Performance Analysis of Multiple Energy-Storage Devices Used in Electric Vehicles
Abstract
1. Introduction
2. Proposed Hybrid Energy-Storage System Structure
3. Modeling of Hybrid Energy-Storage System Components for Electric Vehicle
3.1. Battery
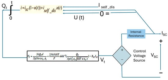
3.2. Supercapacitor
3.3. PV System
3.4. Boost Converter
3.5. BLDC Motor
4. Simulink Model of Proposed HESS
4.1. Combination of Battery and Supercapacitor Connected in Parallel
4.2. Combination of Battery and Photovoltaic Module Connected in Parallel
5. Results and Discussion
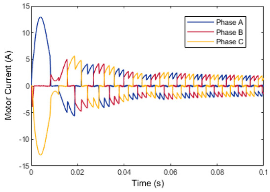
5.1. Combination of Supercapacitor and Battery Linked in Parallel
5.2. Combination of Battery and Photovoltaic Module Connected in Parallel
6. Conclusions
Author Contributions
Funding
Data Availability Statement
Acknowledgments
Conflicts of Interest
Nomenclature
| Variable | Description |
| Ai | Interfacial area between electrodes and electrolyte (m2) |
| c | Molar concentration (mol/m3) equal to c = 1/(8NAr3) |
| r | Molecular radius (m) |
| F | Faraday constant |
| isc | Supercapacitor current (A) |
| Vsc | Supercapacitor voltage (V) |
| CT | Total capacitance (F) |
| Rsc | Total resistance (ohms) |
| Ne | Number of layers of electrodes |
| NA | Avogadro constant |
| Np | Number of parallel supercapacitors |
| Ns | Number of series supercapacitors |
| QT | Electric charge (C) |
| R | Ideal gas constant |
| d | Molecular radius |
| T | Operating temperature (K) |
| ε | Permittivity of material |
| ε0 | Permittivity of free space |
| Ipv | Photovoltaic current |
| Io | Photovoltaic saturation currents |
| VT | Thermal voltage of the array |
| Ns | Cells connected in series |
| Np | Photovoltaic cells connected in parallel |
References
- Tiwari, H.; Ghosh, A.; Sain, C.; Ahmad, F.; Al-Fagih, L. Modified direct torque control algorithm for regeneration capability of IM driven electric vehicle by using hybrid energy storage system. Renew. Energy Focus J. 2024, 48, 100534. [Google Scholar] [CrossRef]
- Kumar, A.; Sadasivuni, K.K. Comparison of BPN, RBFN and Wavelet Neural Network in Induction Motor Modelling for Speed Estimation. Int. J. Ambient. Energy 2020, 43, 3246–3251. [Google Scholar] [CrossRef]
- Kumar, A.; Suresh, R.M.; Sharmila, B.; Panchal, H.; Gokul, C.; Udhayanatchi, K.V.; Sadasivuni, K.K.; Israr, M. A Novel Method for Arduino Based Electric Vehicle Emulator. Int. J. Ambient. Energy 2021, 30, 4299–4304. [Google Scholar] [CrossRef]
- Ehasani, M.; Gao, Y.; Emadi, A. Modern Electric, Hybrid Electric, Fuel Cell Vehicle: Fundamentals, Theory, and Design; CRC Press: Portland, OR, USA, 2005. [Google Scholar]
- Wang, Y.; Yuan, H.; Martinez, A.; Hong, P.; Xu, H.; Bockmiller, F.R. Polymer electrolyte membrane fuel cell and hydrogen station networks for automobiles: Status, technology, and perspectives. Adv. Appl. Energy 2021, 2, 100011. [Google Scholar] [CrossRef]
- Xu, J.; Zhang, C.; Wan, Z.; Chen, X.; Chan, S.H.; Tu, Z. Progress and perspectives of integrated thermal management systems in PEM fuel cell vehicles: A review. Renew. Sustain. Energy Rev. 2022, 155, 111908. [Google Scholar] [CrossRef]
- Fathima, A.H.; Palanisamy, K. Integration and energy management of a hybrid Li-VRB battery for renewable applications. Renew. Energy Focus J. 2019, 30, 13–20. [Google Scholar] [CrossRef]
- Shah, A.; Shah, K.; Shah, C.; Shah, M. State of charge, remaining useful life and knee point estimation based on artificial intelligence and Machine learning in lithium-ion EV batteries: A comprehensive review. Renew. Energy Focus J. 2022, 42, 146–164. [Google Scholar] [CrossRef]
- Arun, V.; Kannan, R.; Ramesh, S.; Vijayakumar, M.; Raghavendran, P.S.; Ramkumar, M.S.; Anbarasu, P.; Sundramurthy, V.P. Review on Li-Ion Battery vs Nickel Metal Hydride Battery in EV. Adv. Mater. Sci. Eng. 2022, 2, 7910072. [Google Scholar] [CrossRef]
- Han, H.; Xu, H.; Yuan, Z.; Zhao, Y. Modeling for lithium-ion battery used in electric vehicles. In Proceedings of the 2014 IEEE Conference and Expo Transportation Electrification Asia-Pacific (ITEC Asia-Pacific), Beijing, China, 31 August–3 September 2014; pp. 1–5. [Google Scholar] [CrossRef]
- Burke, A.; Liu, Z.; Zhao, H. Present and future applications of supercapacitors in electric and hybrid vehicles. In Proceedings of the 2014 IEEE International Electric Vehicle Conference (IEVC), Florence, Italy, 17–19 December 2014; pp. 1–8. [Google Scholar] [CrossRef]
- Kouchachvili, L.; Yaïci, W.; Entchev, E. Hybrid battery/supercapacitor energy storage system for the electric vehicles. J. Power Sources 2018, 374, 237–248. [Google Scholar] [CrossRef]
- Sadeq, T.; Wai, C.K.; Morris, E.; Tarboosh, Q.A.; Aydogdu, O. Optimal Control Strategy to Maximize the Performance of Hybrid Energy Storage System for Electric Vehicle Considering Topography Information. IEEE Access 2020, 8, 216994–217007. [Google Scholar] [CrossRef]
- SMaitreya, S.; Dangi, H.S.; Naruka, N.S.; Paliwal, P. Analysis of Solar Powered Electric Vehicles. In Proceedings of the IEEE 2nd International Conference on Electrical Power and Energy Systems (ICEPES), Bhopal, India, 10–11 December 2021; pp. 1–4. [Google Scholar] [CrossRef]
- Alwesabi, Y.; Mohammed, N. Self-sufficient solar power and electric vehicle penetration: A case study of New York State. Renew. Energy Focus 2023, 45, 133–140. [Google Scholar] [CrossRef]
- Nivas, M.; Naidu, R.K.P.R.; Mishra, D.P.; Salkuti, S.R. Modeling and analysis of solar-powered electric vehicles. Int. J. Power Electron. Drive Syst. 2022, 13, 480–487. [Google Scholar] [CrossRef]
- Robinson, S.A.; Rai, V. Determinants of spatio-temporal patterns of energy technology adoption: An agent-based modeling approach. Appl. Energy 2015, 151, 273–284. [Google Scholar] [CrossRef]
- Fakour, H.; Imani, M.; Lo, S.-L.; Yuan, M.-H.; Chen, C.-K.; Mobasser, S.; Muangthai, I. Evaluation of solar photovoltaic carport canopy with electric vehicle charging potential. Sci. Rep. 2023, 13, 2136. [Google Scholar] [CrossRef]
- Hossain, M.S.; Kumar, L.; Assad, M.E.H.; Alayi, R. Advancements and Future Prospects of Electric Vehicle Technologies: A Comprehensive Review. Complexity 2022, 2022, 21. [Google Scholar] [CrossRef]
- Diahovchenko, I.; Petrichenko, L.; Borzenkov, I.; Kolcun, M. Application of photovoltaic panels in electric vehicles to enhance the range. Heliyon 2022, 8, e12425. [Google Scholar] [CrossRef] [PubMed]
- Pelay, U.; Luo, L.; Fan, Y.; Stitou, D.; Rood, M. Thermal energy storage systems for concentrated solar power plants. Renew. Sustain. Energy 2017, 79, 82–100. [Google Scholar] [CrossRef]
- Tossa, A.K.; Soro, Y.M.; Thiaw, L.; Azoumah, Y.; Sicot, L.; Yamegueu, D.; Lishou, C.; Coulibaly, Y.; Razongles, G. Energy performance of different silicon photovoltaic technologies under hot and harsh climate. Energy 2016, 103, 261–270. [Google Scholar] [CrossRef]
- Moro, A.; Boelman, E.; Joanny, G.; Lopez-Garcia, J. A bibliometric-based technique to identify emerging photovoltaic technologies in a comparative assessment with expert review. Renew. Energy J. 2018, 123, 407–416. [Google Scholar] [CrossRef]
- Mohammad, A.; Zuhaib, M.; Ashraf, I.; Alsultan, M.; Ahmad, S.; Sarwar, A.; Abdollahian, M. Integration of Electric Vehicles and Energy Storage System in Home Energy Management System with Home to Grid Capability. Energies 2021, 14, 8557. [Google Scholar] [CrossRef]
- Umair, M.; Hidayat, N.M.; Ahmad, A.S.; Ali, N.H.N.; Mawardi, M.I.M.; Abdullah, E. A renewable approach to electric vehicle charging through solar energy storage. PLoS ONE 2024, 19, e0297376. [Google Scholar] [CrossRef]
- Nguyen, T.-T.; Kim, H.W.; Lee, G.H.; Choi, W. Design and implementation of the low cost and fast solar charger with the rooftop PV array of the vehicle. Sol. Energy 2013, 96, 83–95. [Google Scholar] [CrossRef]
- Sasikumar, G.; Sivasangari, A. Design and Development of Solar Charging System for Electric Vehicles: An Initiative to Achieve Green Campus. Nat. Environ. Pollut. Technol. Int. Q. Sci. J. 2021, 20, 801–804. [Google Scholar] [CrossRef]
- Almasri, R.A.; Alharbi, T.; Alshitawi, M.S.; Alrumayh, O.; Ajib, S. Related Work and Motivation for Electric Vehicle Solar/Wind Charging Stations: A Review. World Electr. Veh. J. 2024, 15, 215. [Google Scholar] [CrossRef]
- Hafeez, F.; Mas’ud, A.A.; Al-Shammari, S.; Sheikh, U.U.; Alanazi, M.A.; Hamid, M.; Azhar, A. Autonomous Vehicles Perception, Acceptance, and Future Prospects in the GCC: An Analysis Using the UTAUT-Based Model. World Electr. Veh. J. 2024, 15, 186. [Google Scholar] [CrossRef]
- Li, J.; Mazzola, M.S. Accurate battery pack modeling for automotive applications. J. Power Sources 2013, 237, 215–228. [Google Scholar] [CrossRef]
- Zubi, G.; Adhikari, R.S.; Sánchez, N.E.; Acuña-Bravo, W. Lithium-ion battery-packs for solar home systems: Layout, cost and implementation perspectives. J. Energy Storage 2020, 32, 101985. [Google Scholar] [CrossRef]
- Li, J.; Mazzola, M.S.; Gafford, J.; Jia, B.; Xin, M. Bandwidth based electrical-analogue battery modeling for battery modules. J. Power Sources 2012, 218, 331–340. [Google Scholar] [CrossRef]
- Narasimhulu, N.; Krishnam Naidu, R.S.R.; Falkowski-Gilski, P.; Divakarachari, P.B.; Roy, U. Energy Management for PV Powered Hybrid Storage System in Electric Vehicles Using Artificial Neural Network and Aquila Optimizer Algorithm. Energies 2022, 15, 8540. [Google Scholar] [CrossRef]
- Islam, M.S.; Hossain, M.B.; Hossain, M.N.; Alam, S.B.; Enamul, M.; Chowdhury, H. Modeling of a double-layer capacitor with individual branch response. In Proceedings of the World Congress on Engineering and Computer Science, San Francisco, CA, USA, 20–22 October 2010; Volume 2. [Google Scholar]
- Zhang, L.; Hu, X.; Wang, Z.; Sun, F.; Dorrell, D.G. A review of supercapacitor modelling, estimation, and applications: A control/management perspective. Renew. Sustain. Energy Rev. 2018, 81, 1868–1878. [Google Scholar]
- Zou, C.; Zhang, L.; Hu, X.; Wang, Z.; Wik, T.; Pecht, M. A review of fractional-order techniques applied to lithium-ion batteries, lead-acid batteries, and supercapacitors. J. Power Sources 2018, 390, 286–296. [Google Scholar] [CrossRef]
- Ferahtia, S.; Djerioui, A.; Zeghlache, S.; Houari, A. A hybrid power system based on fuel cell, photovoltaic source and super capacitor. SN Appl. Sci. 2020, 2, 940. [Google Scholar] [CrossRef]
- Kachhwaha, A.; Rashed, G.I.; Garg, A.R.; Mahela, O.P.; Khan, B.; Shafik, M.B.; Hussien, M.G. Design and Performance Analysis of Hybrid Battery and Ultracapacitor Energy Storage System for Electrical Vehicle Active Power Management. Sustainability 2022, 14, 776. [Google Scholar] [CrossRef]
- Lahyani, A.; Venet, P.; Guermazi, A.; Troudi, A. Battery/supercapacitors combination in uninterruptible power supply (UPS). IEEE Trans. Power Electron. 2013, 28, 1509–1522. [Google Scholar] [CrossRef]
- Rafik, F.; Gualous, H.; Gallay, R.; Crausaz, A.; Berthon, A. Frequency, thermal and voltage supercapacitor characterisation and modelling. J. Power Sources 2007, 165, 928–934. [Google Scholar] [CrossRef]
- Ajiatmo, D.; Robandi, I. Modeling and simulation performance of photovoltaic system integration battery and supercapacitor paralellization of MPPT prototype for solar vehicle. AIP Conf. Proc. 2017, 1818, 020076. [Google Scholar] [CrossRef]
- Chen, S.Y.; Yang, B.C.; Pu, T.A.; Chang, C.H.; Lin, R.C. Active current sharing of a parallel DC-DC converters system using bat algorithm optimized two-DOF PID control. IEEE Access 2019, 7, 84757–84769. [Google Scholar] [CrossRef]
- Ridwan, M.; Yuniarto, M.N.; Soedibyo. Electrical Equivalent Circuit Based Modeling and Analysis of Brushless Direct Current (BLDC) Motor. In Proceedings of the 2016 International Seminar on Intelligent Technology and Its Application (ISITIA 2016): Recent Trends in Intelligent Computational Technologies for Sustainable Energy, Lombok, Indonesia, 28–30 July 2016; pp. 471–478. [Google Scholar] [CrossRef]
- Archana, M.; Thulasi, J.A.; Ananth, M.B. An efficient solar power based four quadrant operation of BLDC motor. In Proceedings of the International Conference on Electrical, Electronics, and Optimization Techniques (ICEEOT 2016), Chennai, India, 3–5 March 2016; pp. 4841–4846. [Google Scholar] [CrossRef]






















| Parameter | Value |
|---|---|
| Battery type | Lithium Ion Battery |
| Voltage | 12 V |
| Total number of batteries | 4 |
| Rated capacity of each battery | 50 Ah |
| State of charge (%) | 100% |
| Parameter | Value |
|---|---|
| Total number of SC | 8 |
| SC voltage per SC | 3 V |
| Rated capacity | 500 F |
| Parameter | Value |
|---|---|
| Short circuit current (ISC) | 7.36 A |
| Open circuit voltage (VOC) | 30.4 V |
| Current at maximum power (Imp) | 6.83 A |
| Maximum power (Pmax) | 165.28 W |
| Voltage at maximum power (Vmp) | 24.2 V |
| Total number of cells per module (N) | 50 |
| Parameter | Value |
|---|---|
| Inductor | 12.5 mH |
| Capacitor | 20 µF |
| Resistor | 100 Ω |
| Input voltage | 24 V |
| Switching frequency | 10 KHz |
| Duty cycle | 50% |
| Parameter | Value |
|---|---|
| Number of Phases | 3 |
| Back-EMF Waveforms | Trapezoidal |
| Stator Phase Resistance | 0.7 Ohm |
| Stator Phase Inductance | 2.7 × 10−3 H |
| Inertia | 0.8 × 10−3 kg·m2 |
| Pole Pair | 4 |
| Configuration | Energy Storage | Voltage (V) | Boost Converter Voltage (V) | Motor Current (A) | Motor Power (W) | Motor Speed (rpm) |
|---|---|---|---|---|---|---|
| Battery and SC | Battery | 52 | 132 | 0.5 | 66 | 1500 |
| SC | 24 | 125 | 2.2 | 275 | ||
| Battery and PV | Battery | 52 | 125 | 5 | 550 | 1500 |
| PV | 28 | 138 | 2.1 | 285 |
Disclaimer/Publisher’s Note: The statements, opinions and data contained in all publications are solely those of the individual author(s) and contributor(s) and not of MDPI and/or the editor(s). MDPI and/or the editor(s) disclaim responsibility for any injury to people or property resulting from any ideas, methods, instructions or products referred to in the content. |
© 2024 by the authors. Licensee MDPI, Basel, Switzerland. This article is an open access article distributed under the terms and conditions of the Creative Commons Attribution (CC BY) license (https://creativecommons.org/licenses/by/4.0/).
Share and Cite
Raut, K.; Shendge, A.; Chaudhari, J.; Lamba, R.; Mallick, T.; Roy, A. Performance Analysis of Multiple Energy-Storage Devices Used in Electric Vehicles. World Electr. Veh. J. 2024, 15, 357. https://doi.org/10.3390/wevj15080357
Raut K, Shendge A, Chaudhari J, Lamba R, Mallick T, Roy A. Performance Analysis of Multiple Energy-Storage Devices Used in Electric Vehicles. World Electric Vehicle Journal. 2024; 15(8):357. https://doi.org/10.3390/wevj15080357
Chicago/Turabian StyleRaut, Kiran, Asha Shendge, Jagdish Chaudhari, Ravita Lamba, Tapas Mallick, and Anurag Roy. 2024. "Performance Analysis of Multiple Energy-Storage Devices Used in Electric Vehicles" World Electric Vehicle Journal 15, no. 8: 357. https://doi.org/10.3390/wevj15080357
APA StyleRaut, K., Shendge, A., Chaudhari, J., Lamba, R., Mallick, T., & Roy, A. (2024). Performance Analysis of Multiple Energy-Storage Devices Used in Electric Vehicles. World Electric Vehicle Journal, 15(8), 357. https://doi.org/10.3390/wevj15080357

