Influence of the Alcohols on the ZnO Synthesis and Its Properties: The Photocatalytic and Antimicrobial Activities
Abstract
1. Introduction
2. Materials and Methods
3. Results and Discussion
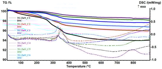
3.1. Thermal Analysis (TG-DSC)
3.2. X-ray Diffraction Analysis (XRD)
3.3. Transmission Electron Microscopy (TEM)
3.4. Spectroscopic Studies
3.4.1. FTIR Spectroscopy
3.4.2. UV-Vis Spectroscopy
3.4.3. Photoluminescence Spectroscopy
3.5. Photocatalytic Study
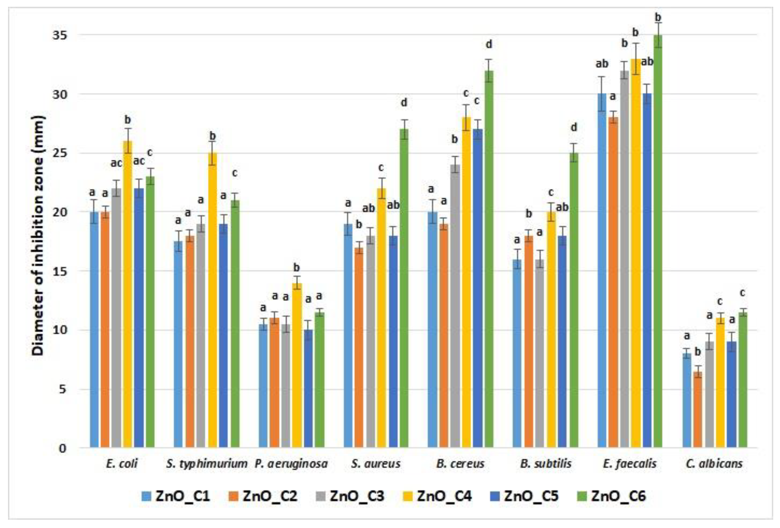
3.6. Antimicrobial Assay
4. Conclusions
Supplementary Materials
Author Contributions
Funding
Institutional Review Board Statement
Informed Consent Statement
Data Availability Statement
Conflicts of Interest
References
- Oprea, O.; Andronescu, E.; Ficai, D.; Ficai, A.; Oktar, F.N.; Yetmez, M. ZnO applications and challenges. Curr. Org. Chem. 2014, 18, 192–203. [Google Scholar] [CrossRef]
- Ficai, D.; Oprea, O.; Ficai, A.; Holban, A.M. Metal oxide nanoparticles: Potential uses in biomedical applications. Curr. Proteom. 2014, 11, 139–149. [Google Scholar] [CrossRef]
- Motelica, L.; Popescu, A.; Razvan, A.G.; Oprea, O.; Trusca, R.D.; Vasile, B.S.; Dumitru, F.; Holban, A.M. Facile use of ZnO nanopowders to protect old manual paper documents. Materials 2020, 13, 5452. [Google Scholar] [CrossRef] [PubMed]
- Vasile, O.R.; Serdaru, I.; Andronescu, E.; Trusca, R.; Surdu, V.A.; Oprea, O.; Ilie, A.; Vasile, B.S. Influence of the size and the morphology of ZnO nanoparticles on cell viability. C. R. Chim. 2015, 18, 1335–1343. [Google Scholar] [CrossRef]
- Chabalala, M.B.; Gumbi, N.N.; Mamba, B.B.; Al-Abri, M.Z.; Nxumalo, E.N. Photocatalytic nanofiber membranes for the degradation of micropollutants and their antimicrobial activity: Recent advances and future prospects. Membranes 2021, 11, 678. [Google Scholar] [CrossRef]
- Vaja, F.; Comanescu, C.; Oprea, O.; Ficai, D.; Guran, C. Effects of ZnO nanoparticles on the wet scrub resistance and photocatalytic properties of acrylic coatings. Rev. Chim. 2012, 63, 722–726. [Google Scholar]
- Oprea, O.; Vasile, O.R.; Voicu, G.; Craciun, L.; Andronescu, E. Photoluminescence, magnetic properties and photocatalytic activity of gd3+ doped ZnO nanoparticles. Dig. J. Nanomater. Biostruct. 2012, 7, 1757–1766. [Google Scholar]
- Motelica, L.; Ficai, D.; Oprea, O.C.; Ficai, A.; Andronescu, E. Smart food packaging designed by nanotechnological and drug delivery approaches. Coatings 2020, 10, 806. [Google Scholar] [CrossRef]
- Motelica, L.; Ficai, D.; Ficai, A.; Oprea, O.C.; Kaya, D.A.; Andronescu, E. Biodegradable antimicrobial food packaging: Trends and perspectives. Foods 2020, 9, 1438. [Google Scholar] [CrossRef]
- Oprea, O.; Andronescu, E.; Vasile, B.S.; Voicu, G.; Covaliu, C. Synthesis and characterization of ZnO nanopowder by non-basic route. Dig. J. Nanomater. Biostruct. 2011, 6, 1393–1401. [Google Scholar]
- Spoiala, A.; Ilie, C.I.; Trusca, R.D.; Oprea, O.C.; Surdu, V.A.; Vasile, B.S.; Ficai, A.; Ficai, D.; Andronescu, E.; Ditu, L.M. Zinc oxide nanoparticles for water purification. Materials 2021, 14, 4747. [Google Scholar] [CrossRef] [PubMed]
- Radulescu, M.; Arsenie, L.V.; Oprea, O.; Vasile, B.S. Optical and photocatalytic properties of copper(ii) doped zinc oxide. Rev. Chim. 2016, 67, 2596–2599. [Google Scholar]
- Vaja, F.; Ficai, D.; Ficai, A.; Oprea, O.; Guran, C. Multifunctional advanced coatings based on ZnO/m obtained by nanocasting method. J. Optoelectron. Adv. M 2013, 15, 107–113. [Google Scholar]
- Voicu, G.; Oprea, O.; Vasile, B.S.; Andronescu, E. Photoluminescence and photocatalytic activity of Mn-doped ZnO nanoparticles. Dig. J. Nanomater. Biostruct. 2013, 8, 667–675. [Google Scholar]
- Oprea, O.; Vasile, O.R.; Voicu, G.; Andronescu, E. The influence of the thermal treatment on luminescence properties of ZnO. Dig. J. Nanomater. Biostruct. 2013, 8, 747–756. [Google Scholar]
- Serb, M.D.; Muller, P.; Trusca, R.; Oprea, O.; Dumitru, F. Study of thermal decomposition of a zinc(ii) monomethyl terephthalate complex, [zn(ch3o-co-c6h4coo)(2)(oh2)(3)]center dot 2h(2)o. J. Therm Anal. Calorim. 2015, 121, 691–695. [Google Scholar] [CrossRef]
- Serb, M.D.; Braun, B.; Oprea, O.; Dumitru, F. Synthesis, crystal structure, and thermal decomposition study of the new [tetraaqua-bis-(monohydrogen squarate)]zinc(ii) complex. Dig. J. Nanomater. Biostruct. 2013, 8, 797–804. [Google Scholar]
- Vasile, O.R.; Andronescu, E.; Ghitulica, C.; Vasile, B.S.; Oprea, O.; Vasile, E.; Trusca, R. Synthesis and characterization of nanostructured zinc oxide particles synthesized by the pyrosol method. J. Nanopart. Res. 2012, 14, 1269. [Google Scholar] [CrossRef]
- Oprea, O.; Ciocirlan, O.; Badanoiu, A.; Vasile, E. Synthesis and characterization of ZnO nanostructures obtained in mixtures of ionic liquids with organic solvents. Cent. Eur. J. Chem. 2014, 12, 749–756. [Google Scholar] [CrossRef]
- Alharthi, M.N.; Ismail, I.; Bellucci, S.; Khdary, N.H.; Salam, M.A. Biosynthesis microwave-assisted of zinc oxide nanoparticles with ziziphus jujuba leaves extract: Characterization and photocatalytic application. Nanomaterials 2021, 11, 1682. [Google Scholar] [CrossRef]
- Fatimah, I.; Purwiandono, G.; Citradewi, P.W.; Sagadevan, S.; Oh, W.C.; Doong, R.A. Influencing factors in the synthesis of photoactive nanocomposites of ZnO /SiO2-porous heterostructures from montmorillonite and the study for methyl violet photodegradation. Nanomaterials 2021, 11, 3427. [Google Scholar] [CrossRef] [PubMed]
- Drummer, S.; Madzimbamuto, T.; Chowdhury, M. Green synthesis of transition-metal nanoparticles and their oxides: A review. Materials 2021, 14, 2700. [Google Scholar] [CrossRef] [PubMed]
- Omar, L.; Perret, N.; Daniele, S. Self-assembled hybrid ZnO nanostructures as supports for copper-based catalysts in the hydrogenolysis of glycerol. Catalysts 2021, 11, 516. [Google Scholar] [CrossRef]
- Navas, D.; Ibanez, A.; Gonzalez, I.; Palma, J.L.; Dreyse, P. Controlled dispersion of ZnO nanoparticles produced by basic precipitation in solvothermal processes. Heliyon 2020, 6, e05821. [Google Scholar] [CrossRef] [PubMed]
- Sescu, A.M.; Harja, M.; Favier, L.; Berthou, L.O.; de Castro, C.G.; Pui, A.; Lutic, D. Zn/la mixed oxides prepared by coprecipitation: Synthesis, characterization and photocatalytic studies. Materials 2020, 13, 4916. [Google Scholar] [CrossRef] [PubMed]
- Liu, L.L.; Kuang, D.T.; Hou, L.Z.; Luo, H.; Deng, L.W.; Wang, S.L. Synthesis and microwave absorption performance of layered hard carbon embedded with ZnO nanoparticles. J. Alloys Compd. 2022, 895, 162677. [Google Scholar] [CrossRef]
- Narro-Rios, J.S.; Garduno-Wilches, I.; Alarcon-Flores, G.; Ruiz-Rojas, C.A.; Gomez-Lizarraga, K.; Aguilar-Frutis, M. Spray pyrolysis synthesis of a semi-transparent p-cucro2/n-ZnO heterojunction: Structural, optical, and electrical properties. Phys. B 2022, 624, 413426. [Google Scholar] [CrossRef]
- Vinitha, V.; Preeyanghaa, M.; Vinesh, V.; Dhanalakshmi, R.; Neppolian, B.; Sivamurugan, V. Two is better than one: Catalytic, sensing and optical applications of doped zinc oxide nanostructures. Emergent Mater. 2021, 4, 1093–1124. [Google Scholar] [CrossRef]
- Rabeel, M.; Javed, S.; Khan, R.; Akram, M.A.; Rehman, S.; Kim, D.K.; Khan, M.F. Controlling the wettability of ZnO thin films by spray pyrolysis for photocatalytic applications. Materials 2022, 15, 3364. [Google Scholar] [CrossRef]
- Tonto, P.; Mekasuwandumrong, O.; Phatanasri, S.; Pavarajarn, V.; Praserthdam, P. Preparation of ZnO nanorod by solvothermal reaction of zinc acetate in various alcohols. Ceram. Int. 2008, 34, 57–62. [Google Scholar] [CrossRef]
- Saric, A.; Despotovic, I.; Stefanic, G. Alcoholic solvent influence on ZnO synthesis: A joint experimental and theoretical study. J. Phys. Chem. C 2019, 123, 29394–29407. [Google Scholar] [CrossRef]
- Spoiala, A.; Ilie, C.I.; Dolete, G.; Croitoru, A.M.; Surdu, V.A.; Trusca, R.D.; Motelica, L.; Oprea, O.C.; Ficai, D.; Ficai, A.; et al. Preparation and characterization of chitosan/TiO2 composite membranes as adsorbent materials for water purification. Membranes 2022, 12, 804. [Google Scholar] [CrossRef] [PubMed]
- Zanfir, A.V.; Voicu, G.; Badanoiu, A.I.; Gogan, D.; Oprea, O.; Vasile, E. Synthesis and characterization of titania-silica fume composites and their influence on the strength of self-cleaning mortar. Compos. Part. B Eng. 2018, 140, 157–163. [Google Scholar] [CrossRef]
- Luque-Morales, P.A.; Lopez-Peraza, A.; Nava-Olivas, O.J.; Amaya-Parra, G.; Baez-Lopez, Y.A.; Orozco-Carmona, V.M.; Garrafa-Galvez, H.E.; Chinchillas-Chinchillas, M.D. ZnO semiconductor nanoparticles and their application in photocatalytic degradation of various organic dyes. Materials 2021, 14, 7537. [Google Scholar] [CrossRef] [PubMed]
- Spoiala, A.; Ilie, C.I.; Dolete, G.; Trusca, R.D.; Motelica, L.; Oprea, O.C.; Ficai, D.; Ficai, A.; Andronescu, E.; Ditu, L.M. The development of antimicrobial chitosan/ZnO nanocomposite membranes for water purification. Rev. Rom. Mater. 2022, 52, 17–25. [Google Scholar]
- AlAbduljabbar, F.A.; Haider, S.; Ali, F.A.A.; Alghyamah, A.A.; Almasry, W.A.; Patel, R.; Mujtaba, I.M. Efficient photocatalytic degradation of organic pollutant in wastewater by electrospun functionally modified polyacrylonitrile nanofibers membrane anchoring TiO2 nanostructured. Membranes 2021, 11, 785. [Google Scholar] [CrossRef] [PubMed]
- Sidorowicz, A.; Margarita, V.; Fais, G.; Pantaleo, A.; Manca, A.; Concas, A.; Rappelli, P.; Fiori, P.L.; Cao, G. Characterization of nanomaterials synthesized from spirulina platensis extract and their potential antifungal activity. PLoS ONE 2022, 17, e0274753. [Google Scholar] [CrossRef]
- Khalid, A.; Ahmad, P.; Alharthi, A.I.; Muhammad, S.; Khandaker, M.U.; Faruque, M.R.I.; Khan, A.; Din, I.U.; Alotaibi, M.A.; Alzimami, K.; et al. Enhanced optical and antibacterial activity of hydrothermally synthesized cobalt-doped zinc oxide cylindrical microcrystals. Materials 2021, 14, 3223. [Google Scholar] [CrossRef]
- Spirescu, V.A.; Suhan, R.; Niculescu, A.G.; Grumezescu, V.; Negut, I.; Holban, A.M.; Oprea, O.C.; Birca, A.C.; Vasile, B.S.; Grumezescu, A.M.; et al. Biofilm-resistant nanocoatings based on ZnO nanoparticles and linalool. Nanomaterials 2021, 11, 2564. [Google Scholar] [CrossRef]
- Motelica, L.; Ficai, D.; Oprea, O.; Ficai, A.; Trusca, R.D.; Andronescu, E.; Holban, A.M. Biodegradable alginate films with ZnO nanoparticles and citronella essential oil—A novel antimicrobial structure. Pharmaceutics 2021, 13, 1020. [Google Scholar] [CrossRef]
- Motelica, L.; Ficai, D.; Ficai, A.; Trusca, R.D.; Ilie, C.I.; Oprea, O.C.; Andronescu, E. Innovative antimicrobial chitosan/ZnO/Ag nps/citronella essential oil nanocomposite—Potential coating for grapes. Foods 2020, 9, 1801. [Google Scholar] [CrossRef] [PubMed]
- Vasile, B.S.; Oprea, O.; Voicu, G.; Ficai, A.; Andronescu, E.; Teodorescu, A.; Holban, A. Synthesis and characterization of a novel controlled release zinc oxide/gentamicin-chitosan composite with potential applications in wounds care. Int. J. Pharm. 2014, 463, 161–169. [Google Scholar] [CrossRef] [PubMed]
- Voicu, G.; Oprea, O.; Vasile, B.S.; Andronescu, E. Antibacterial activity of zinc oxide—Gentamicin hybrid material. Dig. J. Nanomater. Biostruct. 2013, 8, 1191–1203. [Google Scholar]
- Rasha, E.; Monerah, A.; Manal, A.; Rehab, A.; Mohammed, D.; Doaa, E. Biosynthesis of zinc oxide nanoparticles from Acacia nilotica (L.) extract to overcome carbapenem-resistant Klebsiella pneumoniae. Molecules 2021, 26, 1919. [Google Scholar] [CrossRef] [PubMed]
- Bhutta, Z.A.; Ashar, A.; Mahfooz, A.; Khan, J.A.; Saleem, M.I.; Rashid, A.; Aqib, A.I.; Kulyar, M.F.E.A.; Sarwar, I.; Shoaib, M.; et al. Enhanced wound healing activity of nano ZnO and nano curcuma longa in third-degree burn. Appl. Nanosci. 2021, 11, 1267–1278. [Google Scholar] [CrossRef]
- Pino, P.; Ronchetti, S.; Mollea, C.; Sangermano, M.; Onida, B.; Bosco, F. Whey proteins-zinc oxide bionanocomposite as antibacterial films. Pharmaceutics 2021, 13, 1426. [Google Scholar] [CrossRef]
- Melnikova, N.; Malygina, D.; Balakireva, A.; Peretyagin, P.; Revin, V.; Devyataeva, A.; Malafeeva, K.; Revin, V. The effect of betulin diphosphate in wound dressings of bacterial cellulose-ZnO nps on platelet aggregation and the activity of oxidoreductases regulated by nad(p) plus /nad(p)h-balance in burns on rats. Molecules 2021, 26, 5478. [Google Scholar] [CrossRef] [PubMed]
- Rayyif, S.M.I.; Mohammed, H.B.; Curutiu, C.; Birca, A.C.; Grumezescu, A.M.; Vasile, B.S.; Ditu, L.M.; Lazar, V.; Chifiriuc, M.C.; Mihaescu, G.; et al. ZnO nanoparticles-modified dressings to inhibit wound pathogens. Materials 2021, 14, 3084. [Google Scholar] [CrossRef]
- Gobi, R.; Ravichandiran, P.; Babu, R.S.; Yoo, D.J. Biopolymer and synthetic polymer-based nanocomposites in wound dressing applications: A review. Polymers 2021, 13, 1962. [Google Scholar] [CrossRef]
- Melnikova, N.; Knyazev, A.; Nikolskiy, V.; Peretyagin, P.; Belyaeva, K.; Nazarova, N.; Liyaskina, E.; Malygina, D.; Revin, V. Wound healing composite materials of bacterial cellulose and zinc oxide nanoparticles with immobilized betulin diphosphate. Nanomaterials 2021, 11, 713. [Google Scholar] [CrossRef]
- Rivero, P.J.; Fuertes, J.P.; Vicente, A.; Mata, A.; Palacio, J.F.; Monteserin, M.; Rodriguez, R. Modeling experimental parameters for the fabrication of multifunctional surfaces composed of electrospun pcl/ZnO-nps nanofibers. Polymers 2021, 13, 4312. [Google Scholar] [CrossRef] [PubMed]
- Carofiglio, M.; Laurenti, M.; Vighetto, V.; Racca, L.; Barui, S.; Garino, N.; Gerbaldo, R.; Laviano, F.; Cauda, V. Iron-doped ZnO nanoparticles as multifunctional nanoplatforms for theranostics. Nanomaterials 2021, 11, 2628. [Google Scholar] [CrossRef]
- Murali, M.; Kalegowda, N.; Gowtham, H.G.; Ansari, M.A.; Alomary, M.N.; Alghamdi, S.; Shilpa, N.; Singh, S.B.; Thriveni, M.C.; Aiyaz, M.; et al. Plant-mediated zinc oxide nanoparticles: Advances in the new millennium towards understanding their therapeutic role in biomedical applications. Pharmaceutics 2021, 13, 1662. [Google Scholar] [CrossRef] [PubMed]
- Radwan-Praglowska, J.; Janus, L.; Piatkowski, M.; Sierakowska, A.; Szajna, E.; Matysek, D.; Bogdal, D. Development of stimuli-responsive chitosan/ZnO nps transdermal systems for controlled cannabidiol delivery. Polymers 2021, 13, 211. [Google Scholar] [CrossRef] [PubMed]
- Huang, X.; Zhou, X.; Dai, Q.Y.; Qin, Z.Y. Antibacterial, antioxidation, uv-blocking, and biodegradable soy protein isolate food packaging film with mangosteen peel extract and ZnO nanoparticles. Nanomaterials 2021, 11, 3337. [Google Scholar] [CrossRef] [PubMed]
- Roy, S.; Priyadarshi, R.; Rhim, J.W. Development of multifunctional pullulan/chitosan-based composite films reinforced with ZnO nanoparticles and propolis for meat packaging applications. Foods 2021, 10, 2789. [Google Scholar] [CrossRef]
- Holesova, S.; Barabaszova, K.C.; Hundakova, M.; Scukova, M.; Hrabovska, K.; Joszko, K.; Antonowicz, M.; Gzik-Zroska, B. Development of novel thin polycaprolactone (pcl)/clay nanocomposite films with antimicrobial activity promoted by the study of mechanical, thermal, and surface properties. Polymers 2021, 13, 3193. [Google Scholar] [CrossRef]
- Hari, K.D.; Garcia, C.V.; Shin, G.H.; Kim, J.T. Improvement of the uv barrier and antibacterial properties of crosslinked pectin/zinc oxide bionanocomposite films. Polymers 2021, 13, 2403. [Google Scholar] [CrossRef] [PubMed]
- Rapa, M.; Stefan, M.; Popa, P.A.; Toloman, D.; Leostean, C.; Borodi, G.; Vodnar, D.C.; Wrona, M.; Salafranca, J.; Nerin, C.; et al. Electrospun nanosystems based on phbv and ZnO for ecological food packaging. Polymers 2021, 13, 2123. [Google Scholar] [CrossRef]
- Cresnar, K.P.; Aulova, A.; Bikiaris, D.N.; Lambropoulou, D.; Kuzmic, K.; Zemljic, L.F. Incorporation of metal-based nanoadditives into the pla matrix: Effect of surface properties on antibacterial activity and mechanical performance of pla nanoadditive films. Molecules 2021, 26, 4161. [Google Scholar] [CrossRef] [PubMed]
- Mulla, M.Z.; Rahman, M.R.T.; Marcos, B.; Tiwari, B.; Pathania, S. Poly lactic acid (pla) nanocomposites: Effect of inorganic nanoparticles reinforcement on its performance and food packaging applications. Molecules 2021, 26, 1967. [Google Scholar] [CrossRef]
- Abbas, Q.; Javed, M.S.; Ahmad, A.; Siyal, S.H.; Asim, I.; Luque, R.; Albaqami, M.D.; Tighezza, A.M. ZnO nano-flowers assembled on carbon fiber textile for high-performance supercapacitor’s electrode. Coatings 2021, 11, 1337. [Google Scholar] [CrossRef]
- Tanase, M.A.; Soare, A.C.; Oancea, P.; Raducan, A.; Mihaescu, C.I.; Alexandrescu, E.; Petcu, C.; Ditu, L.M.; Ferbinteanu, M.; Cojocaru, B.; et al. Facile in situ synthesis of ZnO flower-like hierarchical nanostructures by the microwave irradiation method for multifunctional textile coatings. Nanomaterials 2021, 11, 2574. [Google Scholar] [CrossRef]
- Tania, I.S.; Ali, M. Coating of ZnO nanoparticle on cotton fabric to create a functional textile with enhanced mechanical properties. Polymers 2021, 13, 2701. [Google Scholar] [CrossRef] [PubMed]
- Deokar, A.R.; Perelshtein, I.; Saibene, M.; Perkas, N.; Mantecca, P.; Nitzan, Y.; Gedanken, A. Antibacterial and in vivo studies of a green, one-pot preparation of copper/zinc oxide nanoparticle-coated bandages. Membranes 2021, 11, 462. [Google Scholar] [CrossRef] [PubMed]
- Totu, E.E.; Cristache, C.M.; Voicila, E.; Oprea, O.; Agir, I.; Tavukcuoglu, O.; Didilescu, A.C. On physical and chemical characteristics of poly(methylmethacrylate) nanocomposites for dental applications. I. Mater. Plast. 2017, 54, 666–672. [Google Scholar] [CrossRef]
- Moradpoor, H.; Safaei, M.; Mozaffari, H.R.; Sharifi, R.; Imani, M.M.; Golshah, A.; Bashardoust, N. An overview of recent progress in dental applications of zinc oxide nanoparticles. RSC Adv. 2021, 11, 21189–21206. [Google Scholar] [CrossRef]
- Montano-Machado, V.; Chevallier, P.; Bonilla-Gameros, L.; Copes, F.; Quarta, C.; Ku-Herrera, J.D.; Soriano, F.; Padilla-Gainza, V.; Morales, G.; Mantovani, D. Development of multifunctional materials based on poly(ether ether ketone) with improved biological performances for dental applications. Materials 2021, 14, 1047. [Google Scholar] [CrossRef]
- Arun, D.; Mudiyanselage, D.A.; Mohamed, R.G.; Liddell, M.; Hassan, N.M.M.; Sharma, D. Does the addition of zinc oxide nanoparticles improve the antibacterial properties of direct dental composite resins? A systematic review. Materials 2021, 14, 40. [Google Scholar] [CrossRef]
- Alandiyjany, M.N.; Abdelaziz, A.S.; Abdelfattah-Hassan, A.; Hegazy, W.A.H.; Hassan, A.A.; Elazab, S.T.; Mohamed, E.A.A.; El-Shetry, E.S.; Saleh, A.A.; ElSawy, N.A.; et al. Novel in vivo assessment of antimicrobial efficacy of ciprofloxacin loaded mesoporous silica nanoparticles against salmonella typhimurium infection. Pharmaceuticals 2022, 15, 357. [Google Scholar] [CrossRef]
- Ardean, C.; Davidescu, C.M.; Nemes, N.S.; Negrea, A.; Ciopec, M.; Duteanu, N.; Negrea, P.; Duda-Seiman, D.; Muntean, D. Antimicrobial activities of chitosan derivatives. Pharmaceutics 2021, 13, 1639. [Google Scholar] [CrossRef] [PubMed]
- Naskar, A.; Kim, K.S. Potential novel food-related and biomedical applications of nanomaterials combined with bacteriocins. Pharmaceutics 2021, 13, 86. [Google Scholar] [CrossRef] [PubMed]
- Schito, A.M.; Piatti, G.; Caviglia, D.; Zuccari, G.; Zorzoli, A.; Marimpietri, D.; Alfei, S. Bactericidal activity of non-cytotoxic cationic nanoparticles against clinically and environmentally relevant pseudomonas spp. Isolates. Pharmaceutics 2021, 13, 1411. [Google Scholar] [CrossRef] [PubMed]
- Ceresa, C.; Fracchia, L.; Fedeli, E.; Porta, C.; Banat, I.M. Recent advances in biomedical, therapeutic and pharmaceutical applications of microbial surfactants. Pharmaceutics 2021, 13, 466. [Google Scholar] [CrossRef]
- Negut, I.; Ristoscu, C.; Tozar, T.; Dinu, M.; Parau, A.C.; Grumezescu, V.; Hapenciuc, C.; Popa, M.; Stan, M.S.; Marutescu, L.; et al. Implant surfaces containing bioglasses and ciprofloxacin as platforms for bone repair and improved resistance to microbial colonization. Pharmaceutics 2022, 14, 1175. [Google Scholar] [CrossRef] [PubMed]
- Escobar, A.; Muzzio, N.; Moya, S.E. Antibacterial layer-by-layer coatings for medical implants. Pharmaceutics 2021, 13, 16. [Google Scholar] [CrossRef] [PubMed]
- Kadyrbayeva, G.; Zagorska, J.; Grzegorczyk, A.; Gawel-Beben, K.; Strzepek-Gomolka, M.; Ludwiczuk, A.; Czech, K.; Kumar, M.; Koch, W.; Malm, A.; et al. The phenolic compounds profile and cosmeceutical significance of two kazakh species of onions: Allium galanthum and a. Turkestanicum. Molecules 2021, 26, 5491. [Google Scholar] [CrossRef]
- Wang, P.; Zhao, X.M.; Qu, T.M.; Liang, L.J.; Ji, Q.L.; Chen, Y. Insight into bacillus cereus associated with infant foods in beijing. Foods 2022, 11, 719. [Google Scholar] [CrossRef]
- da Silva, R.A.; Antonieti, F.M.P.M.; Roder, D.V.D.; Pedroso, R.D. Essential oils of melaleuca, citrus, cupressus, and litsea for the management of infections caused by candida species: A systematic review. Pharmaceutics 2021, 13, 1700. [Google Scholar] [CrossRef]
- Gheorghe, D.C.; Niculescu, A.G.; Birca, A.C.; Grumezescu, A.M. Biomaterials for the prevention of oral candidiasis development. Pharmaceutics 2021, 13, 803. [Google Scholar] [CrossRef]
- Menon, S.; Liang, X.Y.; Vartak, R.; Patel, K.; Di Stefano, A.; Cacciatore, I.; Marinelli, L.; Billack, B. Antifungal activity of novel formulations based on terpenoid prodrugs against c. Albicans in a mouse model. Pharmaceutics 2021, 13, 633. [Google Scholar] [CrossRef]
- Mohammed, H.B.; Rayyif, S.M.I.; Curutiu, C.; Birca, A.C.; Oprea, O.C.; Grumezescu, A.M.; Ditu, L.M.; Gheorghe, I.; Chifiriuc, M.C.; Mihaescu, G.; et al. Eugenol-functionalized magnetite nanoparticles modulate virulence and persistence in pseudomonas aeruginosa clinical strains. Molecules 2021, 26, 2189. [Google Scholar] [CrossRef] [PubMed]
- Motelica, L.; Ficai, D.; Oprea, O.C.; Ficai, A.; Ene, V.L.; Vasile, B.S.; Andronescu, E.; Holban, A.M. Antibacterial biodegradable films based on alginate with silver nanoparticles and lemongrass essential oil-innovative packaging for cheese. Nanomaterials 2021, 11, 2377. [Google Scholar] [CrossRef]
- Aoji, H.; Shiomi, H. Effects of aging conditions on the morphologies of ZnO particles synthesized under hydrothermal conditions from layered zinc hydroxide as a precursor derivered from zinc acetate. J. Asian Ceram. Soc. 2020, 8, 81–93. [Google Scholar] [CrossRef]
- Schlur, L.; Carton, A.; Pourroy, G. A new zinc hydroxy acetate hydrogen carbonate lamellar phase for growing large and clean ZnO nanorod arrays. Chem. Commun 2015, 51, 3367–3370. [Google Scholar] [CrossRef]
- Solati, E.; Dorranian, D. Estimation of lattice strain in ZnO nanoparticles produced by laser ablation at different temperatures. J. Appl. Spectrosc. 2017, 84, 490–497. [Google Scholar] [CrossRef]
- Mihaiu, S.; Szilagyi, I.M.; Atkinson, I.; Mocioiu, O.C.; Hunyadi, D.; Pandele-Cusu, J.; Toader, A.; Munteanu, C.; Boyadjiev, S.; Madarasz, J.; et al. Thermal study on the synthesis of the doped ZnO to be used in tco films. J. Therm. Anal. Calorim. 2016, 124, 71–80. [Google Scholar] [CrossRef][Green Version]
- Maqbool, Q.; Czerwinska, N.; Giosue, C.; Sabbatini, S.; Ruello, M.L.; Tittarelli, F. New waste-derived tio(2 )nanoparticles as a potential photocatalytic additive for lime based indoor finishings. J. Clean Prod. 2022, 373, 133853. [Google Scholar] [CrossRef]
- Mahalakshmi, S.; Hema, N.; Vijaya, P.P. In vitro biocompatibility and antimicrobial activities of zinc oxide nanoparticles (ZnO nps) prepared by chemical and green synthetic route- a comparative study. Bionanoscience 2020, 10, 112–121. [Google Scholar]
- Silva-Neto, M.L.; de Oliveira, M.C.A.; Dominguez, C.T.; Lins, R.E.M.; Rakov, N.; de Araujo, C.B.; Menezes, L.D.; de Oliveira, H.P.; Gomes, A.S.L. Uv random laser emission from flexible ZnO–Ag-enriched electrospun cellulose acetate fiber matrix. Sci. Rep. 2019, 9, 11765. [Google Scholar] [CrossRef] [PubMed]
- Lacatusu, I.; Arsenie, L.V.; Badea, G.; Popa, O.; Oprea, O.; Badea, N. New cosmetic formulations with broad photoprotective and antioxidative activities designed by amaranth and pumpkin seed oils nanocarriers. Ind. Crop. Prod. 2018, 123, 424–433. [Google Scholar] [CrossRef]
- Bulcha, B.; Tesfaye, J.L.; Anatol, D.; Shanmugam, R.; Dwarampudi, L.P.; Nagaprasad, N.; Bhargavi, V.L.N.; Krishnaraj, R. Synthesis of zinc oxide nanoparticles by hydrothermal methods and spectroscopic investigation of ultraviolet radiation protective properties. J. Nanomater. 2021, 2021, 8617290. [Google Scholar] [CrossRef]
- Tsai, Y.S.; Lin, X.D.; Chan, W.L.; Tsai, S.C.; Liao, W.J.; Wu, Y.C.S.; Chen, H. Morphological, material, and optical properties of ZnO /zns/cnts nanocomposites on sio(2)substrate. Nanomaterials 2020, 10, 1521. [Google Scholar] [CrossRef] [PubMed]
- Kibria, G.; Repon, M.R.; Hossain, M.F.; Islam, T.; Jalil, M.A.; Aljabri, M.D.; Rahman, M.M. Uv-blocking cotton fabric design for comfortable summer wears: Factors, durability and nanomaterials. Cellulose 2022, 29, 7555–7585. [Google Scholar] [CrossRef]
- Pintaric, L.M.; Skoc, M.S.; Bilic, V.L.; Pokrovac, I.; Kosalec, I.; Rezic, I. Synthesis, modification and characterization of antimicrobial textile surface containing ZnO nanoparticles. Polymers 2020, 12, 1210. [Google Scholar] [CrossRef]
- Noorian, S.A.; Hemmatinejad, N.; Navarro, J.A.R. Ligand modified cellulose fabrics as support of zinc oxide nanoparticles for uv protection and antimicrobial activities. Int. J. Biol. Macromol. 2020, 154, 1215–1226. [Google Scholar] [CrossRef]
- Saleemi, S.; Naveed, T.; Riaz, T.; Memon, H.; Awan, J.A.; Siyal, M.I.; Xu, F.J.; Bae, J. Surface functionalization of cotton and pc fabrics using SiO2 and ZnO nanoparticles for durable flame retardant properties. Coatings 2020, 10, 124. [Google Scholar] [CrossRef]
- Wang, Y.; Yang, C.A.X.; Liu, Y.L.; Fan, Y.Q.; Dang, F.; Qiu, Y.; Zhou, H.M.; Wang, W.L.; Liu, Y.Z. Solvothermal synthesis of ZnO nanoparticles for photocatalytic degradation of methyl orange and p-nitrophenol. Water 2021, 13, 3224. [Google Scholar] [CrossRef]
- Otis, G.; Ejgenberg, M.; Mastai, Y. Solvent-free mechanochemical synthesis of ZnO nanoparticles by high-energy ball milling of epsilon-zn(oh)(2) crystals. Nanomaterials 2021, 11, 238. [Google Scholar] [CrossRef] [PubMed]
- Cerrato, E.; Privitera, A.; Chiesa, M.; Salvadori, E.; Paganini, M.C. Nitrogen-doped zinc oxide for photo-driven molecular hydrogen production. Int. J. Mol. Sci. 2022, 23, 5222. [Google Scholar] [CrossRef]
- Pal, S.; Barik, P.; Pradhan, M. Tunable plasmon assisted enhancement of green light emission from ZnO nanoparticles. Mater. Today Commun. 2021, 28, 102713. [Google Scholar] [CrossRef]
- Wang, X.J.; Chen, X.; Xu, G.B.; Li, J.; Guo, J.Q.; Wang, Q. Performance of zinc oxide quantum dots coated paper and application of fluorescent anti-counterfeiting. Appl. Opt. 2021, 60, 2304–2313. [Google Scholar] [CrossRef] [PubMed]
- Singh, P.; Singh, R.K.; Kumar, R. Journey of ZnO quantum dots from undoped to rare-earth and transition metal-doped and their applications. RSC Adv. 2021, 11, 2512–2545. [Google Scholar] [CrossRef] [PubMed]
- Babayevska, N.; Przysiecka, L.; Nowaczyk, G.; Jarek, M.; Jarvekulg, M.; Kangur, T.; Janiszewska, E.; Jurga, S.; Iatsunskyi, I. Fabrication of gelatin-ZnO nanofibers for antibacterial applications. Materials 2021, 14, 103. [Google Scholar] [CrossRef] [PubMed]
- Ghifari, N.; Cinquin, B.; Chahboun, A.; El Abed, A.I. Rhodamine b doped ZnO monodisperse microcapsules: Droplet-based synthesis, dynamics and self-organization of ZnO nanoparticles and dye molecules. Nanomaterials 2020, 10, 2351. [Google Scholar] [CrossRef] [PubMed]
- Pomastowski, P.; Krol-Gorniak, A.; Railean-Plugaru, V.; Buszewski, B. Zinc oxide nanocomposites-extracellular synthesis, physicochemical characterization and antibacterial potential. Materials 2020, 13, 4347. [Google Scholar] [CrossRef]
- Asamoah, R.B.; Yaya, A.; Nbelayim, P.; Annan, E.; Onwona-Agyeman, B. Development and characterization of clay-nanocomposites for water purification. Materials 2020, 13, 3793. [Google Scholar] [CrossRef] [PubMed]
- Seid, E.T.; Dejene, F.B.; Urgessa, Z.N.; Botha, J.R. Refluxed sol-gel synthesized ZnO nanopowder with variable zinc precursor concentrations. Appl. Phys. A Mater. 2018, 124, 738. [Google Scholar] [CrossRef]
- Thakur, D.; Sharma, A.; Awasthi, A.; Rana, D.S.; Singh, D.; Pandey, S.; Thakur, S. Manganese-doped zinc oxide nanostructures as potential scaffold for photocatalytic and fluorescence sensing applications. Chemosensors 2020, 8, 120. [Google Scholar] [CrossRef]
- Lei, G.Y.; Yang, S.; Cao, R.R.; Zhou, P.; Peng, H.; Peng, R.; Zhang, X.M.; Yang, Y.J.; Li, Y.Y.; Wang, M.Y.; et al. In situ preparation of amphibious ZnO quantum dots with blue fluorescence based on hyperbranched polymers and their application in bio-imaging. Polymers 2020, 12, 144. [Google Scholar] [CrossRef] [PubMed]
- Jin, S.E.; Jin, H.E. Multiscale metal oxide particles to enhance photocatalytic antimicrobial activity against escherichia coli and m13 bacteriophage under dual ultraviolet irradiation. Pharmaceutics 2021, 13, 222. [Google Scholar] [CrossRef] [PubMed]
- Asjadi, F.; Yaghoobi, M. Characterization and dye removal capacity of green hydrothermal synthesized ZnO nanoparticles. Ceram. Int. 2022, 48, 27027–27038. [Google Scholar] [CrossRef]
- Oksuz, A.E.; Yurddaskal, M.; Kartal, U.; Dikici, T.; Erol, M. ZnO nanostructures for photocatalytic degradation of methylene blue: Effect of different anodization parameters. J. Korean Ceram. Soc. 2022, 59, 859–868. [Google Scholar] [CrossRef]
- Tiron, V.; Ciolan, M.A.; Bulai, G.; Mihalache, G.; Lipsa, F.D.; Jijie, R. Efficient removal of methylene blue and ciprofloxacin from aqueous solution using flower-like, nanostructured ZnO coating under uv irradiation. Nanomaterials 2022, 12, 2193. [Google Scholar] [CrossRef]
- Dhatwalia, J.; Kumari, A.; Chauhan, A.; Mansi, K.; Thakur, S.; Saini, R.V.; Guleria, I.; Lal, S.; Kumar, A.; Batoo, K.M.; et al. Rubus ellipticus sm. Fruit extract mediated zinc oxide nanoparticles: A green approach for dye degradation and biomedical applications. Materials 2022, 15, 3470. [Google Scholar] [CrossRef]
- Zhu, X.Y.; Wang, J.; Cai, L.; Wu, Y.; Ji, M.H.; Jiang, H.J.; Chen, J. Dissection of the antibacterial mechanism of zinc oxide nanoparticles with manipulable nanoscale morphologies. J. Hazard. Mater. 2022, 430, 128436. [Google Scholar] [CrossRef] [PubMed]
- Zhou, W.B.; Yu, B.; Zhu, J.Q.; Li, K. Synthesis of ZnO/Ti2C composites by electrostatic self-assembly for the photocatalytic degradation of methylene blue. J. Mater. Sci. 2022, 57, 3954–3970. [Google Scholar] [CrossRef]
- Deniz, F.; Dogan, F. Effective cleaning of a hazardous synthetic triarylmethane-type dye from aquatic environment with a multifunctional waste biomass-based biosorbent. Biomass Convers. Biorefinery 2022, 1–8. [Google Scholar] [CrossRef]
- Maqbool, Q.; Barucca, G.; Sabbatini, S.; Parlapiano, M.; Ruello, M.L.; Tittarelli, F. Transformation of industrial and organic waste into titanium doped activated carbon-cellulose nanocomposite for rapid removal of organic pollutants. J. Hazard. Mater. 2022, 423, 126958. [Google Scholar] [CrossRef]
- Ivanusa, M.; Kumer, B.; Petrovcic, E.; Stular, D.; Zorc, M.; Jerman, I.; Gorjanc, M.; Tomsic, B.; Simoncic, B. Eco-friendly approach to produce durable multifunctional cotton fibres using TiO2, ZnO and Ag nps. Nanomaterials 2022, 12, 3140. [Google Scholar] [CrossRef]
- Nautiyal, A.; Shukla, S.R.; Prasad, V. ZnO-TiO2 hybrid nanocrystal-loaded, wash durable, multifunction cotton textiles. Cellulose 2022, 29, 5923–5941. [Google Scholar] [CrossRef]
- Antunes, J.C.; Moreira, I.P.; Gomes, F.; Cunha, F.; Henriques, M.; Fangueiro, R. Recent trends in protective textiles against biological threats: A focus on biological warfare agents. Polymers 2022, 14, 1599. [Google Scholar] [CrossRef] [PubMed]
- Fernandes, M.; Padrao, J.; Ribeiro, A.I.; Fernandes, R.D.V.; Melro, L.; Nicolau, T.; Mehravani, B.; Alves, C.; Rodrigues, R.; Zille, A. Polysaccharides and metal nanoparticles for functional textiles: A review. Nanomaterials 2022, 12, 1006. [Google Scholar] [CrossRef] [PubMed]
- Rezic, I.; Kracher, D.; Oros, D.; Mujadzic, S.; Andelini, M.; Kurtanjek, Z.; Ludwig, R.; Rezic, T. Application of causality modelling for prediction of molecular properties for textile dyes degradation by lpmo. Molecules 2022, 27, 6390. [Google Scholar] [CrossRef]
- Ismail, G.A.; Sakai, H. Review on effect of different type of dyes on advanced oxidation processes (aops) for textile color removal. Chemosphere 2022, 291, 132906. [Google Scholar] [CrossRef] [PubMed]
- Guergueb, M.; Loiseau, F.; Molton, F.; Nasri, H.; Klein, A. Co2 to co electroreduction, electrocatalytic h-2 evolution, and catalytic degradation of organic dyes using a co(ii) meso-tetraarylporphyrin. Molecules 2022, 27, 1705. [Google Scholar] [CrossRef]
- Eleraky, N.E.; Allam, A.; Hassan, S.B.; Omar, M.M. Nanomedicine fight against antibacterial resistance: An overview of the recent pharmaceutical innovations. Pharmaceutics 2020, 12, 142. [Google Scholar] [CrossRef] [PubMed]
- Ruffin, M.; Brochiero, E. Repair process impairment by pseudomonas aeruginosa in epithelial tissues: Major features and potential therapeutic avenues. Front. Cell Infect. Microbiol. 2019, 9, 182. [Google Scholar] [CrossRef]
- Abebe, B.; Zereffa, E.A.; Tadesse, A.; Murthy, H.C.A. A review on enhancing the antibacterial activity of ZnO: Mechanisms and microscopic investigation. Nanoscale Res. Lett. 2020, 15, 190. [Google Scholar] [CrossRef]
- Franco, D.; Calabrese, G.; Guglielmino, S.P.P.; Conoci, S. Metal-based nanoparticles: Antibacterial mechanisms and biomedical application. Microorganisms 2022, 10, 1778. [Google Scholar] [CrossRef]
- Kang, S.; Park, D.H.; Hwang, J. Hierarchical ZnO nano-spines grown on a carbon fiber seed layer for efficient voc removal and airborne virus and bacteria inactivation. J. Hazard. Mater. 2022, 424, 127262. [Google Scholar] [CrossRef] [PubMed]













| Sample Label | Alcohol Used for Synthesis | Note/Yield |
|---|---|---|
| ZnO_C1 | Methanol | ZnO/97% |
| ZnO_C2 | Ethanol | ZnO/95% |
| ZnO_C3 | 1-Propanol | ZnO/96% |
| ZnO_C4 | 1-Butanol | ZnO/97% |
| ZnO_C5 | 1-Pentanol | ZnO/95% |
| ZnO_C6 | 1-Hexanol | ZnO/97% |
| ZnO_sC3 | 2-Propanol | White powder/151% * |
| ZnO_sC4 | 2-Butanol | White powder/125% * |
| ZnO_tC4 | Tert-butanol | White powder/132% * |
| Sample Label | ZnO_C1 | ZnO_C2 | ZnO_C3 | ZnO_C4 | ZnO_C5 | ZnO_C6 | ZnO_sC3 | ZnO_sC4 | ZnO_tC4 |
|---|---|---|---|---|---|---|---|---|---|
| Residual mass | 93.99% | 95.97% | 97.66% | 98.46% | 98.15% | 96.75% | 44.32% | 75.75% | 62.43% |
| Sample Label | ZnO_C1 | ZnO_C2 | ZnO_C3 | ZnO_C4 | ZnO_C5 | ZnO_C6 |
|---|---|---|---|---|---|---|
| Unit cell | ||||||
| a = b [Å] | 3.25069 | 3.25056 | 3.25064 | 3.25079 | 3.25099 | 3.25059 |
| c [Å] | 5.20742 | 5.20716 | 5.20716 | 5.20662 | 5.20728 | 5.20697 |
| V [Å3] | 47.65448 | 47.64824 | 47.65075 | 47.65021 | 47.66206 | 47.64759 |
| c/a | 1.60194 | 1.60193 | 1.60189 | 1.60165 | 1.60175 | 1.60185 |
| Microstrain (%) | 0.19 ± 0.06 | 0.25 ± 0.07 | 0.21 ± 0.06 | 0.26 ± 0.11 | 0.21 ± 0.05 | 0.16 ± 0.04 |
| Average crystallite size | 54.13 ± 5.79 | 45.55 ± 2.92 | 42.59 ± 2.19 | 34.56 ± 4.98 | 35.51 ± 1.97 | 42.05 ± 2.59 |
| Dislocation density (δ) × 10−4 | 3.41 | 4.82 | 5.51 | 8.37 | 7.93 | 5.66 |
| Sample Label | ZnO_C1 | ZnO_C2 | ZnO_C3 | ZnO_C4 | ZnO_C5 | ZnO_C6 |
|---|---|---|---|---|---|---|
| Band-gap value (eV) | 3.250 | 3.246 | 3.240 | 3.227 | 3.266 | 3.267 |
| Sample Label | ZnO_C1 | ZnO_C2 | ZnO_C3 | ZnO_C4 | ZnO_C5 | ZnO_C6 |
|---|---|---|---|---|---|---|
| Degradation efficiency | 94.97% | 96.83% | 97.85% | 98.24% | 97.82% | 97.36% |
| kapp × 103 (min−1) | 56.96 ± 1.56 | 66.43 ± 1.57 | 73.63 ± 1.31 | 97.35 ± 2.13 | 90.84 ± 3.25 | 78.58 ± 2.03 |
| R2 | 0.99624 | 0.99723 | 0.99842 | 0.99761 | 0.99364 | 0.99667 |
| Sample Label ZnO_C4 | MB | MO | EY | GV | RhB |
|---|---|---|---|---|---|
| Degradation efficiency | 98.24% | 97.71% | 76.14% | 51.34% | 54.82% |
| kapp × 103 (min−1) | 97.35 ± 2.13 | 79.88 ± 2.47 | 36.45 ± 1.14 | 18.91 ± 0.63 | 20.52 ± 0.65 |
| R2 | 0.99761 | 0.99522 | 0.99509 | 0.99446 | 0.99501 |
Publisher’s Note: MDPI stays neutral with regard to jurisdictional claims in published maps and institutional affiliations. |
© 2022 by the authors. Licensee MDPI, Basel, Switzerland. This article is an open access article distributed under the terms and conditions of the Creative Commons Attribution (CC BY) license (https://creativecommons.org/licenses/by/4.0/).
Share and Cite
Motelica, L.; Vasile, B.-S.; Ficai, A.; Surdu, A.-V.; Ficai, D.; Oprea, O.-C.; Andronescu, E.; Jinga, D.C.; Holban, A.M. Influence of the Alcohols on the ZnO Synthesis and Its Properties: The Photocatalytic and Antimicrobial Activities. Pharmaceutics 2022, 14, 2842. https://doi.org/10.3390/pharmaceutics14122842
Motelica L, Vasile B-S, Ficai A, Surdu A-V, Ficai D, Oprea O-C, Andronescu E, Jinga DC, Holban AM. Influence of the Alcohols on the ZnO Synthesis and Its Properties: The Photocatalytic and Antimicrobial Activities. Pharmaceutics. 2022; 14(12):2842. https://doi.org/10.3390/pharmaceutics14122842
Chicago/Turabian StyleMotelica, Ludmila, Bogdan-Stefan Vasile, Anton Ficai, Adrian-Vasile Surdu, Denisa Ficai, Ovidiu-Cristian Oprea, Ecaterina Andronescu, Dan Corneliu Jinga, and Alina Maria Holban. 2022. "Influence of the Alcohols on the ZnO Synthesis and Its Properties: The Photocatalytic and Antimicrobial Activities" Pharmaceutics 14, no. 12: 2842. https://doi.org/10.3390/pharmaceutics14122842
APA StyleMotelica, L., Vasile, B.-S., Ficai, A., Surdu, A.-V., Ficai, D., Oprea, O.-C., Andronescu, E., Jinga, D. C., & Holban, A. M. (2022). Influence of the Alcohols on the ZnO Synthesis and Its Properties: The Photocatalytic and Antimicrobial Activities. Pharmaceutics, 14(12), 2842. https://doi.org/10.3390/pharmaceutics14122842

