Sign in to use this feature.

Years

Between: -

Subjects

remove_circle_outline
remove_circle_outline
remove_circle_outline
remove_circle_outline
remove_circle_outline
remove_circle_outline
remove_circle_outline
remove_circle_outline
remove_circle_outline

Journals

remove_circle_outline
remove_circle_outline
remove_circle_outline
remove_circle_outline
remove_circle_outline
remove_circle_outline
remove_circle_outline
remove_circle_outline
remove_circle_outline

Article Types

Countries / Regions

remove_circle_outline
remove_circle_outline
remove_circle_outline
remove_circle_outline
remove_circle_outline

Search Results (367)

Search Parameters:
Keywords = non-pharmaceutical interventions

Order results
Result details
Results per page
Select all
Export citation of selected articles as:
30 pages, 6034 KB  
Article
Geographical Variation in SARS-CoV-2 Transmission Potential in Massachusetts
by Ina Sze-Ting Lee, Xinyi Hua, Jing Xiong Kersey, Kayoko Shioda, Gerardo Chowell and Isaac Chun-Hai Fung
Epidemiologia 2026, 7(1), 15; https://doi.org/10.3390/epidemiologia7010015 - 21 Jan 2026
Abstract
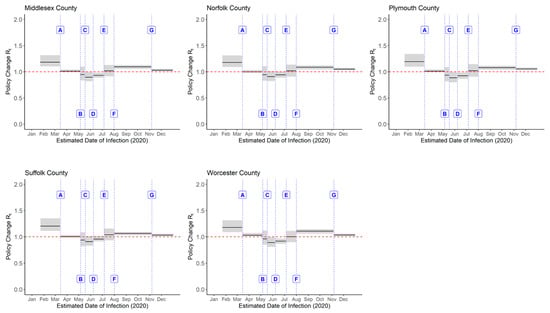
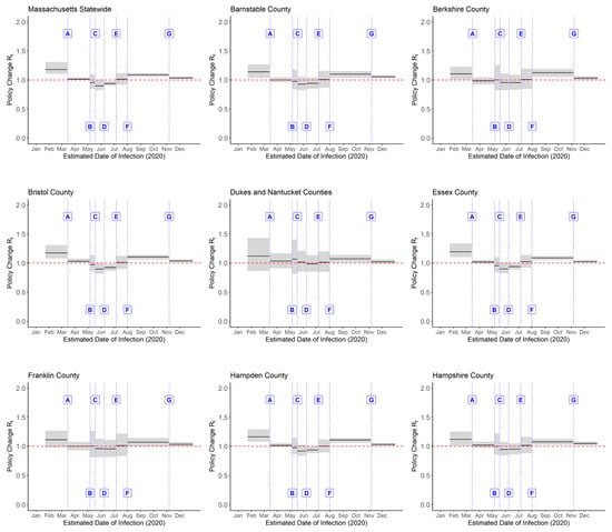
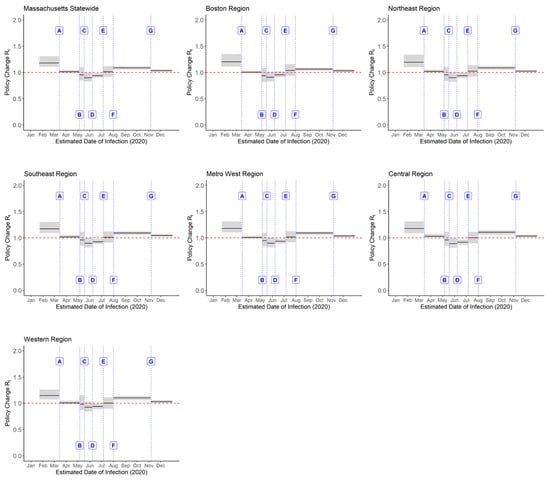
Background/Objectives: This ecological study aimed to investigate changes in the time-varying reproduction number (Rt) of SARS-CoV-2 across six regions of Massachusetts from 2020 to 2022 and to evaluate the impact of various nonpharmaceutical interventions (NPIs) implemented in 2020 by examining associated changes in [...] Read more.
Background/Objectives: This ecological study aimed to investigate changes in the time-varying reproduction number (Rt) of SARS-CoV-2 across six regions of Massachusetts from 2020 to 2022 and to evaluate the impact of various nonpharmaceutical interventions (NPIs) implemented in 2020 by examining associated changes in the Rt. Methods: COVID-19 incident case data from the Johns Hopkins University database were adjusted for reporting delays using deconvolution and for underreporting via a Poisson-distributed multiplier of 4. Negative and zero counts were corrected using imputation. Rt was estimated using R package EpiEstim (Version 2.2-4) with a 7-day sliding window from 2020 to 2022 and with non-overlapping time windows between policy changes in 2020. Results: From 2020 to 2022, Massachusetts experienced five COVID-19 surges, linked to the wild-type strain and emerging variants, with Rt exceeding 1 during each wave and stabilizing at or dropping below 1 during low-incidence phases. School closure and gathering restrictions, the first major intervention, were associated with a 14.7% statewide reduction in Rt (95% credible interval (CrI): −23.6%, −5.6%), with greater reductions in high-density areas such as Boston (−16.9%; 95% CrI: −26.9%, −7.5%). No statistically significant changes in Rt were found to be associated with other NPIs in 2020, including the mask mandate, reopening phases, travel restrictions and quarantine requirements, and curfews. Conclusions: Our findings highlight the different NPIs’ varying impacts on COVID-19 transmission dynamics across regions in Massachusetts in 2020 and underscore the importance of early interventions for future pandemic preparedness. Full article
Show Figures

Figure 1

16 pages, 2739 KB  
Article
Changing Trends of Respiratory Viruses in Hospitalized Children During and After the COVID-19 Emergency Phase in Yongin, South Korea (2020–22 vs. 2023–24)
by Joon-sik Choi, Eun Gyeong Seol, Ji Hyun Lee, Heejung Kim, Kyung Min Choi and Min Jung Kim
Viruses 2026, 18(1), 130; https://doi.org/10.3390/v18010130 - 20 Jan 2026
Abstract
The COVID-19 pandemic and subsequent non-pharmaceutical interventions (NPIs) significantly disrupted the epidemiology of pediatric respiratory viruses. This study compared infection patterns among 3658 hospitalized children in South Korea during the pandemic (2020–2022) and the post-emergency phase (2023–2024), following the relaxation of mandatory NPIs. [...] Read more.
The COVID-19 pandemic and subsequent non-pharmaceutical interventions (NPIs) significantly disrupted the epidemiology of pediatric respiratory viruses. This study compared infection patterns among 3658 hospitalized children in South Korea during the pandemic (2020–2022) and the post-emergency phase (2023–2024), following the relaxation of mandatory NPIs. Of 4419 eligible tests, the most frequently detected viruses overall were rhinovirus/enterovirus (HRV/HEV) (27.9%), influenza (14.5%), and respiratory syncytial virus (RSV, 11.9%). The post-emergency phase was marked by a dramatic surge in influenza virus (IFV), which surged dramatically (5.5% → 28.2%), and a more than two-fold increase in adenovirus (ADV) (5.7% → 12.5%) (p < 0.001). (p < 0.001). Conversely, parainfluenza virus (PIV) detection rates declined significantly (15.4% → 11.3%, p < 0.001). Demographically, post-emergency phase patients were significantly older (mean 4.9 vs. 3.5 years) and experienced a shorter hospital stays (3.2 vs. 4.3 days) (p < 0.001). Crucially, age-specific susceptibility shifts were evident. IFV rebounded across all pediatric ages but spiked severely in school-aged children and adolescents, while HRV/HEV demonstrated a clear proportional shift towards older age groups. These results demonstrate a substantial reconfiguration of the pediatric respiratory landscape, necessitating age-stratified surveillance and flexible public health strategies to mitigate the future infectious disease burden. Full article
Show Figures

Graphical abstract

26 pages, 2484 KB  
Review
Effective Non-Invasive Delivery of Epigenetic Drugs Using Functionalized Accessory Unit Conjugates
by Toshihiko Tashima
Pharmaceutics 2026, 18(1), 115; https://doi.org/10.3390/pharmaceutics18010115 - 15 Jan 2026
Viewed by 248
Abstract
Epigenetics involves heritable changes in gene expression—such as DNA methylation (5-methylcytosine; 5mC), histone modifications, and regulation by non-coding RNAs at the mRNA translation level—without altering the underlying DNA sequence. As targeting these mechanisms enables intervention at the root cause of disease rather than [...] Read more.
Epigenetics involves heritable changes in gene expression—such as DNA methylation (5-methylcytosine; 5mC), histone modifications, and regulation by non-coding RNAs at the mRNA translation level—without altering the underlying DNA sequence. As targeting these mechanisms enables intervention at the root cause of disease rather than the symptoms alone, epigenetics has become a rapidly advancing field in pharmaceutical sciences. Various epigenetic modulators, including histone deacetylase (HDAC) inhibitors, histone acetyltransferase (HAT) inhibitors, DNA methyltransferase (DNMT) inhibitors, and microRNAs (miRNAs), have been developed, and some have already been approved for cancer therapy. However, these agents often face significant challenges such as poor membrane permeability, enzymatic instability, and suboptimal biodistribution. Incorporating functionalized accessory units—serving as vectors (e.g., transporter recognition units, cell-penetrating peptides, tumor-homing peptides, monoclonal antibodies) or as carriers (e.g., monoclonal antibodies, nanoparticles)—into epigenetic modulators may help overcome these delivery barriers. In this narrative review, I discuss the potential and advantages of effective non-invasive delivery of epigenetic drugs using such functionalized accessory unit conjugates. Full article
(This article belongs to the Special Issue Development and Drug Delivery in Epigenetic Therapy)
Show Figures

Figure 1

13 pages, 1425 KB  
Article
A One-Year Wastewater-Based Surveillance Study of the Main Human Respiratory Viruses in a Middle-Size Spanish City During the COVID-19 Pandemic Period
by Lorena Casado-Martín, Marta Hernández, María José González-Peña, Mariana Alves-Elois, Nadine Yeramian, Gislaine Fongaro, José María Eiros and David Rodríguez-Lázaro
Microorganisms 2026, 14(1), 151; https://doi.org/10.3390/microorganisms14010151 - 9 Jan 2026
Viewed by 189
Abstract
Respiratory infections are a major public health threat. Significant global mortality is caused by influenza viruses, the new SARS-CoV-2 virus, and the Respiratory Syncytial Viruses (RSVs). Wastewater-based epidemiology (WBE) has recently emerged as a valuable tool for monitoring these pathogens, providing insights into [...] Read more.
Respiratory infections are a major public health threat. Significant global mortality is caused by influenza viruses, the new SARS-CoV-2 virus, and the Respiratory Syncytial Viruses (RSVs). Wastewater-based epidemiology (WBE) has recently emerged as a valuable tool for monitoring these pathogens, providing insights into their evolution, transmission patterns, and co-circulation within populations. This study aimed to track influenza viruses (A and B), the new SARS-CoV-2 virus, and the Respiratory Syncytial Viruses (RSVs) (type A and B) during the pandemic period (from October 2020 to October 2021) in a middle-size Spanish city (Valladolid) and its surrounding areas. Viral concentration was performed using an aluminum-based precipitation method, followed by RNA extraction and RT-qPCR quantification targeting the N1 and N2 regions of the SARS-CoV-2 nucleocapsid gene, the N gene for both RSV-A and RSV-B, and the M and non-structural protein genes for influenza A and B, respectively. The results demonstrated the utility of WBE in predicting increases in clinical cases of SARS-CoV-2, as evidenced by a high correlation (r > 0.5). For RSV-A, the findings aligned with previous studies. Interestingly, particularly considering the length and period of analysis, influenza A, influenza B, and RSV-B viruses were not observed during the study period. In addition, the prevalence of RSV-A decreased during the SARS-CoV-2 pandemic, likely due to the implementation of non-pharmaceutical interventions. In conclusion, this study reaffirms that WBE provides critical epidemiological insights, complements clinical surveillance, and supports public health authorities in making informed and timely decisions. Full article
(This article belongs to the Special Issue Surveillance of Health-Relevant Pathogens Employing Wastewater)
Show Figures

Figure 1

16 pages, 834 KB  
Article
A Game-Theoretic Analysis of COVID-19 Dynamics with Self-Isolation and Vaccination Behavior
by Folashade B. Agusto, Igor V. Erovenko and Gleb Gribovskii
Algorithms 2026, 19(1), 58; https://doi.org/10.3390/a19010058 - 9 Jan 2026
Viewed by 174
Abstract
Standard epidemiological models often treat human behavior as static, failing to capture the dynamic feedback loops that shape epidemic waves. To address this, we developed a compartmental model of COVID-19 that couples the disease dynamics with two co-evolving behavioral games governed by imitation [...] Read more.
Standard epidemiological models often treat human behavior as static, failing to capture the dynamic feedback loops that shape epidemic waves. To address this, we developed a compartmental model of COVID-19 that couples the disease dynamics with two co-evolving behavioral games governed by imitation dynamics: an altruistic self-isolation game for infected individuals and a self-interested vaccination game for susceptible individuals. Our simulations reveal a fundamental behavioral paradox: strong adherence to self-isolation, while effective at reducing peak infections, diminishes the perceived risk of disease, thereby undermining the incentive to vaccinate. This dynamic highlights a critical trade-off between managing acute crises through non-pharmaceutical interventions and achieving long-term population immunity. We conclude that vaccination has a powerful stabilizing effect that can prevent the recurrent waves often driven by behavioral responses to non-pharmaceutical interventions. Public health policy must therefore navigate the tension between encouraging short-term mitigation behaviors and communicating the long-term benefits of vaccination to ensure lasting population resilience. Full article
Show Figures

Figure 1

55 pages, 2337 KB  
Review
Elements of Viral Outbreak Preparedness: Lessons, Strategies, and Future Directions
by Ibrahim Ahmed Hamza, Kang Mao, Chen Gao, Hazem Hamza and Hua Zhang
Viruses 2026, 18(1), 50; https://doi.org/10.3390/v18010050 - 29 Dec 2025
Viewed by 999
Abstract
Emerging and re-emerging viruses continue to pose major threats to public health. Their ability to adapt, cross species barriers, and spread rapidly can trigger severe outbreaks or even pandemics. Strengthening preparedness with comprehensive and efficient strategies is therefore essential. Here, we explore the [...] Read more.
Emerging and re-emerging viruses continue to pose major threats to public health. Their ability to adapt, cross species barriers, and spread rapidly can trigger severe outbreaks or even pandemics. Strengthening preparedness with comprehensive and efficient strategies is therefore essential. Here, we explore the key components of viral outbreak preparedness, including surveillance systems, diagnostic capacity, prevention and control measures, non-pharmaceutical interventions, antiviral therapeutics, and research and development. We emphasize the increasing importance of genomic surveillance, wastewater-based surveillance, real-time data sharing, and the One Health approach to better anticipate zoonotic spillovers. Current challenges and future directions are also discussed. Effective preparedness requires transparent risk communication and equitable access to diagnostics, vaccines, and therapeutics. The COVID-19 pandemic highlighted both the promise of next-generation vaccine platforms and the necessity of maintaining diagnostic capacity, as early testing delays hindered containment efforts. Countries adopted various non-pharmaceutical interventions: risk communication and social distancing proved to be the most effective, while combined workplace infection-prevention measures outperformed single strategies. These experiences highlight the importance of early detection, rapid response, and multisectoral collaboration in mitigating the impact of viral outbreaks. By applying best practices and lessons learned from recent events, global health systems can strengthen resilience and improve readiness for future viral threats. Full article
Show Figures

Figure 1

22 pages, 502 KB  
Systematic Review
Consumer Perspectives on Antibiotic-Free Animal Products: A Systematic Review Identifying Critical Gaps in Non-Pharmaceutical Intervention Research
by Syed Ayaz Hussain, Syed Raza Abbas and Seung Won Lee
Animals 2026, 16(1), 70; https://doi.org/10.3390/ani16010070 - 26 Dec 2025
Viewed by 315
Abstract
Background: The global livestock industry faces pressure to reduce antimicrobial usage while maintaining animal health and productivity. Non-pharmaceutical interventions (NPIs) including probiotics, prebiotics, phytogenics, essential oils, organic acids, and enzymes have emerged as alternatives to antibiotic growth promoters. Commercial success depends on [...] Read more.
Background: The global livestock industry faces pressure to reduce antimicrobial usage while maintaining animal health and productivity. Non-pharmaceutical interventions (NPIs) including probiotics, prebiotics, phytogenics, essential oils, organic acids, and enzymes have emerged as alternatives to antibiotic growth promoters. Commercial success depends on consumer acceptance and willingness to pay (WTP) for products from animals raised using these approaches. Objective: This systematic review synthesized peer-reviewed literature examining consumer knowledge, attitudes, perceptions, and WTP toward animal products produced using NPIs or marketed as antibiotic-free (ABF) to identify a critical gap in existing research. Methods: Following PRISMA 2020 guidelines, four databases (PubMed, Web of Science, Scopus, and Google Scholar) were searched for peer-reviewed studies published from January 2020 to December 2024. Inclusion criteria encompassed original research examining consumer perspectives toward NPIs or antibiotic-free (ABF) animal products. Narrative synthesis was employed due to study heterogeneity. Results: From 847 records, 15 studies met inclusion criteria. A critical finding was that virtually no peer-reviewed research directly examines consumer perceptions of specific NPIs such as probiotics, prebiotics, phytogenics, organic acids, or enzymes as feed additives. The included studies predominantly examined ABF production generally (60%) without specifying alternatives employed. Europe accounted for 80% of studies, while Asia accounted for 20%. Consumer awareness of agricultural antibiotic use was consistently low across contexts. Attitudes toward ABF products were favorable with one study reporting WTP premiums of 18–20%. Health consciousness was the strongest predictor of acceptance. Conclusions: The review highlights that while substantial literature exists on ABF products, no studies examine consumer perceptions of specific non-pharmaceutical interventions. Future research should investigate consumer responses to intervention specific labeling and communication strategies. Full article
(This article belongs to the Section Animal System and Management)
Show Figures

Figure 1

15 pages, 1476 KB  
Article
Genotypic Diversity of Human Rhinovirus in Children with Pneumonia Before and During the COVID-19 Pandemic in Mexico
by Janet Sánchez-Ramos, Miguel Leonardo García-León, Patricia Bautista-Carbajal, Luis Alfonso Salazar-Soto, Daniel E. Noyola, María Susana Juárez-Tobías, Pedro Antonio Martínez-Arce, María Del Carmen Espinosa-Sotero, Verónica Tabla-Orozco, Gerardo Martínez-Aguilar, Fabian Rojas-Larios, Izveidy Mondragón-Salinas and Rosa María Wong-Chew
Pathogens 2025, 14(12), 1236; https://doi.org/10.3390/pathogens14121236 - 4 Dec 2025
Viewed by 426
Abstract
Human rhinovirus (HRV) is one of the most common viral causes of respiratory tract infections worldwide. The COVID-19 pandemic and non-pharmaceutical interventions significantly altered the epidemiology of respiratory viruses. This study compared HRV genotypic diversity in Mexican children with pneumonia before and during [...] Read more.
Human rhinovirus (HRV) is one of the most common viral causes of respiratory tract infections worldwide. The COVID-19 pandemic and non-pharmaceutical interventions significantly altered the epidemiology of respiratory viruses. This study compared HRV genotypic diversity in Mexican children with pneumonia before and during the pandemic. A total of 1983 children with pneumonia were included: 1404 pre-pandemic (2010–2013) and 579 pandemic (2021–2023). Multiplex RT-PCR was used for HRV detection. Genotyping was conducted on 136 samples with Ct < 30 by sequencing the VP4/VP2 region. Species and genotype assignments were validated using BLAST and maximum-likelihood phylogenetic analysis (MEGA XII). HRV positivity increased from 16% (233/1404) before the pandemic to 60.4% (350/579) during the pandemic period. HRV-A and HRV-C predominated in both periods; HRV-C infection was significantly associated with severe pneumonia in the pre-pandemic period (OR 3.520; p = 0.012), but this association was not observed during the pandemic. A total of 72 genotypes were identified without a dominant type in either period. HRV circulation patterns shifted in the context of the COVID-19 pandemic, with a marked increase in prevalence. The high genotypic diversity observed across both periods underscores the importance of continuous molecular surveillance to better understand HRV circulation and its clinical relevance. Full article
Show Figures

Figure 1

24 pages, 3190 KB  
Article
Ga-68-Labeled Affibody Molecule-Based Radiopharmaceutical Targeting Platelet Derived Growth Factor Receptor Beta for Detection of Active Fibrosis in Patients with Myocardial Infarction
by Irina Velikyan, Karl-Henrik Grinnemo, Viktor Flodin, Stefan James, Ulrika Thelander, Michael Wagner, Sergey Rodin, Tanja Kero, Olle Korsgren and Olof Eriksson
Pharmaceuticals 2025, 18(12), 1833; https://doi.org/10.3390/ph18121833 - 1 Dec 2025
Viewed by 528
Abstract
Introduction: Platelet-derived growth factor receptor beta (PDGFRβ) is a key regulator of fibrogenesis. Non-invasive imaging of PDGFRβ expression may offer a novel approach to assess fibrotic remodeling, particularly in cardiac patients’ post-intervention, where fibrosis poses clinical risk. This study presents the GMP-compliant [...] Read more.
Introduction: Platelet-derived growth factor receptor beta (PDGFRβ) is a key regulator of fibrogenesis. Non-invasive imaging of PDGFRβ expression may offer a novel approach to assess fibrotic remodeling, particularly in cardiac patients’ post-intervention, where fibrosis poses clinical risk. This study presents the GMP-compliant production of a novel PDGFRβ-targeted PET radiopharmaceutical, [68Ga]Ga-DOTA-Z09591 ([68Ga]Ga-ATH001), and its preclinical evaluation in mouse and human myocardial tissue, along with initial clinical imaging in patients with ST-elevation myocardial infarction (STEMI). Methods: The precursor was chemically synthesized and radiolabeled with gallium-68 using a fully automated, GMP-compatible system and a pharmaceutical-grade 68Ge/68Ga generator. Autoradiography, H&E, Sirius Red, Masson’s trichrome, and IHC staining were performed on infarcted mouse hearts and human myocardial biopsies. In vivo PET/MRI with [68Ga]Ga-ATH001, 15O-H2O, and gadolinium contrast was conducted in STEMI patients one week post-percutaneous coronary intervention. Results: [68Ga]Ga-ATH001 was produced with high radiochemical yield and purity. Autoradiography demonstrated specific, receptor-mediated binding of [68Ga]Ga-ATH001, co-localizing with PDGFRβ immunoreactivity, collagen deposition, and tissue damage. In STEMI patients, focal tracer uptake was observed in infarcted myocardium correlating with MRI-detected structural abnormalities and perfusion defects on 15O-H2O PET. Uptake in unaffected myocardium was low and homogeneous, consistent with minimal physiological PDGFRβ expression. Conclusions: [68Ga]Ga-ATH001 was successfully developed and validated for phase 0 clinical study. The tracer demonstrated PDGFRβ-specific binding in human fibrotic myocardium and enabled non-invasive detection of myocardial fibrogenic activity in STEMI patients. These findings support further clinical evaluation of [68Ga]Ga-ATH001 as a targeted molecular imaging agent for early assessment of post-infarction fibrosis. Full article
(This article belongs to the Section Radiopharmaceutical Sciences)
Show Figures

Graphical abstract

18 pages, 2373 KB  
Article
Changing Epidemiology of Influenza Infections Among Children in the Post-Pandemic Period: A Case Study in Xi’an, China
by Zeyao Zhao, Ning Lan, Yang Chen, Juan Yang, Jing Bai and Jifeng Liu
Vaccines 2025, 13(12), 1214; https://doi.org/10.3390/vaccines13121214 - 30 Nov 2025
Viewed by 1755
Abstract
Background: The epidemiology of influenza was disrupted during the COVID-19 pandemic. Following the relaxation of non-pharmaceutical interventions, influenza viruses have re-emerged and caused epidemics with shifts in age distribution and seasonality. This study aimed to characterise the post-pandemic epidemiology of influenza infections among [...] Read more.
Background: The epidemiology of influenza was disrupted during the COVID-19 pandemic. Following the relaxation of non-pharmaceutical interventions, influenza viruses have re-emerged and caused epidemics with shifts in age distribution and seasonality. This study aimed to characterise the post-pandemic epidemiology of influenza infections among children in Xi’an, China. Methods: A retrospective analysis of laboratory-confirmed paediatric influenza cases spanning three periods [pre-pandemic (1 January 2010–22 January 2020), intra-pandemic (23 January 2020–8 January 2023), and post-pandemic (9 January 2023–31 August 2025)] was conducted. Age-specific incidences were determined by subtypes (lineage) and compared across periods. Seasonal parameters were estimated using a generalised linear model with harmonic terms. Associations between influenza infection and risk of co-detection with other respiratory pathogens were assessed using logistic regression models. Results: Influenza peak activity in the post-pandemic period was 10-fold higher than in the intra-pandemic period. The mean age of infected children increased by 1.4 years (95% CI: 1.2–1.7), shifting towards school-aged children (6–17 years). The seasonal pattern re-established with an earlier peak (13.9 weeks earlier than the pre-pandemic period, 95% CI: 10.4–15.2) and increased amplitude (10-fold and 4-fold higher than the intra- and pre-pandemic periods, respectively). It was observed that A(H1N1)pdm09 positivity was elevated in preschool and school-aged children, whereas B/Victoria infections showed renewed susceptibility among infants [0–5 months vs. 6–35 months vs. 3–5 years vs. 6–17 years: 11.0% (95% CI: 5.1–19.8) vs. 2.8% (1.9–4.0) vs. 4.0% (3.2–5.0) vs. 5.2% (4.5–6.0); p = 0.00014]. Influenza infection was associated with higher risk of bacterial co-detection with Streptococcus pneumoniae (aOR = 1.52, 95% CI: 1.22–1.91) and Haemophilus influenzae (aOR = 1.46, 95% CI: 1.19–1.80), but lower risk of co-detection with SARS-CoV-2 (aOR = 0.52, 95% CI: 0.27–0.99), RSV (aOR = 0.29, 95% CI: 0.11–0.79), and parainfluenza viruses (aOR = 0.16, 95% CI: 0.04–0.65). Conclusions: The post-pandemic landscape of paediatric influenza in Xi’an has undergone substantial reconfiguration, characterised by intensified activity, altered seasonality, and a marked shift in age distribution. The increased bacterial co-detection points out the potential for more severe respiratory co-infections. These findings highlight the importance of optimising vaccination timing and prompting school-aged-children-targeted immunisation programmes in the post-pandemic era. Full article
(This article belongs to the Special Issue Vaccines and Vaccinations During and After the Pandemic Period)
Show Figures

Figure 1

15 pages, 236 KB  
Article
Immersive, Open-World Virtual Reality for Dementia Care: NeuroVRX Pilot Study
by Martin Eckert, Thomas Ostermann, Jan Peter Ehlers and Gregor Hohenberg
J. Clin. Med. 2025, 14(23), 8465; https://doi.org/10.3390/jcm14238465 - 28 Nov 2025
Viewed by 580
Abstract
Background: The increasing prevalence of Alzheimer’s disease and related dementia are a global problem generating social and economic burdens. Cognitive Stimulation Therapy is a non-pharmaceutical aid for people with dementia. In this context, digital and virtual reality approaches are underinvestigated, especially with [...] Read more.
Background: The increasing prevalence of Alzheimer’s disease and related dementia are a global problem generating social and economic burdens. Cognitive Stimulation Therapy is a non-pharmaceutical aid for people with dementia. In this context, digital and virtual reality approaches are underinvestigated, especially with respect to explorable open-world environments. The pilot aims to evaluate the feasibility, acceptability, and safety of an immersive, open-world virtual reality application for people with dementia. Methods: We conducted a single-arm, unrandomised study with three male participants diagnosed with dementia. The intervention consisted of a single virtual reality session in an immersive, open-world environment, where participants were able to explore freely while seated, using arm movements and head control to navigate an avatar. Results: All three participants finished the session without the occurrence of adverse events. The mean session time was 28 min, and the average walking distance was 0.9 km, with 1210 steps on average. Questionnaire results indicate acceptance and a positive attitude toward the usability of the intervention. We measured minimal changes in mood. Anecdotal reports indicate high immersion and autobiographical stimulation. We detected no adverse events or occurrences of cybersickness. Conclusions: Immersive, open-world virtual reality proved to be feasible, safe, and well accepted by the participants. The combination of state-of-the-art hardware and exploration-based software design enabled cognitive and motoric stimulation. The results indicate strong feasibility for the application of exploratory three dimensional virtual reality applications and further support the execution of controlled trials to assess therapeutic outcomes. Full article
(This article belongs to the Special Issue Clinical Therapy in Dementia and Related Diseases)
14 pages, 1162 KB  
Article
A New Breath: Dynamics of Respiratory Infections After the Lifting of Non-Pharmaceutical Interventions Related to COVID-19
by Rouba Keyrouz, Bassem Habr, Marianne Antar Soutou, Sirine Abou Ismail, Marianne Abifadel, Josette Najjar-Pellet, Bernard Gerbaka and Elie Haddad
Microorganisms 2025, 13(12), 2710; https://doi.org/10.3390/microorganisms13122710 - 27 Nov 2025
Viewed by 758
Abstract
The epidemiology of respiratory viruses shifted considerably following the COVID-19 pandemic and the subsequent rollback of non-pharmaceutical interventions (NPIs). The initial global containment strategies implemented during the SARS-CoV-2 outbreak profoundly altered viral transmission dynamics and circulation patterns. As the World Health Organization (WHO) [...] Read more.
The epidemiology of respiratory viruses shifted considerably following the COVID-19 pandemic and the subsequent rollback of non-pharmaceutical interventions (NPIs). The initial global containment strategies implemented during the SARS-CoV-2 outbreak profoundly altered viral transmission dynamics and circulation patterns. As the World Health Organization (WHO) declared COVID-19 no longer a public health emergency in May 2023, viral circulation began reverting to pre-pandemic trends. This retrospective observational study examined the evolving epidemiological patterns of respiratory infections during and after the lifting of NPI, assessing associated clinical manifestations and their relationship with patient-specific risk factors. Data were collected from 307 patients tested between October 2021 and December 2024 using a respiratory multiplex PCR at the Rodolphe Mérieux Laboratory in Lebanon. Results revealed a reemergence of pre-pandemic seasonal trends for most viruses. Rhinovirus remained the most prevalent pathogen, likely due to the absence of a vaccine. Respiratory syncytial virus (RSV) and Influenza A resumed their characteristic winter peaks, while human metapneumovirus (HMPV) showed no co-infections, suggesting viral interference. The persistence of Influenza A and SARS-CoV-2 appeared influenced by vaccine coverage, viral mutations, and environmental factors. Multiplex PCR testing proved to be a valuable yet costly tool for both diagnosis and epidemiological surveillance. Overall, this study highlights the importance of continued viral monitoring in the post-NPI period, reflecting both the effectiveness of NPIs in limiting viral spread and the importance of ensuring wider access to advanced diagnostic methods. Full article
Show Figures

Figure 1

9 pages, 339 KB  
Article
Effects of Various Local Antibacterial Preparations on Bacterial Density in Pharyngeal and Tonsillar Mucosa of Patients with Acute Pharyngitis
by Aigars Reinis, Guna Dansone, Līga Balode, Sandra Gintere, Andrejs Tolstiks, Katrīna Verbovenko, Oļegs Zašibajevs and Taira Safina
Medicina 2025, 61(12), 2100; https://doi.org/10.3390/medicina61122100 - 25 Nov 2025
Viewed by 627
Abstract
Background and Objectives: Upper respiratory tract infections are one of the most common reasons for outpatient admission. Acute pharyngitis is typically caused by viruses and is self-limiting but in up to 30% of cases, secondary bacterial infection may occur, requiring antibacterial treatment. [...] Read more.
Background and Objectives: Upper respiratory tract infections are one of the most common reasons for outpatient admission. Acute pharyngitis is typically caused by viruses and is self-limiting but in up to 30% of cases, secondary bacterial infection may occur, requiring antibacterial treatment. In the face of growing antibacterial resistance due to inappropriate systemic antibiotic use, different topical therapy would have benefits. The objective of this study was to compare changes in throat and tonsillar mucous membrane bacterial density in patients with acute pharyngitis after a single exposure to a local antibacterial agent presented in different pharmaceutical forms—medicated lozenge, throat spray, or a solution for gargling. Materials and Methods: This was a non-interventional observational study that involved 90 adult outpatients with acute pharyngitis. Patients were prescribed to one of three options: medicated lozenges (containing dequalinium chloride and cinchocaine hydrochloride)—Treatment A; throat spray (containing streptocide soluble and norsulfazol-sodium)—Treatment B; or a powder, Furasol® 100 mg (containing furagin soluble), for use as an external gargling solution—Treatment C. Throat swab culture was collected before and 20 min after the single exposure to the medication. Microbial testing was performed using a semi-quantitative quadrant streak plate method to assess bacterial density before and after exposure. Results: Four pathogenic agents were isolated from the swabs, with Staphylococcus aureus being the most prevalent. Overall, a reduction in post-exposure bacterial growth intensity was observed in 84.6% of the samples after Treatment C exposure, with a statistically significant difference from both Treatment B (57.1%, p < 0.05) and Treatment A (10%, p < 0.05). The difference was also significant between Treatment A and Treatment B. Conclusions: The findings showed that the throat gargling solution had more impact on mucous bacterial load compared to the throat spray and medicated lozenges in the patients with acute pharyngitis. Further research should address the effects of different pharmaceutical forms of the same antibacterial agent, where available. Full article
(This article belongs to the Section Infectious Disease)
Show Figures

Figure 1

17 pages, 1458 KB  
Systematic Review
Impact of Probiotics on Atopic Dermatitis in Pediatric Patients: A Systematic Review and Meta-Analysis
by Ritu Gaikwad, Soham Kondle, Sean Chang, Chris Barnes, Rohan Kubba, Christopher Lane, Snigdha Uppu and Eldo Frezza
Medicina 2025, 61(12), 2090; https://doi.org/10.3390/medicina61122090 - 24 Nov 2025
Viewed by 2643
Abstract
Background and Objectives: Atopic dermatitis (AD) is a chronic inflammatory skin disorder primarily affecting children, driven by genetic, immunologic, and environmental factors. Emerging evidence links gut microbiota alterations to immune modulation and AD severity. Probiotics, live microorganisms providing health benefits when consumed [...] Read more.
Background and Objectives: Atopic dermatitis (AD) is a chronic inflammatory skin disorder primarily affecting children, driven by genetic, immunologic, and environmental factors. Emerging evidence links gut microbiota alterations to immune modulation and AD severity. Probiotics, live microorganisms providing health benefits when consumed in adequate amounts, have been proposed as a potential adjunctive therapy. This review evaluates the efficacy of various probiotic treatments in reducing SCORAD indices and symptoms in children with AD, and its effects on immunologic markers such as IgE. Materials and Methods: Through a systematic literature review of multiple electronic databases through 9 October 2024, we identified randomized controlled trials (RCTs) in pediatric patients with an established diagnosis of atopic dermatitis. Our search strategy was as follows: “((atopy) OR (dermatitis) OR (hypersensitivity)) AND pediatric AND probiotic” yielding 25 total studies. Patients were treated with either a probiotic regimen or placebo and assessed for levels of IgE and SCORAD indices. Results: Of 25 studies extracted, 14 RCTs evaluated the effects of probiotics on atopic dermatitis using SCORAD scores. Eleven showed significant reductions in SCORAD indices. Pooled analysis using a random-effects model (Hedges’ g ≈ 0.65, p < 0.05) indicated a moderate to large improvement in AD severity with probiotic therapy. However, heterogeneity in probiotic strains, intervention duration, and limited sample sizes are limitations that warrant further investigation. Secondary analysis of IgE changes showed a non-significant effect (g ≈ 0.15, p = 0.13), possibly due to short study durations (mean 12 weeks). Conclusions: Probiotics demonstrate a moderate to large clinical impact in reducing SCORAD indices among children with atopic dermatitis. These findings highlight their potential as a future adjunctive, non-pharmaceutical therapy for the roughly 9.6 million pediatric patients affected in the United States. Further studies are needed to clarify strain-specific effects and patient factors influencing response. Full article
(This article belongs to the Special Issue Research on Allergy, Asthma, and Clinical Immunology)
Show Figures

Figure 1

10 pages, 318 KB  
Article
The Clinical Effects of School Group Sandplay Therapy (SGST) on Anxiety/Depression, Somatic Symptoms, Social Immaturity, and Rule-Breaking Behavior in Children at Risk for ADHD
by Hyo-Seong Han, You-Shin Yi, Myeong-Bok Lee, Heajin Shin, Youngil Lee, Chang Min Lee, Young Lim Lee and Myung Ho Lim
Children 2025, 12(12), 1592; https://doi.org/10.3390/children12121592 - 24 Nov 2025
Viewed by 780
Abstract
Objectives: Attention-Deficit/Hyperactivity Disorder (ADHD) in children is a developmental disorder that has been rapidly increasing worldwide. Its core symptoms, which include inattention, impulsivity, and hyperactivity, are often accompanied by emotional and behavioral problems such as depression and aggression. These factors can significantly [...] Read more.
Objectives: Attention-Deficit/Hyperactivity Disorder (ADHD) in children is a developmental disorder that has been rapidly increasing worldwide. Its core symptoms, which include inattention, impulsivity, and hyperactivity, are often accompanied by emotional and behavioral problems such as depression and aggression. These factors can significantly impair a child’s development and functioning, making effective therapeutic intervention essential. This non-randomized controlled trial with parallel-group design examined the intervention effects of a 10-week school group sandplay therapy (SGST) program on internalizing and externalizing problems in children at risk for ADHD. Methods: This non-randomized controlled trial involved 101 fifth- and sixth-grade students (ages 11–12) from an elementary school in a mixed urban–rural area. Participants were divided into a control group (n = 47) and an intervention group (n = 54). The intervention group participated in a 10-session SGST program held once a week, while the control group received no intervention. The Korean Youth Self-Report (K-YSR) was used to evaluate the effects of the intervention, and a Repeated Measures ANOVA (RM-ANOVA) was conducted to analyze the program’s effectiveness. Results: The results revealed significant interaction effects between group and time in the SGST intervention group for several K-YSR subscales. The intervention group showed statistically significant differences in the areas of anxiety/depression (p < 0.04; η2 = 0.043), somatic symptoms (p < 0.04; η2 = 0.040), social immaturity (p < 0.01; η2 = 0.061), and rule-breaking behavior (p < 0.04; η2 = 0.044). Conclusions: SGST was found to be associated with improving not only internalizing problems like anxiety/depression, somatic symptoms in children at risk for ADHD but also externalizing problem like rule-breaking behavior and social problem like social immaturity. These findings demonstrate that school sand play therapy can be used as a non-pharmaceutical intervention for school-age children at risk of ADHD, and suggest that it can also be useful in an educational context. Full article
Show Figures

Figure 1

Back to TopTop