Abstract
This study uses an evolutionary game model to analyze the interplay between Macao residents’ willingness to purchase electric vehicles (EVs) and the government’s promotion strategies. It assesses the effectiveness of incentives like tax exemptions and price reductions. Despite these initiatives, challenges such as high initial costs, limited vehicle range, and long charging times continue to hinder the widespread adoption of EVs in Macao. Government subsidies increase the appeal of EV purchases, but if not managed carefully, they risk creating dependency. Simulation analysis shows that an active purchasing strategy by Macao residents can stabilize the model’s development. However, to achieve wider market penetration and environmental goals, this study highlights the need for the government to align subsidies with market dynamics and for residents to increase their environmental awareness. This study outlines actionable strategies for policy-makers, emphasizing the importance of infrastructure improvements and financial incentives in promoting electric mobility. Policy-makers should focus on expanding the network of charging stations to enhance the convenience and viability of EV usage. Additionally, implementing targeted financial incentives, such as subsidies or tax breaks, can lower the cost barrier for potential EV buyers, thereby increasing the attractiveness and adoption of electric vehicles.
1. Introduction
With the development of the economy and the growth of the population, air pollution has become a core problem, and reducing carbon emissions has become the main solution. Global electric vehicle production has increased more than 10-fold since 2000 [1]. Electric cars have gradually taken over from gasoline-powered cars as the most important mode of transport in the world [2]. However, although electric vehicles help us to reduce carbon emissions, there are still some problems in the process of promotion. According to statistics, the global market share of electric vehicles is only 22% [3]. This study outlines actionable strategies for policy-makers, emphasizing the importance of infrastructure improvements and financial incentives in promoting electric mobility. Policy-makers should focus on expanding the network of charging stations to enhance the convenience and viability of EV usage. Additionally, implementing targeted financial incentives, such as subsidies or tax breaks, can lower the cost barrier for potential EV buyers, thereby increasing the attractiveness and adoption of electric vehicles. Further promotion of electric vehicles is particularly important. Electric vehicles are the most promising low-carbon-emission transport vehicles because their energy consumption and environmental impact are far lower than those of traditional-fuel vehicles. Their zero exhaust emissions can significantly reduce urban air pollutants. It is, therefore, particularly important to promote the purchase of electric vehicles by residents further [4,5]. Previous studies have shown that electric vehicles have better performance [6,7], comfort, and environmental friendliness [8,9] than traditional fuel vehicles. Electric vehicles (EVs), in particular, are central to Macao’s strategy for improving air quality due to their zero exhaust emissions, which significantly reduce urban air pollutants. Comparative studies in regions such as California, Canada, and China have shown that policy measures, including financial incentives and infrastructure development, play crucial roles in promoting EV adoption. These findings suggest that Macao can benefit from similar strategies for enhancing EV market penetration and achieve its environmental goals. Additionally, EVs offer quiet operation and minimal maintenance, which not only lessen noise pollution but also enhance the driving experience and reduce long-term operational costs. However, the adoption of EVs in Macao has faced considerable obstacles [10,11]. The high initial cost of electric vehicles is a significant barrier that discourages widespread adoption among consumers. Additionally, limited vehicle range and extensive charging times further heighten consumer hesitancy, especially given the underdeveloped state of the charging infrastructure in Macao. To overcome these obstacles, it is crucial to promote the residents’ willingness to purchase electric vehicles through the introduction of government subsidy policies [12,13,14]. The government has adopted a multifaceted strategy to address these issues, including policy measures to reduce the financial burden on consumers, such as subsidies or tax incentives for purchasing EVs. Furthermore, investments in improving battery technology and reducing charging times are essential to mitigate practical challenges associated with EV adoption. These efforts to enhance the attractiveness and practicality of owning an EV are expected to significantly increase market penetration and contribute to achieving the city’s environmental targets [15,16,17].
To mitigate barriers to the adoption of electric vehicles (EVs), the Macao government has implemented several strategic measures. In late 2015, it issued the Safety Technical Guidelines for Electric Vehicle Charging Facilities, establishing standards by which to ensure the safety and reliability of EV charging infrastructure. Additionally, the Macao government has set a target of installing 5000 charging facilities in residents’ parking lots by 2030, aiming to improve accessibility and convenience for EV users. The government designed these initiatives not only to improve the physical infrastructure but also to increase residents’ trust in the feasibility of EV technology. The impact of these policies has been significant. They have increased residents’ interest in EVs and alleviated some concerns regarding the availability and reliability of charging options. As a result of these and other supportive measures, the number of electric vehicles in Macao had reached 7572 by 31 October 2023. This represents a notable increase, signaling a positive response from the residents to the government’s efforts. These ongoing efforts are critical because they support the broader environmental goals of reducing carbon emissions and reducing urban air pollution; however, current research on the residents’ willingness to purchase electric vehicles is insufficiently developed [16,18,19]. There is no single answer to the question of how to reconcile the dynamics between the promotion of electric vehicles by the Macau government and the willingness of the Macau residents to buy them [20,21,22].
This study examines the dynamics between the Macao government and electric vehicle (EV) users, focusing on the incentives designed to stimulate EV purchases, such as price reductions and vehicle tax exemptions. This study advances knowledge in multiple ways. First, it presents a dynamic evolutionary game model that captures the interaction between the government and electric vehicle (EV) users in Macao, providing a nuanced understanding of the decision-making processes that influence EV adoption. Second, it highlights the specific obstacles and incentives affecting EV uptake, thereby offering actionable insights for policy-makers to enhance the effectiveness of their strategies. Third, this study employs comprehensive simulation analyses to predict the long-term impact of different policy measures on EV adoption, enabling a more data-driven approach to policy formulation. It examines the dynamics between the Macao government and electric vehicle (EV) users, focusing on the incentives designed to stimulate EV purchases, such as price reductions and vehicle tax exemptions. It also assesses the fiscal challenges faced by the government in promoting EVs and evaluates the effectiveness of these policies in reducing emissions and achieving the city’s low-carbon objectives. Our analysis of the government of Macao’s policies and initiatives provides a comprehensive understanding of the interaction between EV market development, user acceptance, and policy impact. Results from simulation analyses indicate that the Macao residents, when adopting an active purchasing strategy for EVs, help the model reach a stable evolutionary point. However, the current policy framework in Macao does not adequately support the environment required for robust EV adoption, highlighting the need for targeted efforts to enhance residents’ awareness and incentives. Economic factors significantly influence the Macao residents’ decision to purchase EVs. As the costs associated with owning electric vehicles increase, the residents’ interest decreases. Conversely, the benefits derived from owning electric vehicles, such as savings on fuel and maintenance, increase the likelihood of their purchase. Government financial subsidies are crucial; they significantly boost the attractiveness of EVs when they surpass a certain threshold. However, overly generous subsidies may have counterproductive effects, such as creating dependency or raising sustainability concerns. This research explores the interactive behavioral strategies between the residents and the government within an evolutionary game framework, focusing on the strategic decision-making processes behind the residents’ active acquisition of EVs through scenario simulations. Promoting EVs effectively in Macao requires cooperation between the government and the residents. For the government, implementing targeted subsidies and expanding charging infrastructure are essential to increasing residents’ inclination towards purchasing EVs; meanwhile, users should enhance their environmental and social consciousness to support the EV market’s growth. This mutual engagement will maximize the benefits for both the government and the citizens of Macao.
2. Literature Review
2.1. Dynamic Evolutionary Game
Evolutionary game theory, traditionally rooted in biology and economics, provides a robust framework for modeling and understanding complex behavioral patterns [23]. In the context of EVs, this theory helps in examining how consumers adapt and strategize in a changing market environment. The chosen studies, which span from network traffic efficiency to smart grid management, provide a diverse viewpoint on the practical application of these theories, thereby illuminating the complex dynamics of EV purchasing behavior.
The integration and synergy between neoclassical and evolutionary economics give rise to evolutionary game systems [24,25]. This method combines neoclassical and evolutionary economics, bringing together evolutionary and equilibrium research paradigms and showing how evolutionary economics has been accepted and used in mainstream economics [26]. Unlike conventional game theory, evolutionary game systems are dynamic, grounded in biological evolution, and assume bounded rationality [27]. In place of individual participants, numerous players act as decision-makers in the game, which is characterized by a continuous learning process that involves learning from errors, emulating other players’ strategies, and self-adjustment to achieve a stable equilibrium state. Evolutionary game systems permit a more comprehensive understanding of decision-making processes and dynamics, particularly in intricate systems like energy markets, where traditional economic models may not adequately capture the complexity and uncertainty of the natural world [28]. Consequently, evolutionary game systems present a promising avenue for future energy economics and policy research, aiding in the development of more effective and sustainable policies that account for the intricate interplay of factors in energy markets [29,30].
2.2. Frontiers of Electric Vehicle Development
Research on consumer behavior and purchase intentions shows that consumer attitudes and behaviors significantly impact electric vehicle purchase decisions, especially in addressing environmental issues. Khalid and Anwar (2024) conducted a meta-analysis of consumer environmental behaviors related to electric vehicle adoption [31], while He and Zheng (2024) reviewed consumer strategies with which to mitigate air pollution by purchasing electric vehicles [32]. Additionally, empirical studies using frameworks such as the theory of planned behavior (TPB) assessed the determinants of purchase intentions [33]. In terms of regional differences in electric vehicle adoption, studies by Dai and Yang (2024) and Ramadani et al. (2024) emphasize the significant impact of regional factors on electric vehicle purchase motivations, especially in different economic and policy contexts [34,35].
Regarding policies and incentives, studies by Scarlat et al. (2024) and Stekelberg andVance (2024), among others, point out that government policies and incentives play a key role in influencing consumer preferences and electric vehicle purchase intention [36,37]. Technology acceptance and consumer experience also significantly impact electric vehicle purchase intentions. Wang et al. (2024) modeled electric vehicle choice behavior considering latent variables [38], while Soodan and Saha (2023) applied an extended TPB to predict purchase intentions based on technology participation in India [39]. In terms of sustainability and environmental impacts, studies have shown that consumers’ motivation to purchase electric vehicles stems from a desire for sustainable transportation solutions and environmental responsibility [40]. A comparative analysis of studies on electric vehicle (EV) adoption conducted in various regions reveals distinct patterns and influencing factors across different countries. In Europe, research emphasizes the significant role of government subsidies and stringent emission regulations in driving EV adoption, particularly in Germany and Norway [41]. Similarly, studies in North America, particularly in the United States and Canada, highlight the impact of financial incentives and the development of charging infrastructure on accelerating EV adoption [42]. In contrast, research from China highlights the importance of urban planning and the integration of EVs into public transportation systems to boost adoption rates. Meanwhile, in developing countries such as India and Brazil, the focus is on overcoming challenges related to affordability and lack of infrastructure, which are key barriers to widespread EV adoption [43]. Additionally, a study comparing Australia and New Zealand points to the influence of consumer environmental awareness in promoting EV usage [44]. These regional studies collectively emphasize the necessity for tailored policies that address specific local barriers and leverage unique regional opportunities to enhance global EV adoption.
2.3. Macao Electric Vehicle Purchasing Behavior
The Macao government anticipates reaching its national carbon peak before 2030, which will lead to the highest recorded carbon content in the air. However, the following years will see a gradual decrease in the carbon content, leading to the Macao government’s projected achievement of carbon neutrality by 2060. This means that the carbon content in the air will stabilize at normal atmospheric levels, making it suitable for people to live and thrive. It is important to note that this is a hopeful projection, not a guarantee [45]. To achieve this goal, the government has implemented policies to encourage low carbon emissions and the development of EVs [41,46]. Innovative charging policies have led to the rapid development of EVs [47]. Based on this current situation, experts and scholars have conducted research from various perspectives.
Researchers have conducted numerous studies on the transition challenges and market acceptance of alternative fuel vehicles and electric vehicles, including comparative analyses across different regions. For instance, California’s emission reduction policies, Canada’s market-oriented approach, and China’s strategic policy challenges provide a broad perspective on effective EV promotion strategies. These comparisons highlight the importance of tailored policy measures in different socioeconomic contexts and offer valuable lessons for Macao. The literature reviewed in this section pertains to purchasing behavior in Macao. Researchers have conducted numerous studies on the transition challenges and market acceptance of alternative fuel vehicles and electric vehicles, specifically within the context of Macao. For instance, we investigated the challenges of alternative fuel vehicles and transportation systems in Macao [48]. Some scholars believe consumers in Macao are willing to pay for electric vehicles and their attributes [49,50,51]. Shepherd has identified factors that will influence future demand for electric vehicles in Macao [52].
Furthermore, scholars have also examined policies promoting hybrid vehicles to enhance social benefits, as well as policies related to electric vehicles in various regions such as California, Canada, and China, and how these insights can be applied to the context of Macao.
Researchers have conducted studies on the fuel use and GHG emissions of light-duty vehicles in response to energy efficiency standards and cost subsidies [53], as well as on the electrification of hybrid and electric vehicles, learning rates, and price projections. Additionally, researchers have conducted studies on the environmental benefits of driving electric vehicles [54,55]. However, this text focuses on EV charging infrastructure and pricing strategies. This includes discussions on government incentives for new energy vehicles, as explored by Ma [56], and pricing strategies for EV charging, as examined by Madina [57]. Researchers have conducted life cycle analyses of internal combustion engines, electric vehicles, and fuel cell vehicles in the development of EV technology and future projections. Researchers have also explored future perspectives on electric mobility and the total cost of ownership of electric vehicles [58]. We have also used system dynamics modeling as an analogy for the future transformation of powertrain technologies in the light vehicle road transport sector [59]. Researchers have studied light-duty vehicle fuel use and greenhouse gas (GHG) emissions in relation to cost subsidies and energy efficiency standards. We have also looked into the electrification of hybrid and electric vehicles, learning rates, and price projections. Additionally, researchers have conducted studies on the environmental benefits of driving EVs. However, this text focuses on EV charging infrastructure and pricing strategies. Researchers have conducted life cycle analyses of internal combustion engines, electric vehicles, and fuel cell vehicles in the development of EV technology and future projections. Researchers have also explored future perspectives on electric mobility and the total cost of ownership of electric vehicles [60]. System dynamics modeling has also been used as an analogy for the future transformation of powertrain technologies in the light vehicle road transport sector [59].
Studies conducted further support this research. Consumer preference research on electric vehicles [61] investigated consumers’ preferences and market acceptability, taking into account both psychosocial and economic factors. Aspects of Business Models and Market Strategies in the Electric Vehicle Industry analyzed the business models of the electric vehicle industry, especially how to adapt to changes in the market and consumer demand. Market Penetration Forecasting of Electric Vehicles examined a forecasting model for electric vehicle market penetration, considering technological advances and policy support. The development of EV charging technology [62,63] explored the trends in EV charging technology, including charging speed, availability of charging facilities, and construction of charging networks. Sinha et al. and Sun et al. conducted a study on the impact of EVs on the grid, analyzed the impact of EV charging on the grid load, and explored strategies for optimizing the grid to accommodate the rapid growth of EVs [64].
One shortcoming of the research literature for the studies mentioned above is the limited number of region-specific case studies, which restricts the general applicability of the research results. Also, not enough research has been conducted on the long-term effects of EV technologies, how user behavior changes over time, and how promoting EVs affects multi-principal development [65,66,67]. The government can enhance the social impact of a specific input by offering price concessions to electric vehicle users and exempting motor vehicle purchase tax for electric vehicle purchases [68]. The government can enhance the social impact of a specific input by offering price concessions to electric vehicle users and exempting motor vehicle purchase tax for electric vehicle purchases [69,70,71,72]. However, electric vehicle users are still responsible for paying charging costs, including electricity and charging time, unlike fuel vehicle users [12,72]. Due to technical constraints regarding range and charging time, residents of Macao may have a limited willingness to purchase electric vehicles within a certain period [20]. Additionally, the government’s investment in the construction of charging stations may increase the corresponding financial burden [24,73]. It is essential to consider these factors when promoting the use of electric vehicles in the region [74]. The rapid evolution of the electric vehicle (EV) market poses intriguing questions about consumer purchasing behavior and the decision-making processes that drive it [75,76]. Understanding these dynamics is crucial, not only for manufacturers and policy-makers but also for predicting future trends in sustainable transportation [77].
In the context of electric vehicle (EV) adoption, several theoretical gaps related to the application of evolutionary game theory have emerged. Additionally, existing models often fail to account for the rapid technological advancements in battery efficiency and charging infrastructure, which significantly impact consumer decisions [78]. The dynamic interactions between policy incentives and market responses are another area that requires further exploration to effectively design and implement supportive policies [79]. Moreover, the evolution of consumer preferences, driven by increasing environmental awareness and economic considerations, remains underrepresented in current theoretical frameworks [80]. Finally, the potential cooperative behaviors among various stakeholders, such as governments, manufacturers, and consumers, and their role in accelerating EV adoption are not adequately addressed. Addressing these gaps is essential for developing comprehensive strategies to promote EV adoption and transition to sustainable transportation.
This literature review seeks to delve into the realm of evolutionary game theory and its application in analyzing residents’ EV purchasing behavior, with a particular focus on empirical studies from Macao. In summary, the interlocking decision-making processes of EV users and the government of Macao form a dynamic evolutionary game process. It is important to remember that this process is influenced by a variety of factors. The development of EVs in Macao is a complex evolutionary process of interactions between EV users and the government. This study presents a game model of subject–party interaction between electric vehicle users and the government, with the aim of investigating the factors that influence the alternative development of electric vehicles in Macao and their future growth.
3. Methodology
3.1. Stakeholders and Underlying Assumptions
According to a previous analysis of relevant domestic and international literature, the main stakeholders in the context of “dual carbon” in China are the government and the residents in Macao. The number of users who purchase electric vehicles determines the development of these vehicles, and the residents in Macao will decide whether to buy them based on factors such as the cost and time of charging. The residents in Macao will also consider whether to buy electric vehicles based on charging costs and time. Electric car users want to save on travel costs, so the lower the cost, the better. In order to optimize the social impact, the government must devise a strategy that lowers the cost for electric car users in Macao, thereby incentivizing more individuals to purchase these vehicles, thereby promoting energy conservation and reducing carbon emissions. However, it must also consider the significant financial burden that the government subsidy will impose on the residents’ purse. Therefore, it is necessary to arrive at a set of equilibrium values through the two-party game so that the government can maximize the total social effect of a given input. Furthermore, this paper advances policy analysis through dynamic evolutionary game analysis.
Traditional game theory has two demanding assumptions: complete rationality and complete EVs. Unlike traditional game theory, evolutionary games do not require participants to be wholly rational or complete EVs. Evolutionary games emphasize a dynamic equilibrium, which differs from game theory in that the former combines game theoretical analysis with the analysis of dynamic evolutionary processes. At the same time, the latter focuses on static equilibria and comparative static equilibria. The government’s strategy may include providing subsidies, tax incentives, building charging facilities, etc. In Macao, the residents’ approach may involve either actively or passively purchasing EVs. From the perspective of the residents of Macao, the residents choose to purchase EVs positively due to the consideration of future sustainable development and government subsidies and preferences; they may also choose to purchase electric vehicles negatively due to the consideration of immediate interests, such is the strategy set of the residents of Macao is (positive purchase of EVs; negative purchase of EVs). The residents of Macao adopt a “positive purchase of EVs, negative purchase of EVs” strategy. “Positive purchase of EVs” signifies a high level of interest and willingness among consumers to buy EVs, reflected in an increasing number of purchases, high intention to purchase, positive market response, recognition of EV technology, and supportive EV policies. In contrast, “negative EV purchasing” indicates comparatively low interest and willingness to buy EVs, manifesting as low sales, no willingness to buy, lukewarm market response, and low response to related policies.
From the government of Macao’s perspective, it is likely that they will consider the future sustainable development strategy, thereby encouraging the Macao residents to participate, actively, in EV purchases. It is also possible that they will worry about the management and construction costs that make the region’s economic strength decline and choose to regulate the residents of Macao negatively. Assuming the government adopts the “positive promotion” strategy, this approach aligns with the previously detailed promotion strategies of positive and negative EV promotion. In this case, the government usually adopts a series of policies and incentives to increase the attractiveness of EVs, including reducing the vehicle purchase tax, lowering the vehicle purchase cost, and building more charging stations to provide charging convenience. A “passive push” strategy means the government may not provide direct tax breaks or financial subsidies. The government of Macao introduces EV support policies, mainly encouraging consumers to purchase and use electric vehicles to reduce environmental pollution and improve energy efficiency. The government of Macao is adopting a “positive push” strategy, influencing economic benefits, environmental benefits, technological innovation, and industrial development, while a “negative push” strategy would impact the EV market, environmental and health effects, energy policy, and government finances. Moreover, because of the subjects’ limited cognitive ability, potential bias in their access to EVs, and the complexity of the social environment, neither the Macao residents nor the Macao government can make the optimal choice to maximize benefits; in other words, they can only make decisions based on the available EVs. Therefore, this paper assumes that the behavior of both subjects, i.e., the residents of Macao of China and the government of Macao, is bounded rationality.
Based on the above analysis, this study further makes the following assumptions considering the research needs and the actual situation:
Hypothesis 1.
Assuming that for the government of Macao, the probability of choosing a positive promotion strategy is x (0 ≤ x ≤ 1), then the probability of a negative promotion strategy is (1 − x); the probability of a positive purchase by the residents in Macao is y (0 ≤ y ≤ 1), and the probability of a negative purchase is (1 − y).
Hypothesis 2 (reward and punishment incentive hypothesis).
We assume that the government will provide a certain amount of financial subsidy to encourage residents’ participation in purchasing electric vehicles in Macao.
Hypothesis 3 (reputation incentive hypothesis).
The government actively encourages the residents in Macao to purchase electric vehicles, which can lead to a comprehensive social gain (IH).
As a result, Macao has achieved a comprehensive social reputation through its environmental governance efforts. Given that the main participants in this scenario are rational individuals with limited learning abilities, the initial decision-making process for EV adoption is often suboptimal. However, both parties continue to make progress, and through the evolutionary game, they keep refining their strategies to maximize their profits despite the initial incompleteness of EV information.
3.2. Model Construction
This study aims to clarify the gains and losses under various strategy combinations of relevant subjects. Based on the relevant literature, the actual situation, and previous assumptions, it sets the relevant influence parameters in turn, as shown in Table 1. It then draws a model diagram of the behavioral strategies of the relevant subjects, as shown in Figure 1, and further constructs a gain matrix under various strategy combinations of the relevant subjects, as shown in Table 2.
Table 1.
Main parameters and their meaning.
Figure 1.
Evolutionary game model of the Macao government and residents.
Table 2.
Return matrix under different combinations of strategies for relevant subjects.
3.3. Expected Return Function Construction
Evolutionary game theory posits that when the payoff of a chosen strategy exceeds the overall average payoff, the population acquires the strategy through this choice—a process analogous to the dynamic replication equation. We construct the dynamic replication equation to represent the evolution process of strategy choice for the relevant subjects based on the payoff matrix of the Macao residents—Macao government game. The expectation function and dynamic replication equation for government behavioral strategies are derived as follows:
The expected return function U1 for the government’s choice of an active promotion strategy is as follows:
The expected return function U2 for the government’s choice of a negative push strategy is as follows:
The equation for the replication dynamics of the government’s choice of an active promotion strategy is F(x) for government-regulated sectors:
The equation for the replication dynamics of the government’s choice of an active promotion strategy is F(x):
The expectation function and replication dynamic equations for the residents’ behavior strategy are as follows. The residents’ active buying expected return function V1:
The residents’ negative purchase expected return function V2:
Average expected return function for residents’ mixed strategies :
A replicated dynamic equation outlines the residents’ choice strategy for the active purchase of electric vehicles F(y):
3.4. Stabilization Strategies Based on System Evolution
In summary, according to evolutionary game theory principles, it is initially difficult for the Macao residents and government to determine the optimal strategy and the best equilibrium point. This means that the system needs constant dynamic adjustment before reaching equilibrium. At this point, the strategy set is an evolutionary, stable strategy for the whole system. Next, this study analyzes the evolutionary stability strategies of the system. First, we construct the system evolution system (Equation (9)) based on the replicated dynamic equations of the relevant subjects to solve the equilibrium point of system evolution.
We construct the Jacobi matrix separately :
Let the replicator equation ; a plane . It can be found that the five equalization points of the system are , , , , and .
This is because of the Jacobi matrix determination condition is as follows: (1) (the ESS state); (2) (an unstable point); (3) (uncertain as a saddle point). The trace of the stabilizing point is 0; so, the stabilizing state will not be an ESS point of the system . The Jacobi matrix determinant and traces for the cases discussed next are shown in Table 3.
Table 3.
Determinants and traces of Jacobi matrices.
; ; ; ; ; ;.
When , , the evolutionary stabilization strategy of the evolutionary game model is .
When , , the evolutionary stabilization strategy of the evolutionary game model is .
When , , the evolutionary stabilization strategy of the evolutionary game model is .
When , , the evolutionary stabilization strategy of the evolutionary game model is .
When or , the evolutionary game models do not have evolutionarily stable equilibrium strategies. Therefore, in the first case, several evolutionarily stable states are analyzed in detail as follows.
Scenario 1a: . Table 4 shows the local stability analysis of the equilibrium point of the game between the government of Macao and the residents of Macao, in which the ESS of the evolutionary game corresponds to the model of unfavorable promotion by the government and negative purchases by the residents of Macao.
Table 4.
System steady-state analysis of a scenario using an evolutionary game model.
Scenario 1b: . Table 5 shows the local stability analysis of the equilibrium point of the game between the government and the residents of Macao, where the ESS of the evolutionary game is , which corresponds to the model of unfavorable promotion by the government and negative purchase by the residents of Macao.
Table 5.
Stable-state analysis of the system for the initial case of the evolutionary game model.
Scenario 1c: . Table 6 shows the local stability analysis of the equilibrium point of the game between the government and the residents of Macao, where the ESS of the evolutionary game is , which corresponds to the model of unfavorable promotion by the government and negative purchase by the residents of Macao.
Table 6.
Stable-state analysis of the system for the first case of the evolutionary game model.
Scenario 1d: . Table 7 shows the local stability analysis of the equilibrium point of the game between the government and the residents of Macao, in which there are two ESS of the evolutionary game— and , respectively—This corresponds to the government’s negative push and the residents’ adverse disposition towards purchasing, as well as the government’s positive push and the residents’ positive disposition towards purchasing.
Table 7.
Stable-state analysis of the system for the first-case (d) evolutionary game model.
The fold line formed by connecting the disequilibrium points and to the saddle point is the critical convergence line of the evolutionary game model under different initial parameters. When the initial situation lies within , the system evolves to the point where the government positively promotes and the residents positively purchase, which is the ideal state; on the contrary, if the initial situation is within , the system evolves to the point where the government promotes negatively and the residents buy negatively.
Scenario 1e: or . Table 8 shows that the values of the determinant of the Jacobi matrix in this case are all negative, so the evolutionary game model does not exist.
Table 8.
Stable state analysis of the system for the first-case (e) evolutionary game model.
4. System Simulation Case Analysis
To advance the goal of achieving carbon neutrality and reducing emissions from land transportation, the Macao government has developed the “Macao Electric Vehicle Promotion Plan”. This plan articulates various scientific and comprehensive strategies aimed at fostering the development of electric vehicles (EVs) and moving towards near-zero emissions in land transport. By 2024, the EV market in Macao will have shown a positive trend towards sustainable transportation, bolstered by numerous governmental initiatives. To facilitate this transition, the Macao Special Administrative Region government has promoted the use of personal charging facilities alongside efforts to enhance the residents’ charging infrastructure. Specifically, it has installed 200 residents’ charging stations to support wider use. This initiative prioritizes the use of personal charging facilities by offering lower rates compared to residents’ stations, encouraging private investment in charging infrastructure. To support this shift, the Macau government has established fifty new charging stations across ten residents’ parking lots as part of this strategy. These measures illustrate Macau’s dedication to integrating electric vehicles into its sustainable transportation strategy, marking a significant move towards environmental sustainability and the embrace of green transportation solutions.
The paper recommends that the government align subsidies with market dynamics to foster electric vehicle adoption and improve infrastructure. It is suggested that the government implement a tiered subsidy system, prioritizing higher subsidies for high-efficiency electric vehicles and those used in public transportation to maximize environmental benefits. Additionally, this paper proposes the development of a comprehensive infrastructure improvement plan that includes the expansion of charging stations across strategic locations and upgrades to the power grid to support increased EV usage. A phased implementation strategy is recommended, beginning with pilot projects in urban areas followed by a gradual rollout based on the assessment of these pilots.
To ensure the effectiveness of the recommended policies, this paper proposes the establishment of a comprehensive monitoring and evaluation framework. This framework will include specific performance indicators, such as the increase in EV adoption rates, reduction in carbon emissions, and improvements in public satisfaction. Data will be collected biannually through surveys, usage statistics, and environmental impact assessments. Regular evaluation reports will be generated to assess the progress against these indicators, facilitating timely adjustments to the policies as needed. This proactive approach will enable continuous improvement and ensure that the policies achieve their intended environmental and economic benefits.
Based on prior analysis, it is evident that evolutionary stabilization strategies and paths exhibit significant variability across different scenarios. This variability underscores the complexity of the studied systems and emphasizes the need for advanced analytical techniques with which to accurately interpret these dynamics. In response to this need, this paper employs a numerical analogical analysis using MATLAB R2021b software, which is renowned for its robust computational capabilities and flexibility in handling complex models. This analysis aims to better understand the evolutionary trajectory and final stabilization state of the game process involving relevant actors. MATLAB allows for the simulation of numerous scenarios under varying conditions to observe how these stabilization strategies evolve over time. By employing this methodological approach, this study aims to map out the potential pathways that lead to equilibrium states, thereby providing insights into the stability of the systems under consideration. Based on the relevant data, we simulate the following: x = 0.5; H = 10; K = 4; L = 8; M = 6; R = 8; S1 = 6; S2 = 2; S3 = 2; S4 = 4; CL = 4; CZ = 5; IH = 6; IL = 2; CH = 6.
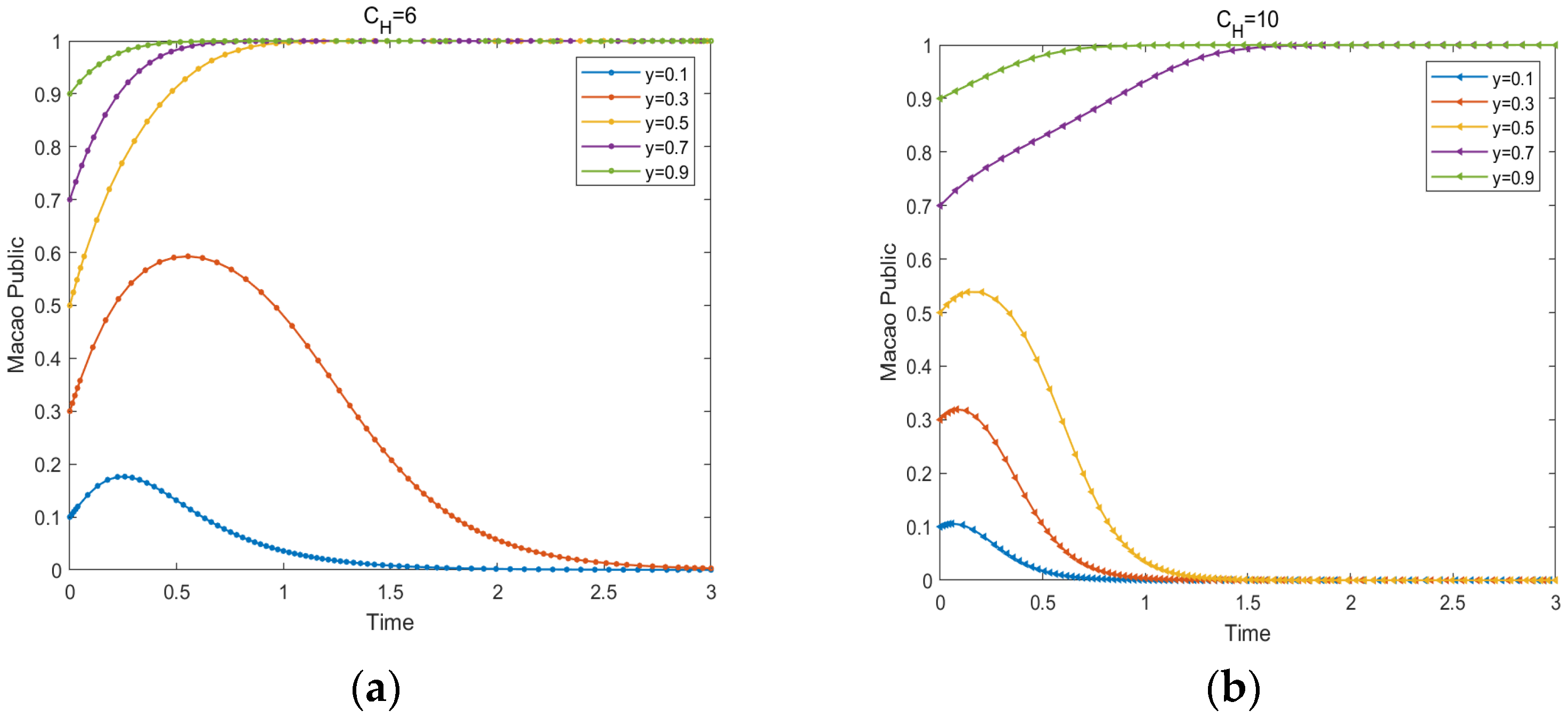
When CH takes the values of 6 and 10, respectively, Macao’s residents actively purchasing electric vehicles causes CH to change based on its evolutionary results, as shown in Figure 2.
Figure 2.
Impact of CH changes on evolution results for residents of Macao. (a) CH = 6, (b) CH = 10.
As shown in Figure 2, the larger the initial probability (y) of the residents of Macao to purchase EVs actively, the more favorable it is for the residents of Macao to choose, ultimately, to purchase EVs actively. In addition, when CH = 6 and y = 0.5, the residents of Macao choose the strategy of actively purchasing EVs, and when CH = 10 and y = 0.5, the residents of Macao choose the strategy of negatively purchasing EVs. When the other influencing factors are fixed, the more significant the CH is, the higher the cost of purchasing EV for the residents of Macao, and the more unfavorable it is for the residents of Macao to choose the strategy of positively purchasing EV. When other influencing factors are fixed, the larger the CH, i.e., the cost of purchasing an EV for the residents of Macao, the more unfavorable it is for the residents of Macao to choose a positive EV purchasing strategy. As shown in Figure 2, the larger the initial probability (y) of the residents of Macao to purchase EVs actively, the more favorable it is for the residents of Macao to choose, ultimately, to purchase electric vehicles actively. In addition, when CH = 6 and y = 0.5, the residents of Macao choose the strategy of actively purchasing EVs, and when CH = 10 and y = 0.5, the residents of Macao choose the strategy of negatively purchasing EVs. It can be seen that when the other influencing factors are fixed, the more significant the CH, the higher the cost of purchasing EV for the residents of Macao, and the more unfavorable it is for the residents of Macao to choose the strategy of positively purchasing EV. It can be seen that when other influencing factors are fixed, the larger CH, i.e., the cost of purchasing an EV for the residents of Macao, the more unfavorable it is for the residents of Macao to choose a positive EV purchasing strategy.
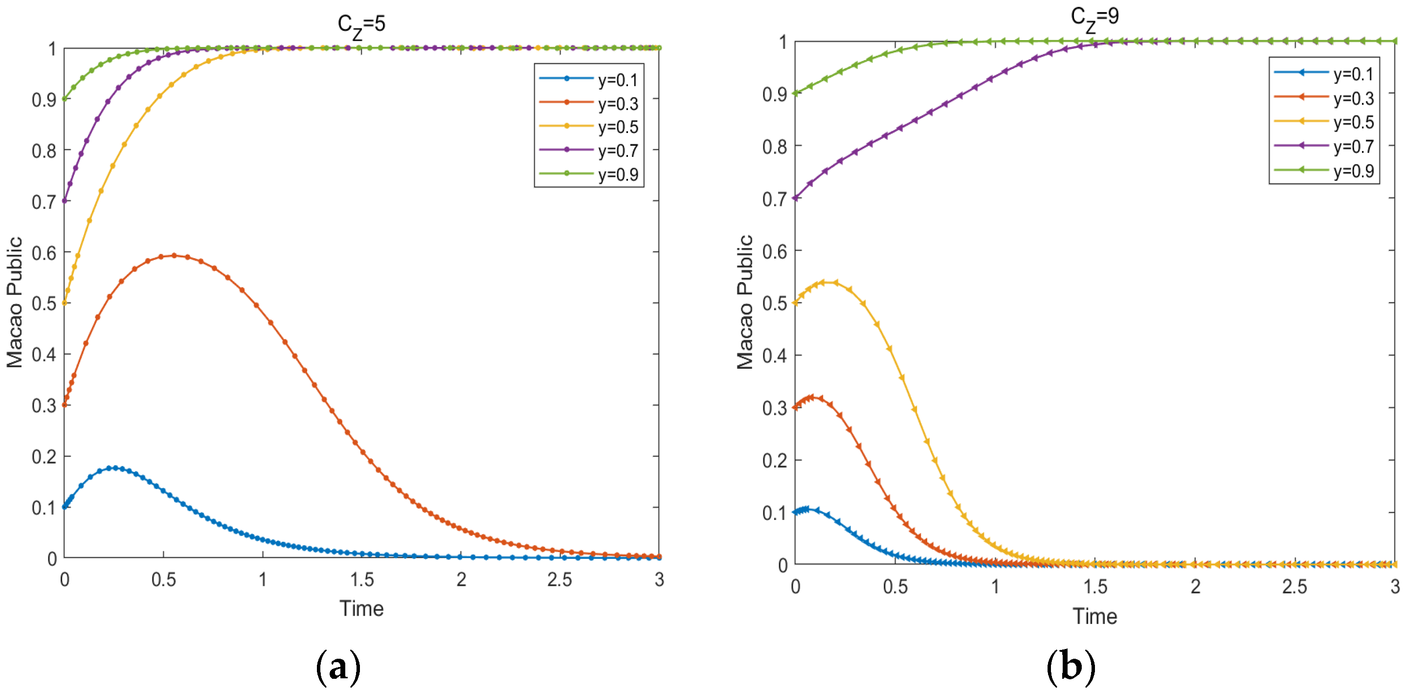
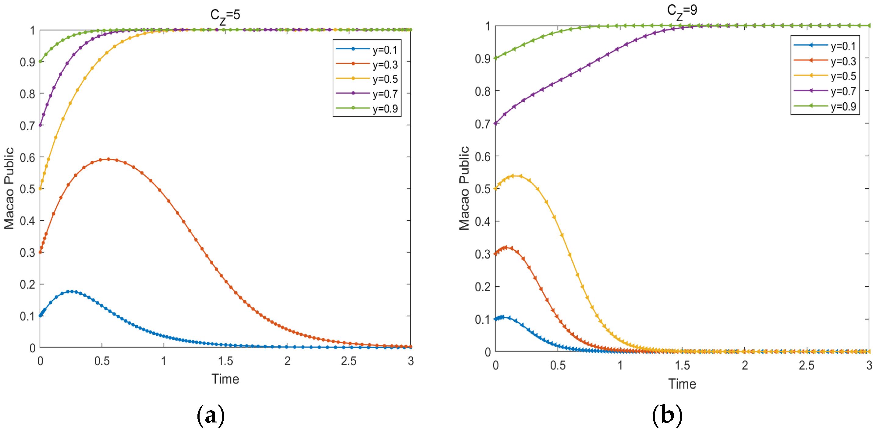
When CZ takes the values of 5 and 9, Macao residents actively purchase electric vehicles. This behavior follows changes in the further cost of governance CZ in the evolutionary results, as shown in Figure 3.
Figure 3.
Impact of CZ changes on evolution results for residents of Macao. (a) CZ = 5, (b) CZ = 9.
From Figure 3, when CZ = 5 and y = 0.5, Macao residents choose the positive EVs purchase strategy; when CZ = 9 and y = 0.5, Macao residents choose the negative EVs purchase strategy. Upon adjusting for other influencing factors, it becomes evident that a larger CZ leads to a higher cost of additional governance following Macao residents’ disclosure, thereby making the positive EVs purchase strategy less appealing to the Macao residents. The higher the cost of further governance required after disclosure, the less favorable the Macao residents’ choice of a positive EVs purchasing strategy.
Figure 4 illustrates the impact of subsequent changes in the comprehensive income (IH) available to Macao residents on active purchases when IH takes values of 6 and 10, respectively.
Figure 4.
Impact of IH changes on evolutionary outcomes for residents of Macao. (a) IH = 6, (b) IH = 10.
From Figure 4, when IH = 6 and y = 0.3, Macao residents choose the negative EVs purchasing strategy, and when IH = 10 and y = 0.3, Macao residents choose the positive EVs purchasing strategy. When the other influencing factors are fixed, the larger the IH, the higher the combined benefits that Macao residents need to obtain after actively purchasing EVs, and the more favorable it is for Macao residents to choose the positive EVs purchasing strategy. The higher the IH, the higher the comprehensive benefits to be obtained after actively purchasing EVs, and the more favorable it is for the Macao residents to choose the strategy of actively purchasing EVs.
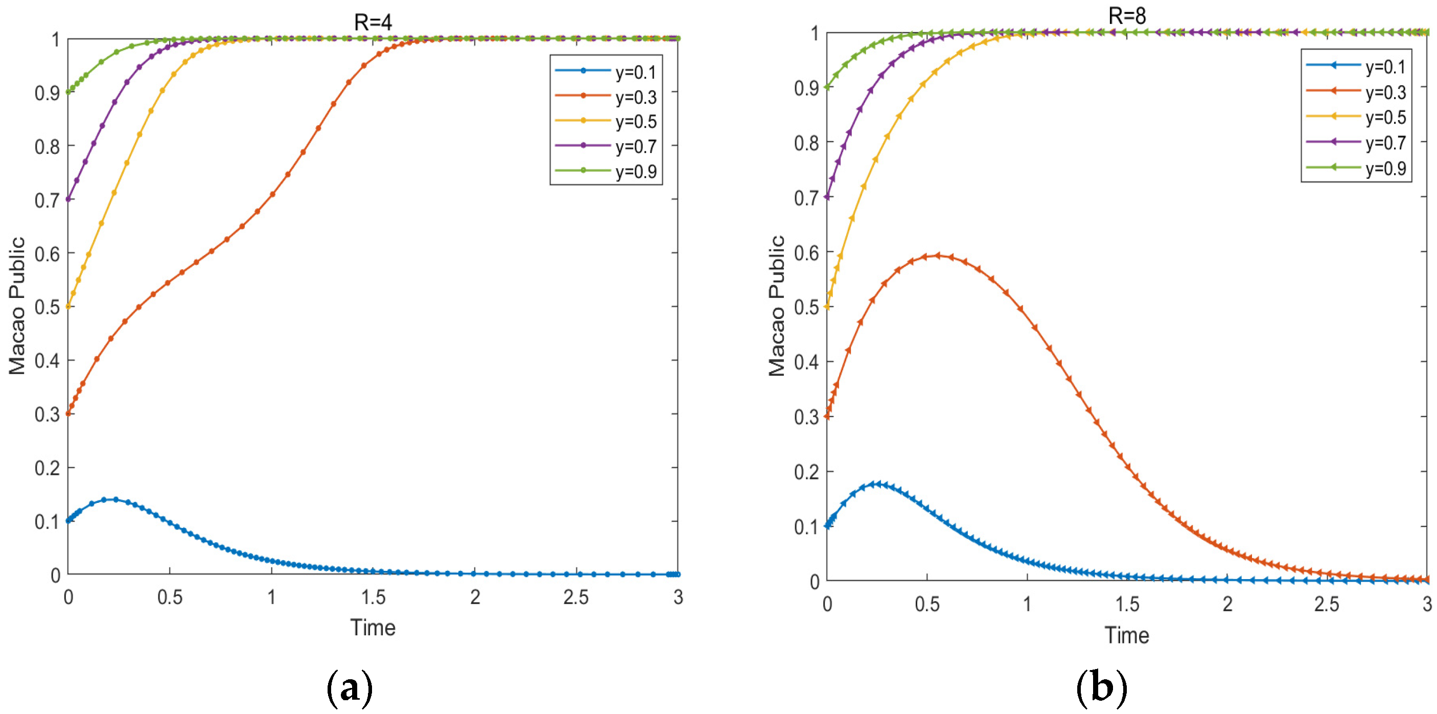
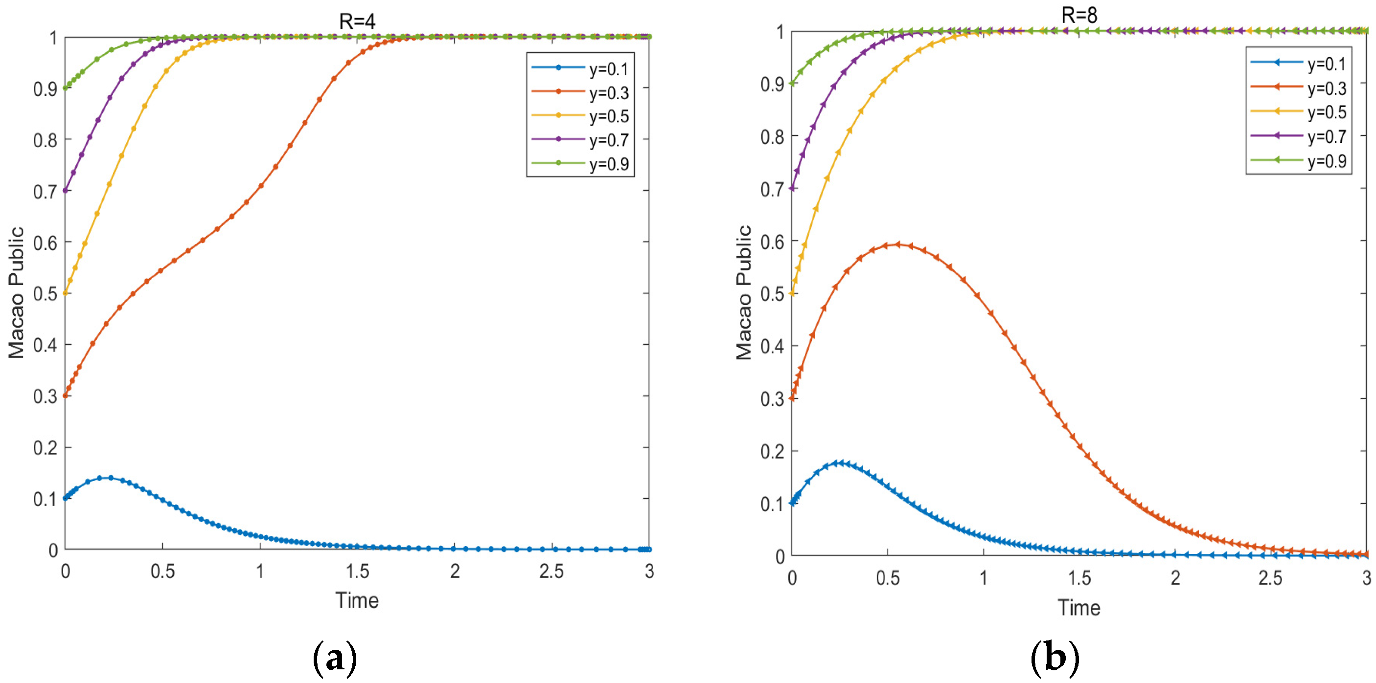
Figure 5 displays the evolutionary results. It shows what happens when the government’s financial subsidy R changes from 4 to 8 for people in Macao who buy electric vehicles.
Figure 5.
Impact of R changes on evolutionary outcomes for residents of Macao. (a) R = 4, (b) R = 8.
Figure 5 shows that when R = 4 and y = 0.3, Macao residents choose the positive EVs purchase strategy; when R = 8 and y = 0.3, Macao residents choose the negative EVs purchase strategy. When the other influencing factors are fixed, the larger the R when the government provides a financial subsidy exceeding a specific limit, the more detrimental it is for the Macao residents to choose the positive purchase strategy. When IL takes values of 2 and 6, respectively, the Macao residents can obtain additional economic gains when they choose the negative purchase EVs strategy.
When IL = 2 and y = 0.5, the Macao residents choose the negative purchase EVs strategy, and when IL = 6 and y = 0.5, the Macao residents will choose the negative purchase EVs strategy even more. When fixing the other influencing factors, the larger the IL, the higher the additional economic gains that can be obtained when the Macao residents can obtain additional economic gains when choosing the negative purchase/positive purchase EVs strategy. The higher the IL is, the more Macao residents will choose the negative purchase EV strategy and therefore the more unfavorable it is for Macao residents to choose the positive purchase EV strategy. When S2 takes the values of 2 and 6, Macao residents adopt a negative or positive strategy regarding the purchase of electric vehicles to respond to the impact of changes in reputation loss (S2) on the development results, as shown in Figure 6.
Figure 6.
Impact of IL changes on evolutionary outcomes for residents of Macao. (a) IL = 2, (b) IL = 6.
The findings from the evolutionary game model reveal how specific parameters and variables critically influence the adoption of electric vehicles in Macao. Key parameters, such as the cost of EVs (CH), government subsidies (R), and the public’s environmental awareness, significantly affect the dynamics of EV adoption. For instance, an increase in government subsidies (R) initially boosts EV purchases, but if these subsidies exceed a certain threshold, they can lead to market saturation wherein additional increases do not further enhance adoption rates. Surprisingly, the model also shows that very high environmental awareness among residents does not always correlate with higher EV adoption, potentially due to the high upfront costs and practical limitations of EVs. These counterintuitive findings suggest that overly aggressive subsidies and relying solely on environmental consciousness may not be as effective unless paired with comprehensive support infrastructure and cost reductions. The detailed simulation results, provide a visual representation of these dynamics, illustrating the non-linear relationships and threshold effects that are crucial for policy formulation.
Based on our study’s findings, we recommend several specific and actionable policies to enhance EV adoption in Macao. First, a tiered subsidy model should be introduced, offering higher subsidies for vehicles with greater energy efficiency and lower emissions, as well as for those purchasing EVs for commercial use. This approach targets the reduction of overall environmental impact more effectively than uniform subsidies.
Second, investment in charging infrastructure must be calibrated to demand projections derived from EV adoption rates. We suggest initially targeting high-density urban areas and major transportation hubs for infrastructure development to maximize accessibility and visibility, thereby encouraging uptake. The government should consider partnering with private enterprises to share investment costs and accelerate infrastructure development.
Lastly, to increase public awareness and education, a multi-channel campaign using social media, community workshops, and partnerships with educational institutions should be launched. This campaign should focus on communicating the benefits of EVs, including cost savings over time, lower environmental impact, and improved air quality. Additionally, hands-on experiences, such as test drives and exhibitions, should be organized to increase familiarity with EV technology.
5. Conclusions
This study advances knowledge in multiple ways. First, it presents a dynamic evolutionary game model that captures the interaction between the government and electric vehicle (EV) users in Macao, providing a nuanced understanding of the decision-making processes that influence EV adoption. This model builds on the theoretical foundations of evolutionary game theory and adapts it to the specific context of EV adoption, enriching the literature with new insights into how government policies can shape consumer behavior in the context of sustainable transportation. Second, this study highlights the specific obstacles and incentives affecting EV uptake in Macao, thereby offering actionable insights for policy-makers in enhancing the effectiveness of their strategies. The findings align with the previous literature on the importance of financial incentives and infrastructural improvements in promoting EV adoption. Lastly, this study employs comprehensive simulation analyses to predict the long-term impact of different policy measures on EV adoption, enabling a more data-driven approach to policy formulation.
The practical implications of this study are significant for policy-makers and stakeholders in Macao. The results indicate that enhancing charging infrastructure and providing targeted financial incentives, such as subsidies or tax breaks, are crucial for promoting EV adoption. These strategies can lower the initial cost barrier for potential EV buyers and make EV usage more convenient, thereby increasing their attractiveness. Policy-makers should also consider implementing public awareness campaigns to educate residents about the benefits of EVs and the availability of incentives, as increased awareness can drive higher adoption rates. Additionally, this study’s simulation results suggest that flexible, adaptive policies that respond to market dynamics can prevent dependency on subsidies and ensure sustainable growth in EV adoption.
Despite its contributions, this study has several limitations that should be addressed in future research. First, the data used in the simulation models were primarily based on assumptions and the existing literature, which may not fully capture the complex realities of the Macao market. Future research should incorporate real-time data and longitudinal studies to validate the findings. Second, this study focuses on the Macao context, which may limit the generalizability of the results to other regions with different economic and infrastructural conditions. Comparative studies involving multiple regions could provide a broader perspective on EV adoption dynamics. Third, the model does not account for potential technological advancements in EVs and charging infrastructure that could influence consumer behavior and policy effectiveness. Future research should include scenarios that consider technological developments and their impact on the market. Finally, this study does not explore the role of non-financial incentives, such as regulatory measures and environmental policies, which could also play a significant role in promoting EV adoption. Investigating these factors could provide a more comprehensive understanding of the drivers of EV adoption.
To overcome these limitations, future research should focus on incorporating real-time data and conducting longitudinal studies to validate the simulation results. Comparative studies across different regions can enhance the generalizability of our findings. Additionally, future research should consider technological advancements and their potential impact on EV adoption. Exploring the role of non-financial incentives, such as regulatory measures and environmental policies, can provide a more holistic view of the factors influencing EV adoption. Lastly, qualitative studies involving interviews and surveys with stakeholders can offer deeper insights into consumer attitudes and behaviors, complementing the quantitative findings of this study.
Author Contributions
Conceptualization, R.C. and L.L.; methodology, W.L.; software, R.C.; validation, R.C., L.L. and W.L.; formal analysis, R.C.; investigation, R.C.; resources, L.L.; data curation, L.L.; writing—original draft preparation, R.C.; writing—review and editing, R.C.; visualization, R.C.; supervision, L.L.; project administration, L.L. All authors have read and agreed to the published version of the manuscript.
Funding
This research received no external funding.
Data Availability Statement
The original contributions presented in the study are included in the article, further inquiries can be directed to the corresponding author.
Conflicts of Interest
The authors declare no conflicts of interest.
References
- Hossain, M.S.; Kumar, L.; Islam, M.M.; Selvaraj, J. A Comprehensive Review on the Integration of Electric Vehicles for Sustainable Development. J. Adv. Transp. 2022, 2022, 3868388. [Google Scholar] [CrossRef]
- Iflah, A.; Ahmad, A. Electric Vehicles for Environmental Sustainability. In Smart Technologies for Energy and Environmental Sustainability; Springer: Cham, Switzerland, 2021; pp. 131–145. [Google Scholar]
- Ning, W.; Pan, H.; Zheng, W. Assessment of the Incentives on Electric Vehicle Promotion in China. Transp. Res. Part A Policy Pract. 2017, 101, 177–189. [Google Scholar]
- Alimujiang, A.; Jiang, P. Synergy and co-benefits of reducing CO2 and air pollutant emissions by promoting electric vehicles—A case of Shanghai. Energy Sustain. Dev. 2020, 55, 181–189. [Google Scholar] [CrossRef]
- Ajanovic, A.; Haas, R. Dissemination of electric vehicles in urban areas: Major factors for success. Energy 2016, 115, 1451–1458. [Google Scholar] [CrossRef]
- Gerssen-Gondelach, S.J.; Faaij, A.P. Performance of batteries for electric vehicles on short and longer term. J. Power Sources 2012, 212, 111–129. [Google Scholar] [CrossRef]
- Sanguesa, J.A.; Torres-Sanz, V.; Garrido, P.; Martinez, F.J.; Marquez-Barja, J.M. A Review on Electric Vehicles: Technologies and Challenges. Smart Cities 2021, 4, 372–404. [Google Scholar] [CrossRef]
- Ghadikolaei, M.A.; Wong, P.K.; Cheung, C.S.; Zhao, J.; Ning, Z.; Yung, K.-F.; Wong, H.C.; Gali, N.K. Why Is the World Not yet Ready to Use Alternative Fuel Vehicles? Heliyon 2021, 7, e07527. [Google Scholar] [CrossRef] [PubMed]
- Mwangi, J.K.; Lee, W.-J.; Chang, Y.-C.; Chen, C.-Y.; Wang, L.-C. An overview: Energy saving and pollution reduction by using green fuel blends in diesel engines. Appl. Energy 2015, 159, 214–236. [Google Scholar] [CrossRef]
- Lai, I.K.W.; Liu, Y.; Sun, X.; Zhang, H.; Xu, W. Factors Influencing the Behavioural Intention towards Full Electric Vehicles: An Empirical Study in Macau. Sustainability 2015, 7, 12564–12585. [Google Scholar] [CrossRef]
- Lau, Y.; Wu, Y.A.; Yan, M.W. Electric Vehicle Charging Infrastructures in the Greater Bay Area of China: Progress, Challenges and Efforts. Front. Future Transp. 2022, 3, 893583. [Google Scholar] [CrossRef]
- Coffman, M.; Bernstein, P.; Wee, S. Electric vehicles revisited: A review of factors that affect adoption. Transp. Rev. 2016, 37, 79–93. [Google Scholar] [CrossRef]
- Krishna, G. Understanding and identifying barriers to electric vehicle adoption through thematic analysis. Transp. Res. Interdiscip. Perspect. 2021, 10, 100364. [Google Scholar] [CrossRef]
- Featherman, M.; Jia, S.; Califf, C.B.; Hajli, N. The impact of new technologies on consumers beliefs: Reducing the perceived risks of electric vehicle adoption. Technol. Forecast. Soc. Chang. 2021, 169, 120847. [Google Scholar] [CrossRef]
- Muratori, M.; Alexander, M.; Arent, D.; Bazilian, M.; Cazzola, P.; Dede, E.M.; Farrell, J.; Gearhart, C.; Greene, D.; Jenn, A.; et al. The rise of electric vehicles—2020 status and future expectations. Prog. Energy 2021, 3, 022002. [Google Scholar] [CrossRef]
- Rietmann, N.; Lieven, T. How policy measures succeeded to promote electric mobility—Worldwide review and outlook. J. Clean. Prod. 2018, 206, 66–75. [Google Scholar] [CrossRef]
- Cao, J.; Chen, X.; Qiu, R.; Hou, S. Electric vehicle industry sustainable development with a stakeholder engagement system. Technol. Soc. 2021, 67, 101771. [Google Scholar] [CrossRef]
- Muhammad, I.; Ahmad, M. Relating Consumers’ Information and Willingness to Buy Electric Vehicles: Does Personality Matter? Transp. Res. Part D Transp. Environ. 2021, 100, 103049. [Google Scholar]
- Sierzchula, W.; Bakker, S.; Maat, K.; van Wee, B. The influence of financial incentives and other socio-economic factors on electric vehicle adoption. Energy Policy 2014, 68, 183–194. [Google Scholar] [CrossRef]
- Zikai, Z.; Sheng, N.; Zhao, D.; Cai, K.; Yang, G.; Song, Q. Are Residents More Willing to Buy and Pay for Electric Vehicles under the “Carbon Neutrality”? Energy Rep. 2023, 9, 510–521. [Google Scholar]
- Lampo, A.; Silva, S.C.; Duarte, P. The role of environmental concern and technology show-off on electric vehicles adoption: The case of Macau. Int. J. Emerg. Mark. 2023, 5, 8809. [Google Scholar] [CrossRef]
- Zhang, J.; Xu, S.; He, Z.; Li, C.; Meng, X. Factors Influencing Adoption Intention for Electric Vehicles under a Subsidy Deduction: From Different City-Level Perspectives. Sustainability 2022, 14, 5777. [Google Scholar] [CrossRef]
- Riechert, S.E.; Hammerstein, P. Game Theory in the Ecological Context. Annu. Rev. Ecol. Syst. 1983, 14, 377–409. [Google Scholar] [CrossRef]
- Hodgson, G.M.; Stoelhorst, J.W. Introduction to the special issue on the future of institutional and evolutionary economics. J. Institutional Econ. 2014, 10, 513–540. [Google Scholar] [CrossRef]
- Michael, R.; Sterman, J.D. Evolutionary Economics and System Dynamics. Evol. Concepts Contemp. Econ. 1994, 34, 61–89. [Google Scholar]
- Callegari, B.; Feder, C. The long-term economic effects of pandemics: Toward an evolutionary approach. Ind. Corp. Chang. 2021, 31, 715–735. [Google Scholar] [CrossRef]
- Sandholm, W.H. Evolutionary Game Theory. In Complex Social and Behavioral Systems: Game Theory and Agent-Based Models; Springer: Berlin/Heidelberg, Germany, 2020. [Google Scholar]
- Holling, C.S. Understanding the Complexity of Economic, Ecological, and Social Systems. Ecosystems 2001, 4, 390–405. [Google Scholar] [CrossRef]
- Soares, J.; Pinto, T.; Lezama, F.; Morais, H. Survey on Complex Optimization and Simulation for the New Power Systems Paradigm. Complexity 2018, 2018, 1–32. [Google Scholar] [CrossRef]
- Perera, A.T.D.; Kamalaruban, P. Applications of Reinforcement Learning in Energy Systems. Renew. Sustain. Energy Rev. 2021, 137, 110618. [Google Scholar] [CrossRef]
- Khalid, A.; Anwar, A. Pro-environment consumer behaviour and electric vehicle adoptions: A comparative regional meta-analysis. Appl. Econ. 2024, 1, 1–25. [Google Scholar] [CrossRef]
- He, J.; Zheng, X. Do consumers try to solve the air pollution problem themselves? the effects of air pollution on purchase of hybrid and electric cars. J. Econ. Behav. Organ. 2024, 220, 850–868. [Google Scholar] [CrossRef]
- Aravindan, K.L.; Izzat, M.A.; Ramayah, T.; Chen, T.S.; Choong, Y.V.; Annamalah, S.; Ilhavenil, N.; Bin Ahmad, A. Determinants of Electric Car Patronage Intention. Int. J. Technol. 2023, 14, 1393–1401. [Google Scholar] [CrossRef]
- Dai, G.; Yang, S. A comparative study of motivations driving EV purchases in different-tier Chinese cities. Transp. Res. Part D Transp. Environ. 2024, 126, 103993. [Google Scholar] [CrossRef]
- Ramadani, V.; Armutcu, B.; Reshidi, N.; Tan, A.; Ince, E. Antecedents of electric vehicle purchasing behaviors: Evidence from Türkiye. Bus. Ethic-Environ. Responsib. 2024, 2, 1–17. [Google Scholar] [CrossRef]
- Scarlat, G.; Rosenzweig, S.; Rubin, O. Which Energy Labels Should We Use to Expedite the Transition to Electric Vehicles? Front. Environ. Sci. 2024, 12, 1354677. [Google Scholar] [CrossRef]
- Stekelberg, J.; Vance, T. The effect of transferable tax benefits on consumer intent to purchase an electric vehicle. Energy Policy 2024, 186, 113936. [Google Scholar] [CrossRef]
- Wang, Z.-X.; Chee, W.M.; Bin Jantan, A.H.; Xia, Y.-H.; Xue, H.; Ye, M.-J.; Zhang, Q.; Wong, P.P.W.; Gong, Y.; Wang, L. Impact of perceived value in virtual brand communities on purchase intention of domestic electric vehicles. Acta Psychol. 2024, 248, 104371. [Google Scholar] [CrossRef]
- Soodan, V.; Saha, S. Applying an Extended Theory of Planned Behaviour to Predict Indian Customer’s E-Vehicle Purchase Intention. Int. J. Appl. Manag. Sci. 2023, 15, 258–276. [Google Scholar] [CrossRef]
- Zhao, H.; Furuoka, F.; Rasiah, R.A.; Shen, E. Consumers’ Purchase Intention toward Electric Vehicles from the Perspective of Perceived Green Value: An Empirical Survey from China. World Electr. Veh. J. 2024, 15, 267. [Google Scholar] [CrossRef]
- Qadir, S.A.; Ahmad, F.; Al-Wahedi, A.M.A.B.; Iqbal, A.; Ali, A. Navigating the Complex Realities of Electric Vehicle Adoption: A Comprehensive Study of Government Strategies, Policies, and Incentives. Energy Strategy Rev. 2024, 53, 101379. [Google Scholar] [CrossRef]
- Razi, F.; Dincer, I. A review of the current state, challenges, opportunities and future directions for implementation of sustainable electric vehicle infrastructure in Canada. J. Energy Storage 2022, 56, 106048. [Google Scholar] [CrossRef]
- Ghorbani, A.; Fartash, K. Challenges of Smart Grid Technology Deployment in Developing Countries: Case Study of Iran. In Handbook of Smart Energy Systems; Springer: Cham, Switzerland, 2023; pp. 2551–2572. [Google Scholar]
- Broadbent, G.H.; Metternicht, G.I.; Wiedmann, T.O. Increasing Electric Vehicle Uptake by Updating Public Policies to Shift Attitudes and Perceptions: Case Study of New Zealand. Energies 2021, 14, 2920. [Google Scholar] [CrossRef]
- Zhong, Q.; Fu, H.; Yan, J.; Li, Z. How does energy utilization affect rural sustainability development in traditional villages? Re-examination from the coupling coordination degree of atmosphere-ecology-socioeconomics system. J. Affect. Disord. 2024, 257, 111541. [Google Scholar] [CrossRef]
- Deng, C.; Qian, Y.; Song, X.; Xie, M.; Duan, H.; Shen, P.; Qiao, Q. Are Electric Vehicles Really the Optimal Option for the Transportation Sector in China to Approach Pollution Reduction and Carbon Neutrality Goals? J. Environ. Manag. 2024, 356, 120648. [Google Scholar] [CrossRef]
- Leurent, F.; Windisch, E. Triggering the development of electric mobility: A review of public policies. Eur. Transp. Res. Rev. 2011, 3, 221–235. [Google Scholar] [CrossRef]
- Onat, N.C. How to Compare Sustainability Impacts of Alternative Fuel Vehicles? Transp. Res. Part D Transp. Environ. 2022, 102, 103129. [Google Scholar] [CrossRef]
- Hidrue, M.K.; Parsons, G.R.; Kempton, W.; Gardner, M.P. Willingness to pay for electric vehicles and their attributes. Resour. Energy Econ. 2011, 33, 686–705. [Google Scholar] [CrossRef]
- Li, W.; Long, R.; Chen, H.; Geng, J. A review of factors influencing consumer intentions to adopt battery electric vehicles. Renew. Sustain. Energy Rev. 2017, 78, 318–328. [Google Scholar] [CrossRef]
- Ma, S.-C.; Xu, J.-H.; Fan, Y. Willingness to pay and preferences for alternative incentives to EV purchase subsidies: An empirical study in China. Energy Econ. 2019, 81, 197–215. [Google Scholar] [CrossRef]
- Shepherd, S.; Bonsall, P.; Harrison, G. Factors affecting future demand for electric vehicles: A model based study. Transp. Policy 2012, 20, 62–74. [Google Scholar] [CrossRef]
- Harvey, L.D.D. Rethinking Electric Vehicle Subsidies, Rediscovering Energy Efficiency. Energy Policy 2020, 146, 111760. [Google Scholar] [CrossRef]
- Wei, F.; Walls, W.; Zheng, X.; Li, G. Evaluating environmental benefits from driving electric vehicles: The case of Shanghai, China. Transp. Res. Part D Transp. Environ. 2023, 119, 103749. [Google Scholar] [CrossRef]
- Zhang, X.; Bai, X.; Shang, J. Is Subsidized Electric Vehicles Adoption Sustainable: Consumers’ Perceptions and Motivation toward Incentive Policies, Environmental Benefits, and Risks. J. Clean. Prod. 2018, 192, 71–79. [Google Scholar] [CrossRef]
- Ma, S.-C.; Fan, Y.; Feng, L. An evaluation of government incentives for new energy vehicles in China focusing on vehicle purchasing restrictions. Energy Policy 2017, 110, 609–618. [Google Scholar] [CrossRef]
- Madina, C.; Zamora, I.; Zabala, E. Methodology for assessing electric vehicle charging infrastructure business models. Energy Policy 2015, 89, 284–293. [Google Scholar] [CrossRef]
- Kumar, R.R.; Alok, K. Adoption of electric vehicle: A literature review and prospects for sustainability. J. Clean. Prod. 2020, 253, 119911. [Google Scholar] [CrossRef]
- Shahzad, K.; Cheema, I.I. Low-carbon technologies in automotive industry and decarbonizing transport. J. Power Sources 2024, 591, 233888. [Google Scholar] [CrossRef]
- de Oliveira, M.S.; Steffen, V.; Trojan, F. Systematic Literature Review on Electric Vehicles and Multicriteria Decision Making: Trends, Rankings, and Future Perspectives. J. Intell. Manag. Decis. 2024, 3, 22–41. [Google Scholar] [CrossRef]
- Kautish, P.; Lavuri, R.; Roubaud, D.; Grebinevych, O. Electric vehicles’ choice behaviour: An emerging market scenario. J. Environ. Manag. 2024, 354, 120250. [Google Scholar] [CrossRef] [PubMed]
- Franke, T.; Krems, J.F. Understanding Charging Behaviour of Electric Vehicle Users. Transp. Res. Part F Traffic Psychol. Behav. 2013, 21, 75–89. [Google Scholar] [CrossRef]
- Encarnação, S.; Santos, F.P.; Santos, F.C.; Blass, V.; Pacheco, J.M.; Portugali, J. Paths to the Adoption of Electric Vehicles: An Evolutionary Game Theoretical Approach. Transp. Res. Part B-Methodol. 2018, 113, 24–33. [Google Scholar] [CrossRef]
- Sinha, P.; Paul, K.; Deb, S.; Sachan, S. Comprehensive Review Based on the Impact of Integrating Electric Vehicle and Renewable Energy Sources to the Grid. Energies 2023, 16, 2924. [Google Scholar] [CrossRef]
- Saputra, Y.M.; Nguyen, D.N.; Hoang, D.T.; Vu, T.X.; Dutkiewicz, E.; Chatzinotas, S. Federated Learning Meets Contract Theory: Economic-Efficiency Framework for Electric Vehicle Networks. IEEE Trans. Mob. Comput. 2020, 21, 2803–2817. [Google Scholar] [CrossRef]
- Wang, G.; Chen, C.; Beshiwork, B.A.; Lin, B. Developing a low-carbon hybrid of ammonia fuel cell and internal combustion engine for carbon neutrality. Appl. Energy Combust. Sci. 2023, 16, 100214. [Google Scholar] [CrossRef]
- Balaji, V.; Anthony, X.M. Development of high entropy alloys (HEAs): Current trends. Heliyon 2024, 10, e26464. [Google Scholar] [CrossRef]
- Rapson, D.S.; Muehlegger, E. The Economics of Electric Vehicles. Rev. Environ. Econ. Policy 2023, 17, 274–294. [Google Scholar] [CrossRef]
- Leurent, F.; Windisch, E. Benefits and Costs of Electric Vehicles for the Public Finances: An Integrated Valuation Model Based on Input–Output Analysis, with Application to France. Res. Transp. Econ. 2015, 50, 51–62. [Google Scholar] [CrossRef]
- Xu, Y.; Zhang, W.; Bao, H.; Zhang, S.; Xiang, Y. A SEM–Neural Network Approach to Predict Customers’ Intention to Purchase Battery Electric Vehicles in China’s Zhejiang Province. Sustainability 2019, 11, 3164. [Google Scholar] [CrossRef]
- Peters, A.; Dütschke, E. How do Consumers Perceive Electric Vehicles? A Comparison of German Consumer Groups. J. Environ. Policy Plan. 2014, 16, 359–377. [Google Scholar] [CrossRef]
- Morrissey, P.; Weldon, P.; O’mahony, M. Future standard and fast charging infrastructure planning: An analysis of electric vehicle charging behaviour. Energy Policy 2016, 89, 257–270. [Google Scholar] [CrossRef]
- Chen, R.; Fan, R.; Wang, D.; Yao, Q. Effects of multiple incentives on electric vehicle charging infrastructure deployment in China: An evolutionary analysis in complex network. Energy 2023, 264, 125747. [Google Scholar] [CrossRef]
- Higueras-Castillo, E.; Guillén, A.; Herrera, L.-J.; Liébana-Cabanillas, F. Adoption of Electric Vehicles: Which Factors Are Really Important? Int. J. Sustain. Transp. 2021, 15, 799–813. [Google Scholar] [CrossRef]
- Margaret, T. Consumer Behavior and the Plug-in Electric Vehicle Purchase Decision Process: A Research Synthesis. eScholarship: Berkeley, CA, USA, 2018. [Google Scholar]
- Liao, F.; Molin, E.; Timmermans, H.; van Wee, B. Consumer preferences for business models in electric vehicle adoption. Transp. Policy 2018, 73, 12–24. [Google Scholar] [CrossRef]
- Moradi, A.; Vagnoni, E. A Multi-Level Perspective Analysis of Urban Mobility System Dynamics: What Are the Future Transition Pathways? Technol. Forecast. Soc. Chang. 2018, 126, 231–243. [Google Scholar] [CrossRef]
- Munthe, K.; Simanihuruk, P.; Sitinjak, C.; Ober, J.; Kochmańska, A. Optimization of Financial Management for Enhancing the Electric Vehicle Market in Medan, Indonesia. Manag. Syst. Prod. Eng. 2024, 32, 212–225. [Google Scholar] [CrossRef]
- Mukherjee, I.; Coban, M.K.; Bali, A.S. Policy capacities and effective policy design: A review. Policy Sci. 2021, 54, 243–268. [Google Scholar] [CrossRef]
- Panagiotis, D. Corporate Social Responsibility: Stakeholder Theory, and Conceptual Framework. In Corporate Social Responsibility and Governance; Taylor & Francis: New York, NY, USA, 2022; pp. 13–30. [Google Scholar]
Disclaimer/Publisher’s Note: The statements, opinions and data contained in all publications are solely those of the individual author(s) and contributor(s) and not of MDPI and/or the editor(s). MDPI and/or the editor(s) disclaim responsibility for any injury to people or property resulting from any ideas, methods, instructions or products referred to in the content. |
© 2024 by the authors. Licensee MDPI, Basel, Switzerland. This article is an open access article distributed under the terms and conditions of the Creative Commons Attribution (CC BY) license (https://creativecommons.org/licenses/by/4.0/).










