A Review of the Potential of Poly-(lactide-co-glycolide) Nanoparticles as a Delivery System for an Active Antimycobacterial Compound, 7-Methyljuglone
Abstract
1. Introduction
1.1. Impact of COVID-19 on TB
1.2. Current Challenges in TB Treatment
1.3. Plants as Alternative Care
1.3.1. Introduction to Euclea natalensis A. DC.
1.3.2. Pure Compounds Isolated from Euclea natalensis A. DC.
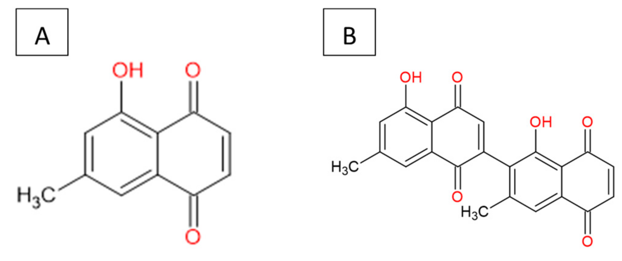
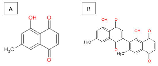
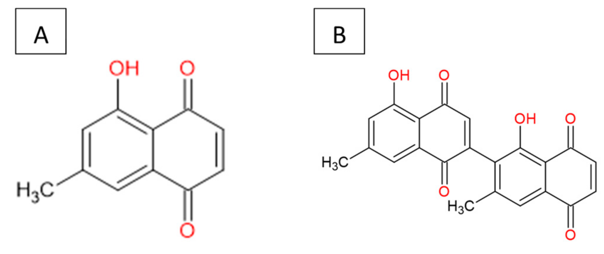
1.3.3. 7-Methyljuglone as a Potential Antimycobacterial Therapeutic Agent
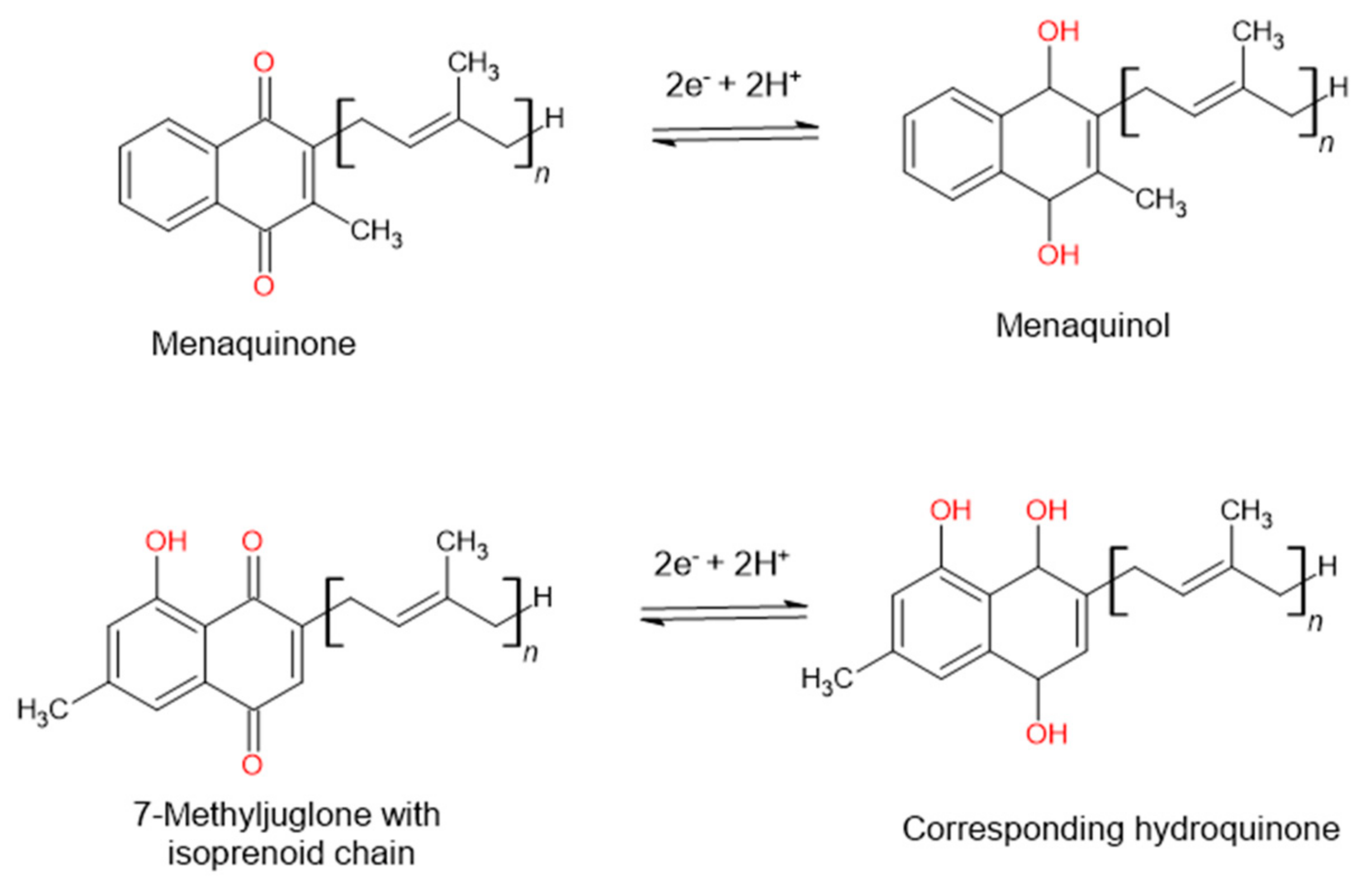
1.3.4. Mechanism of Action of 7-Methyljuglone
1.3.5. The Sustainability of 7-Methyljuglone
1.3.6. The Cytotoxic Effects of 7-Methyljuglone
1.4. Nanoparticles and Their Role in Drug Development
1.5. Limitations of PLGA Nanoparticles
1.6. Motivation for Using PLGA Nanoparticles for the Drug Delivery of 7-Methyljuglone
1.7. Clinical and Preclinical Applications of PLGA Nanoparticles
2. Discussion on the Challenges and Gaps in PLGA Nanoparticle Research
3. Conclusions
Author Contributions
Funding
Data Availability Statement
Conflicts of Interest
References
- Patel, S.; Sodha, M.N. Tuberculosis: Current scenario & challenges in India. World J. Pharm. Res. 2022, 11, 359–365. [Google Scholar]
- WHO Global Tuberculosis Report 2021. World Health Organization. 2021. Available online: https://www.who.int/teams/global-tuberculosis-programme/tb-reports/global-tuberculosis-report-2021 (accessed on 1 March 2022).
- Khameneh, B.; Fazly Bazzaz, B.S.; Amani, A.; Rostami, J.; Vahdati-Mashhadian, N. Combination of anti-tuberculosis drugs with vitamin C or NAC against different Staphylococcus aureus and Mycobacterium tuberculosis strains. Microb. Pathog. 2016, 93, 83–87. [Google Scholar] [CrossRef] [PubMed]
- Yuan, H.; Ma, Q.; Ye, L.; Piao, G. The traditional medicine and modern medicine from natural products. Molecules 2016, 21, 559. [Google Scholar] [CrossRef] [PubMed]
- Bnouham, M.; Zahra Merhfour, F.; Elachoui, M.; Legssyer, A.; Mekhfi, H.; Lamnaouer, D.; Ziyyat, A. Toxic effects of some medicinal plants used in Moroccan traditional medicine. Moroc. J. Biol. 2006, 2, 21–30. [Google Scholar]
- Fennell, C.W.; Lindsey, K.L.; McGaw, L.J.; Sparg, S.G.; Stafford, G.I.; Elgorashi, E.E.; Grace, O.M.; van Staden, J. Assessing African medicinal plants for efficacy and safety: Pharmacological screening and toxicology. J. Ethnopharmacol. 2004, 94, 205–217. [Google Scholar] [CrossRef]
- Silva, A.M.; Alvarado, H.L.; Abrego, G.; Martins-Gomes, C.; Garduño-Ramirez, M.L.; García, M.L.; Calpena, A.C.; Souto, E.B. In vitro cytotoxicity of oleanolic/ursolic acids-loaded in PLGA nanoparticles in different cell lines. Pharmaceutics 2019, 11, 362. [Google Scholar] [CrossRef]
- Spaull, N.; Ardington, C.; Bassier, I.; Bhorat, H.; Bridgman, G.; Brophy, T.; Budlender, J.; Burger, R.; Burger, R.; Carel, D.; et al. Overview and Findings NIDS-CRAM Synthesis Report Wave 1. September 2020. National Income Dynamics Study–Coronavirus Rapid Mobile Survey. 2020. Available online: https://cramsurvey.org/wp-content/uploads/2020/07/Spaull-et-al.-NIDS-CRAM-Wave-1-Synthesis-Report-Overview-and-Findings-1.pdf (accessed on 10 November 2022).
- Loveday, M.; Cox, H.; Evans, D.; Furin, J.; Ndjeka, N.; Osman, M.; Naidoo, K. Opportunities from a new disease for an old threat: Extending COVID-19 efforts to address tuberculosis in South Africa. S. Afr. Med. J. 2020, 110, 1160–1167. [Google Scholar] [CrossRef]
- McQuaid, C.F.; Vassall, A.; Cohen, T.; Fiekert, K.; White, R.G. The impact of COVID-19 on TB: A review of the data. Int. J. Tuberc. Lung Dis. 2021, 25, 436–446. [Google Scholar] [CrossRef]
- Lange, C.; Chesov, D.; Heyckendorf, J.; Leung, C.C.; Udwadia, Z.; Dheda, K. Drug-resistant tuberculosis: An update on disease burden, diagnosis and treatment. Respirology 2018, 23, 656–673. [Google Scholar] [CrossRef]
- Palomino, J.C.; Martin, A. Drug resistance mechanisms in Mycobacterium tuberculosis. Antibiotics 2014, 3, 317–340. [Google Scholar] [CrossRef]
- Arya, V. A Review on Anti-Tubercular Plants. Int. J. Pharmtech Res. 2011, 3, 872–880. [Google Scholar]
- Smith, M.; Accinelli, A.; Tejada, F.R.; Kharel, M.K. Drugs Used in Tuberculosis and Leprosy, 1st ed.; Elsevier: Amsterdam, The Netherlands, 2016; Volume 38. [Google Scholar] [CrossRef]
- Ahmed, S.; Raqib, R.; Guðmundsson, G.H.; Bergman, P.; Agerberth, B.; Rekha, R.S. Host-directed therapy as a novel treatment strategy to overcome tuberculosis: Targeting immune modulation. Antibiotics 2020, 9, 21. [Google Scholar] [CrossRef]
- Jolliffe, D.A.; Ganmaa, D.; Wejse, C.; Raqib, R.; Haq, M.A.; Salahuddin, N.; Daley, P.K.; Ralph, A.P.; Ziegler, T.R.; Martineau, A.R. Adjunctive vitamin D in tuberculosis treatment: Meta-analysis of individual participant data. Eur. Respir. J. 2019, 53, 1802003. [Google Scholar] [CrossRef] [PubMed]
- Zhang, Y. Persisters, persistent infections and the Yin-Yang model. Emerg. Microbes Infect. 2014, 3, 1–10. [Google Scholar] [CrossRef] [PubMed]
- Mahomoodally, M.F. Traditional Medicines in Africa: An Appraisal of Ten Potent African Medicinal Plants. Evid.-Based Complement. Altern. Med. 2013, 2013, 617459. [Google Scholar] [CrossRef] [PubMed]
- Verma, S.; Singh, S.P. Current and future status of herbal medicines. Vet. World 2008, 1, 347–350. [Google Scholar] [CrossRef]
- Chaitanya, M.V.N.L.; Baye, H.-G. Traditional African Medicine. In Natural Medicinal Plants; IntechOpen: London, UK, 2021. [Google Scholar] [CrossRef]
- Mothibe, M.; Sibanda, M. African Traditional Medicine: South African Perspective. In Traditional and Complementary Medicine; IntechOpen: London, UK, 2019; pp. 1–27. [Google Scholar] [CrossRef]
- Lall, N.; Kumar, V.; Meyer, D.; Gasa, N.; Hamilton, C.; Matsabisa, M.; Oosthuizen, C. In vitro and In vivo antimycobacterial, hepatoprotective and immunomodulatory activity of Euclea natalensis and its mode of action. J. Ethnopharmacol. 2016, 194, 740–748. [Google Scholar] [CrossRef] [PubMed]
- Oosthuizen, C.B.; Lall, N. Chapter 16—Euclea natalensis. In Underexplored Medicinal Plants from Sub-Saharan Africa: Plants with Therapeutic Potential for Human Health; Academic Press: Cambridge, MA, USA, 2020; pp. 111–116. [Google Scholar] [CrossRef]
- Maroyi, A. Review of ethnomedicinal uses, phytochemistry and pharmacological properties of Euclea natalensis A. DC. Molecules 2017, 22, 2128. [Google Scholar] [CrossRef] [PubMed]
- McGaw, L.J.; Lall, N.; Hlokwe, T.M.; Michel, A.L.; Meyer, J.J.M.; Eloff, J.N. Purified compounds and extracts from Euclea species with antimycobacterial activity against Mycobacterium bovis and fast-growing mycobacteria. Biol. Pharm. Bull. 2008, 31, 1429–1433. [Google Scholar] [CrossRef] [PubMed]
- Van der Kooy, F.; Meyer, J.J.M.; Lall, N. Antimycobacterial activity and possible mode of action of newly isolated neodiospyrin and other naphthoquinones from Euclea natalensis. S. Afr. J. Bot. 2006, 72, 349–352. [Google Scholar] [CrossRef]
- Lall, N.; Meyer, J.J.M.; Wang, Y.; Bapela, N.B.; Van Rensburg, C.E.J.; Fourie, B.; Franzblau, S.G. Characterization of intracellular activity of antitubercular constituents from the roots of Euclea natalensis. Pharm. Biol. 2005, 43, 353–357. [Google Scholar] [CrossRef] [PubMed]
- Bapela, N.B.; Lall, N.; Fourie, P.B.; Franzblau, S.G.; Van Rensburg, C.E.J. Activity of 7-methyljuglone in combination with antituberculous drugs against Mycobacterium tuberculosis. Phytomedicine 2006, 13, 630–635. [Google Scholar] [CrossRef] [PubMed]
- Lall, N.; Das Sarma, M.; Hazra, B.; Meyer, J.J.M. Antimycobacterial activity of diospyrin derivatives and a structural analogue of diospyrin against Mycobacterium tuberculosis in vitro. J. Antimicrob. Chemother. 2003, 51, 435–438. [Google Scholar] [CrossRef] [PubMed]
- Garbe, T.R. Co-induction of methyltransferase Rv0560c by naphthoquinones and fibric acids suggests attenuation of isoprenoid quinone action in Mycobacterium tuberculosis. Can. J. Microbiol. 2004, 50, 771–778. [Google Scholar] [CrossRef] [PubMed]
- Mahapatra, A.; Mativandlela, S.P.N.; Binneman, B.; Fourie, P.B.; Hamilton, C.J.; Meyer, J.J.M.; van der Kooy, F.; Houghton, P.; Lall, N. Activity of 7-methyljuglone derivatives against Mycobacterium tuberculosis and as subversive substrates for mycothiol disulfide reductase. Bioorganic Med. Chem. 2007, 15, 7638–7646. [Google Scholar] [CrossRef] [PubMed]
- Truglio, J.J.; Theis, K.; Feng, Y.; Gajda, R.; Machutta, C.; Tonge, P.J.; Kisker, C. Crystal Structure of Mycobacterium tuberculosis MenB, a Key Enzyme in Vitamin K2 Biosynthesis. J. Biol. Chem. 2003, 278, 42352–42360. [Google Scholar] [CrossRef] [PubMed]
- Zhang, Z.; Liu, L.; Liu, C.; Sun, Y.; Zhang, D. New aspects of microbial vitamin K2 production by expanding the product spectrum. Microb. Cell Fact. 2021, 20, 84. [Google Scholar] [CrossRef]
- Bapela, J.M.; Kuete, V.; Du Toit, E.; Meyer, M.J.J.; Lall, N. Fertilization-induced changes in growth parameters and antimycobacterial activity of Euclea natalensis (Ebenaceae). S. Afr. J. Bot. 2008, 74, 244–250. [Google Scholar] [CrossRef]
- Kishore, N.; Binneman, B.; Mahapatra, A.; Van De Venter, M.; Du Plessis-Stoman, D.; Boukes, G.; Houghton, P.; Meyer, J.J.M.; Lall, N. Cytotoxicity of synthesized 1,4-naphthoquinone analogues on selected human cancer cell lines. Bioorganic Med. Chem. 2014, 22, 5013–5019. [Google Scholar] [CrossRef]
- Kuete, V.; Ngameni, B.; Wiench, B.; Krusche, B.; Horwedel, C.; Ngadjui, B.T.; Efferth, T. Cytotoxicity and mode of action of four naturally occuring flavonoids from the genus dorstenia: Gancaonin Q, 4-hydroxylonchocarpin, 6-prenylapigenin, and 6,8-diprenyleriodictyol. Planta Med. 2011, 77, 1984–1989. [Google Scholar] [CrossRef]
- Mbaveng, A.T.; Kuete, V. Review of the chemistry and pharmacology of 7-Methyljugulone. Afr. Health Sci. 2014, 14, 201–205. [Google Scholar] [CrossRef]
- Ioele, G.; Chieffallo, M.; Occhiuzzi, M.A.; De Luca, M.; Garofalo, A.; Ragno, G.; Grande, F. Anticancer Drugs: Recent Strategies to Improve Stability Profile, Pharmacokinetic and Pharmacodynamic Properties. Molecules 2022, 27, 5436. [Google Scholar] [CrossRef] [PubMed]
- Jacobs, R.E.A.; Gu, P.; Chachoua, A. Reactivation of pulmonary tuberculosis during cancer treatment. Int. J. Mycobacteriol. 2015, 4, 337–340. [Google Scholar] [CrossRef] [PubMed]
- Nabi, B.; Rehman, S.; Aggarwal, S.; Baboota, S.; Ali, J. Nano-based anti-tubercular drug delivery: An emerging paradigm for improved therapeutic intervention. Drug Deliv. Transl. Res. 2020, 10, 1111–1121. [Google Scholar] [CrossRef] [PubMed]
- Grotz, E.; Tateosian, N.; Amiano, N.; Cagel, M.; Bernabeu, E.; Chiappetta, D.A.; Moretton, M.A. Nanotechnology in Tuberculosis: State of the Art and the Challenges Ahead. Pharm. Res. 2018, 35, 213. [Google Scholar] [CrossRef] [PubMed]
- Donnellan, S.; Stone, V.; Johnston, H.; Giardiello, M.; Owen, A.; Rannard, S.; Aljayyoussi, G.; Swift, B.; Tran, L.; Watkins, C.; et al. Intracellular delivery of nano-formulated antituberculosis drugs enhances bactericidal activity. J. Interdiscip. Nanomed. 2017, 2, 146–156. [Google Scholar] [CrossRef]
- Hanieh, P.N.; Consalvi, S.; Forte, J.; Cabiddu, G.; De Logu, A.; Poce, G.; Rinaldi, F.; Biava, M.; Carafa, M.; Marianecci, C. Nano-Based Drug Delivery Systems of Potent MmpL3 Inhibitors for Tuberculosis Treatment. Pharmaceutics 2022, 14, 610. [Google Scholar] [CrossRef]
- Bhasarkara, J.; Bal, D.K. Chapter 25—Nanomaterial-based advanced oxidation processes for degradation of waste pollutants. In Handbook of Nanomaterials for Wastewater Treatment; Elsevier: Amsterdam, The Netherlands, 2021; pp. 811–831. [Google Scholar] [CrossRef]
- Khan, I.; Saeed, K.; Khan, I. Nanoparticles: Properties, applications and toxicities. Arab. J. Chem. 2019, 12, 908–931. [Google Scholar] [CrossRef]
- Mehanna, M.M.; Mohyeldin, S.M.; Elgindy, N.A. Respirable nanocarriers as a promising strategy for antitubercular drug delivery. J. Control Release 2014, 187, 183–197. [Google Scholar] [CrossRef]
- Booysen, L.L.I.J.; Kalombo, L.; Brooks, E.; Hansen, R.; Gilliland, J.; Gruppo, V.; Lungenhofer, P.; Semete-Makokotlela, B.; Swai, H.S.; Kotze, A.F.; et al. In vivo/in vitro pharmacokinetic and pharmacodynamic study of spray-dried poly-(dl-lactic-co-glycolic) acid nanoparticles encapsulating rifampicin and isoniazid. Int. J. Pharm. 2013, 444, 10–17. [Google Scholar] [CrossRef]
- Merisko-Liversidge, E.; Liversidge, G.; Cooper, E. Nanosizing: A formulation approach for poorly-water-soluble compounds. Eur. J. Pharm. Sci. 2003, 18, 113–120. [Google Scholar] [CrossRef]
- Harish, V.; Tewari, D.; Gaur, M.; Yadav, A.B.; Swaroop, S.; Bechelany, M.; Barhoum, A. Review on Nanoparticles and Nanostructured Materials: Bioimaging, Biosensing, Drug Delivery, Tissue Engineering, Antimicrobial, and Agro-Food Applications. Nanomaterials 2022, 12, 0457. [Google Scholar] [CrossRef] [PubMed]
- Hussain, A.; Singh, S.; Das, S.S.; Anjireddy, K.; Karpagam, S.; Shakeel, F. Nanomedicines as Drug Delivery Carriers of Anti-Tubercular Drugs: From Pathogenesis to Infection Control. Curr. Drug Deliv. 2019, 16, 400–429. [Google Scholar] [CrossRef] [PubMed]
- Liu, Y.; Wu, X.; Mi, Y.; Zhang, B.; Gu, S.; Liu, G.; Li, X. PLGA nanoparticles for the oral delivery of nuciferine: Preparation, physicochemical characterization and in vitro/in vivo studies. Drug Deliv. 2017, 24, 443–451. [Google Scholar] [CrossRef] [PubMed]
- Little, A.; Wemyss, A.M.; Haddleton, D.M.; Tan, B.; Sun, Z.; Ji, Y.; Wan, C. Synthesis of poly(Lactic acid-co-glycolic acid) copolymers with high glycolide ratio by ring-opening polymerisation. Polymers 2021, 13, 2458. [Google Scholar] [CrossRef] [PubMed]
- Potenza, M.A.C.; Sanvito, T.; Argentiere, S.; Cella, C.; Paroli, B.; Lenardi, C.; Milani, P. Single particle optical extinction and scattering allows real time quantitative characterization of drug payload and degradation of polymeric nanoparticles. Sci. Rep. 2015, 5, 18228. [Google Scholar] [CrossRef] [PubMed]
- Lemmer, Y.; Kalombo, L.; Pietersen, R.D.; Jones, A.T.; Semete-Makokotlela, B.; Van Wyngaardt, S.; Ramalapa, B.; Stoltz, A.C.; Baker, B.; Verschoor, J.A.; et al. Mycolic acids, a promising mycobacterial ligand for targeting of nanoencapsulated drugs in tuberculosis. J. Control Release 2015, 211, 94–104. [Google Scholar] [CrossRef] [PubMed]
- Mahboob, T.; Nawaz, M.; de Lourdes Pereira, M.; Tian-Chye, T.; Samudi, C.; Sekaran, S.D.; Wiart, C.; Nissapatorn, V. PLGA nanoparticles loaded with Gallic acid- a constituent of Leea indica against Acanthamoeba triangularis. Sci. Rep. 2020, 10, 8954. [Google Scholar] [CrossRef] [PubMed]
- Lim, Y.W.; Tan, W.S.; Ho, K.L.; Mariatulqabtiah, A.R.; Kasim, N.H.A.; Abd Rahman, N.; Wong, T.W.; Chee, C.F. Challenges and Complications of Poly(Lactic-Co-Glycolic Acid)-Based Long-Acting Drug Product Development. Pharmaceutics 2022, 14, 0614. [Google Scholar] [CrossRef]
- Kim, S.M.; Patel, M.; Patel, R. PLGA Core-Shell Nano/Microparticle Delivery System for Biomedical Application. Polymers 2021, 13, 3471. [Google Scholar] [CrossRef]
- Roberts, R.; Smyth, J.W.; Will, J.; Roberts, P.; Grek, C.L.; Ghatnekar, G.S.; Sheng, Z.; Gourdie, R.G.; Lamouille, S.; Foster, E.J. Development of PLGA nanoparticles for sustained release of a connexin43 mimetic peptide to target glioblastoma cells. Mater. Sci. Eng. C 2020, 108, 110191. [Google Scholar] [CrossRef]
- Cartiera, M.S.; Ferreira, E.C.; Caputo, C.; Egan, M.E.; Caplan, M.J.; Saltzman, W.M. Partial correction of cystic fibrosis defects with PLGA nanoparticles encapsulating curcumin. Mol. Pharm. 2009, 7, 86–93. [Google Scholar] [CrossRef] [PubMed]
- Huang, W.; Zhang, C. Tuning the size of poly (lactic-co-glycolic acid)(PLGA) nanoparticles fabricated by nanoprecipitation. Biotechnol. J. 2018, 13, 1700203. [Google Scholar] [CrossRef] [PubMed]
- Virlan, M.J.R.; Miricescu, D.; Totan, A.; Greabu, M.; Tanase, C.; Sabliov, C.M.; Caruntu, C.; Calenic, B. Current uses of poly(lactic-co-glycolic acid) in the dental field: A comprehensive review. J. Chem. 2015, 2015, 525832. [Google Scholar] [CrossRef]
- Aljabali, A.A.; Obeid, M.A.; Bashatwah, R.M.; Serrano-Aroca, Á.; Mishra, V.; Mishra, Y.; El-Tanani, M.; Hromić-Jahjefendić, A.; Kapoor, D.N.; Goyal, R.; et al. Nanomaterials and Their Impact on the Immune System. Int. J. Mol. Sci. 2023, 24, 2008. [Google Scholar] [CrossRef] [PubMed]
- Ghitman, J.; Stan, R.; Vlasceanu, G.; Vasile, E.; Iovu, H. Predicting the drug loading efficiency into hybrid nanocarriers based on PLGA-vegetable oil using molecular dynamic simulation approach and Flory-Huggins theory. J. Drug Deliv. Sci. Technol. 2019, 53, 101203. [Google Scholar] [CrossRef]
- Gali, L.; Pirozzi, A.; Donsì, F. Biopolymer- and Lipid-Based Carriers for the Delivery of Plant-Based Ingredients. Pharmaceutics 2023, 15, 927. [Google Scholar] [CrossRef] [PubMed]
- Đorđević, S.; Gonzalez, M.M.; Conejos-Sánchez, I.; Carreira, B.; Pozzi, S.; Acúrcio, R.C.; Satchi-Fainaro, R.; Florindo, H.F.; Vicent, M.J. Current hurdles to the translation of nanomedicines from bench to the clinic. Drug Deliv. Transl. Res. 2022, 12, 500–525. [Google Scholar] [CrossRef]
- Herdiana, Y.; Wathoni, N.; Shamsuddin, S.; Muchtaridi, M. Scale-up polymeric-based nanoparticles drug delivery systems: Development and challenges. OpenNano 2022, 7, 100048. [Google Scholar] [CrossRef]
- Viswanath, B.; Kim, S. Influence of Nanotoxicity on Human Health and Environment: The Alternative Strategies. In Reviews of Environmental Contamination and Toxicology; Springer: Cham, Switzerland, 2016; pp. 61–104. [Google Scholar]
- Cheng, T.M.; Chu, H.Y.; Huang, H.M.; Li, Z.L.; Chen, C.Y.; Shih, Y.J.; Whang-Peng, J.; Cheng, R.H.; Mo, J.K.; Lin, H.Y.; et al. Toxicologic Concerns with Current Medical Nanoparticles. Int. J. Mol. Sci. 2022, 23, 7597. [Google Scholar] [CrossRef]
- Gill, M.R.; Menon, J.U.; Jarman, P.J.; Owen, J.; Skaripa-Koukelli, I.; Able, S.; Thomas, J.A.; Carlisle, R.; Vallis, K.A. In-labled polymeric nanoparticles incorporating a ruthenium-based radiosensitizer oesophageal cancer cells. Nanoscale 2018, 10, 10596–10608. [Google Scholar] [CrossRef]
- Babu, A.; Amreddy, N.; Muralidharan, R.; Pathuri, G.; Gali, H.; Chen, A.; Zhao, Y.D.; Munshi, A.; Ramesh, R. Chemodrug delivery using nanoparticle for lung cancer therapy. Sci. Rep. 2017, 7, 14674. [Google Scholar] [CrossRef]
- Mazlan, M.K.N.; Tazizi, M.H.D.M.; Ahmad, R.; Noh, M.A.A.; Bakhtiar, A.; Wahab, H.A.; Gazzali, A.M. Antituberculosis targeted drug delivery as a potential future treatment approach. Antibiotics 2021, 10, 0908. [Google Scholar] [CrossRef]
- Usman, F.; Javed, I.; Hussain, S.Z.; Hussainc, N.M.R.I. Hydrophilic nanoparticles packed in oral tablets can improve the plasma profile of short half-life hydrophobic drugs. RSC Adv. 2016, 6, 94896–94904. [Google Scholar] [CrossRef]
- Kalluru, R.; Fenaroli, F.; Westmoreland, D.; Ulanova, L.; Maleki, A.; Roos, N.; Madsen, M.P.; Koster, G.; Egge-Jacobsen, W.; Wilson, S.; et al. Poly(lactide-co-glycolide)-rifampicin nanoparticles efficiently clear Mycobacterium bovis BCG infection in macrophages and remain membrane-bound in phago-lysosomes. J. Cell Sci. 2013, 126, 3043–3054. [Google Scholar] [CrossRef] [PubMed]
- Horvath, D.; Basler, M. PLGA Particles in Immunotherapy. Pharmaceutics 2023, 15, 615. [Google Scholar] [CrossRef] [PubMed]
- Alvi, M.; Yaqoob, A.; Rehman, K.; Shoaib, S.M.; Sajid, M.; Akash, H. PLGA—Based nanoparticles for the treatment of cancer: Current strategies and perspectives. AAPS Open 2022, 8, 12. [Google Scholar] [CrossRef]
- Liu, J.; Leng, P.; Liu, Y. Oral drug delivery with nanoparticles into the gastrointestinal mucosa. Fundimental Clin. Pharmacol. 2021, 35, 86–96. [Google Scholar] [CrossRef] [PubMed]
- Khalil, N.M.; do Nascimento, T.C.F.; Casa, D.M.; Dalmolin, L.F.; de Mattos, A.C.; Hoss, I.; Romano, M.A.; Mainardes, R.M. Pharmacokinetics of curcumin-loaded PLGA and PLGA-PEG blend nanoparticles after oral administration in rats. Colloids Surf. B Biointerfaces 2013, 101, 353–360. [Google Scholar] [CrossRef]
- Jacob, S.; Nair, A.B.; Shah, J. Emerging role of nanosuspensions in drug delivery systems. Biomater. Res. 2020, 24, 3. [Google Scholar] [CrossRef]
- Ramburrun, P.; Khan, R.A.; Choonara, Y.E. Design, preparation, and functionalization of nanobiomaterials for enhanced efficacy in current and future biomedical applications. Nanotechnol. Rev. 2022, 11, 1802–1826. [Google Scholar] [CrossRef]
- Kattel, P.; Sulthana, S.; Shrestha, D.; Pearson, D.; Aryal, S. Effect of Nanoparticle Weight on the Cellular Uptake and Drug Delivery Potential of PLGA Nanoparticles. ACS Omega 2023, 8, 27146–27155. [Google Scholar] [CrossRef] [PubMed]
- Ghitman, J.; Biru, E.I.; Stan, R.; Iovu, H. Review of hybrid PLGA nanoparticles: Future of smart drug delivery and theranostics medicine. Mater. Des. 2020, 193, 108805. [Google Scholar] [CrossRef]
- Chiu, H.I.; Samad, N.A.; Fang, L.; Lim, V. Cytotoxicity of targeted PLGA nanoparticles: A systematic review. RSC Adv. 2021, 11, 9433–9449. [Google Scholar] [CrossRef]
- Di-Wen, S.; Pan, G.Z.; Hao, L.; Zhang, J.; Xue, Q.Z.; Wang, P.; Yuan, Q.Z. Improved antitumor activity of epirubicin-loaded CXCR4-targeted polymeric nanoparticles in liver cancers. Int. J. Pharm. 2016, 500, 54–61. [Google Scholar] [CrossRef] [PubMed]
- Troiano, G.; Nolan, J.; Parsons, D.; Van Geen Hoven, C.; Zale, S. A Quality by Design Approach to Developing and Manufacturing Polymeric Nanoparticle Drug Products. AAPS J. 2016, 18, 1354–1365. [Google Scholar] [CrossRef]
- Adams, B. FierceBiotech’s Rotten Tomatoes. Fierse Biotech. 2017. Available online: https://www.fiercebiotech.com/special-report/fiercebiotech-s-rotten-tomatoes (accessed on 11 August 2022).
- Anselmo, A.C.; Mitragotri, S. Nanoparticles in the clinic. Bioeng. Transl. Med. 2016, 1, 10–29. [Google Scholar] [CrossRef]
- Hrkach, J.; Von Hoff, D.; Ali, M.M.; Andrianova, E.; Auer, J.; Campbell, T.; De Witt, D.; Figa, M.; Figueiredo, M.; Horhota, A.; et al. Preclinical development and clinical translation of a PSMA-targeted docetaxel nanoparticle with a differentiated pharmacological profile. Sci. Transl. Med. 2012, 4, 128ra39. [Google Scholar] [CrossRef]
- Pandey, R.; Sharma, A.; Zahoor, A.; Sharma, S.; Khuller, G.K.; Prasad, B. Poly (DL -lactide-co-glycolide) nanoparticle-based inhalable sustained drug delivery system for experimental tuberculosis. J. Antimicrob. Chemother. 2003, 52, 981–986. [Google Scholar] [CrossRef]
- Boostiv. Zoladex. Boost Iv Vitam Infusions. 2022. Available online: https://boostiv.co.nz/zoladex-implant-injection/ (accessed on 11 August 2022).
- Drugs.com. Eligard. DrugsCom. 2022. Available online: https://www.drugs.com/cons/eligard.html (accessed on 11 August 2022).
- Fedelty. Decapeptyl. Fedelty Healthc. 2022. Available online: https://www.fedeltyhealthcare.com/product/tryptorelin-decapeptyl-cr-3-75mg-injection-bulk-pharma-exporter/ (accessed on 11 August 2022).
- Hadar, J.; Skidmore, S.; Garner, J.; Park, H.; Park, K.; Wang, Y.; Quin, B.; Jiang, X. Characterization of branched poly(lactide-co-glycolide) polymers used in injectable, long-acting formulations. J. Control Release 2019, 304, 75–89. [Google Scholar] [CrossRef]
- Operti, M.C.; Bernhardt, A.; Grimm, S.; Engel, A.; Figdor, C.G.; Tagit, O. PLGA-based nanomedicines manufacturing: Technologies overview and challenges in industrial scale-up. Int. J. Pharm. 2021, 605, 120807. [Google Scholar] [CrossRef] [PubMed]
- ClinicalTrials.gov. PLGA Nanoparticles. National Library of Medicine. 2023. Available online: https://clinicaltrials.gov/search?intr=PLGAnanoparticles&limit=100&distance=50 (accessed on 17 November 2023).
- Lü, J.-M.; Wang, X.; Marin-Muller, C.; Wang, H.; Lin, P.H.; Yao, Q.; Chen, C. Current advances in research and clinical applications of PLGA- based nanotechnology. Expert. Rev. Mol. Diagn. 2009, 9, 325–341. [Google Scholar] [CrossRef] [PubMed]
- Jan, N.; Madni, A.; Khan, S.; Shah, H.; Akram, F.; Khan, A.; Ertas, D.; Bostanudin, M.F.; Contag, C.H.; Ashammakhi, N.; et al. Biomimetic cell membrane-coated poly (lactic- co -glycolic acid) nanoparticles for biomedical applications. Bioeng. Transl. Med. 2023, 8, e10441. [Google Scholar] [CrossRef] [PubMed]
- Gatto, M.S.; Najahi-Missaoui, W. Lyophilization of Nanoparticles, Does It Really Work? Overview of the Current Status and Challenges. Int. J. Mol. Sci. 2023, 24, 14041. [Google Scholar] [CrossRef] [PubMed]
- Abbasi, R.; Shineh, G.; Mobaraki, M.; Doughty, S.; Tayebi, L. Structural parameters of nanoparticles affecting their toxicity for biomedical applications: A review. J. Nanoparticle Res. 2023, 25, 43. [Google Scholar] [CrossRef] [PubMed]
- Busk, M.; Sinning, S.; Alstrup, A.K.O.; Munk, O.L.; Vendelbo, M.H. Nuclear Medicine Preclinical Research: The Role of Cell Cultures. Semin. Nucl. Med. 2023, 53, 558–569. [Google Scholar] [CrossRef] [PubMed]
- Swider, E.; Maharjan, S.; Houkes, K.; Van Riessen, N.K.; Figdor, C.; Srinivas, M.; Tagit, O. Förster Resonance Energy Transfer-Based Stability Assessment of PLGA Nanoparticles in Vitro and in Vivo. ACS Appl. Bio Mater. 2019, 2, 1131–1140. [Google Scholar] [CrossRef]
- Afrin, S.; Gupta, V. Issues of Concern. Pharmaceutical Formulation; StatPearls Publishing LLC: St. Petersburg, FL, USA, 2023. [Google Scholar]
- Souri, M.; Soltani, M.; Moradi Kashkooli, F.; Kiani Shahvandi, M.; Chiani, M.; Shariati, F.S.; Mehrabi, M.R.; Munn, L. Towards principled design of cancer nanomedicine to accelerate clinical translation. Mater. Today Bio 2022, 13, 100208. [Google Scholar] [CrossRef]
- Mahalmani, V.; Sinha, S.; Prakash, A.; Medhi, B. Translational research: Bridging the gap between preclinical and clinical research. Indian. J. Pharmacol. 2022, 54, 393–396. [Google Scholar]
- Mukherjee, P.; Roy, S.; Ghosh, D.; Nandi, S.K. Role of animal models in biomedical research: A review. Lab. Anim. Res. 2022, 38, 18. [Google Scholar] [CrossRef]
- Schwartz, A.L.; Alsan, M.; Morris, A.A.; Halpern, S.D. Why Diverse Clinical Trial Participation Matters. N. Engl. J. Med. 2023, 388, 1252–1254. [Google Scholar] [CrossRef] [PubMed]
- Li, Z.; Kovshova, T.; Malinovskaya, J.; Valikhov, M.; Melnikov, P.; Osipova, N.; Maksimenko, O.; Dhakal, N.; Chernysheva, A.; Chekhonin, V.; et al. Modeling the Drug delivery Lifecycle of PLG Nanoparticles Using Intravital Microscopy. Small 2023, e2306726. [Google Scholar] [CrossRef] [PubMed]
- Vora, L.K.; Gholap, A.D.; Jetha, K.; Thakur, R.R.S.; Solanki, H.K.; Chavda, V.P. Artificial Intelligence in Pharmaceutical Technology and Drug Delivery Design. Pharmaceutics 2023, 15, 1916. [Google Scholar] [CrossRef]
- Thind, M.; Kowey, P. The Role of the Food and Drug Administration in Drug Development: On the Subject of Proarrhythmia Risk. J. Innov. Card. Rhythm. Manag. 2020, 11, 3958–3967. [Google Scholar] [CrossRef]
- Pourtalebi Jahromi, L.; Ghazali, M.; Ashrafi, H.; Azadi, A. A comparison of models for the analysis of the kinetics of drug release from PLGA-based nanoparticles. Heliyon 2020, 6, e03451. [Google Scholar] [CrossRef] [PubMed]
- Von Friederike, B.; Luise, S.; Achim, G. Why degradable polymers undergo surface erosion or bulk erosion. Biomaterials 2002, 23, 4221–4231. [Google Scholar]
- Panigrahi, D.; Sahu, P.K.; Swain, S.; Verma, R.K. Quality by design prospects of pharmaceuticals application of double emulsion method for PLGA loaded nanoparticles. SN Appl. Sci. 2021, 3, 638. [Google Scholar] [CrossRef]
- Rafiei, P.; Haddadi, A. A robust systematic design: Optimization and preparation of polymeric nanoparticles of PLGA for docetaxel intravenous delivery. Mater. Sci. Eng. C 2019, 104, 109950. [Google Scholar] [CrossRef]
- Hua, Y.; Su, Y.; Zhang, H.; Liu, N.; Wang, Z.; Gao, X.; Goa, J.; Zheng, A. Poly(lactic-co-glycolic acid) microsphere production based on quality by design: A review. Drug Deliv. 2021, 28, 1342–1355. [Google Scholar] [CrossRef]
- Bao, Y.; Maeki, M.; Ishida, A.; Tani, H.; Tokeshi, M. Effect of Organic Solvents on a Production of PLGA-Based Drug-Loaded Nanoparticles Using a Microfluidic Device. ACS Omega 2022, 7, 33079–33086. [Google Scholar] [CrossRef]
- Sah, E.; Sah, H. Recent trends in preparation of poly(lactide-co-glycolide) nanoparticles by mixing polymeric organic solution with antisolvent. J. Nanomater. 2015, 2015, 22. [Google Scholar] [CrossRef]
- Miyazawa, T.; Itaya, M.; Burdeos, G.C.; Nakagawa, K.; Miyazawa, T. A critical review of the use of surfactant-coated nanoparticles in nanomedicine and food nanotechnology. Int. J. Nanomed. 2021, 16, 3937–3999. [Google Scholar] [CrossRef]
- Lu, Y.; Cheng, D.; Niu, B.; Wang, X.; Wu, X.; Wang, A. Properties of Poly (Lactic-co-Glycolic Acid) and Progress of Poly (Lactic-co-Glycolic Acid)-Based Biodegradable Materials in Biomedical Research. Pharmaceuticals 2023, 16, 454. [Google Scholar] [CrossRef]
- Costello, M. Water, Energy Conservation in the Pharmaceutical Industry. Water Technology. 2010. Available online: https://www.watertechonline.com/home/article/14170505/water-energy-conservation-in-the-pharmaceutical-industry (accessed on 4 January 2024).




| Drug | Activity | Mechanism of Action | Side Effects |
|---|---|---|---|
| Ethambutol | Targets the cell wall of the mycobacterium through the biosynthesis of arabinogalactan. | Has shown great effect against growing bacterial bacilli. | Blurred vision, eyes have increased sensitivity to light, and pain behind the eyes. |
| Isoniazid | Only active against replicating metabolically active bacilli. | Isoniazid constrains the production of mycolic acids, a cell wall component that is very vital for M. tuberculosis, via the NADH 1-dependent enoyl-ACP 2 reductase, which the inhA gene encodes. | Hepatitis and skin rashes. |
| Pyrazinamide | Has effects against semi-dormant bacilli that can be found in acidic areas of TB lesions. | The drug converts pyrazinamide into pyrazinoic acid, which disrupts the membrane energetics of M. tuberculosis, which then causes the inhibition of membrane transport. | Arthralgia and hepatitis. |
| Rifampicin | Has activity against both non-growing and growing bacilli of mycobacteria. | Binding to RNA 3-polymerase via its β-subunit causes a hindrance in the elongation of the messenger RNA. | Nausea, vomiting, abdominal pains, hepatitis, and thrombocytopenic purpura |
| Streptomycin | Active against actively growing bacilli. | Inhibits the translation in protein synthesis of M. tuberculosis. | Damage to auditory and vestibular nerves, and sometimes renal harm. |
| Cell Lines | IC50 (µM) |
|---|---|
| Cancerous Cell Lines | |
| Human breast cancer (MCF-7) | 27.2 |
| Immortal human (HeLa) | 66.6 |
| Spindle-shaped N-cadherin +CD45− osteoblastic (SNO) | 81.4 |
| Human prostate cancer (DU145) | 11.9 |
| Human oral epidermoid carcinoma (KB) | 4.1 |
| Human lung cancer (Lu1) | 13.2 |
| Hormone-dependent human prostate cancer (LNCaP) | 3.7 |
| Leukemia (HL60) | 8.8 |
| Non-cancerous Cell Lines | |
| Peripheral blood mononuclear cells (PBMC) | 18.4 |
| Human histiocytic lymphoma (U937) | Between 5.31 and 26.6 |
| Umbilical vein endothelial cells (HUVEC) | 5.7 |
| Green monkey kidney (Vero) | 80.4 |
| Mouse macrophage (J774A.1) | 20.8 |
Disclaimer/Publisher’s Note: The statements, opinions and data contained in all publications are solely those of the individual author(s) and contributor(s) and not of MDPI and/or the editor(s). MDPI and/or the editor(s) disclaim responsibility for any injury to people or property resulting from any ideas, methods, instructions or products referred to in the content. |
© 2024 by the authors. Licensee MDPI, Basel, Switzerland. This article is an open access article distributed under the terms and conditions of the Creative Commons Attribution (CC BY) license (https://creativecommons.org/licenses/by/4.0/).
Share and Cite
Diedericks, B.; Kok, A.-M.; Mandiwana, V.; Lall, N. A Review of the Potential of Poly-(lactide-co-glycolide) Nanoparticles as a Delivery System for an Active Antimycobacterial Compound, 7-Methyljuglone. Pharmaceutics 2024, 16, 216. https://doi.org/10.3390/pharmaceutics16020216
Diedericks B, Kok A-M, Mandiwana V, Lall N. A Review of the Potential of Poly-(lactide-co-glycolide) Nanoparticles as a Delivery System for an Active Antimycobacterial Compound, 7-Methyljuglone. Pharmaceutics. 2024; 16(2):216. https://doi.org/10.3390/pharmaceutics16020216
Chicago/Turabian StyleDiedericks, Bianca, Anna-Mari Kok, Vusani Mandiwana, and Namrita Lall. 2024. "A Review of the Potential of Poly-(lactide-co-glycolide) Nanoparticles as a Delivery System for an Active Antimycobacterial Compound, 7-Methyljuglone" Pharmaceutics 16, no. 2: 216. https://doi.org/10.3390/pharmaceutics16020216
APA StyleDiedericks, B., Kok, A.-M., Mandiwana, V., & Lall, N. (2024). A Review of the Potential of Poly-(lactide-co-glycolide) Nanoparticles as a Delivery System for an Active Antimycobacterial Compound, 7-Methyljuglone. Pharmaceutics, 16(2), 216. https://doi.org/10.3390/pharmaceutics16020216

