Discrete Element Method Evaluation of Triboelectric Charging Due to Powder Handling in the Capsule of a DPI
Abstract
1. Introduction
2. Materials and Methods
2.1. DEM Simulation Technique
2.2. Triboelectric Charging Model and Electrostatic Forces
2.3. Simulation Parameters
2.4. Geometry and Powder Configurations
3. Results and Discussion
3.1. Model Validation
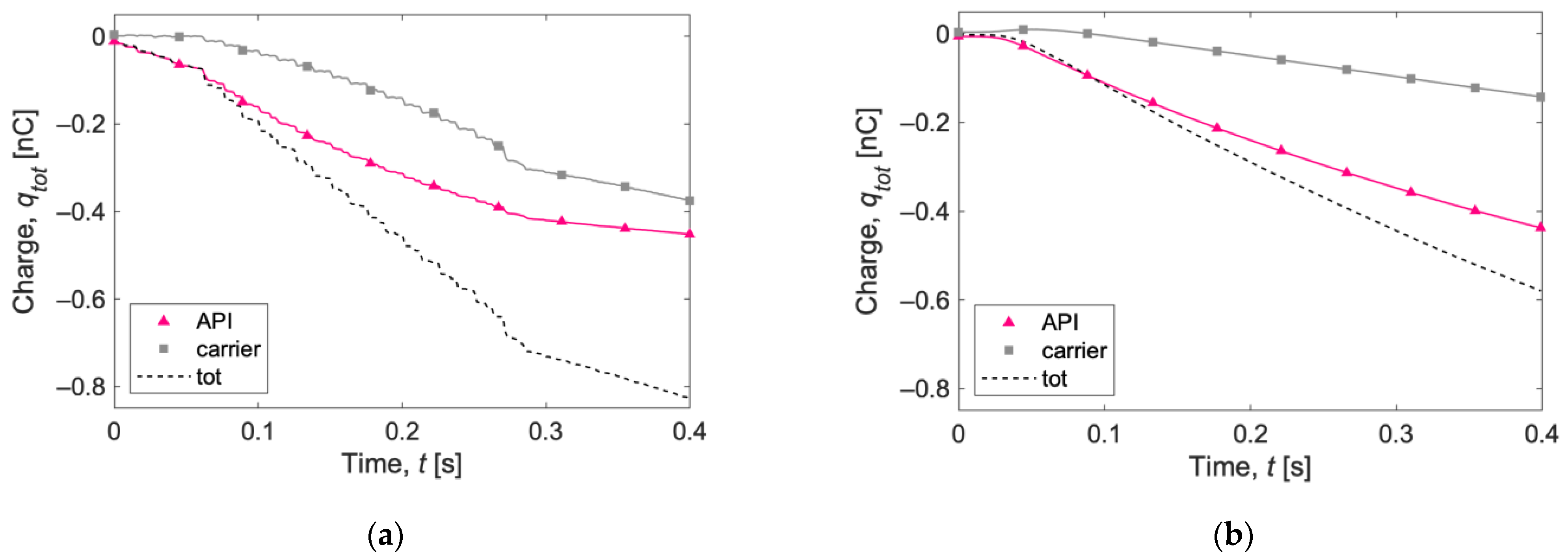
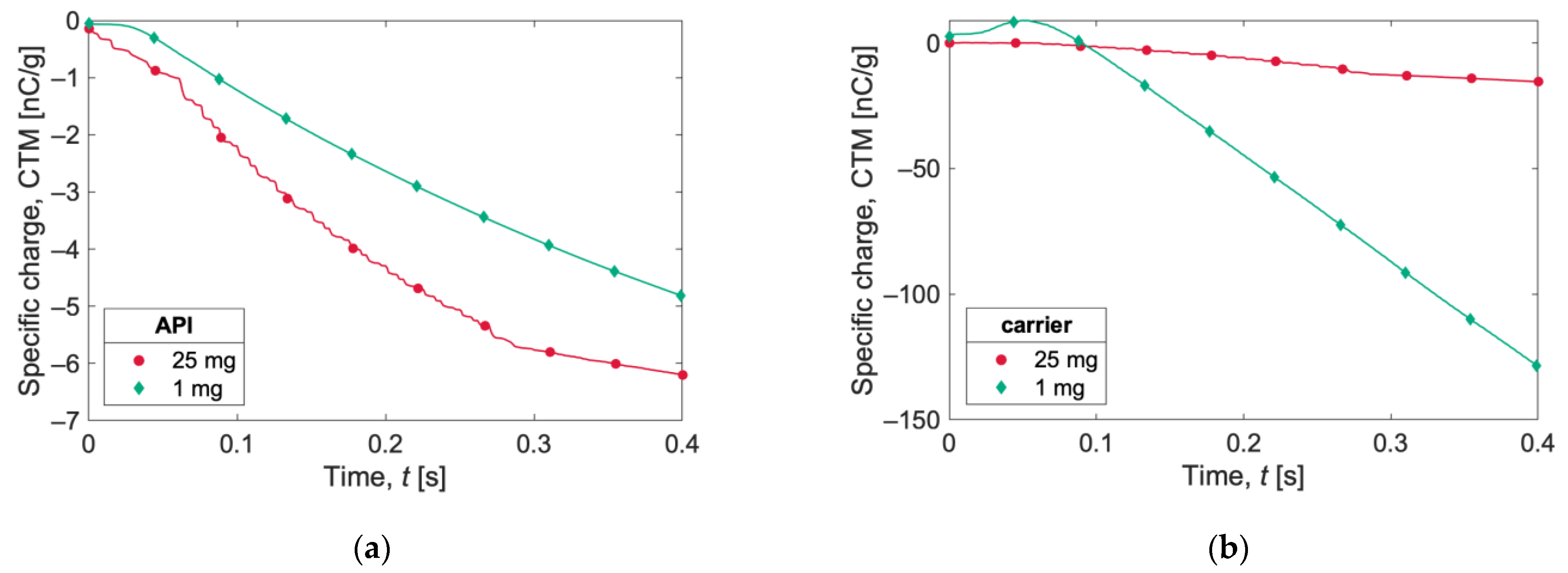
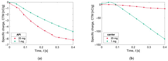
3.2. Gravity Settling in the Capsule
3.3. Tapping of the Capsule
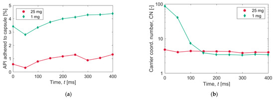
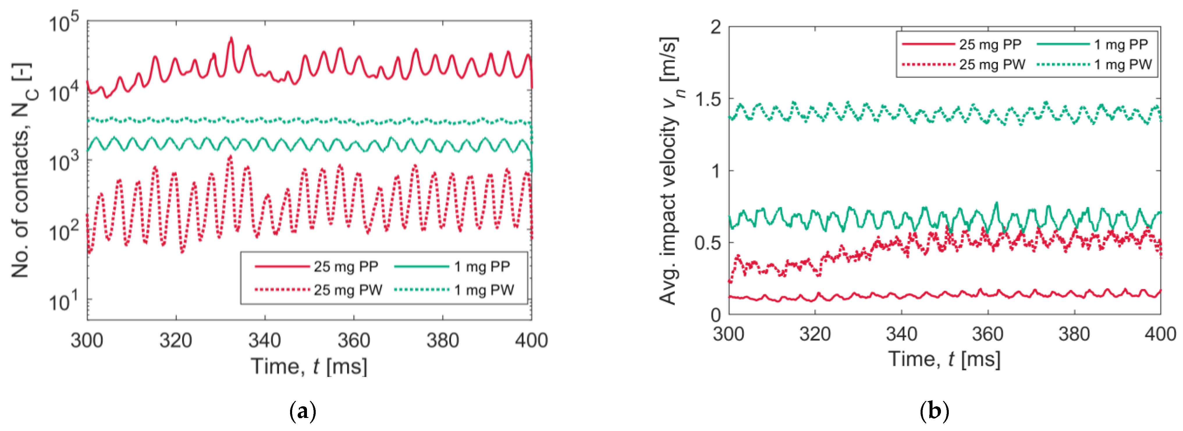
3.4. Collision Statistics
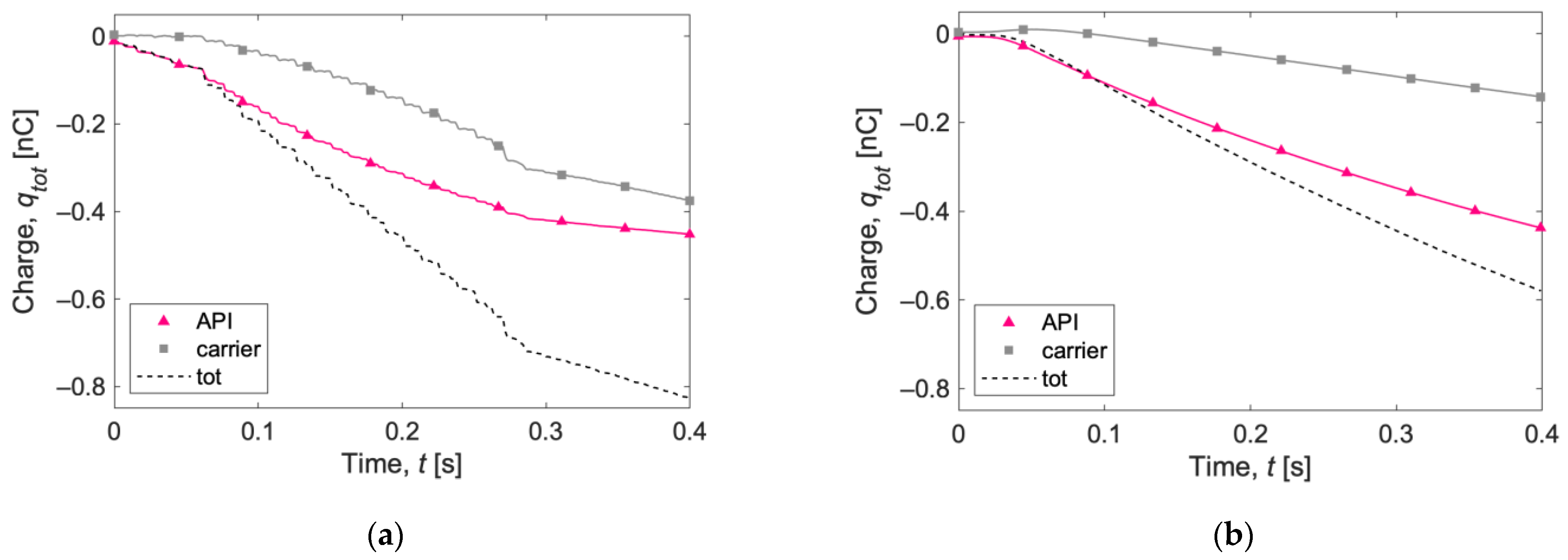
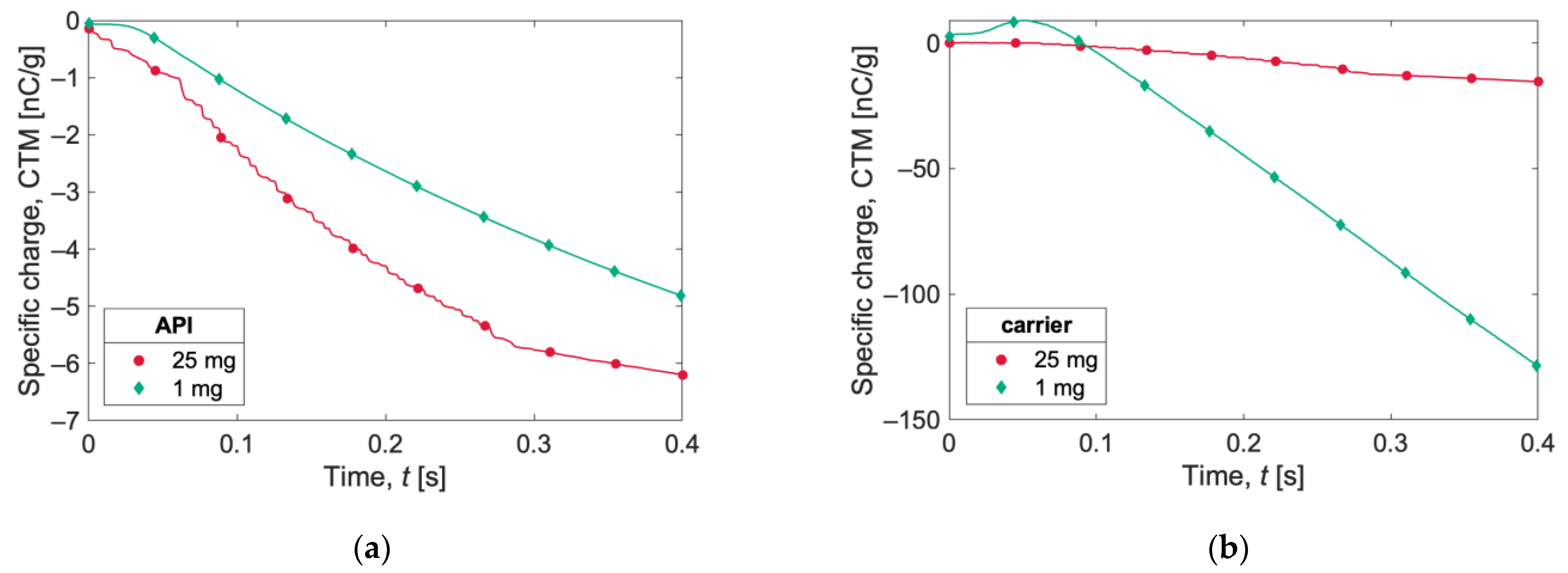
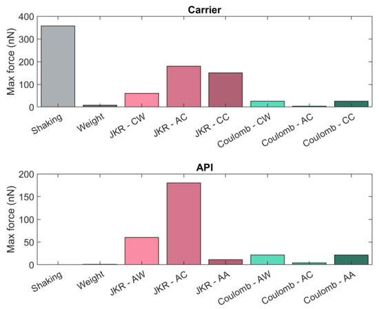
3.5. Estimate of Force Contributions
4. Conclusions
Author Contributions
Funding
Data Availability Statement
Conflicts of Interest
References
- Wong, J.; Chan, H.K.; Kwok, P.C.L. Electrostatics in Pharmaceutical Aerosols for Inhalation. Ther. Deliv. 2013, 4, 981–1002. [Google Scholar] [CrossRef]
- Matsusaka, S.; Maruyama, H.; Matsuyama, T.; Ghadiri, M. Triboelectric Charging of Powders: A Review. Chem. Eng. Sci. 2010, 65, 5781–5807. [Google Scholar] [CrossRef]
- Šupuk, E.; Zarrebini, A.; Reddy, J.P.; Hughes, H.; Leane, M.M.; Tobyn, M.J.; Timmins, P.; Ghadiri, M. Tribo-Electrification of Active Pharmaceutical Ingredients and Excipients. Powder Technol. 2012, 217, 427–434. [Google Scholar] [CrossRef]
- Šupuk, E.; Hassanpour, A.; Ahmadian, H.; Ghadiri, M.; Matsuyama, T. Tribo-Electrification and Associated Segregation of Pharmaceutical Bulk Powders. KONA Powder Part. J. 2011, 29, 208–223. [Google Scholar] [CrossRef]
- Lacks, D.J.; Shinbrot, T. Long-Standing and Unresolved Issues in Triboelectric Charging. Nat. Rev. Chem. 2019, 3, 465–476. [Google Scholar] [CrossRef]
- Murtomaa, M.; Laine, E. Electrostatic Measurements on Lactose-Glucose Mixtures. J. Electrostat. 2000, 48, 155–162. [Google Scholar] [CrossRef]
- Hoe, S.; Young, P.M.; Traini, D. A Review of Electrostatic Measurement Techniques for Aerosol Drug Delivery to the Lung: Implications in Aerosol Particle Deposition. J. Adhes Sci. Technol. 2011, 25, 385–405. [Google Scholar] [CrossRef]
- Telko, M.J.; Kujanpää, J.; Hickey, A.J. Investigation of Triboelectric Charging in Dry Powder Inhalers Using Electrical Low Pressure Impactor (ELPITM). Int. J. Pharm. 2007, 336, 352–360. [Google Scholar] [CrossRef]
- Naik, S.; Sarkar, S.; Hancock, B.; Rowland, M.; Abramov, Y.; Yu, W.; Chaudhuri, B. An Experimental and Numerical Modeling Study of Tribocharging in Pharmaceutical Granular Mixtures. Powder Technol. 2016, 297, 211–219. [Google Scholar] [CrossRef]
- Hoe, S.; Traini, D.; Chan, H.K.; Young, P.M. The Contribution of Different Formulation Components on the Aerosol Charge in Carrier-Based Dry Powder Inhaler Systems. Pharm. Res. 2010, 27, 1325–1336. [Google Scholar] [CrossRef] [PubMed]
- Wong, J.; Kwok, P.C.L.; Noakes, T.; Fathi, A.; Dehghani, F.; Chan, H.K. Effect of Crystallinity on Electrostatic Charging in Dry Powder Inhaler Formulations. Pharm. Res. 2014, 31, 1656–1664. [Google Scholar] [CrossRef] [PubMed]
- Pinto, J.T.; Wutscher, T.; Stankovic-Brandl, M.; Zellnitz, S.; Biserni, S.; Mercandelli, A.; Kobler, M.; Buttini, F.; Andrade, L.; Daza, V.; et al. Evaluation of the Physico-Mechanical Properties and Electrostatic Charging Behavior of Different Capsule Types for Inhalation Under Distinct Environmental Conditions. AAPS PharmSciTech 2020, 21, 128. [Google Scholar] [CrossRef]
- Peart, J. Powder Electrostatics: Theory, Techniques and Applications. KONA Powder Part. J. 2001, 19, 34–45. [Google Scholar] [CrossRef]
- Mukherjee, R.; Gupta, V.; Naik, S.; Sarkar, S.; Sharma, V.; Peri, P.; Chaudhuri, B. Effects of Particle Size on the Triboelectrification Phenomenon in Pharmaceutical Excipients: Experiments and Multi-Scale Modeling. Asian J. Pharm. Sci. 2016, 11, 603–617. [Google Scholar] [CrossRef]
- Lacks, D.J.; Sankaran, R.M. Triboelectric Charging in Single-Component Particle Systems. Part. Sci. Technol. 2016, 34, 55–62. [Google Scholar] [CrossRef]
- Chowdhury, F.; Elchamaa, B.; Ray, M.; Sowinski, A.; Passalacqua, A.; Mehrani, P. Apparatus Design for Measuring Electrostatic Charge Transfer Due to Particle-Particle Collisions. Powder Technol. 2020, 361, 860–866. [Google Scholar] [CrossRef]
- Hoe, S.; Young, P.M.; Traini, D. Dynamic electrostatic charge of lactose-salbutamol sulphate powder blends dispersed from a Cyclohaler®. Drug Dev. Ind. Pharm. 2011, 37, 1365–1375. [Google Scholar] [CrossRef]
- Kaialy, W. A Review of Factors Affecting Electrostatic Charging of Pharmaceuticals and Adhesive Mixtures for Inhalation. Int. J. Pharm. 2016, 503, 262–276. [Google Scholar] [CrossRef] [PubMed]
- Chow, K.T.; Zhu, K.; Tan, R.B.H.; Heng, P.W.S. Investigation of Electrostatic Behavior of a Lactose Carrier for Dry Powder Inhalers. Pharm. Res. 2008, 25, 2822–2834. [Google Scholar] [CrossRef]
- Capecelatro, J.; Longest, W.; Boerman, C.; Sulaiman, M.; Sundaresan, S. Recent Developments in the Computational Simulation of Dry Powder Inhalers. Adv. Drug Deliv. Rev. 2022, 188, 114461. [Google Scholar] [CrossRef] [PubMed]
- Ponzini, R.; Da Vià, R.; Bnà, S.; Cottini, C.; Benassi, A. Coupled CFD-DEM Model for Dry Powder Inhalers Simulation: Validation and Sensitivity Analysis for the Main Model Parameters. Powder Technol. 2021, 385, 199–226. [Google Scholar] [CrossRef]
- Alfano, F.O.; Benassi, A.; Gaspari, R.; Di Renzo, A.; Di Maio, F.P. Full-Scale DEM Simulation of Coupled Fluid and Dry-Coated Particle Flow in Swirl-Based Dry Powder Inhalers. Ind. Eng. Chem. Res. 2021, 60, 15310–15326. [Google Scholar] [CrossRef]
- Benque, B.; Khinast, J.G. Carrier Particle Emission and Dispersion in Transient CFD-DEM Simulations of a Capsule-Based DPI. Eur. J. Pharm. Sci. 2022, 168, 106073. [Google Scholar] [CrossRef] [PubMed]
- Sulaiman, M.; Liu, X.; Sundaresan, S. Effects of Dose Loading Conditions and Device Geometry on the Transport and Aerosolization in Dry Powder Inhalers: A Simulation Study. Int. J. Pharm. 2021, 610, 121219. [Google Scholar] [CrossRef] [PubMed]
- Alfano, F.O.; Di Maio, F.P.; Di Renzo, A. Deagglomeration of Selected High-Load API-Carrier Particles in Swirl-Based Dry Powder Inhalers. Powder Technol. 2022, 408, 117800. [Google Scholar] [CrossRef]
- Korevaar, M.W.; Padding, J.T.; Van der Hoef, M.A.; Kuipers, J.A.M. Integrated DEM-CFD Modeling of the Contact Charging of Pneumatically Conveyed Powders. Powder Technol. 2014, 258, 144–156. [Google Scholar] [CrossRef]
- Pei, C.; Wu, C.Y.; England, D.; Byard, S.; Berchtold, H.; Adams, M. Numerical Analysis of Contact Electrification Using DEM-CFD. Powder Technol. 2013, 248, 34–43. [Google Scholar] [CrossRef]
- Kolehmainen, J.; Ozel, A.; Boyce, C.M.; Sundaresan, S. Triboelectric Charging of Monodisperse Particles in Fluidized Beds. AIChE J. 2017, 63, 1872–1891. [Google Scholar] [CrossRef]
- Hu, J.; Pei, C.; Zhang, L.; Liang, C.; Wu, C.Y. Numerical Analysis of Frictional Charging and Electrostatic Interaction of Particles. AIChE J. 2022, 68, e17444. [Google Scholar] [CrossRef]
- Zafar, U.; Alfano, F.; Ghadiri, M. Evaluation of a New Dispersion Technique for Assessing Triboelectric Charging of Powders. Int. J. Pharm. 2018, 543, 151–159. [Google Scholar] [CrossRef]
- Alfano, F.O.; Di Renzo, A.; Di Maio, F.P.; Ghadiri, M. Computational Analysis of Triboelectrification Due to Aerodynamic Powder Dispersion. Powder Technol. 2021, 382, 491–504. [Google Scholar] [CrossRef]
- Mukherjee, R.; Sansare, S.; Nagarajan, V.; Chaudhuri, B. Discrete Element Modeling (DEM) Based Investigation of Tribocharging in the Pharmaceutical Powders during Hopper Discharge. Int. J. Pharm. 2021, 596, 120284. [Google Scholar] [CrossRef] [PubMed]
- Chowdhury, F.; Ray, M.; Passalacqua, A.; Mehrani, P.; Sowinski, A. Evaluating the Electrostatic Charge Transfer Model for Particle-Particle Interactions. J. Electrostat. 2021, 112, 103603. [Google Scholar] [CrossRef]
- Naik, S.; Hancock, B.; Abramov, Y.; Yu, W.; Rowland, M.; Huang, Z.; Chaudhuri, B. Quantification of Tribocharging of Pharmaceutical Powders in V-Blenders: Experiments, Multiscale Modeling, and Simulations. J. Pharm. Sci. 2016, 105, 1467–1477. [Google Scholar] [CrossRef]
- Zhu, Q.; Gou, D.; Li, L.; Chan, H.K.; Yang, R. Numerical Investigation of Powder Dispersion Mechanisms in Turbuhaler and the Contact Electrification Effect. Adv. Powder Technol. 2022, 33, 103839. [Google Scholar] [CrossRef]
- Almeida, L.C.; Bharadwaj, R.; Eliahu, A.; Wassgren, C.R.; Nagapudi, K.; Muliadi, A.R. Capsule-Based Dry Powder Inhaler Evaluation Using CFD-DEM Simulations and next Generation Impactor Data. Eur. J. Pharm. Sci. 2022, 175, 106226. [Google Scholar] [CrossRef]
- Mitani, R.; Ohsaki, S.; Nakamura, H.; Watano, S. Numerical Study on Particle Adhesion in Dry Powder Inhaler Device. Chem. Pharm. Bull 2020, 68, 726–736. [Google Scholar] [CrossRef]
- Benque, B.; Khinast, J.G. Understanding the Motion of Hard-Shell Capsules in Dry Powder Inhalers. Int. J. Pharm. 2019, 567, 118481. [Google Scholar] [CrossRef]
- Alfano, F.O.; Sommerfeld, M.; Di Maio, F.P.; Di Renzo, A. DEM Analysis of Powder Deaggregation and Discharge from the Capsule of a Carrier-Based Dry Powder Inhaler. Adv. Powder Technol. 2022, 33, 103853. [Google Scholar] [CrossRef]
- Johnson, K.L.; Kendall, K.; Roberts, A.D. Surface Energy and the Contact of Elastic Solids. Proc. R. Soc. Lond. A 1971, 324, 301–313. [Google Scholar] [CrossRef]
- Di Renzo, A.; Napolitano, E.S.; Di Maio, F.P. Coarse-Grain Dem Modelling in Fluidized Bed Simulation: A Review. Processes 2021, 9, 279. [Google Scholar] [CrossRef]
- Di Renzo, A.; Di Maio, F.P. Comparison of Contact-Force Models for the Simulation of Collisions in DEM-Based Granular Flow Codes. Chem. Eng. Sci. 2004, 59, 525–541. [Google Scholar] [CrossRef]
- Mindlin, R.D.; Deresiewicz, H. Elastic Spheres in Contact under Varying Oblique Forces. J. Appl. Mech. 1953, 20, 327–344. [Google Scholar] [CrossRef]
- Ai, J.; Chen, J.-F.; Rotter, J.M.; Ooi, J.Y. Assessment of Rolling Resistance Models in Discrete Element Simulations. Powder Technol. 2011, 206, 269–282. [Google Scholar] [CrossRef]
- Alfano, F.O.; Di, R.; Gaspari, A.; Benassi, R.; Di Maio, A.; Alfano, F.O.; Di Renzo, A.; Gaspari, R.; Benassi, A.; Paolo, F.; et al. Modelling Deaggregation Due to Normal Carrier-Wall Collision in Dry Powder Inhalers. Processes 2022, 10, 1661. [Google Scholar] [CrossRef]
- Garg, R.; Galvin, J.; Li, T.; Pannala, S. Documentation of Open-Source MFIX–DEM Software for Gas-Solids Flows. 2012. Available online: https://mfix.netl.doe.gov/documentation/dem_doc_2012-1.pdf (accessed on 1 February 2023).
- Santasusana, M.; Irazábal, J.; Oñate, E.; Carbonell, J.M. The Double Hierarchy Method. A Parallel 3D Contact Method for the Interaction of Spherical Particles with Rigid FE Boundaries Using the DEM. Comput. Part Mech. 2016, 3, 407–428. [Google Scholar] [CrossRef]
- Matsusaka, S.; Ghadiri, M.; Masuda, H. Electrification of an Elastic Sphere by Repeated Impacts on a Metal Plate. J. Phys. D Appl. Phys. 2000, 33, 2311–2319. [Google Scholar] [CrossRef]
- Matsuyama, T.; Yamamoto, H. Charge Relaxation Process Dominates Contact Charging of a Particle in Atmospheric Conditions. J. Phys. D Appl. Phys. 1995, 28, 2418–2423. [Google Scholar] [CrossRef]
- Feynman, R.P.; Leighton, R.B.; Sands, M. The Feynman Lectures in Physics, Mainly Electromagnetism and Matter; The New Millennium, Ed.; Basic Books: New York, NY, USA, 2011; Volume 2, ISBN 978-0-465-07998-8. [Google Scholar]
- van Wachem, B.; Thalberg, K.; Remmelgas, J.; Niklasson-Björn, I. Simulation of Dry Powder Inhalers: Combining Micro-Scale, Meso-Scale and Macro-Scale Modeling. AIChE J. 2017, 63, 501–516. [Google Scholar] [CrossRef]
- Nguyen, D.; Remmelgas, J.; Björn, I.N.; van Wachem, B.; Thalberg, K. Towards Quantitative Prediction of the Performance of Dry Powder Inhalers by Multi-Scale Simulations and Experiments. Int. J. Pharm. 2018, 547, 31–43. [Google Scholar] [CrossRef]
- Zellnitz, S.; Pinto, J.T.; Brunsteiner, M.; Schroettner, H.; Khinast, J.; Paudel, A. Tribo-Charging Behaviour of Inhalable Mannitol Blends with Salbutamol Sulphate. Pharm. Res. 2019, 36, 80. [Google Scholar] [CrossRef]
- Trigwell, S.; Grable, N.; Yurteri, C.U.; Sharma, R.; Mazumder, M.K. Effects of Surface Properties on the Tribocharging Characteristics of Polymer Powder as Applied to Industrial Processes. IEEE Trans. Ind. Appl. 2003, 39, 79–86. [Google Scholar] [CrossRef]
- Ibrahim, T.H.; Burk, T.R.; Etzler, F.M.; Neuman, R.D. Direct Adhesion Measurements of Pharmaceutical Particles to Gelatin Capsule Surfaces. J. Adhes Sci. Technol. 2000, 14, 1225–1242. [Google Scholar] [CrossRef]
- Coates, M.S.; Fletcher, D.F.; Chan, H.-K.; Raper, J.A. The Role of Capsule on the Performance of a Dry Powder Inhaler Using Computational and Experimental Analyses. Pharm. Res. 2005, 22, 923–932. [Google Scholar] [CrossRef] [PubMed]
- Lindgren, E.B.; Chan, H.K.; Stace, A.J.; Besley, E. Progress in the Theory of Electrostatic Interactions between Charged Particles. Phys. Chem. Chem. Phys. 2016, 18, 5883–5895. [Google Scholar] [CrossRef] [PubMed]
- Qin, J.; Li, J.; Lee, V.; Jaeger, H.; de Pablo, J.J.; Freed, K.F. A Theory of Interactions between Polarizable Dielectric Spheres. J. Colloid Interface Sci. 2016, 469, 237–241. [Google Scholar] [CrossRef] [PubMed]

















| Property | Carrier | API | Capsule |
|---|---|---|---|
| Reference material | Lactose | Salbutamol | Gelatine |
| Diameter, d (μm) | 100 | 5 | - |
| Density, ρ (kg/m3) | 1500 | 1200 | - |
| Sliding friction coefficient, μs (−) | 0.5 | 0.5 | 0.5 |
| Rolling friction coefficient, μr (−) | 0.05 | 0.05 | 0.05 |
| Restitution coefficient, en (−) | 0.85 | 0.85 | 0.85 |
| Young modulus, E (GPa) | 0.2 | 0.2 | 0.2 |
| Poisson’s ratio, ν (−) | 0.35 | 0.35 | 0.35 |
| Work function, Φ (eV) | 5.18 | 7.70 | 4.60 |
| Pull-Off Force, Fpull-off (nN) | Surface Energy, γ (mJ/m2) | |
|---|---|---|
| API–API | 11 | 0.93 |
| API–carrier | 180 | 8.02 |
| Carrier–carrier | 150 | 0.64 |
| Particle–wall | 60 | 2.55 |
| A | B | |
|---|---|---|
| Sample total mass | 25 mg | 1 mg |
| Total no. of particles in sample | 123,858 | 117,233 |
| No. of API particles | 92,883 | 115,825 |
| No. of carrier particles | 30,975 | 1408 |
| API-to-carrier ratio (w/w) | 1:3332 | 1:124 |
| API loading (w/w) | 0.03% | 0.80% |
| Total surface area (cm2) | 9.80 | 0.52 |
| Net Charge (pC) | CTM (nC/g) | CTS (nC/m2) | ||
|---|---|---|---|---|
| API | 25 mg | −10.54 | −1445 | −1445 |
| 1 mg | −4.77 | −525 | −525 | |
| Carrier | 25 mg | 3.09 | 0.13 | 3.17 |
| 1 mg | 2.95 | 2.67 | 66.67 | |
| Sample | 25 mg | −7.46 | −0.38 | −7.60 |
| 1 mg | −1.82 | −1.64 | −34.18 |
Disclaimer/Publisher’s Note: The statements, opinions and data contained in all publications are solely those of the individual author(s) and contributor(s) and not of MDPI and/or the editor(s). MDPI and/or the editor(s) disclaim responsibility for any injury to people or property resulting from any ideas, methods, instructions or products referred to in the content. |
© 2023 by the authors. Licensee MDPI, Basel, Switzerland. This article is an open access article distributed under the terms and conditions of the Creative Commons Attribution (CC BY) license (https://creativecommons.org/licenses/by/4.0/).
Share and Cite
Alfano, F.O.; Di Renzo, A.; Di Maio, F.P. Discrete Element Method Evaluation of Triboelectric Charging Due to Powder Handling in the Capsule of a DPI. Pharmaceutics 2023, 15, 1762. https://doi.org/10.3390/pharmaceutics15061762
Alfano FO, Di Renzo A, Di Maio FP. Discrete Element Method Evaluation of Triboelectric Charging Due to Powder Handling in the Capsule of a DPI. Pharmaceutics. 2023; 15(6):1762. https://doi.org/10.3390/pharmaceutics15061762
Chicago/Turabian StyleAlfano, Francesca Orsola, Alberto Di Renzo, and Francesco Paolo Di Maio. 2023. "Discrete Element Method Evaluation of Triboelectric Charging Due to Powder Handling in the Capsule of a DPI" Pharmaceutics 15, no. 6: 1762. https://doi.org/10.3390/pharmaceutics15061762
APA StyleAlfano, F. O., Di Renzo, A., & Di Maio, F. P. (2023). Discrete Element Method Evaluation of Triboelectric Charging Due to Powder Handling in the Capsule of a DPI. Pharmaceutics, 15(6), 1762. https://doi.org/10.3390/pharmaceutics15061762
