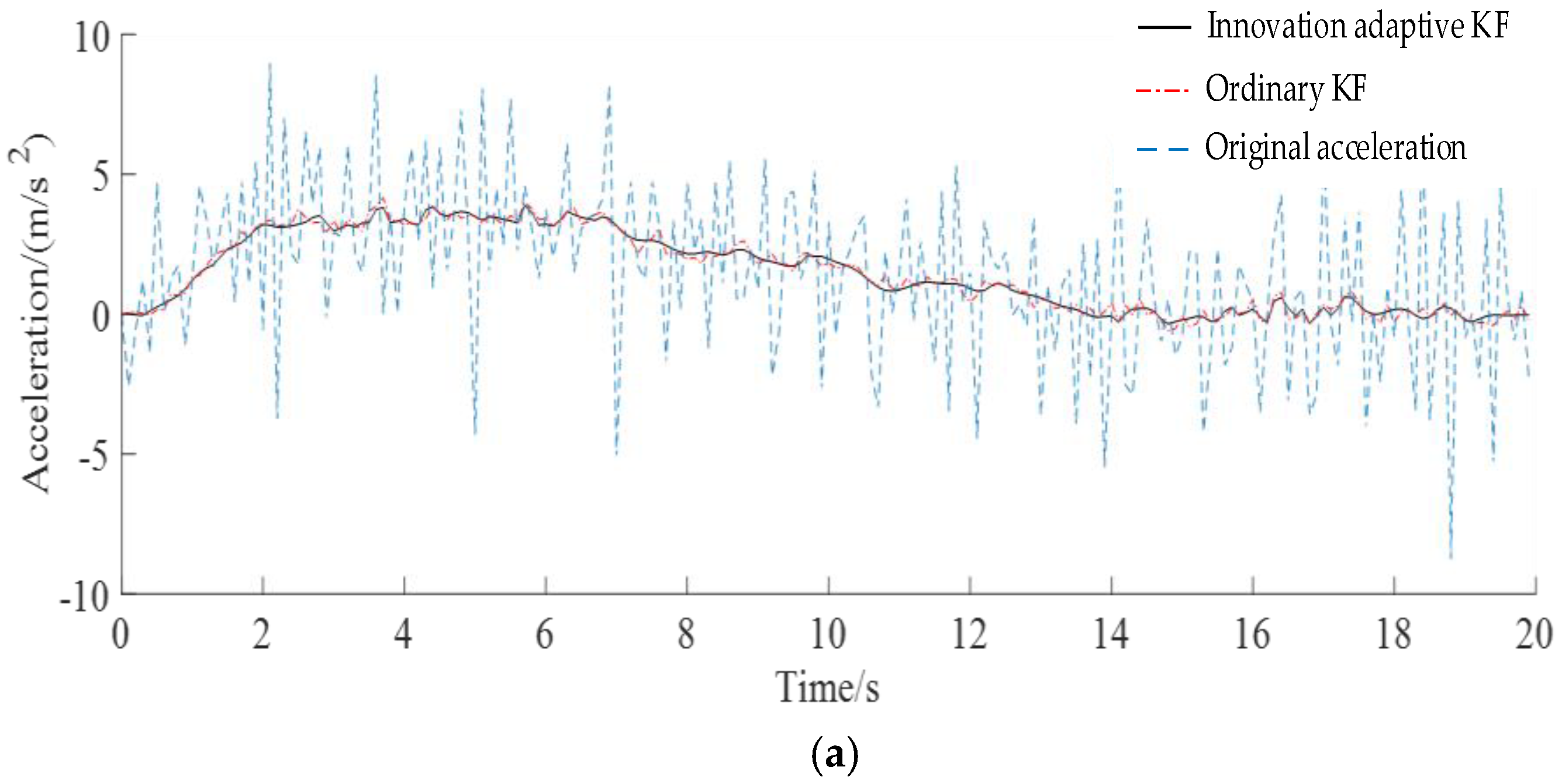
4.1. Simulation Verification
4.2. Test Verification
5. Conclusions
Author Contributions
Funding
Data Availability Statement
Conflicts of Interest
References
- Li, B. Research on Objective Test and Evaluation Method of Vehicle Drivability Based on Chassis Dynamometer. Master’s Thesis, Hefei University of Technology, Hefei, China, 2022. [Google Scholar]
- Zhou, L.; Guo, H.; Zhao, H.; Ma, M. A Review of Research on Dynamometer System. Electr. Mach. Control. Appl. 2020, 47, 1–9. [Google Scholar]
- Zhang, S.; Zhang, X.; Xu, L.; Yan, X. Research on AC chassis dynamometer system based on virtual prototype. Mod. Manuf. Eng. 2022, 9, 123–131. [Google Scholar]
- Lourenço, M.A.d.M.; Eckert, J.J.; Silva, F.L.; Santiciolli, F.M.; Silva, L.C.A. Vehicle and twin-roller chassis dynamometer model considering slip tire interactions. Mech. Based Des. Struct. Mach. 2022, 51, 6166–6183. [Google Scholar] [CrossRef]
- Huang, W.; Liu, D.; Chu, R.; Qiu, F.; Li, Z.; Jin, X.; Zhang, H.; Wang, Y.; Ji, S. Analysis of Resistance Influencing Factors of a Bench System Based on a Self-Developed Four-Wheel Drive Motor Vehicle Chassis Dynamometer. Machines 2024, 12, 580. [Google Scholar] [CrossRef]
- Casadei, S.; Maggioni, A. Performance Testing of a Locomotive Engine Aftertreatment Pre-prototype in a Passenger Cars Chassis Dynamometer Laboratory. Transp. Res. Procedia 2016, 14, 605–614. [Google Scholar] [CrossRef]
- Akpolat, Z.H.; Asher, G.; Clare, J. Dynamic emulation of mechanical loads using a vector-controlled induction motor-generator set. IEEE Trans. Ind. Electron. 1999, 46, 370–379. [Google Scholar] [CrossRef]
- Hewson, C.; Wheeler, P.; Asher, G.; Sumner, M. Dynamic mechanical load emulation test facility to evaluate the performance of AC inverters. Power Eng. 2000, 14, 21–28. [Google Scholar] [CrossRef]
- Zhang, L.; Li, L.; Zhang, T. The application of human-like intelligent control in motorcycle chassis dynamometer. Autom. Instrum. 2006, 128, 65–71. [Google Scholar]
- Zheng, Z.W. Research on Application of Fuzzy Control Theory in Automobile Chassis Dynamometer System. Master’s Thesis, South China University of Technology, Guangzhou, China, 2010. [Google Scholar]
- Li, L. DTC Control System of Energy-Feeding AC Chassis Dynamometer. Master’s Thesis, Chongqing University, Chongqing, China, 2010. [Google Scholar]
- Li, Z.; Geng, Y.; Shi, W. Design of a prototype measurement and control platform for rapid control of automobile chassis dynamometer. Mech. Des. Manuf. Eng. 2018, 4, 162–164. [Google Scholar] [CrossRef]
- Huang, P.; Ding, W.; Wang, X.; Teng, X. Review of interferometric synthetic aperture sonar interferometric phase filtering methods. Adv. Mech. Eng. 2023, 15. [Google Scholar] [CrossRef]
- Kumar, M.; Mishra, S.K. A Comprehensive Review on Nature Inspired Neural Network based Adaptive Filter for Eliminating Noise in Medical Images. Curr. Med. Imaging Former. Curr. Med. Imaging Rev. 2020, 16, 278–287. [Google Scholar] [CrossRef]
- Zhao, J.; Lei, Y.; Li, Z. Survey on Application of Kalman Filter in Equipment Fault Prediction. Ordnance Ind. Autom. 2024, 43, 16–20. [Google Scholar]
- Zhang, H.; Zhang, H. Research and Application of Differential Tracker. Control. Instrum. Chem. Ind. 2013, 40, 474–477. [Google Scholar]
- He, Y.; Han, J. Experimental Study of Angular Acceleration Estimation based on Kalman Filter and Newton Predictor. Chin. J. Mech. Eng. 2006, 42, 226–232. [Google Scholar] [CrossRef]
- Zhang, X.; Zhou, Z. Speed control strategy for tractor assisted driving based on chassis dynamometer test. Int. J. Agric. Biol. Eng. 2021, 14, 169–175. [Google Scholar] [CrossRef]
- Zheng, X.X. Research on Test Technology of Chassis Dynamometer Based on Dynamic Loading of Rolling Resistance and Prediction of Motion Parameters. Master’s Thesis, Zhejiang University, Hangzhou, China, 2018. [Google Scholar]
- Bisht, S.S.; Singh, M.P. An adaptive unscented Kalman filter for tracking sudden stiffness changes. Mech. Syst. Signal Process. 2014, 49, 181–195. [Google Scholar] [CrossRef]
- Wang, X.D. Simulating the Road Resistance of Commercial Vehicles with the Dynamometer and Studying the Load Force. Master’s Thesis, Changan university, Xi’an, China, 2010. [Google Scholar]
- Archibald, R.; Bao, F.; Tu, X. A direct filter method for parameter estimation. J. Comput. Phys. 2019, 398, 108871. [Google Scholar] [CrossRef]
- Euler-Rolle, N.; Mayr, C.H.; Škrjanc, I.; Jakubek, S.; Karer, G. Automated vehicle driveaway with a manual dry clutch on chassis dynamometers: Efficient identification and decoupling control. ISA Trans. 2020, 98, 237–250. [Google Scholar] [CrossRef]
- Hernandez-Barragan, J.; Rios, J.D.; Alanis, A.Y.; Lopez-Franco, C.; Gomez-Avila, J.; Arana-Daniel, N. Adaptive Single Neuron Anti-Windup PID Controller Based on the Extended Kalman Filter Algorithm. Electronics 2020, 9, 636. [Google Scholar] [CrossRef]
- Xiao, X.; Sun, Z.; Shen, W. A Kalman filter algorithm for identifying track irregularities of railway bridges using vehicle dynamic responses. Mech. Syst. Signal Process. 2020, 138, 106582. [Google Scholar] [CrossRef]
- Cao, Q.; Zhou, Z.; Zhang, M.; Xi, Z.; Xi, J. Estimation method and verification of slip ratio of tractor driving wheel. J. Agric. Eng. 2015, 31, 35–41. [Google Scholar]






| Serial Number | Speed Range (km/h) | 65–55 | 55–45 | 45–35 | 35–25 | 25–15 | 15–5 | ||||||
|---|---|---|---|---|---|---|---|---|---|---|---|---|---|
| Go | Back | Go | Back | Go | Back | Go | Back | Go | Back | Go | Back | ||
| 1 | Cumulative coasting time (s) | 12.7 | 12.6 | 28.2 | 28.7 | 48.3 | 49.1 | 71.0 | 70.7 | 97.7 | 98.1 | 128.0 | 128.6 |
| 2 | Cumulative coasting time (s) | 12.9 | 13.0 | 29.0 | 29.2 | 48.6 | 48.9 | 70.8 | 71.3 | 98.1 | 98.2 | 127.9 | 129.0 |
| 3 | Cumulative coasting time (s) | 12.5 | 12.6 | 28.9 | 28.6 | 48.3 | 48.8 | 71.3 | 70.8 | 97.9 | 97.6 | 128.3 | 128.2 |
| Average coasting time (s) | 12.7 | 28.75 | 48.65 | 71.0 | 97.9 | 128.35 | |||||||
| Serial Number | Speed (km/h) | 10 | 20 | 30 | 40 | 50 | 60 | 70 | |||||||
|---|---|---|---|---|---|---|---|---|---|---|---|---|---|---|---|
| Go | Back | Go | Back | Go | Back | Go | Back | Go | Back | Go | Back | Go | Back | ||
| 1 | Time (s) | 1.1 | 1.2 | 2.0 | 2.1 | 3.1 | 3.0 | 4.9 | 5.0 | 6.1 | 6.0 | 8.1 | 8.0 | 11.0 | 10.9 |
| 2 | Time (s) | 1.0 | 1.1 | 2.1 | 2.0 | 3.2 | 3.0 | 5.0 | 4.8 | 6.3 | 6.2 | 8.0 | 8.1 | 10.8 | 11.1 |
| 3 | Time (s) | 0.9 | 1.1 | 1.9 | 2.1 | 3.0 | 2.9 | 5.1 | 5.0 | 5.9 | 6.1 | 7.9 | 8.2 | 10.9 | 11.1 |
| Average time (s) | 1.1 | 2.0 | 3.0 | 4.9 | 6.1 | 8.1 | 11.0 | ||||||||
| Serial Number | Speed (km/h) | 10 | 20 | 30 | 40 | 50 | 60 | 70 |
|---|---|---|---|---|---|---|---|---|
| 1 | Time (s) | 0.9 | 1.5 | 2.4 | 4.5 | 5.4 | 7.8 | 10.3 |
| 2 | Time (s) | 1.1 | 1.6 | 2.7 | 4.7 | 5.8 | 7.4 | 10.4 |
| 3 | Time (s) | 0.7 | 2.0 | 2.7 | 4.3 | 5.9 | 7.6 | 10.2 |
| Average Time (s) | 0.9 | 1.7 | 2.6 | 4.5 | 5.7 | 7.6 | 10.3 |
| Serial Number | Speed (km/h) | 10 | 20 | 30 | 40 | 50 | 60 | 70 |
|---|---|---|---|---|---|---|---|---|
| 1 | Time (s) | 1.1 | 1.8 | 2.8 | 4.9 | 6.3 | 7.9 | 11.4 |
| 2 | Time (s) | 1.2 | 1.9 | 3.3 | 5.3 | 6.3 | 8.4 | 11.0 |
| 3 | Time (s) | 1.3 | 2.3 | 3.2 | 5.1 | 6.3 | 8.3 | 11.2 |
| Average Time (s) | 1.2 | 2.0 | 3.1 | 5.1 | 6.3 | 8.2 | 11.2 |
Disclaimer/Publisher’s Note: The statements, opinions and data contained in all publications are solely those of the individual author(s) and contributor(s) and not of MDPI and/or the editor(s). MDPI and/or the editor(s) disclaim responsibility for any injury to people or property resulting from any ideas, methods, instructions or products referred to in the content. |
© 2025 by the authors. Published by MDPI on behalf of the World Electric Vehicle Association. Licensee MDPI, Basel, Switzerland. This article is an open access article distributed under the terms and conditions of the Creative Commons Attribution (CC BY) license (https://creativecommons.org/licenses/by/4.0/).
Share and Cite
Zhang, X.; Xu, X.; Shi, H. Estimation Algorithm for Vehicle Motion Parameters Based on Innovation Covariance in AC Chassis Dynamometer. World Electr. Veh. J. 2025, 16, 239. https://doi.org/10.3390/wevj16040239
Zhang X, Xu X, Shi H. Estimation Algorithm for Vehicle Motion Parameters Based on Innovation Covariance in AC Chassis Dynamometer. World Electric Vehicle Journal. 2025; 16(4):239. https://doi.org/10.3390/wevj16040239
Chicago/Turabian StyleZhang, Xiaorui, Xingyuan Xu, and Hengliang Shi. 2025. "Estimation Algorithm for Vehicle Motion Parameters Based on Innovation Covariance in AC Chassis Dynamometer" World Electric Vehicle Journal 16, no. 4: 239. https://doi.org/10.3390/wevj16040239
APA StyleZhang, X., Xu, X., & Shi, H. (2025). Estimation Algorithm for Vehicle Motion Parameters Based on Innovation Covariance in AC Chassis Dynamometer. World Electric Vehicle Journal, 16(4), 239. https://doi.org/10.3390/wevj16040239
