Development and Bioactivity of Zinc Sulfate Cross-Linked Polysaccharide Delivery System of Dexamethasone Phosphate
Abstract
:1. Introduction
2. Materials and Methods
2.1. Materials and Reagents
2.2. General Methods
2.3. Preparation of PECs
- (i)
- To the DexP solution, DEAECS solution was added, followed by the addition of HA solution (DexP-DEAECS-HA; Scheme 1a);
- (ii)
- To the DexP solution, DEAECS solution was added, then zinc sulfate solution was added, followed by the addition of HA solution (DexP-DEAECS-Zn-HA; Scheme 1b);
- (iii)
- To the DexP solution, HA solution was added, followed by the addition of DEAECS solution (DexP-HA-DEAECS; Scheme 1c);
- (iv)
- To the DexP solution, HA solution was added, then zinc sulfate solution was added, followed by the addition of DEAECS solution (DexP-HA-Zn-DEAECS; Scheme 1d).
2.4. Encapsulation Efficiencies and DexP Content
2.5. In Vitro DexP Release
2.6. Mucoadhesion
2.7. Anti-Inflammatory Activity
3. Results and Discussion
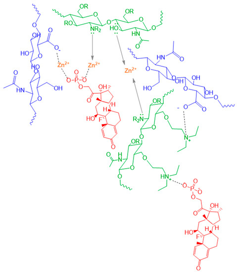
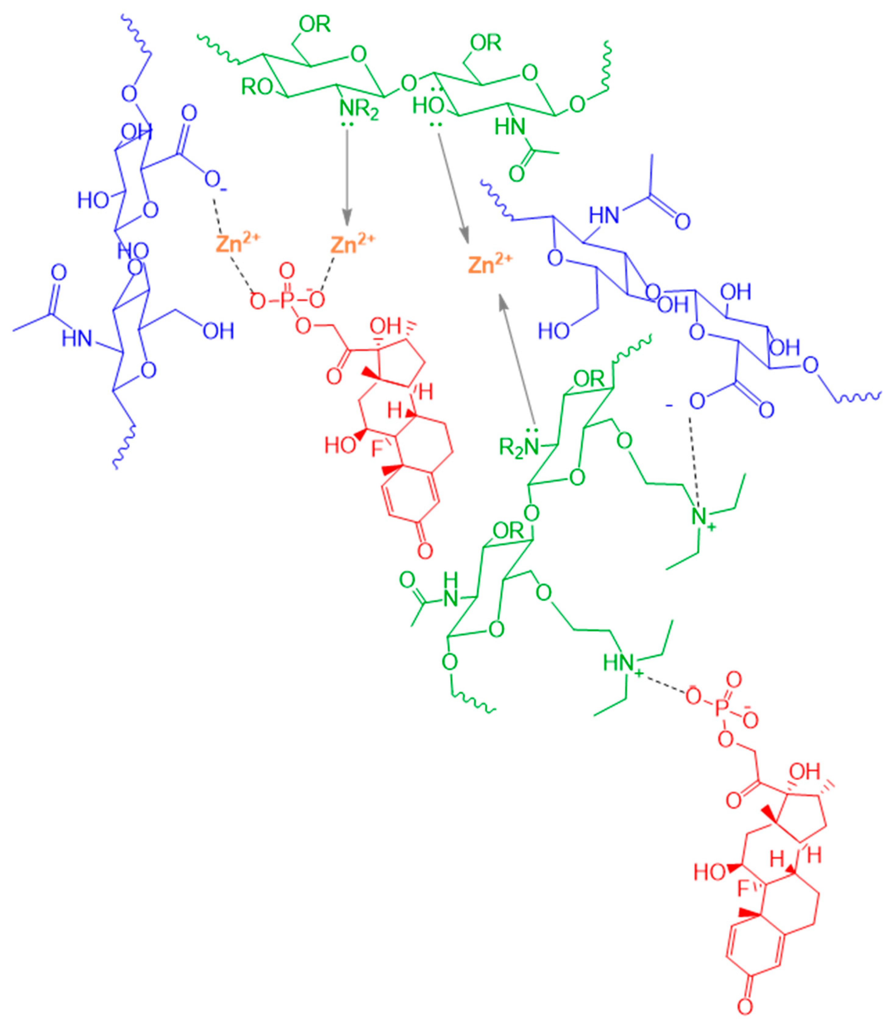
3.1. Preparation and Characterization of the PECs
3.2. In Vitro DexP Release Kinetics from the PECs
3.3. Mucoadhesion of the PECs
3.4. Anti-Inflammatory Activity of the PECs
4. Conclusions
Author Contributions
Funding
Institutional Review Board Statement
Informed Consent Statement
Data Availability Statement
Conflicts of Interest
References
- Han, H.; Li, S.; Xu, M.; Zhong, Y.; Fan, W.; Xu, J.; Zhou, T.; Ji, J.; Ye, J.; Yao, K. Polymer-and lipid-based nanocarriers for ocular drug delivery: Current status and future perspectives. Adv. Drug Deliv. Rev. 2023, 196, 114770. [Google Scholar] [CrossRef] [PubMed]
- Steinmetz, J.D.; Bourne, R.R.; Briant, P.S.; Flaxman, S.R.; Taylor, H.R.; Jonas, J.B.; Abdoli, A.A.; Abrha, W.A.; Abualhasan, A.; Abu-Gharbieh, E.G. Causes of blindness and vision impairment in 2020 and trends over 30 years, and prevalence of avoidable blindness in relation to VISION 2020: The Right to Sight: An analysis for the Global Burden of Disease Study. Lancet Glob. Health 2021, 9, e144–e160. [Google Scholar] [CrossRef] [PubMed]
- Cone, R.A. Barrier properties of mucus. Adv. Drug Deliv. Rev. 2009, 61, 75–85. [Google Scholar] [CrossRef]
- Alshaikh, R.A.; Waeber, C.; Ryan, K.B. Polymer based sustained drug delivery to the ocular posterior segment: Barriers and future opportunities for the treatment of neovascular pathologies. Adv. Drug Deliv. Rev. 2022, 187, 114342. [Google Scholar] [CrossRef] [PubMed]
- Mofidfar, M.; Abdi, B.; Ahadian, S.; Mostafavi, E.; Desai, T.A.; Abbasi, F.; Sun, Y.; Manche, E.E.; Ta, C.N.; Flowers, C.W. Drug delivery to the anterior segment of the eye: A review of current and future treatment strategies. Int. J. Pharm. 2021, 607, 120924. [Google Scholar] [CrossRef]
- Sun, S.; Li, J.; Li, X.; Lan, B.; Zhou, S.; Meng, Y.; Cheng, L. Episcleral drug film for better-targeted ocular drug delivery and controlled release using multilayered poly-ε-caprolactone (PCL). Acta Biomater. 2016, 37, 143–154. [Google Scholar] [CrossRef]
- Billowria, K.; Sandhu, N.K.; Singh, B. Topical Advances in Mucoadhesive Ocular Drug Delivery System. Curr. Drug Deliv. 2023, 20, 1127–1140. [Google Scholar] [CrossRef]
- Subrizi, A.; Del Amo, E.M.; Korzhikov-Vlakh, V.; Tennikova, T.; Ruponen, M.; Urtti, A. Design principles of ocular drug delivery systems: Importance of drug payload, release rate, and material properties. Drug Discov. Today 2019, 24, 1446–1457. [Google Scholar] [CrossRef]
- Baudouin, C.; Labbé, A.; Liang, H.; Pauly, A.; Brignole-Baudouin, F. Retinal and eye research. Prog. Retin. Eye Res. 2010, 29, 312e334. [Google Scholar]
- Dubashynskaya, N.; Poshina, D.; Raik, S.; Urtti, A.; Skorik, Y.A. Polysaccharides in ocular drug delivery. Pharmaceutics 2019, 12, 22. [Google Scholar] [CrossRef]
- Urtti, A. Challenges and obstacles of ocular pharmacokinetics and drug delivery. Adv. Drug Deliv. Rev. 2006, 58, 1131–1135. [Google Scholar] [CrossRef] [PubMed]
- Almeida, H.; Amaral, M.H.; Lobão, P.; Sousa Lobo, J.M. Applications of poloxamers in ophthalmic pharmaceutical formulations: An overview. Expert Opin. Drug Deliv. 2013, 10, 1223–1237. [Google Scholar] [CrossRef] [PubMed]
- Dubashynskaya, N.V.; Golovkin, A.S.; Kudryavtsev, I.V.; Prikhodko, S.S.; Trulioff, A.S.; Bokatyi, A.N.; Poshina, D.N.; Raik, S.V.; Skorik, Y.A. Mucoadhesive cholesterol-chitosan self-assembled particles for topical ocular delivery of dexamethasone. Int. J. Biol. Macromol. 2020, 158, 811–818. [Google Scholar] [CrossRef] [PubMed]
- Dubashynskaya, N.V.; Bokatyi, A.N.; Golovkin, A.S.; Kudryavtsev, I.V.; Serebryakova, M.K.; Trulioff, A.S.; Dubrovskii, Y.A.; Skorik, Y.A. Synthesis and characterization of novel succinyl chitosan-dexamethasone conjugates for potential intravitreal dexamethasone delivery. Int. J. Mol. Sci. 2021, 22, 10960. [Google Scholar] [CrossRef]
- Tsai, C.-H.; Wang, P.-Y.; Lin, I.-C.; Huang, H.; Liu, G.-S.; Tseng, C.-L. Ocular drug delivery: Role of degradable polymeric nanocarriers for ophthalmic application. Int. J. Mol. Sci. 2018, 19, 2830. [Google Scholar] [CrossRef]
- Wang, C.; Pang, Y. Nano-based eye drop: Topical and noninvasive therapy for ocular diseases. Adv. Drug Deliv. Rev. 2023, 194, 114721. [Google Scholar] [CrossRef]
- Liu, Y.-C.; Lin, M.T.-Y.; Ng, A.H.C.; Wong, T.T.; Mehta, J.S. Nanotechnology for the treatment of allergic conjunctival diseases. Pharmaceuticals 2020, 13, 351. [Google Scholar] [CrossRef]
- Mitchell, M.; Billingsley, M.; Haley, R.; Marissa, E.; Nicholas, A. Langer Robert. Engineering precision nanoparticles for drug delivery. Nat. Rev. Drug Discov. 2021, 20, 101–124. [Google Scholar] [CrossRef]
- Zhao, X.; Seah, I.; Xue, K.; Wong, W.; Tan, Q.S.W.; Ma, X.; Lin, Q.; Lim, J.Y.; Liu, Z.; Parikh, B.H. Antiangiogenic nanomicelles for the topical delivery of aflibercept to treat retinal neovascular disease. Adv. Mater. 2022, 34, 2108360. [Google Scholar] [CrossRef]
- Hsueh, P.-Y.; Ju, Y.; Vega, A.; Edman, M.C.; MacKay, J.A.; Hamm-Alvarez, S.F. A multivalent ICAM-1 binding nanoparticle which inhibits ICAM-1 and LFA-1 interaction represents a new tool for the investigation of autoimmune-mediated dry eye. Int. J. Mol. Sci. 2020, 21, 2758. [Google Scholar] [CrossRef]
- Torretta, S.; Scagliola, A.; Ricci, L.; Mainini, F.; Di Marco, S.; Cuccovillo, I.; Kajaste-Rudnitski, A.; Sumpton, D.; Ryan, K.M.; Cardaci, S. D-mannose suppresses macrophage IL-1β production. Nat. Commun. 2020, 11, 6343. [Google Scholar] [CrossRef]
- Weng, Y.; Liu, J.; Jin, S.; Guo, W.; Liang, X.; Hu, Z. Nanotechnology-based strategies for treatment of ocular disease. Acta Pharm. Sin. B 2017, 7, 281–291. [Google Scholar] [CrossRef]
- Liu, D.; Lian, Y.; Fang, Q.; Liu, L.; Zhang, J.; Li, J. Hyaluronic-acid-modified lipid-polymer hybrid nanoparticles as an efficient ocular delivery platform for moxifloxacin hydrochloride. Int. J. Biol. Macromol. 2018, 116, 1026–1036. [Google Scholar] [CrossRef]
- Almeida, H.; Amaral, M.H.; Lobão, P.; Silva, A.C.; Loboa, J.M.S. Applications of polymeric and lipid nanoparticles in ophthalmic pharmaceutical formulations: Present and future considerations. J. Pharm. Pharm. Sci. 2014, 17, 278–293. [Google Scholar] [CrossRef] [PubMed]
- Imperiale, J.C.; Acosta, G.B.; Sosnik, A. Polymer-based carriers for ophthalmic drug delivery. J. Control. Release 2018, 285, 106–141. [Google Scholar] [CrossRef]
- Martens, T.F.; Remaut, K.; Deschout, H.; Engbersen, J.F.; Hennink, W.E.; Van Steenbergen, M.J.; Demeester, J.; De Smedt, S.C.; Braeckmans, K. Coating nanocarriers with hyaluronic acid facilitates intravitreal drug delivery for retinal gene therapy. J. Control. Release 2015, 202, 83–92. [Google Scholar] [CrossRef]
- Radhakrishnan, K.; Sonali, N.; Moreno, M.; Nirmal, J.; Fernandez, A.A.; Venkatraman, S.; Agrawal, R. Protein delivery to the back of the eye: Barriers, carriers and stability of anti-VEGF proteins. Drug Discov. Today 2017, 22, 416–423. [Google Scholar] [CrossRef]
- Fang, L.; Liu, J.; Liu, Z.; Zhou, H. Immune modulating nanoparticles for the treatment of ocular diseases. J. Nanobiotechnol. 2022, 20, 496. [Google Scholar] [CrossRef] [PubMed]
- Raik, S.V.; Gasilova, E.R.; Dubashynskaya, N.V.; Dobrodumov, A.V.; Skorik, Y.A. Diethylaminoethyl chitosan–hyaluronic acid polyelectrolyte complexes. Int. J. Biol. Macromol. 2020, 146, 1161–1168. [Google Scholar] [CrossRef] [PubMed]
- Dubashynskaya, N.V.; Raik, S.V.; Dubrovskii, Y.A.; Demyanova, E.V.; Shcherbakova, E.S.; Poshina, D.N.; Shasherina, A.Y.; Anufrikov, Y.A.; Skorik, Y.A. Hyaluronan/diethylaminoethyl chitosan polyelectrolyte complexes as carriers for improved colistin delivery. Int. J. Mol. Sci. 2021, 22, 8381. [Google Scholar] [CrossRef]
- Cao, J.; Naeem, M.; Noh, J.-K.; Lee, E.H.; Yoo, J.-W. Dexamethasone phosphate-loaded folate-conjugated polymeric nanoparticles for selective delivery to activated macrophages and suppression of inflammatory responses. Macromol. Res. 2015, 23, 485–492. [Google Scholar] [CrossRef]
- Sun, S.; Wang, A. Adsorption properties and mechanism of cross-linked carboxymethyl-chitosan resin with Zn (II) as template ion. React. Funct. Polym. 2006, 66, 819–826. [Google Scholar] [CrossRef]
- Tiyaboonchai, W.; Woiszwillo, J.; Middaugh, C.R. Formulation and characterization of amphotericin B–polyethylenimine–dextran sulfate nanoparticles. J. Pharm. Sci. 2001, 90, 902–914. [Google Scholar] [CrossRef] [PubMed]
- Chen, L.; Zheng, Y.; Feng, L.; Liu, Z.; Guo, R.; Zhang, Y. Novel hyaluronic acid coated hydrophobically modified chitosan polyelectrolyte complex for the delivery of doxorubicin. Int. J. Biol. Macromol. 2019, 126, 254–261. [Google Scholar] [CrossRef]
- Tripodo, G.; Trapani, A.; Torre, M.L.; Giammona, G.; Trapani, G.; Mandracchia, D. Hyaluronic acid and its derivatives in drug delivery and imaging: Recent advances and challenges. Eur. J. Pharm. Biopharm. 2015, 97, 400–416. [Google Scholar] [CrossRef]
- Sionkowska, A.; Gadomska, M.; Musiał, K.; Piątek, J. Hyaluronic acid as a component of natural polymer blends for biomedical applications: A review. Molecules 2020, 25, 4035. [Google Scholar] [CrossRef]
- Raik, S.V.; Andranovitš, S.; Petrova, V.A.; Xu, Y.; Lam, J.K.-W.; Morris, G.A.; Brodskaia, A.V.; Casettari, L.; Kritchenkov, A.S.; Skorik, Y.A. Comparative study of diethylaminoethyl-chitosan and methylglycol-chitosan as potential non-viral vectors for gene therapy. Polymers 2018, 10, 442. [Google Scholar] [CrossRef]
- Lee, G.Y.; Kim, J.-H.; Choi, K.Y.; Yoon, H.Y.; Kim, K.; Kwon, I.C.; Choi, K.; Lee, B.-H.; Park, J.H.; Kim, I.-S. Hyaluronic acid nanoparticles for active targeting atherosclerosis. Biomaterials 2015, 53, 341–348. [Google Scholar] [CrossRef]
- Burdick, J.A.; Prestwich, G.D. Hyaluronic acid hydrogels for biomedical applications. Adv. Mater. 2011, 23, H41–H56. [Google Scholar] [CrossRef]
- Teder, P.; Vandivier, R.W.; Jiang, D.; Liang, J.; Cohn, L.; Puré, E.; Henson, P.M.; Noble, P.W. Resolution of lung inflammation by CD44. Science 2002, 296, 155–158. [Google Scholar] [CrossRef]
- Nagpal, K.; Singh, S.K.; Mishra, D.N. Chitosan nanoparticles: A promising system in novel drug delivery. Chem. Pharm. Bull. 2010, 58, 1423–1430. [Google Scholar] [CrossRef] [PubMed]
- Mohamed, H.; Shafie, A.M.A.; Mekkawy, A.I. Chitosan Nanoparticles for Meloxicam Ocular Delivery: Development, Vitro Characterization, and In Vivo Evaluation in a Rabbit Eye Model. Pharmaceutics 2022, 14, 893. [Google Scholar] [CrossRef] [PubMed]
- Ricci, F.; Racaniello, G.F.; Lopedota, A.; Laquintana, V.; Arduino, I.; Lopalco, A.; Cutrignelli, A.; Franco, M.; Sigurdsson, H.H.; Denora, N. Chitosan/sulfobutylether-β-cyclodextrin based nanoparticles coated with thiolated hyaluronic acid for indomethacin ophthalmic delivery. Int. J. Pharm. 2022, 622, 121905. [Google Scholar] [CrossRef] [PubMed]
- Dubashynskaya, N.V.; Bokatyi, A.N.; Skorik, Y.A. Dexamethasone conjugates: Synthetic approaches and medical prospects. Biomedicines 2021, 9, 341. [Google Scholar] [CrossRef] [PubMed]
- Dubey, V.; Mohan, P.; Dangi, J.S.; Kesavan, K. Brinzolamide loaded chitosan-pectin mucoadhesive nanocapsules for management of glaucoma: Formulation, characterization and pharmacodynamic study. Int. J. Biol. Macromol. 2020, 152, 1224–1232. [Google Scholar] [CrossRef]
- Lynch, C.; Kondiah, P.P.; Choonara, Y.E.; du Toit, L.C.; Ally, N.; Pillay, V. Advances in biodegradable nano-sized polymer-based ocular drug delivery. Polymers 2019, 11, 1371. [Google Scholar] [CrossRef]
- Wu, G.; Ma, F.; Xue, Y.; Peng, Y.; Hu, L.; Kang, X.; Sun, Q.; Ouyang, D.F.; Tang, B.; Lin, L. Chondroitin sulfate zinc with antibacterial properties and anti-inflammatory effects for skin wound healing. Carbohydr. Polym. 2022, 278, 118996. [Google Scholar] [CrossRef]
- Dubashynskaya, N.V.; Bokatyi, A.N.; Gasilova, E.R.; Dobrodumov, A.V.; Dubrovskii, Y.A.; Knyazeva, E.S.; Nashchekina, Y.A.; Demyanova, E.V.; Skorik, Y.A. Hyaluronan-colistin conjugates: Synthesis, characterization, and prospects for medical applications. Int. J. Biol. Macromol. 2022, 215, 243–252. [Google Scholar] [CrossRef]
- Raik, S.V.; Poshina, D.N.; Lyalina, T.A.; Polyakov, D.S.; Vasilyev, V.B.; Kritchenkov, A.S.; Skorik, Y.A. N-[4-(N, N, N-trimethylammonium) benzyl] chitosan chloride: Synthesis, interaction with DNA and evaluation of transfection efficiency. Carbohydr. Polym. 2018, 181, 693–700. [Google Scholar] [CrossRef]
- Hejjaji, E.M.; Smith, A.M.; Morris, G.A. Evaluation of the mucoadhesive properties of chitosan nanoparticles prepared using different chitosan to tripolyphosphate (CS: TPP) ratios. Int. J. Biol. Macromol. 2018, 120, 1610–1617. [Google Scholar] [CrossRef]
- Yamabayashi, S. Periodic acid—Schiff—Alcian Blue: A method for the differential staining of glycoproteins. Histochem. J. 1987, 19, 565–571. [Google Scholar] [CrossRef]
- Mindukshev, I.V.; Kudryavtsev, I.V.; Serebriakova, M.K.; Trulioff, A.S.; Gambaryan, S.P.; Sudnitsyna, J.S.; Avdonin, P.V.; Jenkins, R.O.; Goncharov, N.V. Chapter 26—Flow cytometry and light-scattering techniques in evaluation of nutraceuticals. In Nutraceuticals, 2nd ed.; Gupta, R.C., Lall, R., Srivastava, A., Eds.; Academic Press: Cambridge, MA, USA, 2021; pp. 379–393. [Google Scholar] [CrossRef]
- Nazarova, A.; Khannanov, A.; Boldyrev, A.; Yakimova, L.; Stoikov, I. Self-assembling systems based on pillar [5] arenes and surfactants for encapsulation of diagnostic dye dapi. Int. J. Mol. Sci. 2021, 22, 6038. [Google Scholar] [CrossRef]
- Danaei, M.; Dehghankhold, M.; Ataei, S.; Hasanzadeh Davarani, F.; Javanmard, R.; Dokhani, A.; Khorasani, S.; Mozafari, M. Impact of particle size and polydispersity index on the clinical applications of lipidic nanocarrier systems. Pharmaceutics 2018, 10, 57. [Google Scholar] [CrossRef]
- Siepmann, J.; Peppas, N.A. Higuchi equation: Derivation, applications, use and misuse. Int. J. Pharm. 2011, 418, 6–12. [Google Scholar] [CrossRef]
- Korsmeyer, R.W.; Gurny, R.; Doelker, E.; Buri, P.; Peppas, N.A. Mechanisms of solute release from porous hydrophilic polymers. Int. J. Pharm. 1983, 15, 25–35. [Google Scholar] [CrossRef]
- Zhang, Z.; Zhang, R.; Chen, L.; Tong, Q.; McClements, D.J. Designing hydrogel particles for controlled or targeted release of lipophilic bioactive agents in the gastrointestinal tract. Eur. Polym. J. 2015, 72, 698–716. [Google Scholar] [CrossRef]
- Graça, A.; Gonçalves, L.M.; Raposo, S.; Ribeiro, H.M.; Marto, J. Useful in vitro techniques to evaluate the mucoadhesive properties of hyaluronic acid-based ocular delivery systems. Pharmaceutics 2018, 10, 110. [Google Scholar] [CrossRef]
- Menchicchi, B.; Fuenzalida, J.; Bobbili, K.B.; Hensel, A.; Swamy, M.J.; Goycoolea, F. Structure of chitosan determines its interactions with mucin. Biomacromolecules 2014, 15, 3550–3558. [Google Scholar] [CrossRef]







| Formulation and Mass Ratio of Initial Components | Scheme | Dh (nm) | PDI | ζ-Potential (mV) | EE (%) | DexP Content (μg/mg) | Zn2+ Content (%) |
|---|---|---|---|---|---|---|---|
| DexP-DEAECS 1:5 | 1a | 710 ± 318 | 0.7 | +17.9 ± 0.7 | 77.8 | - | - |
| DexP-DEAECS-HA 1:5:10 | 1a | 518 ± 124 514 ± 136 * | 0.5 0.5 * | −17.8 ± 0.2 −18.1 ± 0.3 * | 37.8 | 24.6 | - |
| DexP-DEAECS-Zn 1:5:1 | 1b | 604 ± 162 | 0.3 | +18.1 ± 0.5 | 86.7 | - | - |
| DexP-DEAECS-Zn-HA 1:5:1:10 | 1b | 702 ± 158 714 ± 142 * | 0.3 0.3 * | −17.0 ± 0.2 −17.2 ± 0.4 * | 58.5 | 35.7 | 2.2 ± 0.7 |
| DexP-HA-DEAECS 1:5:10 | 1c | 154 ± 28 155 ± 34 * | 0.2 0.2 * | +26.8 ± 0.5 +26.1 ± 0.7 * | 10.5 | 7.0 | - |
| DexP-HA-Zn 1:5:1 | 1d | 950 ± 253 | 0.6 | −21.4 ± 0.6 | 30.3 | - | - |
| DexP-HA-Zn-DEAECS 1:5:1:10 | 1d | 244 ± 56 256 ± 61 * | 0.1 0.1 * | +24.4 ± 0.3 +25.3 ± 0.2 * | 75.6 | 45.4 | 2.3 ± 0.8 |
| Formulation | Kinetic Model * | ||||
|---|---|---|---|---|---|
| Higuchi Q = KHt0.5 (4) | Korsmeyer-Peppas Q = KKPtn (5) | ||||
| KH | R2 | KKP | n | R2 | |
| DexP-DEAECS-HA | 54.9 | 0.9743 | 65.0 | 0.50 | 0.9986 |
| DexP-DEAECS-Zn-HA | 31.9 | 0.9906 | 37.1 | 0.40 | 0.9966 |
| DexP-HA-DEAECS | 49.8 | 0.9865 | 51.0 | 0.50 | 0.9943 |
| DexP-HA-Zn-DEAECS | 22.6 | 0.9915 | 25.5 | 0.43 | 0.9993 |
| Sample | no TNFa Added | 2 ng/mL TNFa |
|---|---|---|
| Negative control | 95.94 (95.63; 96.30) | 96.08 (95.65; 96.28) |
| DexP-HA-DEAECS | 96.44 (96.10; 96.63) | 96.20 (95.70; 96.31) |
| DexP-DEAECS-Zn-HA | 96.32 (96.21; 96.63) | 96.17 (95.93; 96.34) |
| HA-DEAECS | 96.07 (95.61; 96.34) | 96.06 (95.84; 96.25) |
| ZnSO4 | 96.60 (96.23; 96.75) | 96.09 (95.83; 96.40) |
| DexP-HA-Zn-DEAECS | 96.25 (96.03; 96.49) | 96.09 (95.95; 96.27) |
| DexP | 96.46 (96.18; 96.48) | 95.74 (95.50; 96.13) |
| DexP-DEAECS-HA | 96.20 (96.06; 96.39) | 96.22 (96.01; 96.35) |
| Sample | no TNFa Added | 2 ng/mL TNFa |
|---|---|---|
| Negative control | 0,77 (0,60; 0,86) | 4,61 (3,77; 5,55) |
| DexP-HA-DEAECS | 1.01 (0.81; 1.03) ** | 2.24 (2.15; 2.41) ** |
| DexP-DEAECS-Zn-HA | 0.80 (0.65; 1.17) | 1.90 (1.84; 2.37) ** |
| HA-DEAECS | 0.66 (0.61; 0.68) | 2.63 (2.47; 3.63) * |
| ZnSO4 | 0.64 (0.61; 0.64) | 3.84 (3.40; 4.06) |
| DexP-HA-Zn-DEAECS | 0.95 (0.89; 1.36) * | 2.71 (2.44; 3.05) ** |
| DexP | 0.62 (0.59; 0.67) | 1.26 (1.09; 1.63) ** |
| DexP-DEAECS-HA | 0.80 (0.74; 0.87) | 1.93 (1.78; 2.00) ** |
Disclaimer/Publisher’s Note: The statements, opinions and data contained in all publications are solely those of the individual author(s) and contributor(s) and not of MDPI and/or the editor(s). MDPI and/or the editor(s) disclaim responsibility for any injury to people or property resulting from any ideas, methods, instructions or products referred to in the content. |
© 2023 by the authors. Licensee MDPI, Basel, Switzerland. This article is an open access article distributed under the terms and conditions of the Creative Commons Attribution (CC BY) license (https://creativecommons.org/licenses/by/4.0/).
Share and Cite
Dubashynskaya, N.V.; Bokatyi, A.N.; Trulioff, A.S.; Rubinstein, A.A.; Kudryavtsev, I.V.; Skorik, Y.A. Development and Bioactivity of Zinc Sulfate Cross-Linked Polysaccharide Delivery System of Dexamethasone Phosphate. Pharmaceutics 2023, 15, 2396. https://doi.org/10.3390/pharmaceutics15102396
Dubashynskaya NV, Bokatyi AN, Trulioff AS, Rubinstein AA, Kudryavtsev IV, Skorik YA. Development and Bioactivity of Zinc Sulfate Cross-Linked Polysaccharide Delivery System of Dexamethasone Phosphate. Pharmaceutics. 2023; 15(10):2396. https://doi.org/10.3390/pharmaceutics15102396
Chicago/Turabian StyleDubashynskaya, Natallia V., Anton N. Bokatyi, Andrey S. Trulioff, Artem A. Rubinstein, Igor V. Kudryavtsev, and Yury A. Skorik. 2023. "Development and Bioactivity of Zinc Sulfate Cross-Linked Polysaccharide Delivery System of Dexamethasone Phosphate" Pharmaceutics 15, no. 10: 2396. https://doi.org/10.3390/pharmaceutics15102396
APA StyleDubashynskaya, N. V., Bokatyi, A. N., Trulioff, A. S., Rubinstein, A. A., Kudryavtsev, I. V., & Skorik, Y. A. (2023). Development and Bioactivity of Zinc Sulfate Cross-Linked Polysaccharide Delivery System of Dexamethasone Phosphate. Pharmaceutics, 15(10), 2396. https://doi.org/10.3390/pharmaceutics15102396

