Fatty Acids Composition and HIV Infection: Altered Levels of n-6 Polyunsaturated Fatty Acids Are Associated with Disease Progression
Abstract
1. Introduction
2. Materials and Methods
2.1. Patients and Controls
2.2. Blood Sampling Protocol and Routine Analyses
2.3. Measurements of Plasma Levels of FAs
2.4. Peripheral Blood Mononuclear Cells (PBMC) Culture
2.5. Bone Marrow Mononuclear Cells (BMMC) Culture
2.6. Analysis of Circulating Lipopolysaccharide (LPS)
2.7. Enzyme Immunoassays (EIAs)
2.8. Statistical Analysis
3. Results
3.1. Cross-Sectional Study
3.1.1. Plasma Levels of FAs in Untreated HIV-Infected Patients and Controls
3.1.2. n-6 PUFA Pattern in HIV-Infected Patients
3.1.3. Relation between ω-6 PUFAs and HIV RNA, CD4 T Cell Counts, Inflammatory Cytokines and Endotoxin Levels
3.2. Longitudinal Study: n-6 PUFAs in Rapid Progressors and Long-Term Non-Progressors
3.3. ART Study: Plasma Levels of n-6 PUFAs during ART
3.4. MAC Study
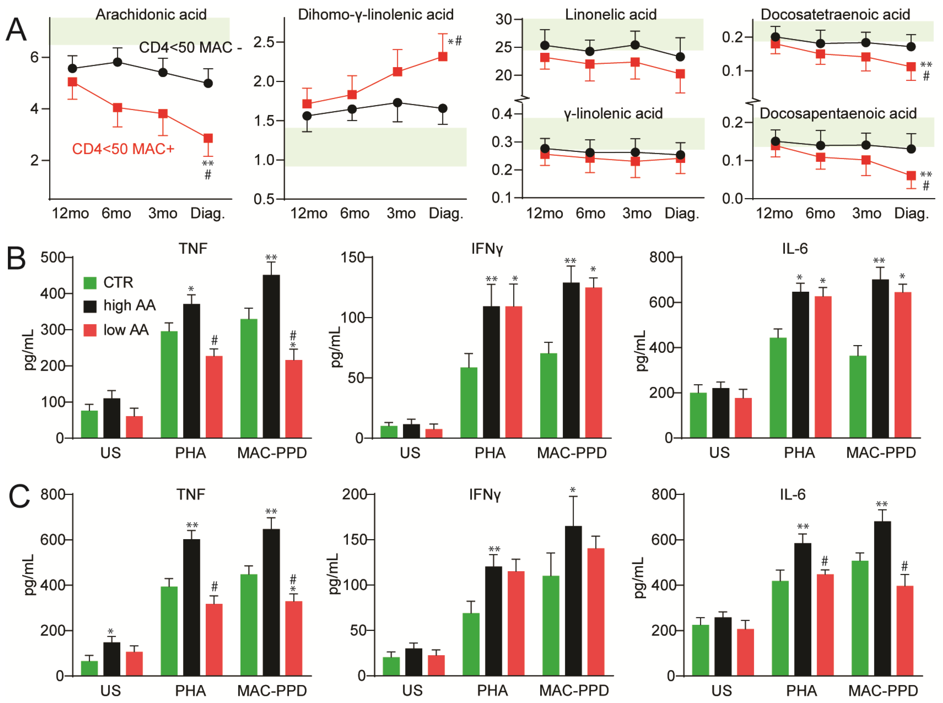
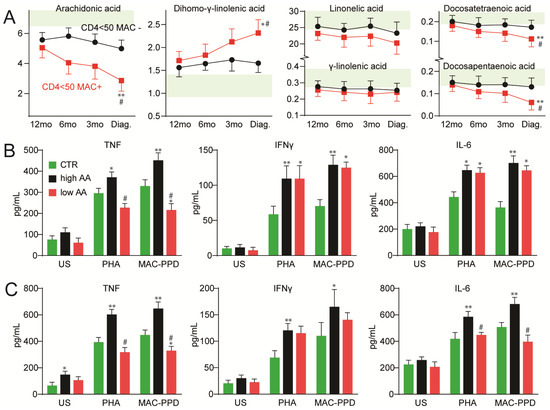
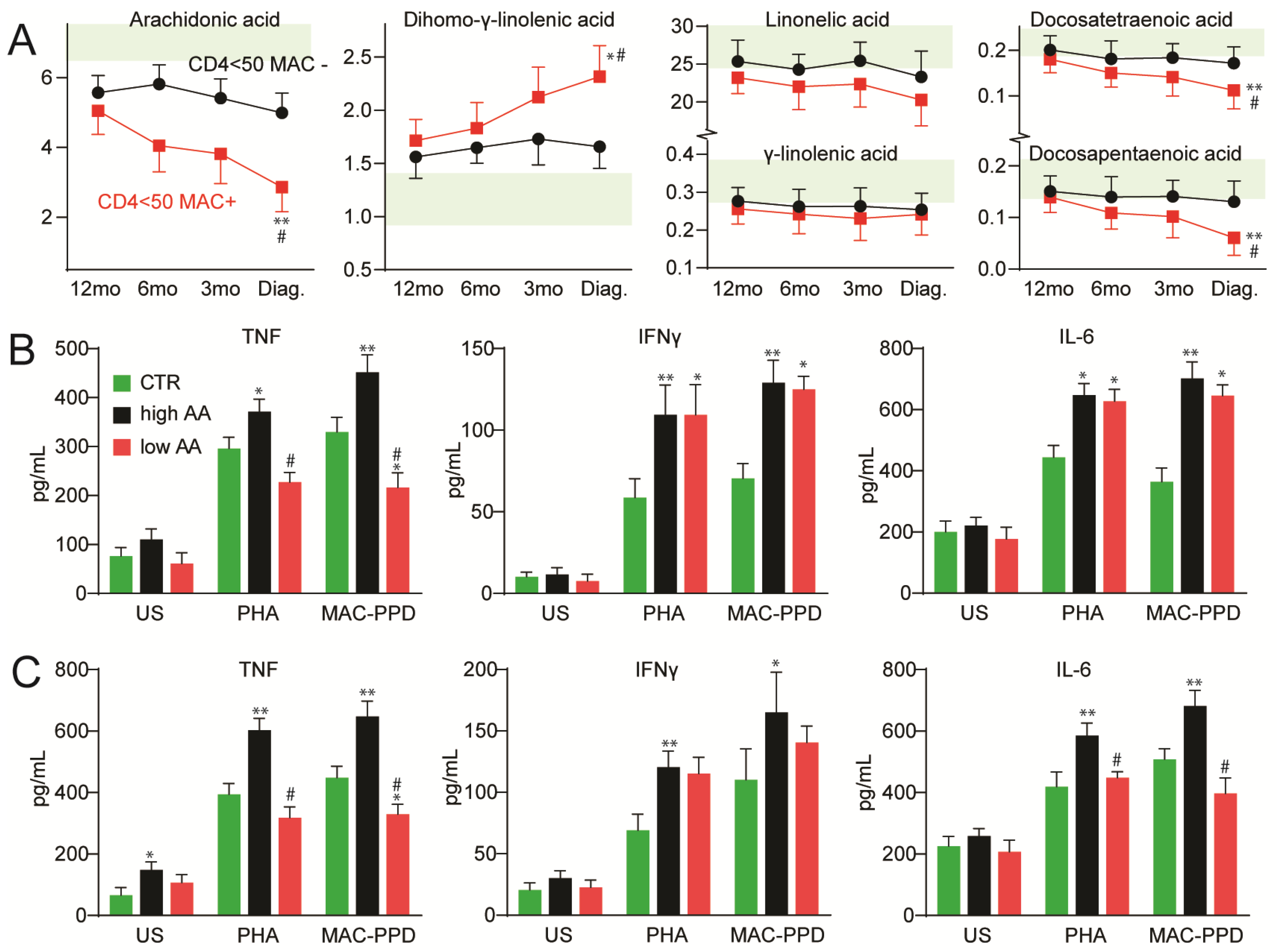
3.4.1. Plasma Levels of n-6 PUFAs in Patients Acquiring MAC Infection
3.4.2. Cytokine Production in PBMCs from HIV-Infected Patients with Either High or Low Plasma Levels of AA
4. Discussion
5. Conclusions
Author Contributions
Funding
Institutional Review Board Statement
Informed Consent Statement
Data Availability Statement
Acknowledgments
Conflicts of Interest
References
- Lake, J.E.; Currier, J.S. Metabolic disease in HIV infection. Lancet Infect. Dis. 2013, 13, 964–975. [Google Scholar] [CrossRef]
- Stanley, T.L.; Grinspoon, S.K. Body composition and metabolic changes in HIV-infected patients. J. Infect. Dis. 2012, 205 (Suppl. 3), S383–S390. [Google Scholar] [CrossRef]
- Klatt, N.R.; Funderburg, N.T.; Brenchley, J.M. Microbial translocation, immune activation, and HIV disease. Trends Microbiol. 2013, 21, 6–13. [Google Scholar] [CrossRef]
- Koethe, J.R.; Hulgan, T.; Niswender, K. Adipose tissue and immune function: A review of evidence relevant to HIV infection. J. Infect. Dis. 2013, 208, 1194–1201. [Google Scholar] [CrossRef]
- Kidani, Y.; Bensinger, S.J. Liver X receptor and peroxisome proliferator-activated receptor as integrators of lipid homeostasis and immunity. Immunol. Rev. 2012, 249, 72–83. [Google Scholar] [CrossRef]
- Offermanns, S. Free fatty acid (FFA) and hydroxy carboxylic acid (HCA) receptors. Annu. Rev. Pharmacol. Toxicol. 2014, 54, 407–434. [Google Scholar] [CrossRef]
- Lankinen, M.A.; Stančáková, A.; Uusitupa, M.; Ågren, J.; Pihlajamäki, J.; Kuusisto, J.; Schwab, U.; Laakso, M. Plasma fatty acids as predictors of glycaemia and type 2 diabetes. Diabetologia 2015, 58, 2533–2544. [Google Scholar] [CrossRef]
- Øie, E.; Ueland, T.; Dahl, C.P.; Bohov, P.; Berge, C.; Yndestad, A.; Gullestad, L.; Aukrust, P.; Berge, R.K. Fatty acid composition in chronic heart failure: Low circulating levels of eicosatetraenoic acid and high levels of vaccenic acid are associated with disease severity and mortality. J. Intern. Med. 2011, 270, 263–272. [Google Scholar] [CrossRef]
- Calder, P.C. n-3 fatty acids, inflammation and immunity: New mechanisms to explain old actions. Proc. Nutr. Soc. 2013, 72, 326–336. [Google Scholar] [CrossRef]
- Serhan, C.N. Pro-resolving lipid mediators are leads for resolution physiology. Nature 2014, 510, 92–101. [Google Scholar] [CrossRef]
- Chait, A.; Kim, F. Saturated fatty acids and inflammation: Who pays the toll? Arterioscler. Thromb. Vasc. Biol. 2010, 30, 692–693. [Google Scholar] [CrossRef]
- Delmastro-Greenwood, M.; Freeman, B.A.; Wendell, S.G. Redox-dependent anti-inflammatory signaling actions of unsaturated fatty acids. Annu. Rev. Physiol. 2014, 76, 79–105. [Google Scholar] [CrossRef]
- Huang, S.; Rutkowsky, J.M.; Snodgrass, R.G.; Ono-Moore, K.D.; Schneider, D.A.; Newman, J.W.; Adams, S.H.; Hwang, D.H. Saturated fatty acids activate TLR-mediated proinflammatory signaling pathways. J. Lipid Res. 2012, 53, 2002–2013. [Google Scholar] [CrossRef]
- Pearce, E.L.; Walsh, M.C.; Cejas, P.J.; Harms, G.M.; Shen, H.; Wang, L.S.; Jones, R.G.; Choi, Y. Enhancing CD8 T-cell memory by modulating fatty acid metabolism. Nature 2009, 460, 103–107. [Google Scholar] [CrossRef]
- Snodgrass, R.G.; Huang, S.; Choi, I.W.; Rutledge, J.C.; Hwang, D.H. Inflammasome-mediated secretion of IL-1β in human monocytes through TLR2 activation; modulation by dietary fatty acids. J. Immunol. 2013, 191, 4337–4347. [Google Scholar] [CrossRef]
- Wang, R.; Green, D.R. Metabolic reprogramming and metabolic dependency in T cells. Immunol. Rev. 2012, 249, 14–26. [Google Scholar] [CrossRef]
- Morvaridzadeh, M.; Sepidarkish, M.; Yavari, M.; Tahvilian, N.; Heydarian, A.; Khazdouz, M.; Farsi, F.; Persad, E.; Heshmati, J. The effects of omega-3 fatty acid supplementation on inflammatory factors in HIV-infected patients: A systematic review and meta-analysis of randomized clinical trials. Cytokine 2020, 136, 155298. [Google Scholar] [CrossRef]
- Oliveira, J.M.; Rondó, P.H. Omega-3 fatty acids and hypertriglyceridemia in HIV-infected subjects on antiretroviral therapy: Systematic review and meta-analysis. HIV Clin. Trials 2011, 12, 268–274. [Google Scholar] [CrossRef]
- Fogacci, F.; Strocchi, E.; Veronesi, M.; Borghi, C.; Cicero, A.F.G. Effect of Omega-3 Polyunsaturated Fatty Acids Treatment on Lipid Pattern of HIV Patients: A Meta-Analysis of Randomized Clinical Trials. Mar. Drugs 2020, 18, 292. [Google Scholar] [CrossRef]
- Aldámiz-Echevarría, L.; Pocheville, I.; Sanjurjo, P.; Elorz, J.; Prieto, J.A.; Rodríguez-Soriano, J. Abnormalities in plasma fatty acid composition in human immunodeficiency virus-infected children treated with protease inhibitors. Acta Paediatr. 2005, 94, 672–677. [Google Scholar] [CrossRef]
- Cassol, E.; Misra, V.; Holman, A.; Kamat, A.; Morgello, S.; Gabuzda, D. Plasma metabolomics identifies lipid abnormalities linked to markers of inflammation, microbial translocation, and hepatic function in HIV patients receiving protease inhibitors. BMC Infect. Dis. 2013, 13, 203. [Google Scholar] [CrossRef]
- Meininger, G.; Hadigan, C.; Laposata, M.; Brown, J.; Rabe, J.; Louca, J.; Aliabadi, N.; Grinspoon, S. Elevated concentrations of free fatty acids are associated with increased insulin response to standard glucose challenge in human immunodeficiency virus-infected subjects with fat redistribution. Metabolism 2002, 51, 260–266. [Google Scholar] [CrossRef]
- Woods, M.N.; Wanke, C.A.; Ling, P.R.; Hendricks, K.M.; Tang, A.M.; Andersson, C.E.; Dong, K.R.; Sheehan, H.M.; Bistrian, B.R. Metabolic syndrome and serum fatty acid patterns in serum phospholipids in hypertriglyceridemic persons with human immunodeficiency virus. Am. J. Clin. Nutr. 2009, 89, 1180–1187. [Google Scholar] [CrossRef]
- Agostoni, C.; Zuccotti, G.V.; Riva, E.; Decarlis, S.; Bernardo, L.; Bruzzese, M.G.; Giovannini, M. Low levels of linoleic acid in plasma total lipids of HIV-1 seropositive children. Am. J. Coll. Nutr. 1998, 17, 25–29. [Google Scholar] [CrossRef]
- Kabagambe, E.K.; Ezeamama, A.E.; Guwatudde, D.; Campos, H.; Fawzi, W. Plasma n-6 Fatty Acid Levels Are Associated With CD4 Cell Counts, Hospitalization, and Mortality in HIV-Infected Patients. J. Acquir. Immune Defic. Syndr. 2016, 73, 598–605. [Google Scholar] [CrossRef]
- Peck, M.D.; Mantero-Atienza, E.; Miguez-Burbano, M.J.; Lu, Y.; Fletcher, M.A.; Shor-Posner, G.; Baum, M.K. The esterified plasma fatty acid profile is altered in early HIV-1 infection. Lipids 1993, 28, 593–597. [Google Scholar] [CrossRef]
- Divangahi, M.; Desjardins, D.; Nunes-Alves, C.; Remold, H.G.; Behar, S.M. Eicosanoid pathways regulate adaptive immunity to Mycobacterium tuberculosis. Nat. Immunol. 2010, 11, 751–758. [Google Scholar] [CrossRef]
- Tam, V.C.; Quehenberger, O.; Oshansky, C.M.; Suen, R.; Armando, A.M.; Treuting, P.M.; Thomas, P.G.; Dennis, E.A.; Aderem, A. Lipidomic profiling of influenza infection identifies mediators that induce and resolve inflammation. Cell 2013, 154, 213–227. [Google Scholar] [CrossRef]
- Calder, P.C. Polyunsaturated fatty acids and inflammation. Prostaglandins Leukot. Essent. Fatty Acids 2006, 75, 197–202. [Google Scholar] [CrossRef]
- Mansfield, K.G.; Carville, A.; Wachtman, L.; Goldin, B.R.; Yearley, J.; Li, W.; Woods, M.; Gualtieri, L.; Shannon, R.; Wanke, C. A diet high in saturated fat and cholesterol accelerates simian immunodeficiency virus disease progression. J. Infect. Dis. 2007, 196, 1202–1210. [Google Scholar] [CrossRef]
- Lv, T.; Cao, W.; Li, T. HIV-Related Immune Activation and Inflammation: Current Understanding and Strategies. J. Immunol. Res. 2021, 2021, 7316456. [Google Scholar] [CrossRef]
- Kulkarni, M.M.; Ratcliff, A.N.; Bhat, M.; Alwarawrah, Y.; Hughes, P.; Arcos, J.; Loiselle, D.; Torrelles, J.B.; Funderburg, N.T.; Haystead, T.A.; et al. Cellular fatty acid synthase is required for late stages of HIV-1 replication. Retrovirology 2017, 14, 45. [Google Scholar] [CrossRef]
- Strand, E.; Bjorndal, B.; Nygard, O.; Burri, L.; Berge, C.; Bohov, P.; Christensen, B.J.; Berge, K.; Wergedahl, H.; Viste, A.; et al. Long-term treatment with the pan-PPAR agonist tetradecylthioacetic acid or fish oil is associated with increased cardiac content of n-3 fatty acids in rat. Lipids Health Dis. 2012, 11, 82. [Google Scholar] [CrossRef]
- Decsi, T.; Koletzko, B. Effects of protein-energy malnutrition and human immunodeficiency virus-1 infection on essential fatty acid metabolism in children. Nutrition 2000, 16, 447–453. [Google Scholar] [CrossRef]
- Stonehouse, W.; Kruger, A.; Smuts, C.M.; Loots, D.T.; Wentzel-Viljoen, E.; Vorster, H.H. Plasma polyunsaturated fatty acids and liver enzymes in HIV-infected subjects: The Prospective Urban and Rural Epidemiology (PURE) Study. Am. J. Clin. Nutr. 2010, 91, 729–735. [Google Scholar] [CrossRef]
- Wendell, S.G.; Baffi, C.; Holguin, F. Fatty acids, inflammation, and asthma. J. Allergy Clin. Immunol. 2014, 133, 1255–1264. [Google Scholar] [CrossRef]
- Akaki, T.; Sato, K.; Shimizu, T.; Sano, C.; Kajitani, H.; Dekio, S.; Tomioka, H. Effector molecules in expression of the antimicrobial activity of macrophages against Mycobacterium avium complex: Roles of reactive nitrogen intermediates, reactive oxygen intermediates, and free fatty acids. J. Leukoc. Biol. 1997, 62, 795–804. [Google Scholar] [CrossRef]
- Jordao, L.; Lengeling, A.; Bordat, Y.; Boudou, F.; Gicquel, B.; Neyrolles, O.; Becker, P.D.; Guzman, C.A.; Griffiths, G.; Anes, E. Effects of omega-3 and -6 fatty acids on Mycobacterium tuberculosis in macrophages and in mice. Microbes Infect. 2008, 10, 1379–1386. [Google Scholar] [CrossRef]
- Peres, C.M.; de Paula, L.; Medeiros, A.I.; Sorgi, C.A.; Soares, E.G.; Carlos, D.; Peters-Golden, M.; Silva, C.L.; Faccioli, L.H. Inhibition of leukotriene biosynthesis abrogates the host control of Mycobacterium tuberculosis. Microbes Infect. 2007, 9, 483–489. [Google Scholar] [CrossRef]
- Rasheed, S.; Yan, J.S.; Lau, A.; Chan, A.S. HIV replication enhances production of free fatty acids, low density lipoproteins and many key proteins involved in lipid metabolism: A proteomics study. PLoS ONE 2008, 3, e3003. [Google Scholar] [CrossRef]
- Trøseid, M.; Nowak, P.; Nyström, J.; Lindkvist, A.; Abdurahman, S.; Sönnerborg, A. Elevated plasma levels of lipopolysaccharide and high mobility group box-1 protein are associated with high viral load in HIV-1 infection: Reduction by 2-year antiretroviral therapy. Aids 2010, 24, 1733–1737. [Google Scholar] [CrossRef]
- Vujkovic-Cvijin, I.; Somsouk, M. HIV and the Gut Microbiota: Composition, Consequences, and Avenues for Amelioration. Curr. HIV AIDS Rep. 2019, 16, 204–213. [Google Scholar] [CrossRef]



| Abbreviation | Lipid Numbers | Method | |
|---|---|---|---|
| Saturated FA | SFA | Gas chromatography following chloroform and methanol extraction | |
| Monounsaturated FA | MUFA | ||
| n-3 polyunsaturated FA | n-3 PUFA | ||
| n-6 polyunsaturated FA | n-6PUFA | ||
| dihomo-γ-linolenic acid | DGLA | C20:3n-6 | |
| linoleic acid | LA | C18:2n-6 | |
| γ-linolenic acid | GLA | C18:3n-6 | |
| arachidonic acid | AA | C20:4n-6 | |
| docosatetraenoic acid | DTA | C22:4n-6 | |
| docosapentaenoic acid | DPA | C22:5n-6 | |
| n-9 polyunsaturated FA | n-9 PUFA | ||
| Cytokines | |||
| Tumor necrosis factor | TNF | Enzyme immunoassay | |
| Interferon γ | IFNγ | ||
| Interleukin-6 | IL-6 |
Disclaimer/Publisher’s Note: The statements, opinions and data contained in all publications are solely those of the individual author(s) and contributor(s) and not of MDPI and/or the editor(s). MDPI and/or the editor(s) disclaim responsibility for any injury to people or property resulting from any ideas, methods, instructions or products referred to in the content. |
© 2023 by the authors. Licensee MDPI, Basel, Switzerland. This article is an open access article distributed under the terms and conditions of the Creative Commons Attribution (CC BY) license (https://creativecommons.org/licenses/by/4.0/).
Share and Cite
Ueland, T.; Waagsbø, B.; Berge, R.K.; Trøseid, M.; Aukrust, P.; Damås, J.K. Fatty Acids Composition and HIV Infection: Altered Levels of n-6 Polyunsaturated Fatty Acids Are Associated with Disease Progression. Viruses 2023, 15, 1613. https://doi.org/10.3390/v15071613
Ueland T, Waagsbø B, Berge RK, Trøseid M, Aukrust P, Damås JK. Fatty Acids Composition and HIV Infection: Altered Levels of n-6 Polyunsaturated Fatty Acids Are Associated with Disease Progression. Viruses. 2023; 15(7):1613. https://doi.org/10.3390/v15071613
Chicago/Turabian StyleUeland, Thor, Bjørn Waagsbø, Rolf K. Berge, Marius Trøseid, Pål Aukrust, and Jan K. Damås. 2023. "Fatty Acids Composition and HIV Infection: Altered Levels of n-6 Polyunsaturated Fatty Acids Are Associated with Disease Progression" Viruses 15, no. 7: 1613. https://doi.org/10.3390/v15071613
APA StyleUeland, T., Waagsbø, B., Berge, R. K., Trøseid, M., Aukrust, P., & Damås, J. K. (2023). Fatty Acids Composition and HIV Infection: Altered Levels of n-6 Polyunsaturated Fatty Acids Are Associated with Disease Progression. Viruses, 15(7), 1613. https://doi.org/10.3390/v15071613

