Solubility, Antioxidation, and Oral Bioavailability Improvement of Mangiferin Microparticles Prepared Using the Supercritical Antisolvent Method
Abstract
1. Introduction
2. Materials and Methods
2.1. Materials
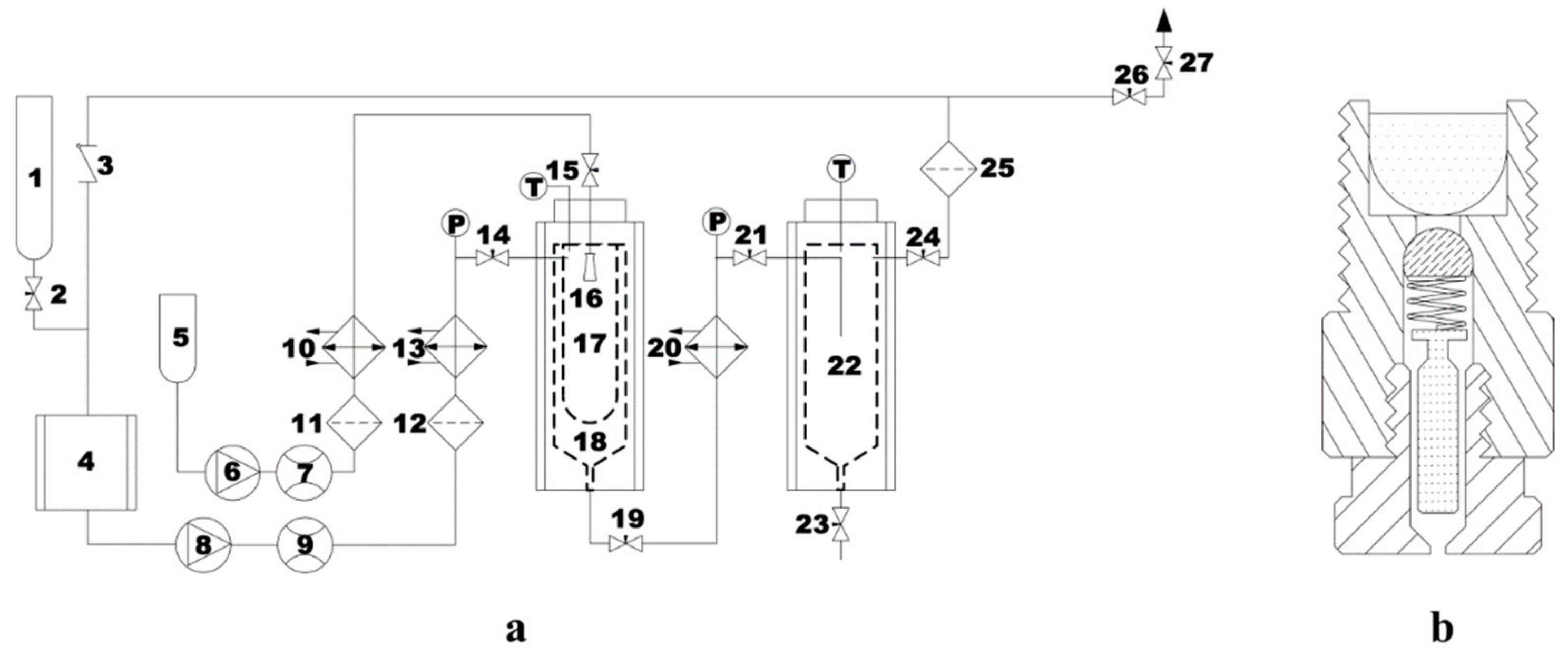
2.2. Supercritical Antisolvent (SAS) Device
2.3. Preparation of the MG MPs
2.4. Optimization of Preparation Process of the MG MPs
2.5. Characterization of the MG MPs
2.5.1. Particle Size Detection
2.5.2. Scanning Electron Microscopy (SEM)
2.5.3. Fourier Transform Infrared Spectroscopy (FTIR)
2.5.4. Differential Scanning Calorimetry (DSC) and Thermal Gravimetric (TG)
2.5.5. X-Ray Diffraction (XRD)
2.6. In Vitro Dissolution Study of the MG MPs
2.6.1. Preparation of Artificial Gastric Juice and Artificial Intestinal Juice
2.6.2. Determination of Saturated Solubility
2.6.3. In Vitro Dissolution Test
2.7. Evaluation of Antioxidant Activity In Vitro of the MG MPs
2.7.1. Measurement of DPPH Radical-Scavenging Activity
2.7.2. Measurement of ABTS Radical-Scavenging Activity
2.7.3. Measurement of Reducing Power
2.8. Bioavailability Test in Rats
3. Results and Discussion
3.1. Optimization Study
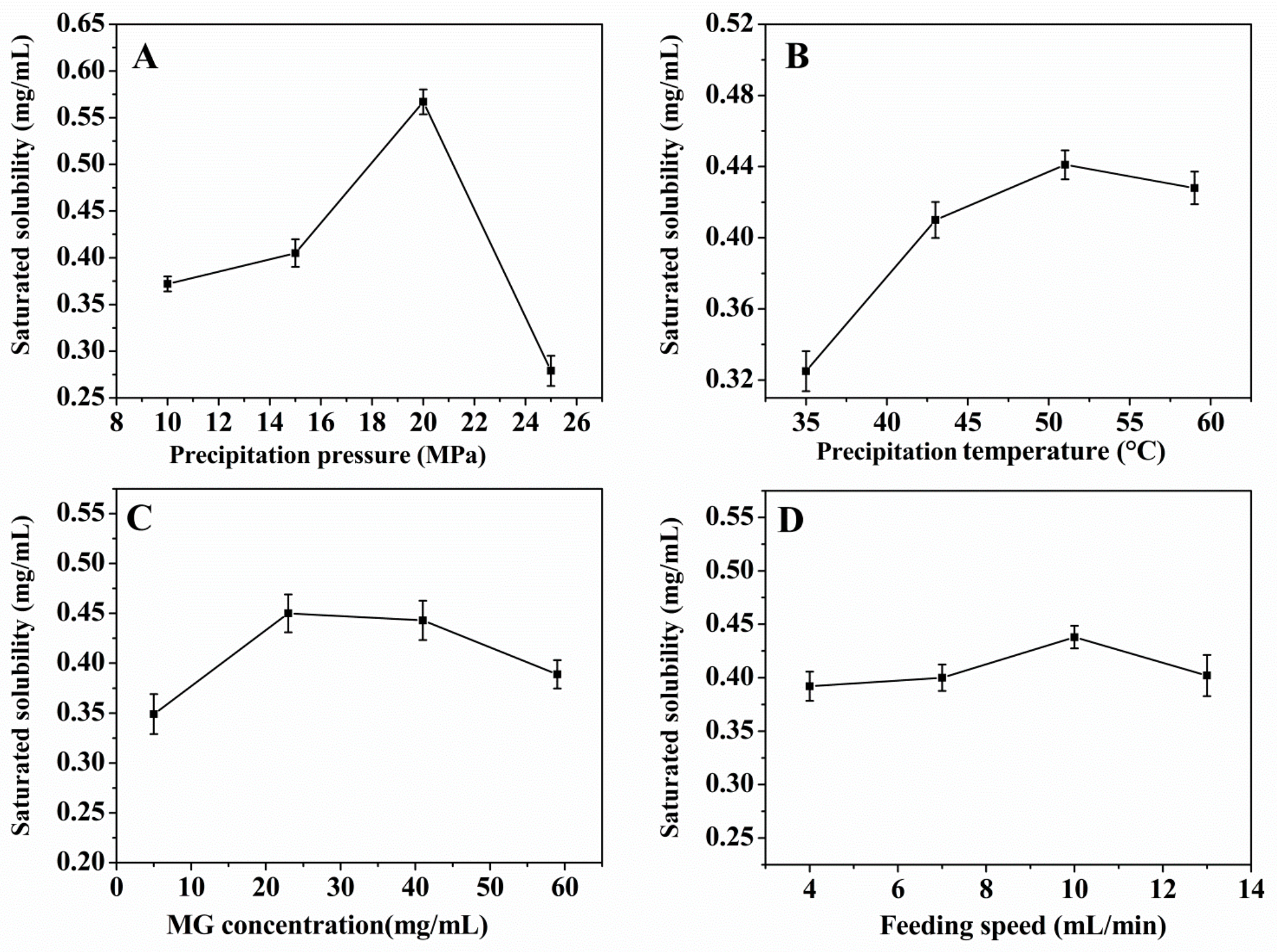
3.2. Effect of Preparation Conditions on the Saturated Solubility of the MG MPs
3.3. Characterization of the MG MPs
3.3.1. Morphology and Particle Size
3.3.2. FTIR Results
3.3.3. XRD Results
3.3.4. DSC and TG Results
3.4. In Vitro Dissolution Results of the MG MPs
3.4.1. Determination Results of Saturated Solubility
3.4.2. In Vitro Dissolution Results
3.5. Antioxidant Activity In Vitro
3.5.1. DPPH Radical-Scavenging Activity Measurement.
3.5.2. ABTS Radical-Scavenging Activity Measurement.
3.5.3. Reducing Power Measurement.
3.6. Pharmacokinetic Analysis and Bioavailability
4. Conclusions
Author Contributions
Funding
Conflicts of Interest
References
- Khurana, R.K.; Gaspar, B.L.; Welsby, G.; Katare, O.P.; Singh, K.K.; Singh, B. Improving the biopharmaceutical attributes of mangiferin using vitamin E-TPGS co-loaded self-assembled phosholipidic nano-mixed micellar systems. Drug Deliv. Transl. Res. 2018, 8, 617–632. [Google Scholar] [CrossRef] [PubMed]
- Ma, H.; Chen, H.; Sun, L.; Tong, L.; Zhang, T. Improving permeability and oral absorption of mangiferin by phospholipid complexation. Fitoterapia 2014, 93, 54–61. [Google Scholar] [CrossRef] [PubMed]
- Muruganandan, S.; Gupta, S.; Kataria, M.; Lal, J.; Gupta, P.K. Mangiferin protects the streptozotocin-induced oxidative damage to cardiac and renal tissues in rats. Toxicology 2002, 176, 165–173. [Google Scholar] [CrossRef]
- Hou, J.; Zheng, D.; Fung, G.; Deng, H.; Chen, L.; Liang, J.; Jiang, Y.; Hu, Y. Mangiferin suppressed advanced glycation end products (AGEs) through NF-κB deactivation and displayed anti-inflammatory effects in streptozotocin and high fat diet-diabetic cardiomyopathy rats. Can. J. Physiol. Pharmacol. 2015, 94, 332–340. [Google Scholar] [CrossRef]
- Suchal, K.; Malik, S.; Gamad, N.; Malhotra, R.K.; Goyal, S.N.; Ojha, S.; Kumari, S.; Bhatia, J.; Arya, D.S. Mangiferin protect myocardial insults through modulation of MAPK/TGF-β pathways. Eur. J. Pharmacol. 2016, 776, 34–43. [Google Scholar] [CrossRef]
- Sánchez, G.M.; Re, L.; Giuliani, A.; Núez-Sellés, A.J.; Davison, G.P.; León-Fernández, O.S. Protective effects of Mangifera indica L. extract, mangiferin and selected antioxidants against TPA-induced biomolecules oxidation and peritoneal macrophage activation in mice. Pharmacol. Res. 2000, 42, 565–573. [Google Scholar]
- Muruganandan, S.; Srinivasan, K.; Gupta, S.; Gupta, P.K.; Lal, J. Effect of mangiferin on hyperglycemia and atherogenicity in streptozotocin diabetic rats. J. Ethnopharmacol. 2005, 97, 497–501. [Google Scholar] [CrossRef]
- Wang, B.; Wan, J.; Gong, X.; Kuang, G.; Cheng, X.; Min, S. Mangiferin attenuates renal ischemia-reperfusion injury by inhibiting inflammation and inducing adenosine production. Int. Immunopharmacol. 2015, 25, 148–154. [Google Scholar] [CrossRef]
- Li, X.J.; Du, Z.C.; Huang, Y.; Liu, B.M.; Hu, W.J.; Lu, W.J.; Deng, J.G. Synthesis and hypoglycemic activity of esterified-derivatives of mangiferin. Chin. J. Nat. Med. 2013, 11, 296–301. [Google Scholar] [CrossRef]
- Yuan, Y.F.; Deng, J.G. Preparation of mengoferin monosodium salt. Chin. J. Hosp. Pharm. 2008, 28, 281. [Google Scholar]
- Liao, H.L.; Qiu-Ye, W.U.; Hong-Gang, H.U.; Zang, Z.H.; Song, L.; Yang, Q. Structure modification of mangiferin. West China J. Pharm. Sci. 2008, 23, 385–387. [Google Scholar]
- Pleguezuelos-Villa, M.; Nácher, A.; Hernández, M.J.; Ofelia Vila Buso, M.A.; Ruiz Sauri, A.; Díez-Sales, O. Mangiferin nanoemulsions in treatment of inflammatory disorders and skin regeneration. Int. J. Pharm. 2019, 564, 299–307. [Google Scholar] [CrossRef] [PubMed]
- Xuan, X.Y.; Wang, Y.J.; Tian, H.; Pi, J.X.; Zhang, W.L. Study on prescription of self-microemulsifying drug delivery system of Mangiferin phospholipid complex. J. Chin. Med. Mater. 2012, 35, 1508–1511. [Google Scholar]
- Bhattacharyya, S.; Ahmmed, S.M.; Saha, B.P.; Mukherjee, P.K. Soya phospholipid complex of mangiferin enhances its hepatoprotectivity by improving its bioavailability and pharmacokinetics. J. Sci. Food Agric. 2014, 94, 1380–1388. [Google Scholar] [CrossRef] [PubMed]
- Zhou, H.; Han, Y.M.; Zheng, Y.M.; Xiu-Ying, X.U.; Shan-Quan, F.U.; Wang, L.L.; Zeng, P.T. Preparative Procedure of Inclusion Compound of Mangiferin-HP-β-CD. J. Chongqing Institute of Technol. 2009, 9, 11. [Google Scholar]
- Mao, X.; Liu, L.; Cheng, L.; Cheng, R.; Zhang, L.; Deng, L.; Sun, X.; Zhang, Y.; Sarmento, B.; Cui, W. Adhesive nanoparticles with inflammation regulation for promoting skin flap regeneration. J. Control. Release 2019, 297, 91–101. [Google Scholar] [CrossRef] [PubMed]
- Liu, R.; Liu, Z.; Zhang, C.; Zhang, B. Nanostructured lipid carriers as novel ophthalmic delivery system for mangiferin: Improving in vivo ocular bioavailability. J. Pharm. Sci. 2012, 101, 3833–3844. [Google Scholar] [CrossRef]
- Lai, Y.L.; Wang, C.H.; Smith, K.A. Supercritical antisolvent production of biodegradable micro- and nanoparticles for controlled delivery of paclitaxel. J. Control. Release 2008, 125, 96–106. [Google Scholar]
- Chattopadhyay, P.; Gupta, R.B. Production of griseofulvin nanoparticles using supercritical CO2 antisolvent with enhanced mass transfer. Int. J. Pharm. 2001, 228, 19–31. [Google Scholar] [CrossRef]
- Sun, Z.; Ma, C.H.; Yang, L.; Zu, Y.G.; Zhang, R.R. Production of Ursolic Acid Nanoparticles by Supercritical Antisolvent Precipitation. Adv. Mater. Res. 2011, 233, 2210–2214. [Google Scholar] [CrossRef]
- Kim, M.S.; Jin, S.J.; Kim, J.S.; Park, H.J.; Song, H.S.; Neubert, R.H.H.; Hwang, S.J. Preparation, characterization and in vivo evaluation of amorphous atorvastatin calcium nanoparticles using supercritical antisolvent (SAS) process. Eur. J. Pharm. Biopharm. 2008, 69, 454–465. [Google Scholar] [CrossRef] [PubMed]
- Montes, A.; Wehner, L.; Pereyra, C.; de la Ossa, E.J.M. Mangiferin Nanoparticles Precipitation by Supercritical Antisolvent Process. J. Supercrit. Fluids 2016, 112, 44–50. [Google Scholar] [CrossRef]
- Sharma, O.P.; Bhat, T.K. DPPH antioxidant assay revisited. Food Chem. 2009, 113, 1202–1205. [Google Scholar] [CrossRef]
- Park, J.; Rho, S.J.; Kim, Y.R. Enhancing antioxidant and antimicrobial activity of carnosic acid in rosemary (Rosmarinus officinalis L.) extract by complexation with cyclic glucans. Food Chem. 2019, 299, 125119. [Google Scholar] [CrossRef] [PubMed]
- Zhou, Y.; Ma, W.; Wang, L.; Sun, W.; Li, M.; Zhang, W.; Liu, Y.; Song, X.; Fan, Y. Characterization and antioxidant activity of the oligo-maltose fraction from Polygonum Cillinerve. Carbohydr. Polym. 2019, 226, 115–307. [Google Scholar] [CrossRef] [PubMed]









| Trial No. | (A) Precipitation Pressure (MPa) | (B) Precipitation Temperature (°C) | (C) MG Concentration (mg/mL) | (D) Feeding Speed (mL/min) |
|---|---|---|---|---|
| 1 | 10 | 35 | 5 | 4 |
| 2 | 15 | 43 | 23 | 7 |
| 3 | 20 | 51 | 41 | 10 |
| 4 | 25 | 59 | 59 | 13 |
| Trial No. | (A) Precipitation Pressure (MPa) | (B) Feeding Speed (mL/min) | (C) Precipitation Temperature (°C) | (D) MG Concentration (mg/mL) | Average Particle Size (nm) | Variation Coefficient (%) | Saturated Solubility (mg/mL) |
|---|---|---|---|---|---|---|---|
| 1 | 1 | 1 | 1 | 1 | 981.2 | 5.4 | 0.2512 |
| 2 | 1 | 2 | 2 | 2 | 809.6 | 2.94 | 0.4293 |
| 3 | 1 | 3 | 3 | 3 | 762.5 | 3.96 | 0.4584 |
| 4 | 1 | 4 | 4 | 4 | 870.6 | 4.6 | 0.3504 |
| 5 | 2 | 1 | 2 | 3 | 832.3 | 5.4 | 0.4027 |
| 6 | 2 | 2 | 1 | 4 | 896.5 | 3.1 | 0.3303 |
| 7 | 2 | 3 | 4 | 1 | 813.2 | 2.39 | 0.4237 |
| 8 | 2 | 4 | 3 | 2 | 750.4 | 2.1 | 0.4627 |
| 9 | 3 | 1 | 3 | 4 | 590.9 | 2.9 | 0.5602 |
| 10 | 3 | 2 | 4 | 3 | 560.8 | 3.4 | 0.5897 |
| 11 | 3 | 3 | 1 | 2 | 667.4 | 3.38 | 0.5152 |
| 12 | 3 | 4 | 2 | 1 | 532.8 | 2.01 | 0.6013 |
| 13 | 4 | 1 | 4 | 2 | 1044.6 | 8.79 | 0.1940 |
| 14 | 4 | 2 | 3 | 1 | 938.4 | 7.24 | 0.2913 |
| 15 | 4 | 3 | 2 | 4 | 864.4 | 6.8 | 0.3659 |
| 16 | 4 | 4 | 1 | 3 | 922.4 | 5.34 | 0.2994 |
| K1 | 0.372 | 0.352 | 0.349 | 0.392 | |||
| K2 | 0.405 | 0.410 | 0.450 | 0.400 | |||
| K3 | 0.567 | 0.441 | 0.443 | 0.438 | |||
| K4 | 0.288 | 0.428 | 0.389 | 0.402 | |||
| R b | 0.279 | 0.089 | 0.101 | 0.046 |
| Source | Sum of Squares (SS) | Degrees of Freedom (df) | F-ratio | F0.10 | Type of Effect |
|---|---|---|---|---|---|
| (A) Precipitation pressure (MPa) | 0.164 | 3 | 41.000 | 9.28 | Significant |
| Feeding speed (mL/min) | 0.019 | 3 | 4.750 | 9.28 | |
| (C) Precipitation temperature (°C) | 0.027 | 3 | 6.750 | 9.28 | |
| (D) MG concentration (mg/mL) | 0.005 | 3 | 1.250 | 9.28 |
| Pharmacokinetic Parameters | Free MG | MG MPs |
|---|---|---|
| Cmax (μg/L) | 523.871 | 1084.580 |
| Tmax (h) | 2.000 | 0.750 |
| t1/2 (h) | 4.013 | 6.515 |
| MRT(0–t) (h) | 6.063 | 6.137 |
| MRT(0–∞) (h) | 6.348 | 8.114 |
| AUC(0–t) (μg/L*h) | 2188.375 | 10,163.112 |
| AUC(0–∞) (μg/L*h) | 2223.245 | 14,151.415 |
© 2020 by the authors. Licensee MDPI, Basel, Switzerland. This article is an open access article distributed under the terms and conditions of the Creative Commons Attribution (CC BY) license (http://creativecommons.org/licenses/by/4.0/).
Share and Cite
Liu, M.; Liu, Y.; Ge, Y.; Zhong, Z.; Wang, Z.; Wu, T.; Zhao, X.; Zu, Y. Solubility, Antioxidation, and Oral Bioavailability Improvement of Mangiferin Microparticles Prepared Using the Supercritical Antisolvent Method. Pharmaceutics 2020, 12, 90. https://doi.org/10.3390/pharmaceutics12020090
Liu M, Liu Y, Ge Y, Zhong Z, Wang Z, Wu T, Zhao X, Zu Y. Solubility, Antioxidation, and Oral Bioavailability Improvement of Mangiferin Microparticles Prepared Using the Supercritical Antisolvent Method. Pharmaceutics. 2020; 12(2):90. https://doi.org/10.3390/pharmaceutics12020090
Chicago/Turabian StyleLiu, Mengran, Yankun Liu, Yunlong Ge, Zhaoliang Zhong, Zijian Wang, Tong Wu, Xiuhua Zhao, and Yuangang Zu. 2020. "Solubility, Antioxidation, and Oral Bioavailability Improvement of Mangiferin Microparticles Prepared Using the Supercritical Antisolvent Method" Pharmaceutics 12, no. 2: 90. https://doi.org/10.3390/pharmaceutics12020090
APA StyleLiu, M., Liu, Y., Ge, Y., Zhong, Z., Wang, Z., Wu, T., Zhao, X., & Zu, Y. (2020). Solubility, Antioxidation, and Oral Bioavailability Improvement of Mangiferin Microparticles Prepared Using the Supercritical Antisolvent Method. Pharmaceutics, 12(2), 90. https://doi.org/10.3390/pharmaceutics12020090

