Estimation of Road Adhesion Coefficient Based on Camber Brush Model
Abstract
1. Introduction
2. Tire Finite Element Model
2.1. Finite Element Structural Model
2.2. Verification of Finite Element Model
2.2.1. Mechanical Properties of Tire Materials
2.2.2. Grounding Footprint Verification
2.2.3. Stiffness Verification
3. The Camber Brush Tire Model Considering Tire Width Effect
3.1. Simulation and Modeling of Tire Ground Contact Characteristics under Tire Camber
3.2. Modeling of Camber Brush Model
4. Estimation of Road Adhesion Coefficient
4.1. Definition of Road Adhesion Coefficient
4.2. Seven-Degree-of-Freedom Vehicle Dynamics Model
- (1)
- The influence of aerodynamic drag on vehicle dynamics is disregarded;
- (2)
- Vertical bouncing of the vehicle, as well as the whole vehicle’s pitch and tilting motions, are not considered;
- (3)
- It is assumed that the physical characteristics of all four tires are identical.
4.3. Estimation of Road Adhesion Coefficient Based on Extended Kalman Filter
4.3.1. Establishment of Systematic Measurement Equations
4.3.2. Linearization of the Model
4.3.3. Implementation of the Recursive Algorithm
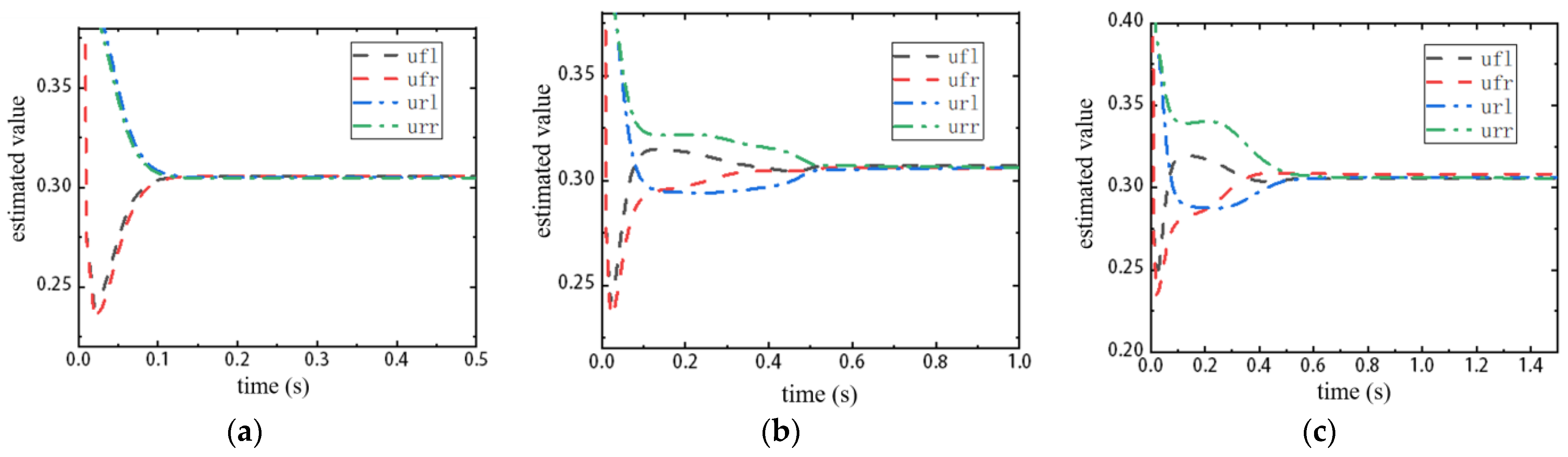
4.4. Model Simulation Result Analysis
5. Conclusions
- The influence of load on the width of the ground contact patch: under camber conditions, the width of the ground contact patch varies significantly under low loads, while the variation is less pronounced under high loads.
- The influence of inflation pressure on the width of the ground contact patch: when the tire is under low load, the inflation pressure has a minor effect on the width variation. However, under high load conditions, a higher inflation pressure leads to a greater variation in the width of the ground contact patch.
- The influence of load on ground pressure distribution: under tire camber conditions, the smaller the load, the more pronounced the lateral shift of the ground pressure towards the tilted side. Conversely, with larger loads, the overall lateral shift of the ground pressure decreases, and there is an increasing trend of pressure distribution in the central area of the ground contact patch becoming concave.
- The influence of inflation pressure on ground pressure distribution: under lateral tilt conditions, the lower the inflation pressure, the more pronounced the lateral shift of the ground pressure towards the tilted side. Conversely, with higher inflation pressure, the lateral shift of the ground pressure towards the tilted side decreases, and there is an increasing trend of pressure distribution in the central area of the ground contact patch becoming convex.
- The optimized tire brush model constructed in this study integrates a two-dimensional ground contact pressure distribution model under camber conditions, effectively accounting for the asymmetry in ground contact pressure distribution during tire operation. Compared to previous tire models, the optimized tire brush model can be applied to a wider range of conditions and better predicts the mechanical characteristics of the contact area under camber conditions.
- The constructed road adhesion coefficient estimation model can rapidly and accurately estimate the road adhesion coefficient, demonstrating the effectiveness of the adhesion coefficient estimation algorithm based on the camber brush model. This also indirectly validates the effectiveness of the camber tire model.
Author Contributions
Funding
Data Availability Statement
Conflicts of Interest
References
- Zhang, S.; Liu, Y.; Zhou, H.; Zhang, W.; Chen, Y.; Zhu, H. Analysis of the Effect of Wear on Tire Cornering Characteristics Based on Grounding Characteristics. World Electr. Veh. J. 2023, 14, 166. [Google Scholar] [CrossRef]
- Han, Y.; Lu, Y.; Chen, N.; Wang, H. Research on the Identification of Tyre-Road Peak Friction Coefficient under Full Slip Rate Range Based on Normalized Tyre Model. Actuators 2022, 11, 59. [Google Scholar] [CrossRef]
- Timmers, V.R.; Achten, P.A. Non-exhaust PM emissions from electric vehicles. Atmos. Environ. 2016, 134, 10–17. [Google Scholar] [CrossRef]
- Lee, H.; Taheri, S. Intelligent tires a review of tire characterization literature. IEEE Intel. Transp. Sy. 2017, 9, 114–135. [Google Scholar] [CrossRef]
- Liu, C.-S. Adhesion coefficient of automobile tire and road surface. J. Central South. Univ. Technol. 2008, 15, 210–214. [Google Scholar] [CrossRef]
- Andersson, M.; Bruzelius, F.; Casselgren, M.; Gafvert, M.; Hjort, M.; Hulten, J.; Habring, F.; Klomp, M.; Olsson, G.; Sjodahl, M.; et al. Road Friction Estimation; Intelligent Vehicle Safety Systems: Gothenburg, Sweden, 2007. [Google Scholar]
- Alonso, J.; López, J.; Pavón, I.; Recuero, M.; Asensio, C.; Arcas, G.; Bravo, A. On-board wetroad surface identification using tyre/road noise and support vector machines. Appl. Acoust. 2014, 76, 407–415. [Google Scholar] [CrossRef]
- Khaleghian, S. The Application of Intelligent Tires and Model Based Estimation Algorithms in Tire-Road Contact Characterization; Virginia Polytechnic Institute and State University: Blacksburg, VA, USA, 2017. [Google Scholar]
- Arto, J.; Niskanen Ari, J. Tuononen. Three 3-axis accelerometers fixed inside the tyre for studying contact patch deformations in wet conditions. Veh. Syst. Dyn. 2014, 52 (Suppl. 1), 287–298. [Google Scholar]
- Gustafsson, F. Monitoring tire-road friction using the wheel slip. Control. Syst. IEEE 1998, 18, 42–49. [Google Scholar]
- Alexander, L.; Rajamani, R. Tire road friction coefficient estimation. J. Dyn. Syst. Meas. Control 2004, 126, 265–275. [Google Scholar]
- Bergman, W.; Clemett, H.R. Tire cornering properties. Tire Sci. Technol. 1975, 3, 135–163. [Google Scholar] [CrossRef]
- Fiala, E. Seitenkrafte am rollenden luftreifen (Lateral forces on rolling pneumatic tires). Zeitschrift V. D. I. 1954, 96, 973–979. [Google Scholar]
- Frank, F. Grundlagen zur berechnung der seitenfuhrungskennlinien von reifen. Kautschunk Unt Qummi 1965, 8, 267–274. [Google Scholar]
- Duggff, H.; Fancher, P.; Segel, L. An Analysis of Tire Traction Properties and Their Influence on Vehicle Dynamics Performance; International Automobile Safety Conference Compendium, Society of Automotive Engineers: New York, NY, USA, 1970. [Google Scholar]
- Bakker, E.; Nyborg, L.; Pacejka, H.B. Tyre modeling for use in vehicle dynamics studies. SAE Tech. Pap. 1987, 870421, 190–204. [Google Scholar]
- Sakai, H. Study on cornering properties of tire and vehicle. Tire Science and Technology. TSTCA 1990, 18, 136–139. [Google Scholar]
- Kuiper, E.; Van oostenjj, M. The PAC2002 advanced handling tire model. Veh. Syst. Dyn. 2007, 45, 153–167. [Google Scholar] [CrossRef]
- Bai, F.; Guo, K.; Lu, D. Tire model for turn slip properties. SAE Int. J. Commer. Vehicles. 2013, 6, 353–361. [Google Scholar] [CrossRef]
- Su, X.; Fu, P.; Ding, Z.; Li, D.W.; Yang, M.F. Establishment and Simulation Analysis of Tire Finite Element Model Based on Abaqus Software. China Rubber Ind. 2019, 66, 121–127. [Google Scholar]
- Han, Y. Research on the Peak Adhesion Coefficient Estimation of Three-Dimensional Road Based on Normalized Tire Model. Ph.D. Thesis, Shijiazhuang Tiedao University, Shijiazhuang, China, 2022. [Google Scholar]
- Mendoza-Petit, M.F.; García-Pozuelo, D.; Díaz, V.; Olatunbosun, O. A Strain-Based Intelligent Tire to Detect Contact Patch Features for Complex Maneuvers. Sensors 2020, 20, 1750. [Google Scholar] [CrossRef] [PubMed]
- He, H.; Li, R.; Yang, Q.; Pei, J.; Guo, F. Analysis of the tire-pavement contact stress characteristics during vehicle maneuvering. Ksce J. Civ. Eng. 2021, 25, 2451–2463. [Google Scholar] [CrossRef]
- Zheng, B.; Chen, J.; Zhao, R.; Tang, J.; Tian, R.; Zhu, S.; Huang, X. Analysis of contact behaviour on patterned tire-asphalt pavement with 3-D FEM contact model. Int. J. Pavement Eng. 2022, 23, 171–186. [Google Scholar] [CrossRef]
- Yu, L.; Hu, J.; Li, R.; Yang, Q.; Guo, F.; Pei, J. Tire-pavement contact pressure distribution analysis based on ABAQUS simulation. Arab. J. Sci. Eng. 2022, 47, 4119–4132. [Google Scholar] [CrossRef]
- Yadav, R.; Raheman, H. Development of an artificial neural network model with graphical user interface for predicting contact area of bias-ply tractor tyres on firm surface. J. Terramech. 2023, 107, 1–11. [Google Scholar] [CrossRef]
- Li, X.; Xu, N. Effect of inflation pressure on tyre forces under combined-slip conditions based on the UniTire model. Int. J. Veh. Des. 2023, 91, 322–341. [Google Scholar] [CrossRef]
- Systèmes, D. SIMULIA User Assistance 2020; Abaqus: Providence, RI, USA, 2020. [Google Scholar]
- Chen, X. Research on Numerical Analysis Method and Evaluation Index of Wet Grip Performance of Tire. Master’s Thesis, Jiangsu University, Zhenjiang, China, 2019. [Google Scholar]
- Zhang, B.; Xu, T.; Wang, H.; Huang, Y.; Chen, G. Vertical Tire Forces Estimation of Multi-Axle Trucks Based on an Adaptive Treble Extend Kalman Filter. Chin. J. Mech. Eng. 2021, 34, 55. [Google Scholar] [CrossRef]
- Chen, G.; Wang, X.; Su, L.; Wang, Y. Safety distance model for longitudinal collision avoidance of logistics vehicles considering slope and road adhesion coefficient. Proc. Inst. Mech. Eng. J. Automob. Eng. 2020, 235, 498–512. [Google Scholar]
- Xu, N. Study on the Steady State Tire Model under Combined Conditions. Ph.D. Thesis, Jilin University, Jilin, China, 2012. [Google Scholar]
- Liang, J.; Lu, Y.; Yin, G.; Fang, Z.; Zhuang, W.; Ren, Y.; Xu, L.; Li, Y. A Distributed Integrated Control Architecture of AFS and DYC based on MAS for Distributed Drive Electric Vehicles. IEEE Trans. Veh. Technol. 2021, 70, 5565–5577. [Google Scholar] [CrossRef]
- Lu, Y.; Liang, J.; Yin, G.; Xu, L.; Wu, J.; Feng, J.; Wang, F. A Shared Control Design for Steering Assistance System Considering Driver Behaviors. IEEE Trans. Intell. Veh. 2022, 8, 900–911. [Google Scholar] [CrossRef]
- Zheng, Z.C.; Zhao, X.; Wang, S.; Yu, Q.; Zhang, H.C.; Li, Z.K.; Chai, H.; Han, Q. Extension coordinated control of distributed-driven electric vehicles based on evolutionary game theory. Control Eng. Pract. 2023, 137, 105583. [Google Scholar] [CrossRef]

















| Part | Density (t·mm−3) | Young’s Modulus (Mpa) | Poisson’s Ratio | Cross-Sectional Area (mm2) | Ply Angle (°) |
|---|---|---|---|---|---|
| Carcass Ply | 1.5 × 10−9 | 10,539 | 0.4 | 0.21 | 90 |
| Belt Ply 1 | 7.8 × 10−9 | 205,251 | 0.3 | 0.27 | 67 |
| Belt Ply 2 | 7.8 × 10−9 | 205,251 | 0.3 | 0.27 | 113 |
| Steel Bead | 7.8 × 10−9 | 210,000 | 0.3 | 1.31 | 0 |
| Tread Ply | 1.1 × 10−9 | 2230 | 0.4 | 0.33 | 0 |
| Solution | FEA | Experiment | Error |
|---|---|---|---|
| contact length/mm contact width/mm | 152.08 168.75 | 147.13 161.05 | 3.36% 4.78% |
| Stiffness | FEA | Experiment | Error |
|---|---|---|---|
| radial stiffness/(N/mm) lateral stiffness/(N/mm) longitudinal stiffness/(N/mm) | 212.94 88.76 133.77 | 206.28 92.62 137.99 | 3.23% 4.17% 3.06% |
| Parameter | Physical Significance | Parameter | Physical Significance |
|---|---|---|---|
| Vehicle longitudinal speed | Vehicle lateral speed | ||
| Longitudinal acceleration | Lateral acceleration | ||
| Yaw rate | Front tire angle | ||
| Vehicle mass | Inertia of rotation around the z-axis | ||
| Yaw moment around the z-axis | Front tread | ||
| Rear tread | Longitudinal force | ||
| Lateral force | Tire rotational inertia | ||
| Tire cambering radius | Tire angular acceleration | ||
| Tire driving torque | Tire braking torque |
Disclaimer/Publisher’s Note: The statements, opinions and data contained in all publications are solely those of the individual author(s) and contributor(s) and not of MDPI and/or the editor(s). MDPI and/or the editor(s) disclaim responsibility for any injury to people or property resulting from any ideas, methods, instructions or products referred to in the content. |
© 2024 by the authors. Licensee MDPI, Basel, Switzerland. This article is an open access article distributed under the terms and conditions of the Creative Commons Attribution (CC BY) license (https://creativecommons.org/licenses/by/4.0/).
Share and Cite
Zhang, S.; Zhu, H.; Zhou, H.; Chen, Y.; Liu, Y. Estimation of Road Adhesion Coefficient Based on Camber Brush Model. World Electr. Veh. J. 2024, 15, 263. https://doi.org/10.3390/wevj15060263
Zhang S, Zhu H, Zhou H, Chen Y, Liu Y. Estimation of Road Adhesion Coefficient Based on Camber Brush Model. World Electric Vehicle Journal. 2024; 15(6):263. https://doi.org/10.3390/wevj15060263
Chicago/Turabian StyleZhang, Shupei, Hongcheng Zhu, Haichao Zhou, Yixiang Chen, and Yue Liu. 2024. "Estimation of Road Adhesion Coefficient Based on Camber Brush Model" World Electric Vehicle Journal 15, no. 6: 263. https://doi.org/10.3390/wevj15060263
APA StyleZhang, S., Zhu, H., Zhou, H., Chen, Y., & Liu, Y. (2024). Estimation of Road Adhesion Coefficient Based on Camber Brush Model. World Electric Vehicle Journal, 15(6), 263. https://doi.org/10.3390/wevj15060263
