Shedding a Light on Acyclovir Pharmacodynamics: A Retrospective Analysis on Pharmacokinetic/Pharmacodynamic Modelling of Acyclovir for the Treatment of Varicella Zoster Virus Infection in Immunocompromised Patients: A Pilot Study
Abstract
1. Introduction
2. Materials and Methods
2.1. Population Selection
2.2. ACV Levels and VZV Viral Loads Analysis
2.3. PK Model
2.4. PK/PD Model
3. Results
3.1. Patient Population
3.2. PK Modelling
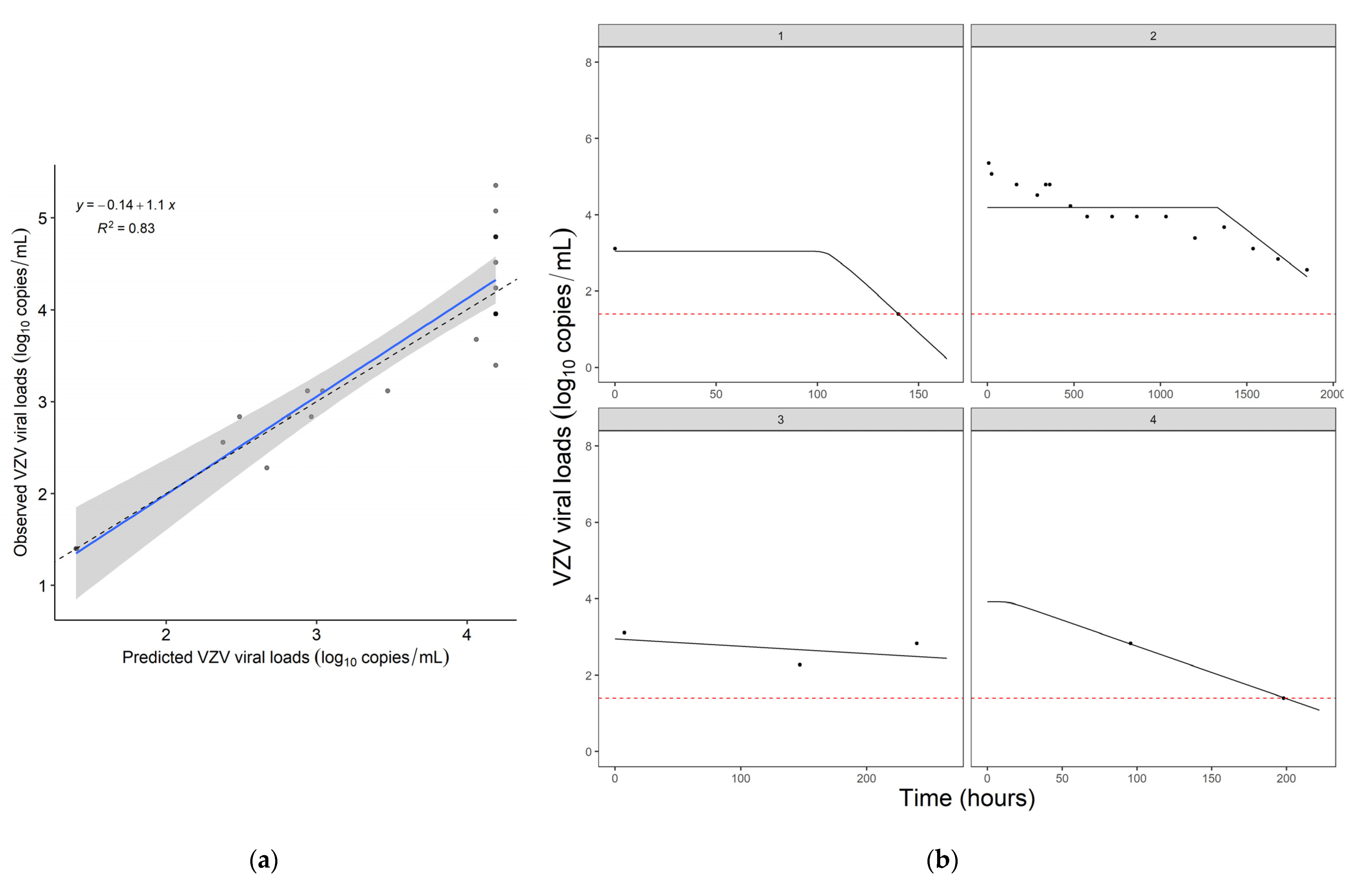
3.3. PK/PD Modelling
4. Discussion
Supplementary Materials
Author Contributions
Funding
Institutional Review Board Statement
Informed Consent Statement
Data Availability Statement
Conflicts of Interest
References
- Aciclovir 250 mg Powder for Solution for Infusion. Available online: https://www.medicines.org.uk/emc/product/6175/smpc (accessed on 17 September 2022).
- Valaciclovir 500 mg Film Coated Tablets. Available online: https://www.medicines.org.uk/emc/product/4349/smpc (accessed on 17 September 2022).
- Brunton, L.L.; Hilal-Dandan, R.; Knollmann, B.C. Antiviral Agents (Nonretroviral). In Goodman and Gilman’s the Pharmacological Basis of Therapeutics, 13rd ed.; Acosta, E.P., Ed.; McGraw-Hill: New York, NY, USA, 2017; Chapter 62. [Google Scholar]
- Duan, R.; de Vries, R.D.; Osterhaus, A.D.; Remeijer, L.; Verjans, G.M. Acyclovir-resistant corneal HSV-1 isolates from patients with herpetic keratitis. J. Infect. Dis. 2008, 198, 659–663. [Google Scholar] [CrossRef] [PubMed]
- Safrin, S.; Elbeik, T.; Phan, L.; Robinson, D.; Rush, J.; Elbaggari, A.; Mills, J. Correlation between response to acyclovir and foscarnet therapy and in vitro susceptibility result for isolates of herpes simplex virus from human immunodeficiency virus-infected patients. Antimicrob. Agents Chemother. 1994, 38, 1246–1250. [Google Scholar] [CrossRef] [PubMed]
- Sampson, M.R.; Bloom, B.T.; Lenfestey, R.W.; Harper, B.; Kashuba, A.D.; Anand, R.; Benjamin, D.K., Jr.; Capparelli, E.; Cohen-Wolkowiez, M.; Smith, P.B. Population pharmacokinetics of intravenous acyclovir in preterm and term infants. Pediatr. Infect. Dis. J. 2014, 33, 42–49. [Google Scholar] [CrossRef] [PubMed]
- Abdalla, S.; Briand, C.; Oualha, M.; Bendavid, M.; Béranger, A.; Benaboud, S.; Tréluyer, J.M.; Zheng, Y.; Capito, C.; Demir, Z.; et al. Population Pharmacokinetics of Intravenous and Oral Acyclovir and Oral Valacyclovir in Pediatric Population to Optimize Dosing Regimens. Antimicrob. Agents Chemother. 2020, 64, e01426-20. [Google Scholar] [CrossRef] [PubMed]
- Tod, M.; Lokiec, F.; Bidault, R.; De Bony, F.; Petitjean, O.; Aujard, Y. Pharmacokinetics of oral acyclovir in neonates and in infants: A population analysis. Antimicrob. Agents Chemother. 2001, 45, 150–157. [Google Scholar] [CrossRef] [PubMed]
- Zeng, L.; Nath, C.E.; Blair, E.Y.; Shaw, P.J.; Stephen, K.; Earl, J.W.; Coakley, J.C.; McLachlan, A.J. Population pharmacokinetics of acyclovir in children and young people with malignancy after administration of intravenous acyclovir or oral valacyclovir. Antimicrob. Agents Chemother. 2009, 53, 2918–2927. [Google Scholar] [CrossRef] [PubMed]
- O’Leary, C.K.; Jones, C.; Bryant, P.A.; Abo, Y.N.; Osowicki, J.; Gwee, A. Feasibility of Continuous Infusions of Acyclovir. Pediatr. Infect. Dis. J. 2020, 39, 830–832. [Google Scholar] [CrossRef] [PubMed]
- Cies, J.J.; Moore, W.S., 2nd; Miller, K.; Small, C.; Carella, D.; Conley, S.; Parker, J.; Shea, P.; Chopra, A. Therapeutic drug monitoring of continuous-infusion acylovir for disseminated herpes simplex virus infection in a neonate receiving concurrent extracorporeal life support and continuous renal replacement therapy. Pharmacotherapy 2015, 35, 229–233. [Google Scholar] [CrossRef] [PubMed]
- Saiag, P.; Praindhui, D.; Chastang, C. A double-blind, randomized study assessing the equivalence of valacyclovir 1000 mg once daily versus 500 mg twice daily in the episodic treatment of recurrent genital herpes. J. Antimicrob. Chemother. 1999, 44, 525–531. [Google Scholar] [CrossRef] [PubMed]
- Spruance, S.L.; Tyring, S.K.; DeGregorio, B.; Miller, C.; Beutner, K. A large-scale, placebo-controlled, dose-ranging trial of peroral valaciclovir for episodic treatment of recurrent herpes genitalis. Arch. Intern. Med. 1996, 156, 1729–1735. [Google Scholar] [CrossRef] [PubMed]
- Kimberlin, D.W.; Lin, C.Y.; Jacobs, R.F.; Powell, D.A.; Corey, L.; Gruber, W.C.; Rathore, M.; Bradley, J.S.; Diaz, P.S.; Kumar, M.; et al. Safety and efficacy of high-dose intravenous acyclovir in the management of neonatal herpes simplex virus infections. Pediatrics 2001, 108, 230–238. [Google Scholar] [CrossRef] [PubMed]
- Rabalais, G.P.; Nusinoff-Lehrman, S.; Arvin, A.M.; Levin, M.J. Antiviral susceptibilities of herpes simplex virus isolates from infants with recurrent mucocutaneous lesions after neonatal infection. Pediatr. Infect. Dis. J. 1989, 8, 221–223. [Google Scholar] [PubMed]
- Reitano, M.; Tyring, S.; Lang, W.; Thoming, C.; Worm, A.M.; Borelli, S.; Chambers, L.O.; Robinson, J.M.; Corey, L. Valaciclovir for the suppression of recurrent genital herpes simplex virus infection: A large-scale dose range-finding study. J. Infect. Dis. 1998, 178, 603–610. [Google Scholar] [CrossRef] [PubMed]
- Märtson, A.; van Hateren, K.; van den Bosch, G.; van der Werf, T.; Touw, D.; Alffenaar, J.C. Determination of ganciclovir and acyclovir in human serum using liquid chromatography-tandem mass spectrometry. J. Appl. Bioanal. 2018, 4, 175–186. [Google Scholar] [CrossRef]
- Hawrami, K.; Breuer, J. Development of a fluorogenic polymerase chain reaction assay (TaqMan) for the detection and quantitation of varicella zoster virus. J. Virol. Methods 1999, 79, 33–40. [Google Scholar] [CrossRef]
- Neely, M.N.; van Guilder, M.G.; Yamada, W.M.; Schumitzky, A.; Jelliffe, R.W. Accurate detection of outliers and subpopulations with Pmetrics, a nonparametric and parametric pharmacometric modeling and simulation package for R. Ther. Drug Monit. 2012, 34, 467–476. [Google Scholar] [CrossRef] [PubMed]
- Märtson, A.G.; Sturkenboom, M.G.G.; Knoester, M.; van der Werf, T.S.; Alffenaar, J.C.; Hope, W. Standard ganciclovir dosing results in slow decline of cytomegalovirus viral loads. J. Antimicrob. Chemother. 2022, 77, 466–473. [Google Scholar] [CrossRef] [PubMed]

| Patient Number | Age (Years) | eGFR (mL/min/1.73 m2) | First Measured VZV Viral Load (Log10 Copies/mL) | Last Measured VZV Viral Load (Log10 Copies/mL) | Mean AUC24h (h × mg/L) |
|---|---|---|---|---|---|
| 1 | 2 | 143 | 3.1 | Undetectable | 29 |
| 2 | 60 | 131 | 5.4 | 2.6 | 66 |
| 3 | 36 | 26 | 3.1 | 2.8 | 215 |
| 4 | 69 | 73 | 2.8 | Undetectable | 120 |
| PK Parameter | Mean | Median | SD | Shrinkage |
|---|---|---|---|---|
| Ke (h−1) | 0.274 | 0.235 | 0.191 | 43.0% |
| V (L) | 44.298 | 52.173 | 16.351 | 47.6% |
| Ka (h−1) | 0.601 | 0.557 | 0.385 | 59.1% |
| FA | 0.443 | 0.438 | 0.226 | 52.3% |
| PD Parameter | Mean | Median | SD |
|---|---|---|---|
| Kkmax (log10 copies/mL/h) | 0.040 | 0.020 | 0.044 |
| Hk | 6.29 | 3.27 | 5.29 |
| IC (copies/mL) | 6442 | 4661 | 6029 |
| EC50 (mg/L) | 10.50 | 8.37 | 10.91 |
Publisher’s Note: MDPI stays neutral with regard to jurisdictional claims in published maps and institutional affiliations. |
© 2022 by the authors. Licensee MDPI, Basel, Switzerland. This article is an open access article distributed under the terms and conditions of the Creative Commons Attribution (CC BY) license (https://creativecommons.org/licenses/by/4.0/).
Share and Cite
Grit, G.F.; Märtson, A.-G.; Knoester, M.; Toren-Wielema, M.L.; Touw, D.J. Shedding a Light on Acyclovir Pharmacodynamics: A Retrospective Analysis on Pharmacokinetic/Pharmacodynamic Modelling of Acyclovir for the Treatment of Varicella Zoster Virus Infection in Immunocompromised Patients: A Pilot Study. Pharmaceutics 2022, 14, 2311. https://doi.org/10.3390/pharmaceutics14112311
Grit GF, Märtson A-G, Knoester M, Toren-Wielema ML, Touw DJ. Shedding a Light on Acyclovir Pharmacodynamics: A Retrospective Analysis on Pharmacokinetic/Pharmacodynamic Modelling of Acyclovir for the Treatment of Varicella Zoster Virus Infection in Immunocompromised Patients: A Pilot Study. Pharmaceutics. 2022; 14(11):2311. https://doi.org/10.3390/pharmaceutics14112311
Chicago/Turabian StyleGrit, Geeske F., Anne-Grete Märtson, Marjolein Knoester, Marlous L. Toren-Wielema, and Daan J. Touw. 2022. "Shedding a Light on Acyclovir Pharmacodynamics: A Retrospective Analysis on Pharmacokinetic/Pharmacodynamic Modelling of Acyclovir for the Treatment of Varicella Zoster Virus Infection in Immunocompromised Patients: A Pilot Study" Pharmaceutics 14, no. 11: 2311. https://doi.org/10.3390/pharmaceutics14112311
APA StyleGrit, G. F., Märtson, A.-G., Knoester, M., Toren-Wielema, M. L., & Touw, D. J. (2022). Shedding a Light on Acyclovir Pharmacodynamics: A Retrospective Analysis on Pharmacokinetic/Pharmacodynamic Modelling of Acyclovir for the Treatment of Varicella Zoster Virus Infection in Immunocompromised Patients: A Pilot Study. Pharmaceutics, 14(11), 2311. https://doi.org/10.3390/pharmaceutics14112311

