Revolutionizing Three-Dimensional Printing: Enhancing Quality Assurance and Point-of-Care Integration through Instrumentation
Abstract
1. Introduction
2. Materials and Methods
2.1. Materials
2.2. Preparation of the API-Loaded Feedstock Formulations
2.3. Flow Properties of the Formulations
2.3.1. Oscillatory Rheometer
2.3.2. TA
2.3.3. SSE-P
2.4. Printability and Fidelity Test
2.4.1. Three-Dimensional Design and Slic3r Profiles (Printing Settings)
2.4.2. Three-Dimensional Printing of the Orodispersible Printlet
2.4.3. Printing Process and Printlet Quality Control
2.5. Statistical Analysis
3. Results
3.1. Flow Properties of the Formulations
3.1.1. Oscillatory Rheometer
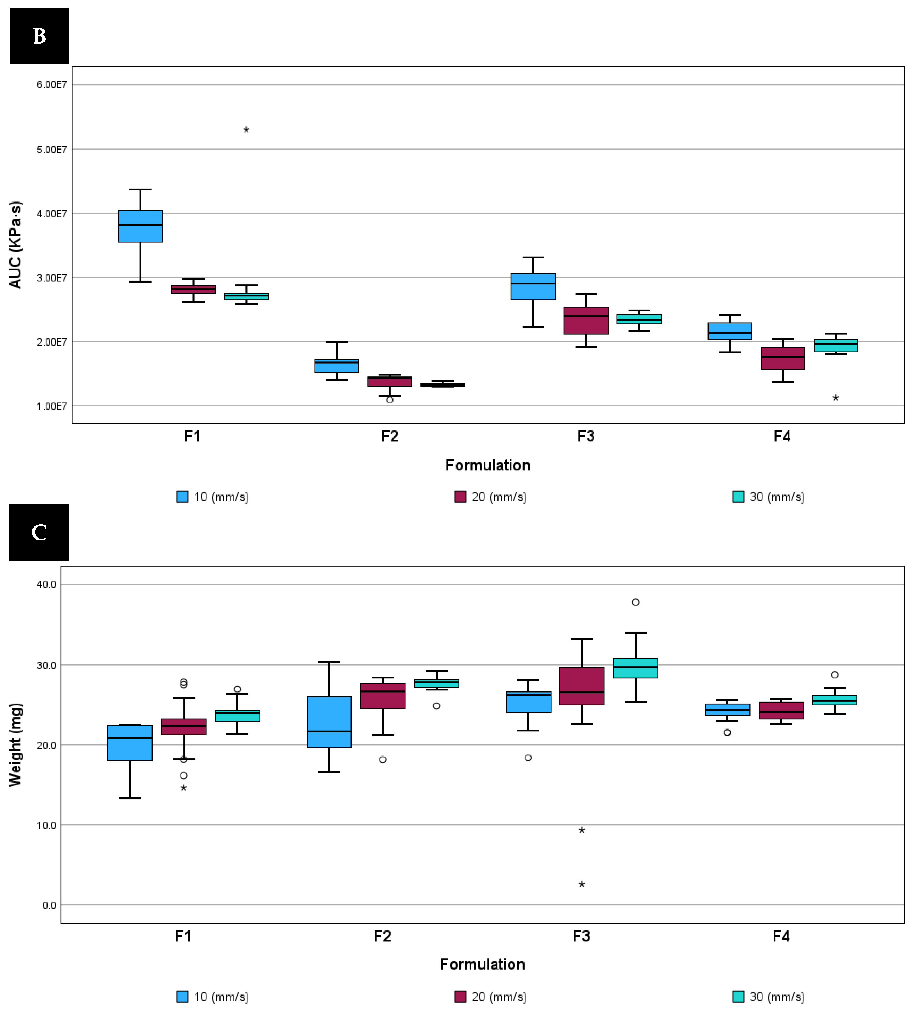
3.1.2. TA and SSE-P Comparison
3.1.3. Oscillatory Rheometer and SSE-P Comparison
3.2. Printability and Fidelity Test
4. Conclusions
Author Contributions
Funding
Institutional Review Board Statement
Informed Consent Statement
Data Availability Statement
Acknowledgments
Conflicts of Interest
Abbreviations
| 3DP | Three-dimensional printing |
| DPE | Direct powder extrusion |
| MED | Melt extrusion deposition |
| FDM | Fused deposition modelling |
| SSE | Semi-solid extrusion |
| API | Active pharmaceutical ingredient |
| CQA | Critical quality attribute |
| TA | Texture analyser |
| SSE-P | Semi-solid motor-driven printhead |
| PAT | Process analytical technology |
| HCTZ | Hydrochlorothiazide |
| PVP | Polyvinylpyrrolidone |
| PDS | Plunger displacement speed |
| TPS | Target print speed |
| LH | Layer height |
| D | Syringe inner diameter |
| γ | Shear rate |
| R | Nozzle radius |
| Q | Volumetric flow rate |
| F | Force |
| µ | Dynamic viscosity |
| A | Syringe area |
| L | Tip length |
| D | Tip diameter |
| AUC | Area under the curve |
References
- Sundarkumar, V.; Wang, W.; Nagy, Z.; Reklaitis, G. Manufacturing Pharmaceutical Mini-Tablets for Pediatric Patients using Drop-on-Demand Printing. Int. J. Pharm. 2023, 644, 123355. [Google Scholar] [CrossRef]
- Diaz-Torres, E.; Suarez-Gonzalez, J.; Monzon-Rodriguez, C.N.; Santovena-Estevez, A.; Farina, J.B. Characterization and Validation of a New 3D Printing Ink for Reducing Therapeutic Gap in Pediatrics through Individualized Medicines. Pharmaceutics 2023, 15, 1642. [Google Scholar] [CrossRef] [PubMed]
- Parulski, C.; Bya, L.; Goebel, J.; Servais, A.; Lechanteur, A.; Evrard, B. Development of 3D Printed Mini-Waffle Shapes Containing Hydrocortisone for Children’s Personalized Medicine. Int. J. Pharm. 2023, 642, 123131. [Google Scholar] [CrossRef] [PubMed]
- FDA. 3D Printing Medical Devices at the Point of Care: Discussion Paper; FDA: White Oak: Silver Spring, MD, USA, 2021.
- Beitler, B.G.; Abraham, P.F.; Glennon, A.R.; Tommasini, S.M.; Lattanza, L.L.; Morris, J.M.; Wiznia, D.H. Interpretation of Regulatory Factors for 3D Printing at Hospitals and Medical Centers, Or at the Point of Care. 3D Print. Med. 2022, 8, 7. [Google Scholar] [CrossRef] [PubMed]
- Goyanes, A.; Madla, C.M.; Umerji, A.; Duran Piñeiro, G.; Giraldez Montero, J.M.; Lamas Diaz, M.J.; Gonzalez Barcia, M.; Taherali, F.; Sánchez-Pintos, P.; Couce, M.; et al. Automated Therapy Preparation of Isoleucine Formulations using 3D Printing for the Treatment of MSUD: First Single-Centre, Prospective, Crossover Study in Patients. Int. J. Pharm. 2019, 567, 118497. [Google Scholar] [CrossRef] [PubMed]
- Seoane-Viaño, I.; Xu, X.; Ong, J.J.; Teyeb, A.; Gaisford, S.; Campos-Álvarez, A.; Stulz, A.; Marcuta, C.; Kraschew, L.; Mohr, W.; et al. A Case Study on Decentralized Manufacturing of 3D Printed Medicines. Int. J. Pharm. X 2023, 5, 100184. [Google Scholar] [CrossRef]
- Al-Litani, K.; Ali, T.; Robles Martinez, P.; Buanz, A. 3D Printed Implantable Drug Delivery Devices for Women’s Health: Formulation Challenges and Regulatory Perspective. Adv. Drug Deliv. Rev. 2023, 198, 114859. [Google Scholar] [CrossRef] [PubMed]
- Government of the United Kingdom. Consultation on Point Care Manufacturing; Government of the United Kingdom: London, UK, 2022.
- European Medicine Agency. Quality Innovation Group; European Medicine Agency: London, UK, 2023. [Google Scholar]
- Jorgensen, A.K.; Ong, J.J.; Parhizkar, M.; Goyanes, A.; Basit, A.W. Advancing Non-Destructive Analysis of 3D Printed Medicines. Trends Pharmacol. Sci. 2023, 44, 379–393. [Google Scholar] [CrossRef]
- Suarez-Gonzalez, J.; Magarinos-Trivino, M.; Diaz-Torres, E.; Caceres-Perez, A.R.; Santovena-Estevez, A.; Farina, J.B. Individualized Orodispersible Pediatric Dosage Forms obtained by Molding and Semi-Solid Extrusion by 3D Printing: A Comparative Study for Hydrochlorothiazide. J. Drug Deliv. Sci. Technol. 2021, 66, 102884. [Google Scholar] [CrossRef]
- Tracy, T.; Wu, L.; Liu, X.; Cheng, S.; Li, X. 3D Printing: Innovative Solutions for Patients and Pharmaceutical Industry. Int. J. Pharm. 2023, 631, 122480. [Google Scholar] [CrossRef]
- Januskaite, P.; Xu, X.; Ranmal, S.R.; Gaisford, S.; Basit, A.W.; Tuleu, C.; Goyanes, A. I Spy with My Little Eye: A Paediatric Visual Preferences Survey of 3D Printed Tablets. Pharmaceutics 2020, 12, 1100. [Google Scholar] [CrossRef] [PubMed]
- Díaz-Torres, E.; Santoveña-Estévez, A.; Fariña, J.B. A Micro-Extrusion 3D Printing Platform for Fabrication of Orodispersible Printlets for Pediatric Use. Int. J. Pharm. 2021, 605, 120854. [Google Scholar]
- Zidan, A.; Alayoubi, A.; Asfari, S.; Coburn, J.; Ghammraoui, B.; Aqueel, S.; Cruz, C.N.; Ashraf, M. Development of Mechanistic Models to Identify Critical Formulation and Process Variables of Pastes for 3D Printing of Modified Release Tablets. Int. J. Pharm. 2019, 555, 109–123. [Google Scholar] [CrossRef] [PubMed]
- Panraksa, P.; Qi, S.; Udomsom, S.; Tipduangta, P.; Rachtanapun, P.; Jantanasakulwong, K.; Jantrawut, P. Characterization of Hydrophilic Polymers as a Syringe Extrusion 3D Printing Material for Orodispersible Film. Polymers 2021, 13, 3454. [Google Scholar] [CrossRef] [PubMed]
- Govender, R.; Kissi, E.O.; Larsson, A.; Tho, I. Polymers in Pharmaceutical Additive Manufacturing: A Balancing Act between Printability and Product Performance. Adv. Drug Deliv. Rev. 2021, 177, 113923. [Google Scholar] [CrossRef] [PubMed]
- Rahman, J.; Quodbach, J. Versatility on Demand—The Case for Semi-Solid Micro-Extrusion in Pharmaceutics. Adv. Drug Deliv. Rev. 2021, 172, 104–126. [Google Scholar] [CrossRef] [PubMed]
- Zidan, A.; Alayoubi, A.; Coburn, J.; Asfari, S.; Ghammraoui, B.; Cruz, C.N.; Ashraf, M. Extrudability Analysis of Drug Loaded Pastes for 3D Printing of Modified Release Tablets. Int. J. Pharm. 2019, 554, 292–301. [Google Scholar] [CrossRef]
- Seoane-Viano, I.; Trenfield, S.J.; Basit, A.W.; Goyanes, A. Translating 3D Printed Pharmaceuticals: From Hype to Real-World Clinical Applications. Adv. Drug Deliv. Rev. 2021, 174, 553–575. [Google Scholar] [CrossRef]
- Fang, D.; Yang, Y.; Cui, M.; Pan, H.; Wang, L.; Li, P.; Wu, W.; Qiao, S.; Pan, W. Three-Dimensional (3D)–Printed Zero-Order Released Platform: A Novel Method of Personalized Dosage Form Design and Manufacturing. AAPS PharmSciTech 2021, 22, 37. [Google Scholar] [CrossRef]
- Díaz-Torres, E.; Santoveña-Estévez, A.; Fariña, J.B. Émbolo Medidor De Presión Para Plataformas De Impresión 3d En Extrusión De Masas Semisólidas. 202031276, 5 May 2023. Available online: https://consultas2.oepm.es/InvenesWeb/detalle?referencia=P202031276 (accessed on 13 March 2024).
- 5.25. Process Analytical Technology. In European Pharmacopoeia, 10th ed.; Council of Europe: Strasbourg, France, 2020.
- Kojima, H.; Nakamura, S.; Haraguchi, T.; Yoshida, M.; Habara, M.; Ikezaki, H.; Uchida, T. A New Strategy for Taste Masking on Bitter Drug by Other Combined Drug in Fixed-Dose Combination: Bitterness of Amlodipine Besylate could be Masked Efficiently by Valsartan. J. Pharm. Pharmacol. 2019, 71, 1384–1392. [Google Scholar] [CrossRef]
- Janna, W.S. Introduction to Fluid Mechanics; Oxford University Press: New York, NY, USA, 2016. [Google Scholar]
- M’Barki, A.; Bocquet, L.; Stevenson, A. Linking Rheology and Printability for Dense and Strong Ceramics by Direct Ink Writing. Sci. Rep. 2017, 7, 6017. [Google Scholar] [CrossRef]
- Gudeman, J.; Jozwiakowski, M.; Chollet, J.; Randell, M. Potential Risks of Pharmacy Compounding. Drugs R. 2013, 13, 1–8. [Google Scholar] [CrossRef] [PubMed]
- Physikalisch-Technische Bundesanstalt. DKD-R 6-1. Calibration of Pressure Gauges. 2014, 2022. Available online: https://www.ptb.de/cms/fileadmin/internet/dienstleistungen/dkd/archiv/Publications/Guidelines/DKD-R_6-1_2016_englisch.pdf (accessed on 13 March 2024).
- González, K.; Larraza, I.; Berra, G.; Eceiza, A.; Gabilondo, N. 3D Printing of Customized all-Starch Tablets with Combined Release Kinetics. Int. J. Pharm. 2022, 622, 121872. [Google Scholar] [CrossRef] [PubMed]
- Ramli, H.; Zainal, N.F.A.; Hess, M.; Chan, C.H. Basic Principle and Good Practices of Rheology for Polymers for Teachers and Beginners. Chem. Teach. Int. 2022, 4, 307–326. [Google Scholar] [CrossRef]
- International Union of Pure and Applied Chemistry. Compendium of Polymer Terminology and Nomenclature; RSC Publishing: Cambridge, UK, 2008. [Google Scholar]
- Chen, H.; Xie, F.; Chen, L.; Zheng, B. Effect of Rheological Properties of Potato, Rice and Corn Starches on their Hot-Extrusion 3D Printing Behaviors. J. Food Eng. 2019, 244, 150–158. [Google Scholar] [CrossRef]
- Choscz, C.; Held, C.; Eder, C.; Sadowski, G.; Briesen, H. Measurement and Modeling of Lactose Solubility in Aqueous Electrolyte Solutions. Ind. Eng. Chem. Res. 2019, 58, 20797–20805. [Google Scholar] [CrossRef]
- Viitanen, L.; Miranda-Valdez, I.Y.; Koivisto, J.; Puisto, A.; Alava, M. Thermal Gelation of Cellulose Based Suspensions. Cellulose 2023, 30, 4215–4223. [Google Scholar] [CrossRef]
- Magariños-Triviño, M.; Martín-Pérez, D.; Suárez-González, J.; Santoveña-Estévez, A.; Fariña, J.B. Formulaciones De Budesonida Oral Viscosa Para Administración En Pediatría: Estabilidad, Propiedades Reológicas Y Bioadhesivas. In Proceedings of the XVI Congreso SEFIG, Madrid, Spain, 1–13 January 2023; pp. 81–82. [Google Scholar]









| F1 | F2 | F3 | F4 | |
|---|---|---|---|---|
| Hydrochlorothiazide | 15.0 | 15.0 | 15.0 | 15.0 |
| Lactose monohydrate | 6.8 | 9.0 | 9.0 | 6.8 |
| Polyvinyl pyrrolidone 30 K | 3.0 | 3.0 | 3.0 | 3.0 |
| Croscarmellose sodium | 11.3 | 9.0 | 9.0 | 11.3 |
| Purified water | 62.8 | 64.0 | 62.9 | 63.9 |
| Banana flavouring essence | 1.1 | 0.0 | 1.1 | 0.0 |
| Target Printing Speed (mm/s) | 10 | 20 | 30 | |
|---|---|---|---|---|
| Step 1 | Plunger speed (mm/s) | 0.010 | 0.020 | 0.030 |
| Distance * (mm) | 5 | 5 | 5 | |
| Time (s) | 500 | 250 | 166 | |
| Step 2 | Plunger speed (mm/s) | Hold time | ||
| Distance * (mm) | Hold time | |||
| Time (s) | 60 | 60 | 60 | |
| Step 3 | Plunger speed (mm/s) | −0.100 | −0.200 | −0.300 |
| Distance * (mm) | 5 | 5 | 5 | |
| Time (s) | 50 | 25 | 16 | |
| Step 4 | Plunger speed (mm/s) | Hold time | ||
| Distance * (mm) | Hold time | |||
| Time (s) | 60 | 60 | 60 | |
| Yield Point | ||
|---|---|---|
| Formulation | Rheometer (Pa) | SSE-P (KPa) |
| F1 | 607 | 366 |
| F2 | 1064 | 305 |
| F3 | 198 | 417 |
| F4 | 1064 | 363 |
| Formulation | Printing Speed (mm/s) | Maximum Pressure (kPa) | Pressure Flow Cessation KPa) | Young Module (1/mm) | Shear Stress Steady Flow (KPa) | Apparent Viscosity (mPa·s) | Dynamic Viscosity (mPa·s) |
|---|---|---|---|---|---|---|---|
| F1 | 10 | 1094.5 | 900.3 | 204.1 | 1759.9 | 12.8 | 35.6 |
| 20 | 1435.9 | 1022.8 | 303.1 | 2370.6 | 7.9 | 22.9 | |
| 30 | 1712.3 | 1141.0 | 405.9 | 2878.5 | 6.9 | 11.9 | |
| F2 | 10 | 511.9 | 340.9 | 222.5 | 901.4 | 6.3 | 17.5 |
| 20 | 745.7 | 385.2 | 372.9 | 1237.2 | 4.3 | 12.0 | |
| 30 | 1033.6 | 575.2 | 328.6 | 1719.6 | 4,0 | 11.1 | |
| F3 | 10 | 678.6 | 425.0 | 349.7 | 1034.7 | 7.2 | 20.1 |
| 20 | 814.3 | 505.3 | 292.9 | 1424.8 | 5.0 | 13.8 | |
| 30 | 1103.9 | 640.1 | 286.9 | 1698.8 | 3.9 | 11.0 | |
| F4 | 10 | 1056.8 | 757.7 | 401.7 | 1835.5 | 12.8 | 35.6 |
| 20 | 1445.3 | 832.7 | 578.2 | 2478.5 | 8.6 | 24.0 | |
| 30 | 1525.2 | 864.1 | 462.6 | 2628.5 | 6.1 | 17.0 |
| SSE-P | |||||||||
|---|---|---|---|---|---|---|---|---|---|
| Formulation | Printing Speed (mm/s) | Yield Point (Kpa) | Yield Point Time (s) | Maximum Pressure (kPa) | Pressure Flow Cessation KPa) | Young Module (1/mm) | Shear Stress Steady Flow (KPa) | Apparent Viscosity (mPa·s) | Dynamic Viscosity (mPa·s) |
| F1 | 10 | 471.5 | 120.0 | 1402.3 | 1020.6 | 240.4 | 1993.7 | 13.9 | 38.6 |
| 20 | 451.5 | 64.5 | 1611.2 | 1160.3 | 133.2 | 2248.9 | 7.8 | 21.8 | |
| 30 | 478.1 | 40.3 | 1979.9 | 1126.2 | 301.9 | 2767.7 | 6.4 | 18.0 | |
| F2 | 10 | 450.1 | 124.4 | 964.8 | 631.7 | 304.9 | 1473.6 | 10.2 | 28.6 |
| 20 | 413.2 | 40.7 | 1261.2 | 744.6 | 711.4 | 1831.0 | 6.4 | 17.8 | |
| 30 | 438.8 | 35.0 | 1416.7 | 748.4 | 763.1 | 2243.5 | 5.2 | 14.5 | |
| F3 | 10 | 408.7 | 162.8 | 817.9 | 569.8 | 166.1 | 1114.0 | 7.7 | 21.6 |
| 20 | 358.3 | 37.9 | 1170.6 | 567.5 | 178.4 | 1418.4 | 4.9 | 13.7 | |
| 30 | 334.8 | 23.3 | 1286.5 | 632.9 | 682.3 | 2293.9 | 5.3 | 5.5 | |
| F4 | 10 | 386.4 | 177.8 | 1082.3 | 797.8 | 170.0 | 1971.5 | 13.7 | 38.2 |
| 20 | 415.0 | 77.3 | 2524.7 | 1647.5 | 214.6 | 2722.3 | 9.5 | 26.4 | |
| 30 | 405.9 | 44.5 | 2083.5 | 1158.9 | 509.4 | 3663.3 | 8.5 | 23.7 | |
Disclaimer/Publisher’s Note: The statements, opinions and data contained in all publications are solely those of the individual author(s) and contributor(s) and not of MDPI and/or the editor(s). MDPI and/or the editor(s) disclaim responsibility for any injury to people or property resulting from any ideas, methods, instructions or products referred to in the content. |
© 2024 by the authors. Licensee MDPI, Basel, Switzerland. This article is an open access article distributed under the terms and conditions of the Creative Commons Attribution (CC BY) license (https://creativecommons.org/licenses/by/4.0/).
Share and Cite
Suárez-González, J.; Díaz-Torres, E.; Monzón-Rodríguez, C.N.; Santoveña-Estévez, A.; Fariña, J.B. Revolutionizing Three-Dimensional Printing: Enhancing Quality Assurance and Point-of-Care Integration through Instrumentation. Pharmaceutics 2024, 16, 408. https://doi.org/10.3390/pharmaceutics16030408
Suárez-González J, Díaz-Torres E, Monzón-Rodríguez CN, Santoveña-Estévez A, Fariña JB. Revolutionizing Three-Dimensional Printing: Enhancing Quality Assurance and Point-of-Care Integration through Instrumentation. Pharmaceutics. 2024; 16(3):408. https://doi.org/10.3390/pharmaceutics16030408
Chicago/Turabian StyleSuárez-González, Javier, Eduardo Díaz-Torres, Cecilia N. Monzón-Rodríguez, Ana Santoveña-Estévez, and José B. Fariña. 2024. "Revolutionizing Three-Dimensional Printing: Enhancing Quality Assurance and Point-of-Care Integration through Instrumentation" Pharmaceutics 16, no. 3: 408. https://doi.org/10.3390/pharmaceutics16030408
APA StyleSuárez-González, J., Díaz-Torres, E., Monzón-Rodríguez, C. N., Santoveña-Estévez, A., & Fariña, J. B. (2024). Revolutionizing Three-Dimensional Printing: Enhancing Quality Assurance and Point-of-Care Integration through Instrumentation. Pharmaceutics, 16(3), 408. https://doi.org/10.3390/pharmaceutics16030408

