The Single-Stranded RNA Bacteriophage Qβ Adapts Rapidly to High Temperatures: An Evolution Experiment
Abstract
1. Introduction
2. Materials and Methods
2.1. Strains and Culture Conditions
2.2. Thermal Adaptation Experiment
2.3. Fitness Analysis
2.4. Genome Sequencing of Qβ
2.5. Statistical Analysis
3. Results
3.1. Experimental Evolution
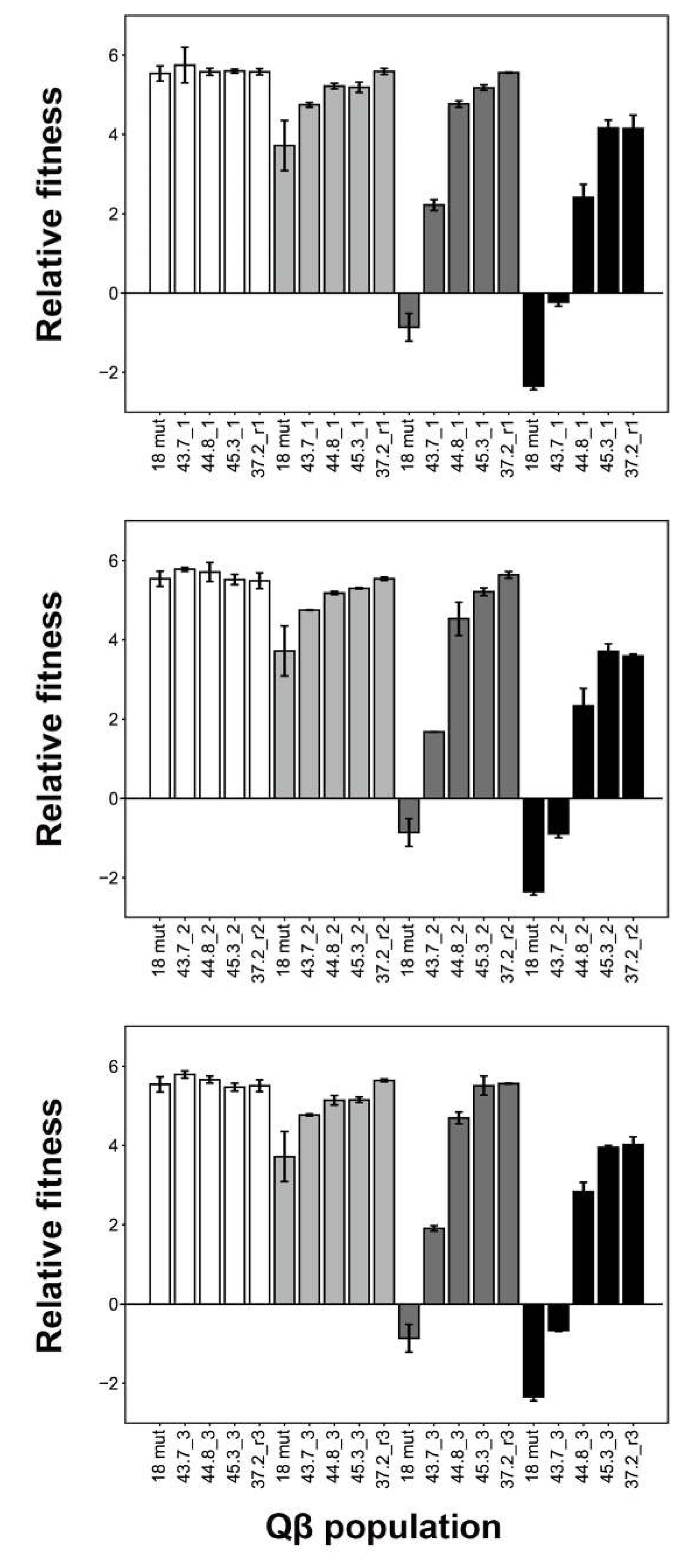
3.2. Fitness of Thermally Adapted Populations
3.3. Molecular Evolution of Thermally Adapted Qβ
4. Discussion
Supplementary Materials
Author Contributions
Funding
Acknowledgments
Conflicts of Interest
References
- Abedon, S.T. Bacteriophage Ecology; Cambridge University Press: Cambridge, UK, 2008. [Google Scholar]
- Abedon, S.T. Phage Ecology. In The Bacteriophages; Calendar, R., Ed.; Oxford University Press: New York, NY, USA, 2006; pp. 37–46. [Google Scholar]
- Sanjuan, R. From molecular genetics to phylodynamics: Evolutionary relevance of mutation rates across viruses. PLoS Pathog. 2012, 8, e1002685. [Google Scholar] [CrossRef]
- Bull, J.J.; Badgett, M.R.; Wichman, H.A.; Huelsenbeck, J.P.; Hillis, D.M.; Gulati, A.; Ho, C.; Molineux, I.J. Exceptional convergent evolution in a virus. Genetics 1997, 147, 1497–1507. [Google Scholar]
- Holder, K.K.; Bull, J.J. Profiles of adaptation in two similar viruses. Genetics 2001, 159, 1393–1404. [Google Scholar]
- Bollback, J.P.; Huelsenbeck, J.P. Parallel genetic evolution within and between bacteriophage species of varying degrees of divergence. Genetics 2009, 181, 225–234. [Google Scholar] [CrossRef]
- Kashiwagi, A.; Sugawara, R.; Tsushima, F.S.; Kumagai, T.; Yomo, T. Contribution of silent mutations to thermal adaptation of RNA bacteriophage Qβ. J. Virol. 2014, 88, 11459–11468. [Google Scholar] [CrossRef]
- Arribas, M.; Cabanillas, L.; Kubota, K.; Lazaro, E. Impact of increased mutagenesis on adaptation to high temperature in bacteriophage Qβ. Virology 2016, 497, 163–170. [Google Scholar] [CrossRef]
- Somovilla, P.; Manrubia, S.; Lazaro, E. Evolutionary dynamics in the RNA bacteriophage Qβ depends on the pattern of change in selective pressures. Pathogens 2019, 8, 80. [Google Scholar] [CrossRef]
- Singhal, S.; Leon Guerrero, C.M.; Whang, S.G.; McClure, E.M.; Busch, H.G.; Kerr, B. Adaptations of an RNA virus to increasing thermal stress. PLoS ONE 2017, 12, e0189602. [Google Scholar] [CrossRef]
- Lazaro, E.; Arribas, M.; Cabanillas, L.; Roman, I.; Acosta, E. Evolutionary adaptation of an RNA bacteriophage to the simultaneous increase in the within-host and extracellular temperatures. Sci. Rep. 2018, 8, 8080. [Google Scholar] [CrossRef]
- Kishimoto, T.; Ying, B.W.; Tsuru, S.; Iijima, L.; Suzuki, S.; Hashimoto, T.; Oyake, A.; Kobayashi, H.; Someya, Y.; Narisawa, D.; et al. Molecular clock of neutral mutations in a fitness-increasing evolutionary process. PLoS Genet. 2015, 11, e1005392. [Google Scholar] [CrossRef]
- Kashiwagi, A.; Kadoya, T.; Kumasaka, N.; Kumagai, T.; Tsushima, F.S.; Yomo, T. Influence of adaptive mutations, from thermal adaptation experiments, on the infection cycle of RNA bacteriophage Qβ. Arch. Virol. 2018, 163, 2655–2662. [Google Scholar] [CrossRef]
- Carter, P.; Bedouelle, H.; Winter, G. Improved oligonucleotide site-directed mutagenesis using M13 vectors. Nucleic Acids Res. 1985, 13, 4431–4443. [Google Scholar] [CrossRef][Green Version]
- Kashiwagi, A.; Yomo, T. Ongoing phenotypic and genomic changes in experimental coevolution of RNA bacteriophage Qβ and Escherichia coli. PLoS Genet. 2011, 7, e1002188. [Google Scholar] [CrossRef]
- Watanabe, I.; Sakurai, T.; Furuse, K.; Ando, A. “Pseudolysogenization” by RNA phage Qβ. Microbiol. Immunol. 1979, 23, 1077–1083. [Google Scholar] [CrossRef][Green Version]
- Carlson, K. Appendix: Working with Bacteriophages: Common Techniques and Methodological Approaches. In Bacteriophage Biology and Applications; Kutter, E., Sulakvelidze, A., Eds.; CRC Press: Boca Raton, FL, USA, 2005; pp. 437–494. [Google Scholar]
- Lorenz, R.; Bernhart, S.H.; Honer Zu Siederdissen, C.; Tafer, H.; Flamm, C.; Stadler, P.F.; Hofacker, I.L. ViennaRNA Package 2.0. Alg. Mol. Biol. 2011, 6, 26. [Google Scholar] [CrossRef]
- Zar, J.H. Biostatistical Analysis, 5th ed.; Pearson Education Inc.: Upper Saddle River, NJ, USA, 2010. [Google Scholar]
- Kishimoto, T.; Iijima, L.; Tatsumi, M.; Ono, N.; Oyake, A.; Hashimoto, T.; Matsuo, M.; Okubo, M.; Suzuki, S.; Mori, K.; et al. Transition from positive to neutral in mutation fixation along with continuing rising fitness in thermal adaptive evolution. PLoS Genet. 2010, 6, e1001164. [Google Scholar] [CrossRef]
- Farewell, A.; Neidhardt, F.C. Effect of temperature on in vivo protein synthetic capacity in Escherichia coli. J. Bacteriol. 1998, 180, 4704–4710. [Google Scholar] [CrossRef] [PubMed]
- Van Duin, J.; Tsareva, N. Single-stranded RNA phages. In The Bacteriophages; Calendar, R., Ed.; Oxford University Press: New York, NY, USA, 2006; pp. 175–196. [Google Scholar]
- Young, R.; Wang, I.N. Phage Lysis. In The Bacteriophages; Calendar, R., Ed.; Oxford University Press: New York, NY, USA, 2006; pp. 104–125. [Google Scholar]
- Bernhardt, T.G.; Wang, I.N.; Struck, D.K.; Young, R. A protein antibiotic in the phage Qβ virion: Diversity in lysis targets. Science 2001, 292, 2326–2329. [Google Scholar] [CrossRef]
- Bernhardt, T.G.; Wang, I.N.; Struck, D.K.; Young, R. Breaking free: “Protein antibiotics” and phage lysis. Res. Microbiol. 2002, 153, 493–501. [Google Scholar] [CrossRef]
- Karnik, S.; Billeter, M. The lysis function of RNA bacteriophage Qβ is mediated by the maturation (A2) protein. EMBO J. 1983, 2, 1521–1526. [Google Scholar] [CrossRef]
- Gorzelnik, K.V.; Cui, Z.; Reed, C.A.; Jakana, J.; Young, R.; Zhang, J. Asymmetric cryo-EM structure of the canonical Allolevivirus Qβ reveals a single maturation protein and the genomic ssRNA in situ. Proc. Natl. Acad. Sci. USA 2016, 113, 11519–11524. [Google Scholar] [CrossRef]
- Cui, Z.; Gorzelnik, K.V.; Chang, J.Y.; Langlais, C.; Jakana, J.; Young, R.; Zhang, J. Structures of Qβ virions, virus-like particles, and the Qβ-MurA complex reveal internal coat proteins and the mechanism of host lysis. Proc. Natl. Acad. Sci. USA 2017, 114, 11697–11702. [Google Scholar] [CrossRef]
- Rumnieks, J.; Tars, K. Crystal structure of the maturation protein from bacteriophage Qβ. J. Mol. Biol. 2017, 429, 688–696. [Google Scholar] [CrossRef]
- Rumnieks, J.; Tars, K. Crystal structure of the bacteriophage Qβ coat protein in complex with the RNA operator of the replicase gene. J. Mol. Biol. 2014, 426, 1039–1049. [Google Scholar] [CrossRef]
- Rumnieks, J.; Tars, K. Crystal structure of the read-through domain from bacteriophage Qβ A1 protein. Protein Sci. 2011, 20, 1707–1712. [Google Scholar] [CrossRef]
- Blumenthal, T.; Landers, T.A.; Weber, K. Bacteriophage Qβ replicase contains the protein biosynthesis elongation factors EF Tu and EF Ts. Proc. Natl. Acad. Sci. USA 1972, 69, 1313–1317. [Google Scholar] [CrossRef]
- Blumenthal, T.; Carmichael, G.G. RNA replication: Function and structure of Qβ-replicase. Annu. Rev. Biochem. 1979, 48, 525–548. [Google Scholar] [CrossRef]
- Takeshita, D.; Tomita, K. Assembly of Qβ viral RNA polymerase with host translational elongation factors EF-Tu and -Ts. Proc. Natl. Acad. Sci. USA 2010, 107, 15733–15738. [Google Scholar] [CrossRef]
- Takeshita, D.; Tomita, K. Molecular basis for RNA polymerization by Qβ replicase. Nat. Struct. Mol. Biol. 2012, 19, 229–237. [Google Scholar] [CrossRef]
- Takeshita, D.; Yamashita, S.; Tomita, K. Molecular insights into replication initiation by Qβ replicase using ribosomal protein S1. Nucleic Acids Res. 2014, 42, 10809–10822. [Google Scholar] [CrossRef]
- Koning, R.I.; Gomez-Blanco, J.; Akopjana, I.; Vargas, J.; Kazaks, A.; Tars, K.; Carazo, J.M.; Koster, A.J. Asymmetric cryo-EM reconstruction of phage MS2 reveals genome structure in situ. Nat. Commun. 2016, 7, 12524. [Google Scholar] [CrossRef]
- Dai, X.; Li, Z.; Lai, M.; Shu, S.; Du, Y.; Zhou, Z.H.; Sun, R. In situ structures of the genome and genome-delivery apparatus in a single-stranded RNA virus. Nature 2017, 541, 112–116. [Google Scholar] [CrossRef]
- Wright, S. The roles of mutation, inbreeding, crossbreeding and selection in evolution. In Proceedings of the Sixth International Congress of Genetics, Ithaca, NY, USA, 24–31 August 1932; Volume 1, pp. 356–366. [Google Scholar]
- Smith, J.M. Natural selection and the concept of a protein space. Nature 1970, 225, 563–564. [Google Scholar] [CrossRef]
- De Visser, J.A.; Krug, J. Empirical fitness landscapes and the predictability of evolution. Nat. Rev. Genet. 2014, 15, 480–490. [Google Scholar] [CrossRef]
- Kauffman, S.A.; Weinberger, E.D. The NK model of rugged fitness landscapes and its application to maturation of the immune response. J. Theor. Biol. 1989, 141, 211–245. [Google Scholar] [CrossRef]
- Neidhart, J.; Szendro, I.G.; Krug, J. Adaptation in tunably rugged fitness landscapes: The rough Mount Fuji model. Genetics 2014, 198, 699–721. [Google Scholar] [CrossRef] [PubMed]
- Fragata, I.; Blanckaert, A.; Dias Louro, M.A.; Liberles, D.A.; Bank, C. Evolution in the light of fitness landscape theory. Trends Ecol. Evol. 2019, 34, 69–82. [Google Scholar] [CrossRef] [PubMed]
- Hayashi, Y.; Aita, T.; Toyota, H.; Husimi, Y.; Urabe, I.; Yomo, T. Experimental rugged fitness landscape in protein sequence space. PLoS ONE 2006, 1, e96. [Google Scholar] [CrossRef] [PubMed]
- Athavale, S.S.; Spicer, B.; Chen, I.A. Experimental fitness landscapes to understand the molecular evolution of RNA-based life. Curr. Opin. Chem. Biol. 2014, 22, 35–39. [Google Scholar] [CrossRef] [PubMed]
- Blanco, C.; Janzen, E.; Pressman, A.; Saha, R.; Chen, I.A. Molecular fitness landscapes from high-coverage sequence profiling. Annu. Rev. Biophys. 2019, 48, 1–18. [Google Scholar] [CrossRef] [PubMed]
- Pitt, J.N.; Ferre-D’Amare, A.R. Rapid construction of empirical RNA fitness landscapes. Science 2010, 330, 376–379. [Google Scholar] [CrossRef] [PubMed]
- Held, D.M.; Greathouse, S.T.; Agrawal, A.; Burke, D.H. Evolutionary landscapes for the acquisition of new ligand recognition by RNA aptamers. J. Mol. Evol. 2003, 57, 299–308. [Google Scholar] [CrossRef] [PubMed]
- Jimenez, J.I.; Xulvi-Brunet, R.; Campbell, G.W.; Turk-MacLeod, R.; Chen, I.A. Comprehensive experimental fitness landscape and evolutionary network for small RNA. Proc. Natl. Acad. Sci. USA 2013, 110, 14984–14989. [Google Scholar] [CrossRef] [PubMed]



| Sequence Identity in the Indicated Phage Populations a | Gene and/or Site | Genome Position | Nucleotide in: | Gene Position b | Codon Change | Amino Acid Change | ||||||||||||||
|---|---|---|---|---|---|---|---|---|---|---|---|---|---|---|---|---|---|---|---|---|
| Anc(P1) | 18 mut | 43.7_1 | 44.8_1 | 45.3_1 | 37.2_r1 | 43.7_2 | 44.8_2 | 45.3_2 | 37.2_r2 | 43.7_3 | 44.8_3 | 45.3_3 | 37.2_r3 | Anc(P1) | Evolved Population | |||||
| + | + | + | + | + | + | + | + | + | + | + | + | + | UTR | 4 | G | A | ||||
| + | + | + | + | + | + | + | + | + | + | + | + | + | UTR | 14 | A+1 insertion | |||||
| + | + | + | UTR | 39 | U | C | ||||||||||||||
| 68 | 25 | UTR | 47 | G | A | |||||||||||||||
| 45 | UTR | 51 | A | G | ||||||||||||||||
| 72 | 22 | 23 | + | 87 | + | + | + | UTR | 52 | A | G | |||||||||
| 28 | UTR | 54 | A | G | ||||||||||||||||
| 30 | 26 | + | + | A2 | 141 | C | U | 81(26) | GAC→GAU | |||||||||||
| + | + | + | + | + | + | + | + | + | + | + | + | + | A2 | 153 | A | C | 93(30) | GAA→GAC | Glu→Asp | |
| + | + | + | + | + | + | + | + | + | + | + | + | + | A2 | 192 | U | C | 132(43) | CGU→CGC | ||
| 20 | A2 | 228 | U | C | 168(55) | AAU→AAC | ||||||||||||||
| 57 | 34 | A2 | 420 | C | U | 360(119) | ACC→ACU | |||||||||||||
| 57 | 34 | A2 | 458 | U | C | 398(132) | GUU→GCU | Val→Ala | ||||||||||||
| + | 87 | A2 | 831 | U | C | 771(256) | GUU→GUC | |||||||||||||
| 24 | + | + | A2 | 834 | U | C | 774(257) | GCU→GCC | ||||||||||||
| + | + | + | A2 | 852 | G | A | 792(263) | GGG→GGA | ||||||||||||
| + | + | + | + | + | + | + | + | + | + | + | + | + | A2 | 905 | A | G | 845(281) | GAA→GGA | Glu→Gly | |
| + | + | + | A2 | 1065 | A | G | 1005(334) | CAA→CAG | ||||||||||||
| + | + | + | + | + | + | + | + | + | + | + | + | + | A2 | 1088 | A | G | 1028(342) | GAU→GGU | Asp→Gly | |
| 35 | A2 | 1122 | G | A | 1062(353) | CGG→CGA | ||||||||||||||
| 88 | 32 | A2 | 1158 | G | A | 1098(365) | GGG→GGA | |||||||||||||
| + | + | A2 | 1217 | A | G | 1157(385) | CAU→CGU | His→Arg | ||||||||||||
| 76 | 26 | A2/S-site | 1251 | U | G / (37.2_r3 C) | 1191(396) | CUU→CUG/CUC | |||||||||||||
| + | + | + | + | + | + | + | + | + | + | + | + | + | A2/S-site | 1257 | C | U | 1197(398) | ACC→ACU | ||
| 26 | 40 | 26 | A2/S-site | 1266 | U | G | 1206(401) | AGU→AGG | Ser→Arg | |||||||||||
| + | + | + | + | + | + | + | + | + | + | + | + | + | A2/S-site | 1281 | U | C | 1221(406) | GUU→GUC | ||
| + | + | 59 | 75 | A2/S-site | 1295 | U | G | 1235(411) | UUU→UGU | Phe→Cys | ||||||||||
| + | + | + | + | + | + | + | + | + | + | + | + | + | A2/S-site | 1312 | G | A | 1252(417) | GUA→AUA | Val→Ile | |
| + | + | + | + | + | + | + | + | + | + | + | + | + | Coat /A1 | 1371 | G | A | 28(9) | GGU→AGU | Gly→Ser | |
| + | + | + | + | + | + | + | + | + | + | + | + | + | Coat /A1 | 1400 | U | C | 57(18) | ACU→ACC | ||
| 22 | + | + | 37 | + | + | 24 | 21 | Coat /A1 | 1494 | G | A | 151(50) | GUU→AUU | Val→Ile | ||||||
| 23 | + | + | 22 | 28 | Coat /A1 | 1604 | C | U | 261(86) | CGC→CGU | ||||||||||
| 47 | + | + | + | 62 | A1 | 1775 | G | U | 432(143) | GGG→GGU | ||||||||||
| 21 | A1 | 1777 | C | U | 434(144) | UCA→UUA | Ser→Leu | |||||||||||||
| 46 | 49 | 36 | + | + | 75 | + | + | + | A1 | 1781 | A | C | 438(145) | AAA→AAC | Lys→Asn | |||||
| 20 | A1 | 1831 | G | A | 488(162) | GGU→GAU | Gly→Asp | |||||||||||||
| 24 | A1 | 1872 | G | A | 529(176) | GUU→AUU | Val→Ile | |||||||||||||
| 22 | A1 | 1893 | A | G | 550(183) | AAC→GAC | Asn→Asp | |||||||||||||
| 31 | A1 | 1956 | A | C | 613(204) | AAA→CAA | Lys→Gln | |||||||||||||
| 21 | 36 | 43 | A1 | 2006 | U | G | 663(220) | AGU→AGG | Ser→Arg | |||||||||||
| 23 | 40 | A1 | 2016 | U | G/ (37.2_r3 C) | 673(224) | UUC→GUC /CUC | Phe→Val/Leu | ||||||||||||
| 32 | 76 | A1 | 2061 | U | C | 718(239) | UAU→CAU | Tyr→His | ||||||||||||
| + | + | + | A1 | 2078 | G | A | 735(244) | CAG→CAA | ||||||||||||
| 22 | 45 | 24 | A1 | 2087 | U | C | 744(247) | CGU→CGC | ||||||||||||
| + | + | A1 | 2111 | G | A | 768(255) | GAG→GAA | |||||||||||||
| + | + | + | + | + | + | + | + | + | + | + | + | + | A1 | 2201 | C | U | 858(285) | GCC→GCU | ||
| + | + | A1 | 2246 | C | U | 903(300) | UCC→UCU | |||||||||||||
| ± | + | + | + | + | + | + | + | + | + | + | + | + | + | A1 | 2249 | C/U | U | 906(301) | AGC→AGU | |
| 89 | 38 | A1 | 2291 | U | C | 948(315) | ACU→ACC | |||||||||||||
| 23 | 79 | 46 | + | + | + | β -subunit | 2452 | C | U | 101(33) | GCC→GUC | Ala→Val | ||||||||
| 22 | β -subunit | 2462 | A | G | 111(36) | UUA→UUG | ||||||||||||||
| 39 | + | + | + | β -subunit | 2534 | G | A | 183(60) | GGG→GGA | |||||||||||
| + | 22 | 52 | + | + | + | β -subunit/M-site | 2577 | A | C/ (45.3_1, 37.2_r1 U) | 226(75) | AUG→CUG/UUG | Met→Leu | ||||||||
| + | + | β -subunit/M-site | 2623 | U | C | 272(90) | GUU→GCU | Val→Ala | ||||||||||||
| + | + | + | + | + | + | + | + | + | + | + | + | + | β -subunit/M-site | 2748 | A | C | 397(132) | AGA→CGA | ||
| + | + | β -subunit/M-site | 2753 | A | G | 402(133) | AAA→AAG | |||||||||||||
| + | + | + | + | + | + | + | + | + | + | + | + | + | β -subunit/M-site | 2776 | U | C | 425(141) | GUU→GCU | Val→Ala | |
| 28 | 30 | 22 | 26 | β -subunit | 2879 | G | A | 528(175) | CCG→CCA | |||||||||||
| 21 | β -subunit | 2949 | A | G | 598(199) | AUU→GUU | Ile→Val | |||||||||||||
| 84 | 26 | β -subunit | 3032 | U | C | 681(226) | GGU→GGC | |||||||||||||
| 37 | β -subunit | 3047 | C | U | 696(231) | UUC→UUU | ||||||||||||||
| 31 | β -subunit | 3086 | U | G | 735(244) | CGU→CGG | ||||||||||||||
| 33 | β -subunit | 3206 | C | U | 855(284) | GCC→GCU | ||||||||||||||
| + | + | β -subunit | 3260 | A | G | 909(302) | AGA→AGG | |||||||||||||
| 37 | β -subunit | 3393 | G | A | 1042(347) | GAC→AAC | Asp→Asn | |||||||||||||
| + | + | + | + | + | + | + | + | + | + | + | + | + | β -subunit | 3402 | U | C | 1051(350) | UCG→CCG | Ser→Pro | |
| 35 | β -subunit | 3455 | C | A | 1104(367) | GUC→GUA | ||||||||||||||
| 21 | + | + | 24 | 28 | 24 | 32 | β -subunit | 3545 | C | U | 1194(397) | GGC→GGU | ||||||||
| 30 | β -subunit | 3653 | A | G | 1302(433) | ACA→ACG | ||||||||||||||
| 45 | + | + | + | + | + | + | + | + | β -subunit | 3659 | C | U | 1308(435) | GAC→GAU | ||||||
| 54 | + | + | + | 37 | 84 | + | + | 21 | β -subunit | 3784 | U | C | 1433(477) | AUC→ACC | Ile→Thr | |||||
| 24 | β -subunit | 3809 | G | A | 1458(485) | GGG→GGA | ||||||||||||||
| 47 | + | + | + | 38 | 27 | + | + | 27 | + | + | + | β -subunit | 3879 | C | G / (43.7_2 A, 44.8_2 A and G) | 1528(509) | CUC→GUC/AUC | Leu→Val /Ile | ||
| 28 | 40 | β -subunit | 3903 | C | U | 1552(517) | CUC→UUC | Leu→Phe | ||||||||||||
| + | + | + | + | + | + | + | + | + | + | + | + | + | β -subunit | 3931 | U | C | 1580(526) | CUU→CCU | Leu→Pro | |
| + | + | + | + | + | + | + | + | + | + | + | + | + | β -subunit | 4004 | G | A | 1653(550) | ACG→ACA | ||
| 20 | UTR | 4193 | A | U | ||||||||||||||||
| Classification * | Thermal Adaptation Temperature | ||||||||||||
|---|---|---|---|---|---|---|---|---|---|---|---|---|---|
| 43.7 °C | 44.8 °C | 45.3 °C | 37.2 °C | ||||||||||
| L1 | L2 | L3 | L1 | L2 | L3 | L1 | L2 | L3 | L1 | L2 | L3 | ||
| Mutations introduced | 18 mut→Hetero | 7 | 4 | 5 | 7 | 12 | 1 | 5 | 5 | 10 | 3 | 4 | 8 |
| Hetero→Major | 0 | 0 | 0 | 4 | 0 | 3 | 3 | 8 | 0 | 0 | 0 | 0 | |
| 18 mut→Major | 0 | 0 | 0 | 0 | 1 | 7 | 8 | 1 | 0 | 0 | 0 | 0 | |
| Mutations reverted | Hetero→Anc(P1) | 0 | 0 | 0 | 3 | 0 | 2 | 4 | 7 | 0 | 1 | 1 | 5 |
| Major→Hetero | 0 | 0 | 0 | 0 | 0 | 0 | 0 | 0 | 0 | 1 | 2 | 0 | |
| Major→Anc(P1) | 0 | 0 | 0 | 0 | 0 | 0 | 0 | 0 | 0 | 0 | 0 | 0 | |
| Gene | Gene Length (Bases) | No. of Mutational Positions * | Mutations/Gene Length |
|---|---|---|---|
| NCR | 192 | 4 (6) | 0.021 (0.031) |
| A2 | 1263 | 13 (20) | 0.010 (0.016) |
| Coat | 402 | 2 (4) | 0.005 (0.010) |
| A1 | 591 | 12 (14) | 0.020 (0.024) |
| β | 1770 | 18 (23) | 0.010 (0.013) |
© 2020 by the authors. Licensee MDPI, Basel, Switzerland. This article is an open access article distributed under the terms and conditions of the Creative Commons Attribution (CC BY) license (http://creativecommons.org/licenses/by/4.0/).
Share and Cite
Hossain, M.T.; Yokono, T.; Kashiwagi, A. The Single-Stranded RNA Bacteriophage Qβ Adapts Rapidly to High Temperatures: An Evolution Experiment. Viruses 2020, 12, 638. https://doi.org/10.3390/v12060638
Hossain MT, Yokono T, Kashiwagi A. The Single-Stranded RNA Bacteriophage Qβ Adapts Rapidly to High Temperatures: An Evolution Experiment. Viruses. 2020; 12(6):638. https://doi.org/10.3390/v12060638
Chicago/Turabian StyleHossain, Md. Tanvir, Toma Yokono, and Akiko Kashiwagi. 2020. "The Single-Stranded RNA Bacteriophage Qβ Adapts Rapidly to High Temperatures: An Evolution Experiment" Viruses 12, no. 6: 638. https://doi.org/10.3390/v12060638
APA StyleHossain, M. T., Yokono, T., & Kashiwagi, A. (2020). The Single-Stranded RNA Bacteriophage Qβ Adapts Rapidly to High Temperatures: An Evolution Experiment. Viruses, 12(6), 638. https://doi.org/10.3390/v12060638
