Rendezvous of Nonholonomic Unmanned Ground Vehicles with Ultra-Wide-Angle Cameras
Abstract
1. Introduction
- For the rendezvous problem of the multi-UGV cluster under the constraint of ultra-wide-angle camera sensing, the output feedback FOV constraint consensus control is proposed, which effectively improves the control accuracy of the formation;
- To address the UGV communication challenges posed by restricted viewing angles, the sliding mode surface is optimized using an FOV-constrained potential function, minimizing the risk of inter-UGV collisions;
- Aiming at the consensus problem of multiple UGV outputs with communication delays and unpredictable velocities, this paper proposes an underactuated second-order system based on virtual spring connections, aiming to enhance the formation stability of UGVs subject to external disturbances.
2. Problem Description
2.1. Unmanned Ground Vehicle (UGV) Model
2.2. Control Objective
- (1)
- The UGV is required to join in formation near a non-predefined rendezvous point, which can be described as:
- (2)
- Each UGV has the same angular velocity and the same direction of heading; it can be described as:
2.3. FOV Constraint
2.3.1. Ultra-Wide-Angle Cameras
2.3.2. Potential Function
- (a)
- Angle-based potential functionA smooth FOV transition region is introduced; the size of the transition region is expressed by tuning parameters . Let the angle of i with respect to j be s. Therefore, the angle-based potential function can be expressed as:where ,.
- (b)
- Distance-based potential functionDesign a tuning parameter , satisfying . Then, the potential function based on distance can be expressed as:
2.4. Time Delay and Unmeasurable Velocity
3. Control Design
3.1. Output Feedback Consensus Control
3.1.1. Angular Consensus
3.1.2. Position Consensus
3.2. Output Feedback Consensus Control with Communication Delay
3.2.1. Main Result
3.2.2. Stability Proof
- (1)
- Bounded trajectories
- (2)
- Vanishing of the consensus errors
4. Simulation
4.1. Set Up
- kg , m = 5.64 kg, r = 0.09 m and R = 0.157 m.
4.2. Consensus Analysis
4.2.1. Parameters of the Controller and Desired Values
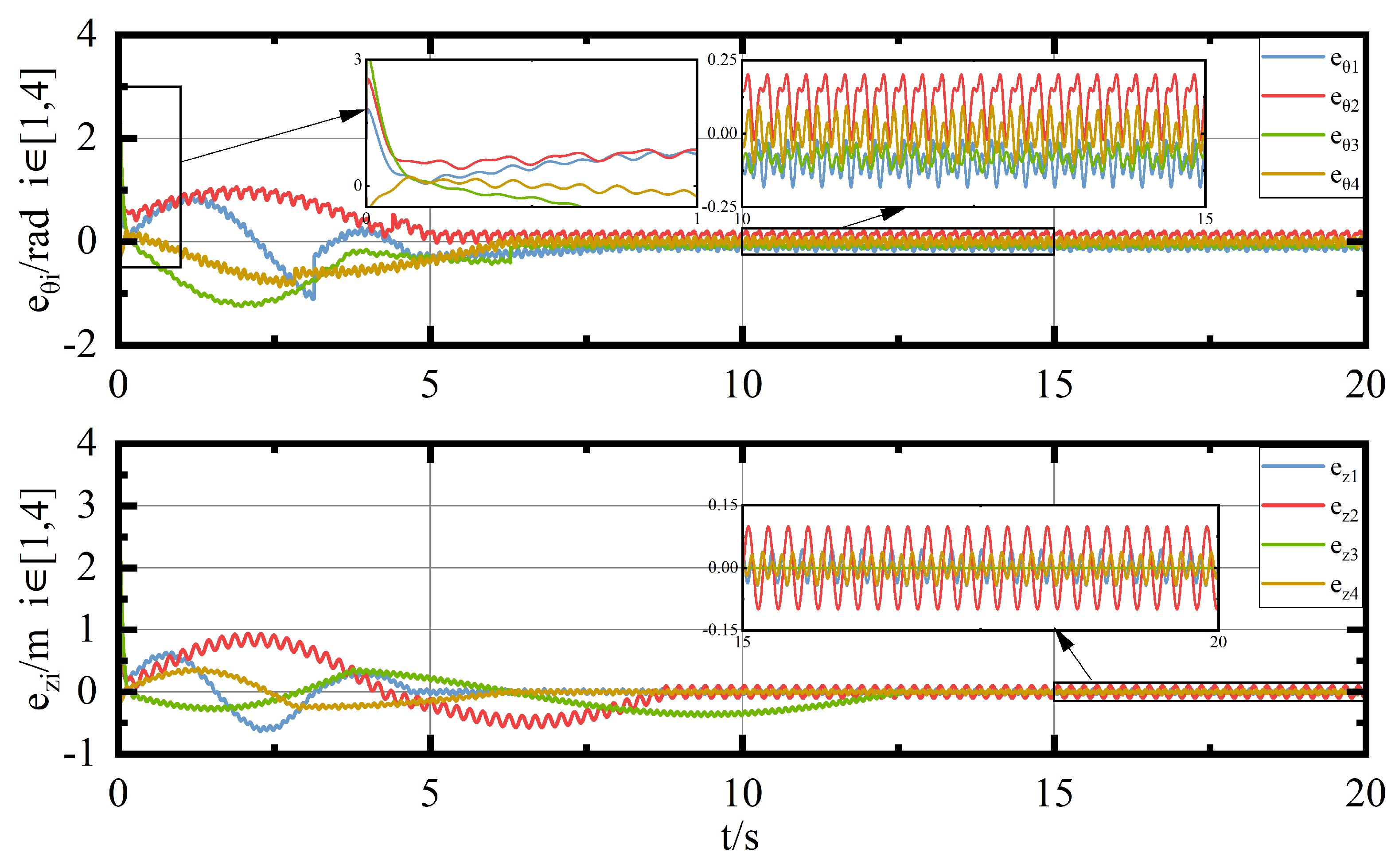
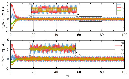
4.2.2. Simulation Results and Analysis
4.3. Rendezvous Control Performance and FOV Constraint Analysis
4.3.1. Parameters of the Controller and Desired Values
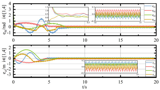
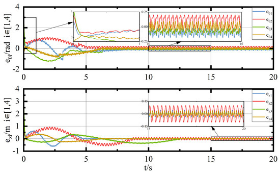
4.3.2. Simulation Results and Analysis
5. Conclusions
Author Contributions
Funding
Data Availability Statement
Conflicts of Interest
References
- Arafat, M.Y.; Moh, S. A survey on cluster-based routing protocols for unmanned aerial vehicle networks. IEEE Access 2018, 7, 498–516. [Google Scholar] [CrossRef]
- Li, J.; Zhao, M.; Ding, Y.; Liu, D.Y.; Wang, Y.; Liang, H. An aggregate authentication framework for unmanned aerial vehicle cluster network. In Proceedings of the 2020 IEEE nternational Conference on Parallel and Distributed Processing with Applications, Big Data and Cloud Computing, Sustainable Computing and Communications, Social Computing and Networking (ISPA/BDCloud/SocialCom/SustainCom), Exeter, UK, 17–19 December 2020; pp. 1249–1256. [Google Scholar]
- Nuno, E.; Loria, A.; Panteley, E.; Restrepo, E. Rendezvous of nonholonomic robots via output-feedback control under time-varying delays. IEEE Trans. Control. Syst. Technol. 2022, 30, 2707–2716. [Google Scholar] [CrossRef]
- Rucco, A.; Sujit, P.B.; Aguiar, A.P.; De Sousa, J.B.; Pereira, F.L. Optimal rendezvous trajectory for unmanned aerial-ground vehicles. IEEE Trans. Aerosp. Electron. Syst. 2017, 54, 834–847. [Google Scholar] [CrossRef]
- Lu, P.; Liu, X. Autonomous trajectory planning for rendezvous and proximity operations by conic optimization. J. Guid. Control. Dyn. 2013, 36, 375–389. [Google Scholar] [CrossRef]
- Chandra, R.S.; Breheny, S.H.; D’Andrea, R. Antenna array synthesis with clusters of unmanned aerial vehicles. Automatica 2008, 44, 1976–1984. [Google Scholar] [CrossRef]
- Dong, S.; Chen, G.; Liu, M.; Wu, Z.-G. Intermittent Cluster Consensus Control of Multiagent Systems From a Static/Dynamic Output Approach. IEEE Trans. Syst. Man Cybern. Syst. 2022, 52, 7727–7736. [Google Scholar] [CrossRef]
- Orqueda, O.A.A.; Zhang, X.T.; Fierro, R. An output feedback nonlinear decentralized controller for unmanned vehicle co-ordination. Int. J. Robust Nonlinear Control. IFAC-Affil. J. 2007, 17, 1106–1128. [Google Scholar] [CrossRef]
- Hua, C.; Cui, R.; Ning, P.; Luo, X. Event-Based Output Feedback Consensus Control for Multiagent Systems with Unknown Non-Identical Control Directions. IEEE Trans. Circuits Syst. I Regul. Pap. 2023, 70, 1747–1757. [Google Scholar] [CrossRef]
- Liu, T.; Jiang, Z.-P. Distributed Output-Feedback Control of Nonlinear Multi-Agent Systems. IEEE Trans. Autom. Control. 2013, 58, 2912–2917. [Google Scholar] [CrossRef]
- Liu, Y.; Jia, Y.; Du, J.; Yuan, S. Dynamic output feedback control for consensus of multi-agent systems: An H∞ approach. In Proceedings of the 2009 American Control Conference, St. Louis, MO, USA, 10–12 June 2009; pp. 4470–4475. [Google Scholar]
- Su, Y.; Xue, H.; Liang, H.; Chen, D. Singularity avoidance adaptive output-feedback fixed-time consensus control for multiple autonomous underwater vehicles subject to nonlinearities. Int. J. Robust Nonlinear Control. 2022, 32, 4401–4421. [Google Scholar] [CrossRef]
- Fan, M.C.; Zhang, H.T.; Lin, Z. Distributed semiglobal consensus with relative output feedback and input saturation under directed switching networks. IEEE Trans. Circuits Syst. II Express Briefs 2015, 62, 796–800. [Google Scholar] [CrossRef]
- Li, X.; Tan, Y.; Tang, J.; Chen, X. Task-Driven Formation of Nonholonomic Vehicles with Communication Constraints. IEEE Trans. Control. Syst. Technol. 2022, 31, 442–450. [Google Scholar] [CrossRef]
- Salehi, I.; Rotithor, G.; Saltus, R.; Dani, A.P. Constrained image-based visual servoing using potential functions. In Proceedings of the 2021 IEEE International Conference on Robotics and Automation (ICRA), Xi’an, China, 30 May–5 June 2021; pp. 14254–14260. [Google Scholar]
- Zhang, D.; Ma, P.; Du, Y.; Chao, T. Integral barrier Lyapunov function-based three-dimensional low-order integrated guidance and control design with seeker’s field-of-view constraint. Aerosp. Sci. Technol. 2021, 116, 106886. [Google Scholar] [CrossRef]
- Nuno, E. Consensus of Euler–Lagrange systems using only position measurements. IEEE Trans. Control. Netw. Syst. 2016, 5, 489–498. [Google Scholar] [CrossRef]
- Lee, J.; Yoo, C.; Park, Y.S.; Park, B.; Lee, S.J.; Gweon, D.G.; Chang, P.H. An experimental study on time delay control of actuation system of tilt rotor unmanned aerial vehicle. Mechatronics 2012, 22, 184–194. [Google Scholar] [CrossRef]
- Armah, S.K.; Yi, S. Analysis of Time Delays in Quadrotor Systems and Design of Control. In Time Delay Systems. Advances in Delays and Dynamics; Insperger, T., Ersal, T., Orosz, G., Eds.; Springer: Cham, Switzerland, 2017; Volume 7. [Google Scholar] [CrossRef]
- Abdessameud, A.; Tayebi, A. Formation control of VTOL unmanned aerial vehicles with communication delays. Automatica 2011, 47, 2383–2394. [Google Scholar] [CrossRef]
- Zhang, X.; Zhou, D.; Zhang, J.; Pan, Q.; Zhang, K. Based on backstepping control with time-delay estimation and nonlinear damping adaptive PID control for unmanned aerial vehicle. In Proceedings of the 2015 IEEE International Conference on Information and Automation, Lijiang, China, 8–10 August 2015; pp. 1310–1315. [Google Scholar] [CrossRef]
- Roelofsen, S.; Martinoli, A.; Gillet, D. Distributed deconfliction algorithm for unmanned aerial vehicles with limited range and field of view sensors. In Proceedings of the 2015 American Control Conference (ACC), Chicago, IL, USA, 1–3 July 2015; pp. 4356–4361. [Google Scholar]
- Roelofsen, S.; Martinoli, A.; Gillet, D. 3D collision avoidance algorithm for unmanned aerial vehicles with limited field of view constraints. In Proceedings of the 2016 IEEE 55th Conference on Decision and Control (CDC), Las Vegas, NV, USA, 12–14 December 2016; pp. 2555–2560. [Google Scholar]
- Ren, W.; Beard, R.W. Distributed Consensus in Multi-Vehicle Cooperative Control; Springer: London, UK, 2008. [Google Scholar]








| Index | |||||
|---|---|---|---|---|---|
| 1 | 0 | 0 | 1.57 | 2 | 0 |
| 2 | 0 | 0 | −0.39 | 1 | 2 |
| 3 | 0 | 0 | 0 | −1 | 2 |
| 4 | 0 | 0 | 0.39 | −1 | −2 |
| Index | |||||
|---|---|---|---|---|---|
| 1 | 4 | 15 | 1.57 | −1 | 1 |
| 2 | 1 | 3 | 0 | −1 | −1 |
| 3 | 18 | 5 | −0.39 | 1 | −1 |
| 4 | 22 | 10 | −0.39 | 1 | 1 |
Disclaimer/Publisher’s Note: The statements, opinions and data contained in all publications are solely those of the individual author(s) and contributor(s) and not of MDPI and/or the editor(s). MDPI and/or the editor(s) disclaim responsibility for any injury to people or property resulting from any ideas, methods, instructions or products referred to in the content. |
© 2024 by the authors. Licensee MDPI, Basel, Switzerland. This article is an open access article distributed under the terms and conditions of the Creative Commons Attribution (CC BY) license (https://creativecommons.org/licenses/by/4.0/).
Share and Cite
Li, L.; Wang, Y.; Xiong, C.; Shang, W. Rendezvous of Nonholonomic Unmanned Ground Vehicles with Ultra-Wide-Angle Cameras. World Electr. Veh. J. 2024, 15, 370. https://doi.org/10.3390/wevj15080370
Li L, Wang Y, Xiong C, Shang W. Rendezvous of Nonholonomic Unmanned Ground Vehicles with Ultra-Wide-Angle Cameras. World Electric Vehicle Journal. 2024; 15(8):370. https://doi.org/10.3390/wevj15080370
Chicago/Turabian StyleLi, Lijun, Yuanda Wang, Chao Xiong, and Wei Shang. 2024. "Rendezvous of Nonholonomic Unmanned Ground Vehicles with Ultra-Wide-Angle Cameras" World Electric Vehicle Journal 15, no. 8: 370. https://doi.org/10.3390/wevj15080370
APA StyleLi, L., Wang, Y., Xiong, C., & Shang, W. (2024). Rendezvous of Nonholonomic Unmanned Ground Vehicles with Ultra-Wide-Angle Cameras. World Electric Vehicle Journal, 15(8), 370. https://doi.org/10.3390/wevj15080370
