Epidemiological and Clinical Characteristics of Infections in Hospitalized Children During and After the COVID-19 Pandemic
Abstract
1. Introduction
2. Materials and Methods
2.1. Data Collection
2.2. Data Analysis and Visualization
3. Results
3.1. Patient Characteristics
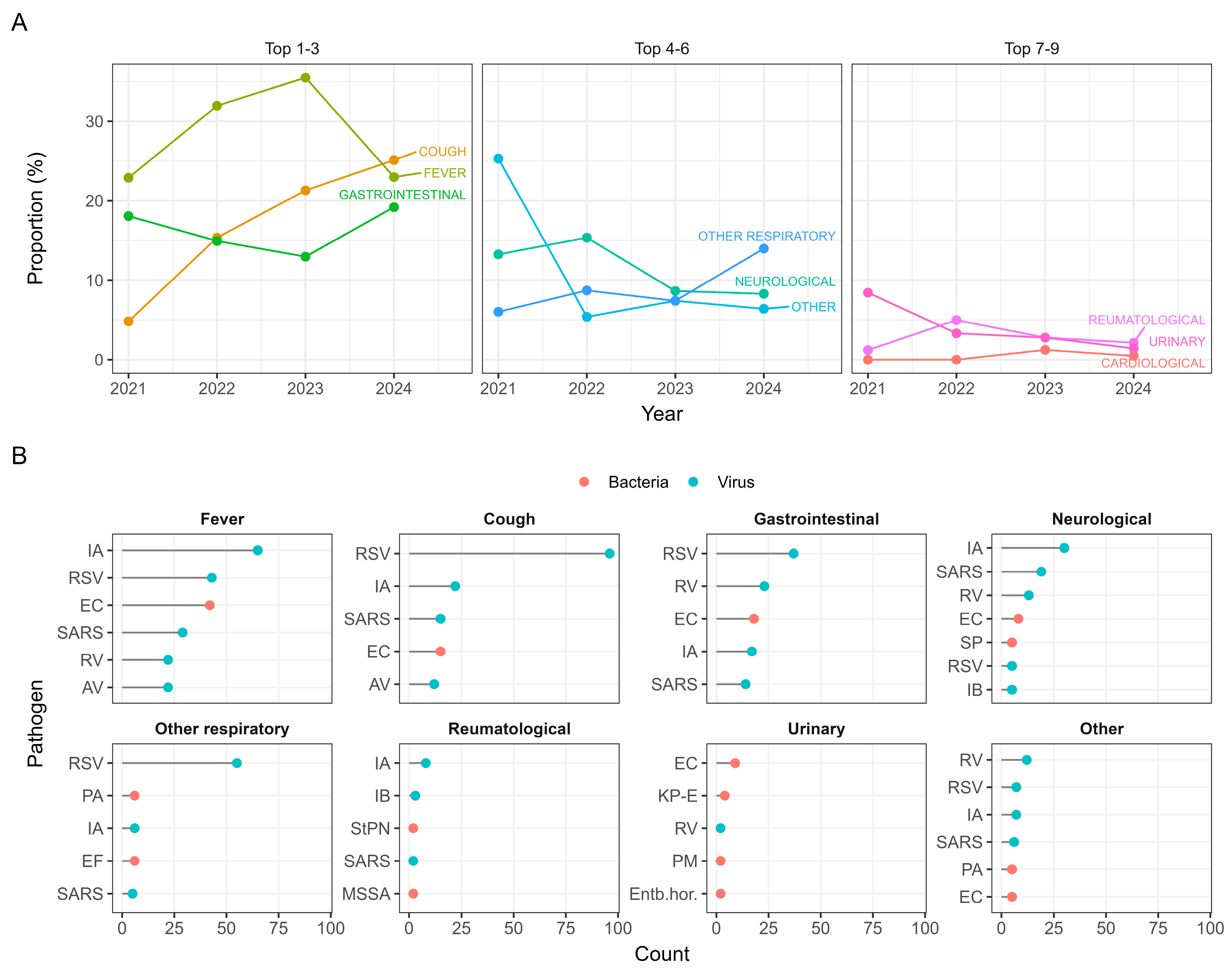
3.2. Presenting Symptoms
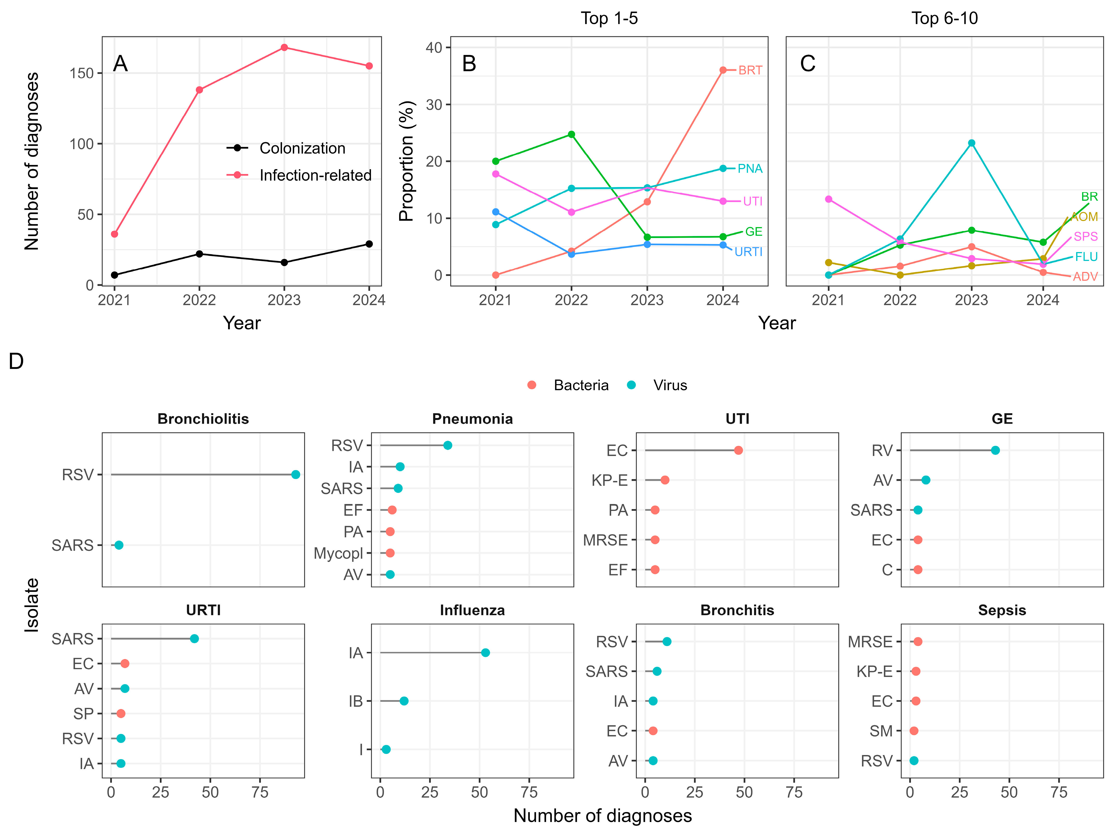
3.3. Identified Pathogens
3.4. Discharge Diagnoses
4. Discussion
Limitations
5. Conclusions
Author Contributions
Funding
Institutional Review Board Statement
Informed Consent Statement
Data Availability Statement
Conflicts of Interest
References
- Costa, L.F.; Silveira, H.L.; Queiróz, D.A.O.; Mantese, O.C.; Yokosawa, J. Respiratory Virus Infections in Hospitalized and Non-Hospitalized Children: Determinants of Severe Course of the Disease. J. Infect. Dev. Ctries. 2022, 16, 196–205. [Google Scholar] [CrossRef]
- Leija-Martínez, J.J.; Esparza-Miranda, L.A.; Rivera-Alfaro, G.; Noyola, D.E. Impact of Nonpharmaceutical Interventions during the COVID-19 Pandemic on the Prevalence of Respiratory Syncytial Virus in Hospitalized Children with Lower Respiratory Tract Infections: A Systematic Review and Meta-Analysis. Viruses 2024, 16, 429. [Google Scholar] [CrossRef]
- Yang, M.C.; Su, Y.T.; Chen, P.H.; Tsai, C.C.; Lin, T.I.; Wu, J.R. Changing Patterns of Infectious Diseases in Children during the COVID-19 Pandemic. Front. Cell. Infect. Microbiol. 2023, 13, 1200617. [Google Scholar] [CrossRef]
- Pun, J.C.S.; Tao, K.P.; Yam, S.L.S.; Hon, K.L.; Chan, P.K.S.; Li, A.M.; Chan, R.W.Y. Respiratory Viral Infection Patterns in Hospitalised Children Before and After COVID-19 in Hong Kong. Viruses 2024, 16, 1786. [Google Scholar] [CrossRef] [PubMed]
- Principi, N.; Autore, G.; Ramundo, G.; Esposito, S. Epidemiology of Respiratory Infections during the COVID-19 Pandemic. Viruses 2023, 15, 1160. [Google Scholar] [CrossRef] [PubMed]
- Huang, Q.S.; Wood, T.; Jelley, L.; Jennings, T.; Jefferies, S.; Daniells, K.; Nesdale, A.; Dowell, T.; Turner, N.; Campbell-Stokes, P.; et al. Impact of the COVID-19 Nonpharmaceutical Interventions on Influenza and Other Respiratory Viral Infections in New Zealand. Nat. Commun. 2021, 12, 1001. [Google Scholar] [CrossRef]
- Kırca, F.; Aydoğan, S.; Gozalan, A.; Güler, E.; Uyan Erten, A.Z.; Özşen Uygur, A.S.; Doğan, A.; Dinc, B. Impact of Non-Pharmaceutical Interventions on Circulating Respiratory Viruses during the COVID-19 Pandemic in Turkey. Ann. Saudi Med. 2023, 43, 143–153. [Google Scholar] [CrossRef]
- Korsun, N.; Trifonova, I.; Madzharova, I.; Alexiev, I.; Uzunova, I.; Ivanov, I.; Velikov, P.; Tcherveniakova, T.; Christova, I. Resurgence of Respiratory Syncytial Virus with Dominance of RSV-B during the 2022–2023 Season. Front. Microbiol. 2024, 15, 1376389. [Google Scholar] [CrossRef] [PubMed]
- Tempia, S.; Walaza, S.; Bhiman, J.N.; McMorrow, M.L.; Moyes, J.; Mkhencele, T.; Meiring, S.; Quan, V.; Bishop, K.; McAnerney, J.M.; et al. Decline of Influenza and Respiratory Syncytial Virus Detection in Facility-Based Surveillance during the COVID-19 Pandemic, South Africa, January to October 2020. Eurosurveillance 2021, 26, 2001600. [Google Scholar] [CrossRef]
- Zhou, J.; Sun, Y. Effect of COVID-19 Protective Measures on the Epidemiology Characteristics of Rotavirus, Adenovirus, and Coinfections among Pediatric Patients with Acute Gastroenteritis in Hangzhou, China. Microbiol. Spectr. 2024, 12, e0400723. [Google Scholar] [CrossRef]
- Saidian, H.; Daugberg, R.; Jensen, L.H.; Schoos, A.M.; Rytter, M.J.H. Children Hospitalised with Gastroenteritis before and during the COVID-19 Pandemic. Acta Paediatr. 2025, 114, 148–155. [Google Scholar] [CrossRef]
- Chan, M.C.-W. Return of Norovirus and Rotavirus Activity in Winter 2020–21 in City with Strict COVID-19 Control Strategy, China. Emerg. Infect. Dis. 2022, 28, 713–716. [Google Scholar] [CrossRef]
- Lambisia, A.W.; Murunga, N.; Mutunga, M.; Cheruiyot, R.; Maina, G.; Makori, T.O.; Nokes, D.J.; Agoti, C.N. Temporal Changes in the Positivity Rate of Common Enteric Viruses among Paediatric Admissions in Coastal Kenya, during the COVID-19 Pandemic, 2019–2022. Gut Pathog. 2024, 16, 2. [Google Scholar] [CrossRef] [PubMed]
- R Core Team. R: A Language and Environment for Statistical Computing; R Foundation for Statistical Computing: Vienna, Austria, 2025; Available online: http://www.r-project.org (accessed on 23 September 2025).
- Moscovich, D.P.; Averbuch, D.; Kerem, E.; Cohen-Cymberknoh, M.; Berkun, Y.; Brooks, R.; Reiff, S.; Meir, M.B.; Wolf, D.; Breuer, O. Pediatric Respiratory Admissions and Related Viral Infections during the COVID-19 Pandemic. Pediatr. Pulmonol. 2023, 58, 2076–2084. [Google Scholar] [CrossRef]
- Cong, B.; Koç, U.; Bandeira, T.; Bassat, Q.; Bont, L.; Chakhunashvili, G.; Cohen, C.; Desnoyers, C.; Hammitt, L.L.; Heikkinen, T.; et al. Changes in the Global Hospitalisation Burden of Respiratory Syncytial Virus in Young Children during the COVID-19 Pandemic: A Systematic Analysis. Lancet Infect. Dis. 2024, 24, 361–374. [Google Scholar] [CrossRef] [PubMed]
- Davis, A.L.; Sunderji, A.; Marneni, S.R.; Seiler, M.; Hall, J.E.; Cotanda, C.P.; Klein, E.J.; Brown, J.C.; Gelernter, R.; Griffiths, M.A.; et al. Caregiver-Reported Delay in Presentation to Pediatric Emergency Departments for Fear of Contracting COVID-19: A Multi-National Cross-Sectional Study. Can. J. Emerg. Med. 2021, 23, 778–786. [Google Scholar] [CrossRef] [PubMed]
- Manti, S.; Leonardi, S.; Rezaee, F.; Harford, T.J.; Perez, M.K.; Piedimonte, G. Effects of Vertical Transmission of Respiratory Viruses to the Offspring. Front. Immunol. 2022, 13, 853009. [Google Scholar] [CrossRef]
- Abu-Raya, B.; Viñeta Paramo, M.; Reicherz, F.; Lavoie, P.M. Why Has the Epidemiology of RSV Changed during the COVID-19 Pandemic? eClinicalMedicine 2023, 61, 102089. [Google Scholar] [CrossRef]
- Raes, M.; Daelemans, S.; Cornette, L.; Moniotte, S.; Proesmans, M.; Schaballie, H.; Frère, J.; Vanden Driessche, K.; Van Brusselen, D. The Burden and Surveillance of RSV Disease in Young Children in Belgium—Expert Opinion. Eur. J. Pediatr. 2022, 182, 451–460. [Google Scholar] [CrossRef]
- Huijskens, E.G.W.; Koopmans, M.; Palmen, F.M.H.; van Erkel, A.J.M.; Mulder, P.G.H.; Rossen, J.W.A. The Value of Signs and Symptoms in Differentiating between Bacterial, Viral and Mixed Aetiology in Patients with Community-Acquired Pneumonia. J. Med. Microbiol. 2014, 63, 441–452. [Google Scholar] [CrossRef]
- Maglione, M.; Tipo, V.; Barbieri, E.; Ragucci, R.; Ciccarelli, A.S.; Esposito, C.; Carangelo, L.; Giannattasio, A. Changes in Respiratory Viruses’ Activity in Children During the COVID-19 Pandemic: A Systematic Review. J. Clin. Med. 2025, 14, 1387. [Google Scholar] [CrossRef]
- Presti, S.; Manti, S.; Gambilonghi, F.; Parisi, G.F.; Papale, M.; Leonardi, S. Comparative Analysis of Pediatric Hospitalizations during Two Consecutive Influenza and Respiratory Virus Seasons Post-Pandemic. Viruses 2023, 15, 1825. [Google Scholar] [CrossRef]
- Chuang, Y.-C.; Lin, K.-P.; Wang, L.-A.; Yeh, T.-K.; Liu, P.-Y. The Impact of the COVID-19 Pandemic on Respiratory Syncytial Virus Infection: A Narrative Review. Infect. Drug Resist. 2023, 16, 661–675. [Google Scholar] [CrossRef]
- Kandeel, A.; Fahim, M.; Deghedy, O.; Roshdy, W.H.; Khalifa, M.K.; Shesheny, R.E.; Kandeil, A.; Naguib, A.; Afifi, S.; Mohsen, A.; et al. Resurgence of Influenza and Respiratory Syncytial Virus in Egypt Following Two Years of Decline during the COVID-19 Pandemic: Outpatient Clinic Survey of Infants and Children, October 2022. BMC Public Health 2023, 23, 1067. [Google Scholar] [CrossRef] [PubMed]
- Adlhoch, C.; Mook, P.; Lamb, F.; Ferland, L.; Melidou, A.; Amato-Gauci, A.J.; Pebody, R. Very Little Influenza in the WHO European Region during the 2020/21 Season, Weeks 40 2020 to 8 2021. Eurosurveillance 2021, 26, 2100221. [Google Scholar] [CrossRef] [PubMed]
- Manti, S.; Giallongo, A.; Parisi, G.F.; Papale, M.; Presti, S.; Lo Bianco, M.; Spicuzza, L.; Leonardi, S. Impact of COVID-19 Pandemic and Lockdown on the Epidemiology of RSV-Mediated Bronchiolitis: Experience from Our Centre. Children 2022, 9, 1723. [Google Scholar] [CrossRef]
- Cohen, R.; Ashman, M.; Taha, M.-K.; Varon, E.; Angoulvant, F.; Levy, C.; Rybak, A.; Ouldali, N.; Guiso, N.; Grimprel, E. Pediatric Infectious Disease Group (GPIP) Position Paper on the Immune Debt of the COVID-19 Pandemic in Childhood, How Can We Fill the Immunity Gap? Infect. Dis. Now 2021, 51, 418–423. [Google Scholar] [CrossRef]
- Öztelcan Gündüz, B.; Kutlutürk, K.; Ünay, B. Rotavirus Infections in the Pediatric Population: A Comparative Study of Pre-COVID and COVID-19 Pandemic Periods. Front. Public Health 2025, 13, 1495848. [Google Scholar] [CrossRef] [PubMed]
- Ruters COVID-19 Tracker for Croatia. Available online: https://www.reuters.com/graphics/world-coronavirus-tracker-and-maps/countries-and-territories/croatia/ (accessed on 17 March 2025).
- Rafeek, R.A.M.; Divarathna, M.V.M.; Morel, A.J.; Noordeen, F. Clinical and Epidemiological Characteristics of Influenza Virus Infection in Hospitalized Children with Acute Respiratory Infections in Sri Lanka. PLoS ONE 2022, 17, e0272415. [Google Scholar] [CrossRef]
- Lenglart, L.; Ouldali, N.; Honeyford, K.; Bognar, Z.; Bressan, S.; Buonsenso, D.; Da Dalt, L.; De, T.; Farrugia, R.; Maconochie, I.K.; et al. Respective Roles of Non-Pharmaceutical Interventions in Bronchiolitis Outbreaks: An Interrupted Time-Series Analysis Based on a Multinational Surveillance System. Eur. Respir. J. 2023, 61, 2201172. [Google Scholar] [CrossRef]





| Pathogen | Abbreviation | 2021 | 2022 | 2023 | 2024 | Total |
|---|---|---|---|---|---|---|
| Viruses | ||||||
| Respiratory syncytial virus | RSV | - | 6 | 26 | 74 | 106 |
| Influenza A | IA | - | 11 | 39 | 24 | 74 |
| SARS-CoV-2 | SARS | 6 | 36 | 4 | 9 | 55 |
| Rotavirus | RV | 4 | 35 | - | 5 | 44 |
| Adenovirus | AV | - | 5 | 22 | 1 | 28 |
| Influenza B | IB | - | - | 11 | 1 | 12 |
| Bacteria | ||||||
| Escherichia coli | EC | 7 | 18 | 23 | 16 | 64 |
| Enterococcus faecalis | EF | 3 | 9 | 3 | 2 | 17 |
| Klebsiella pn. ESBL | KP-E | 3 | 7 | 1 | 5 | 16 |
| Pseudomonas aeruginosa | PA | 1 | 4 | 6 | 2 | 13 |
| Methicillin-resistant Staphylococcus epidermidis | MRSE | 3 | 3 | 2 | 1 | 9 |
| Bordetella bronchiseptica | Bordetella | - | - | - | 6 | 6 |
| Mycoplasma | Mycopl | 1 | - | - | 4 | 5 |
| Strept.pyogenes | SP | 1 | - | 2 | 2 | 5 |
| Pathogen | Abbreviation | Nasopharyngeal | Stool | Blood | Urine |
|---|---|---|---|---|---|
| Viruses | |||||
| Respiratory syncytial virus | RSV | 100 | - | - | - |
| Influenza A + B | IA + IB | 98.2 | 1.1 | - | - |
| SARS-CoV-2 | SARS | 98.9 | - | 1.8 | - |
| Adenovirus | AV | 67.9 | 25 | 3.6 | - |
| Rotavirus | RV | - | 97.7 | - | - |
| Bacteria | |||||
| Escherichia coli | EC | - | - | - | 98.4 |
| Enterococcus faecalis | EF | - | - | 11.8 | 82.4 |
| Klebsiella pn. ESBL | KP-E | - | - | 12.5 | 87.5 |
Disclaimer/Publisher’s Note: The statements, opinions and data contained in all publications are solely those of the individual author(s) and contributor(s) and not of MDPI and/or the editor(s). MDPI and/or the editor(s) disclaim responsibility for any injury to people or property resulting from any ideas, methods, instructions or products referred to in the content. |
© 2025 by the authors. Licensee MDPI, Basel, Switzerland. This article is an open access article distributed under the terms and conditions of the Creative Commons Attribution (CC BY) license (https://creativecommons.org/licenses/by/4.0/).
Share and Cite
Prgomet, S.; Boban, Z.; Prgomet, S.; Boban, N. Epidemiological and Clinical Characteristics of Infections in Hospitalized Children During and After the COVID-19 Pandemic. Viruses 2025, 17, 1296. https://doi.org/10.3390/v17101296
Prgomet S, Boban Z, Prgomet S, Boban N. Epidemiological and Clinical Characteristics of Infections in Hospitalized Children During and After the COVID-19 Pandemic. Viruses. 2025; 17(10):1296. https://doi.org/10.3390/v17101296
Chicago/Turabian StylePrgomet, Sandra, Zvonimir Boban, Sunčica Prgomet, and Nataša Boban. 2025. "Epidemiological and Clinical Characteristics of Infections in Hospitalized Children During and After the COVID-19 Pandemic" Viruses 17, no. 10: 1296. https://doi.org/10.3390/v17101296
APA StylePrgomet, S., Boban, Z., Prgomet, S., & Boban, N. (2025). Epidemiological and Clinical Characteristics of Infections in Hospitalized Children During and After the COVID-19 Pandemic. Viruses, 17(10), 1296. https://doi.org/10.3390/v17101296

