Effects of Seedling Quality and Family on Performance of Northern Red Oak Seedlings on a Xeric Upland Site
Abstract
1. Introduction
2. Materials and Methods
2.1. Experimental Material
2.2. Study Area
2.3. Experimental Design
2.4. Measurements
2.5. Statistical Analysis
3. Results
3.1. Seedling Grading
3.2. Survival
3.3. Growth
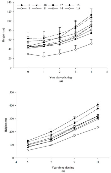
3.4. Growth Pattern
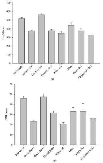
3.5. Dominance
4. Discussion
4.1. Family
4.2. Seedling Quality
4.3. Competitive Ability
4.4. Growth Patterns
5. Conclusions
Author Contributions
Acknowledgments
Conflicts of Interest
References
- Aszalós, R.; Horváth, F.; Mázsa, K.; Ódor, P.; Lengyel, A.; Kovács, G.; Bölöni, J. First signs of old-growth structure and composition of an oak forest after four decades of abandonment. Biologia (Bratisl) 2017, 72, 1264–1274. [Google Scholar] [CrossRef]
- Fei, S.; Kong, N.; Steiner, K.C.; Moser, W.K.; Steiner, E.B. Change in oak abundance in the eastern United States from 1980 to 2008. For. Ecol. Manag. 2011, 262, 1370–1377. [Google Scholar] [CrossRef]
- Abrams, M.D. Where has all the White Oak gone? Bioscience 2003, 53, 927–939. [Google Scholar] [CrossRef]
- Crow, T.R. Reproductive mode and mechanisms for of northern red oak (Quercus rubra)—A review. For. Sci. 1988, 34, 19–40. [Google Scholar]
- Rooney, T.P.; Waller, D.M. Direct and indirect effects of white-tailed deer in forest ecosystems. For. Ecol. Manag. 2003, 181, 165–176. [Google Scholar] [CrossRef]
- Abrams, M.D. Fire and the Development of Oak Forests. Bioscience 1992, 42, 346–353. [Google Scholar] [CrossRef]
- Nowacki, G.J.; Abrams, M.D. The Demise of Fire and “Mesophication” of Forests in the Eastern United States. Bioscience 2008, 58, 123–138. [Google Scholar] [CrossRef]
- Campbell, A.J.; Steiner, K.C.; Finley, J.J.; Leites, L. Limitations on regeneration potential after even-aged harvests in mixed-oak stands. For. Sci. 2015, 61, 874–881. [Google Scholar] [CrossRef]
- Steiner, K.C.; Finley, J.C.; Gould, P.; Fei, S.; McDill, M. Oak Regeneration Guidelines for the Central Appalachians. North. J. Appl. For. 2008, 25, 5–16. [Google Scholar]
- Dey, D.C.; Jacobs, D.; McNabb, K.; Miller, G.; Baldwin, V.; Foster, G. Artificial Regeneration of Major Oak (Quercus) Species in the Eastern United States—A Review of the Literature. For. Sci. 2008, 54, 77–106. [Google Scholar]
- Brose, P.; Van Lear, D.; Cooper, R. Using shelterwood harvests and prescribed fire to regenerate oak stands on productive upland sites. For. Ecol. Manag. 1999, 113, 125–141. [Google Scholar] [CrossRef]
- Miller, G.W.; Brose, P.H.; Gottschalk, K.W. Advanced Oak Seedling Development as Influenced by Shelterwood Treatments, Competition Control, Deer Fencing, and Prescribed Fire. J. For. 2017, 115, 179–189. [Google Scholar] [CrossRef]
- Clark, F.B.; Watt, R.F. Silvicultural Methods for Regenerating Oaks. In Proceedings of the Oak Symposium, Upper Darby, PA, USA, 16–20 August 1971; pp. 37–42. [Google Scholar]
- Loftis, D.L. Predicting post-harvest performance of advance red oak reproduction in the Southern Appalachians. For. Sci. 1990, 36, 908–916. [Google Scholar]
- Morrissey, R.C.; Jacobs, D.F.; Davis, A.S.; Rathfon, R.A. Survival and competitiveness of Quercus rubra regeneration associated with planting stocktype and harvest opening intensity. New For. 2010, 40, 273–287. [Google Scholar] [CrossRef]
- Schuler, J.L.; Robison, D.J. Performance of northern red oak enrichment plantings in naturally regenerating Southern Appalachian hardwood stands. New For. 2010, 40, 119–130. [Google Scholar] [CrossRef]
- Struve, D.K.; Joly, R.J. Transplanted red oak seedlings mediate transplant shock by reducing leaf surface area and altering carbon allocation. Can. J. For. Res. 1992, 22, 1441–1448. [Google Scholar] [CrossRef]
- Buckley, D.S.; Sharik, T.L.; Isebrands, J.G. Regeneration of northern red oak: Positive and negative effects of competitor removal. Ecology 1998, 79, 65–78. [Google Scholar] [CrossRef]
- Ponder, F., Jr. Shoot and root growth of northern red oak planted in forest openings and protected by treeshelters. North. J. Appl. For. 1995, 12, 36–42. [Google Scholar]
- Schlarbaum, S.E.; Kormanik, P.; Tibbs, T. Oak Seedlings: Quality Improved Available Now- Genetically Improved Available Soon. In Proceedings of the 25th Annual Hardwood Symposium, Cashiers, NC, USA, 7–10 May 1997; pp. 123–130. [Google Scholar]
- Johnson, P.S.; Rogers, R. A method for estimating the contribution of planted hardwoods to future stocking. For. Sci. 1985, 31, 883–891. [Google Scholar]
- Dey, D.C.; Parker, W.C. Morphological indicators of stock quality and field performance of red oak (Quercus rubra L.) seedlings underplanted in a central Ontario shelterwood. New For. 1997, 14, 145–156. [Google Scholar] [CrossRef]
- Spetich, M.A.; Dey, D.C.; Johnson, P.S.; Graney, D.L. Competitive capacity of Quercus rubra L. planted in Arkansas’ Boston Mountains. For. Sci. 2002, 48, 504–517. [Google Scholar]
- Clark, S.L.; Schlarbaum, S.E.; Schweitzer, C.J. Effects of visual grading on northern red oak (Quercus rubra L.) seedlings planted in two shelterwood stands on the Cumberland Plateau of Tennessee, USA. Forests 2015, 6, 3779–3798. [Google Scholar] [CrossRef]
- Davis, A.S.; Jacobs, D.F. Quantifying root system quality of nursery seedlings and relationship to outplanting performance. New For. 2005, 30, 295–311. [Google Scholar] [CrossRef]
- Kormanik, P.P.; Sung, S.S.; Kormanik, T.L.; Zarnock, S.J.; Kormanik, P.P.; Oak, S.J.; Why, R. Oak Regeneration—Why Big Is Better. 1995, pp. 1–9. Available online: https://www.researchgate.net/profile/Shi_Jean_Sung/publication/237609808_Oak_Regeneration_Why_Big_Is_Better/links/542b29970cf29bbc126a800b/Oak-Regeneration-Why-Big-Is-Better.pdf (accessed on 1 September 2017).
- Zaczek, J.J.; Steiner, K.C.; Bowersox, T.W. Northern red oak planting stock: 6-year results. New For. 1997, 13, 177–191. [Google Scholar] [CrossRef]
- Zaczek, J.J.; Steiner, K.C. The influence of cultural treatments on the long-term survival and growth of planted Quercus rubra. In Proceedings of the 17th Central Hardwood Forest Conference, Lexington, KY, USA, 5–7 April 2010; pp. 294–305. [Google Scholar]
- Sander, I.L. Height growth of new oak sprouts depends on size of advance reproduction. J. For. 1971, 69, 809–811. [Google Scholar]
- Kormanik, P.P.; Sung, S.-J.S.; Kormanik, T.L. Toward a single nursery protocol for oak seedlings. In Proceedings of the 22nd Southern Forest Tree Improvement Conference, Atlanta, GA, USA, 14–17 June 1993; pp. 89–98. [Google Scholar]
- Oswalt, C.M.; Clatterbuck, W.K.; Houston, A.E. Impacts of deer herbivory and visual grading on the early performance of high-quality oak planting stock in Tennessee, USA. For. Ecol. Manag. 2006, 229, 128–135. [Google Scholar] [CrossRef]
- Kormanik, P.P.; Sung, S.-J.S.; Kass, D.J.; Schlarbaum, S. Effect of Seedling Size and First-Order-Lateral Roots on Early Development of Northern Red Oak on Mesic Sites. In Proceedings of the Ninth Biennial Southern Silvicultural Research Conference, Clemson, SC, USA, 25–27 February 1997; pp. 247–252. [Google Scholar]
- Gregory, J.; Nowacki, M.D.A. Community, edaphic, and historical analysis of mixed oak forests of the Ridge and Valley Province in central Pennsylvania. Can. J. For. Res. 1991, 22, 790–800. [Google Scholar]
- Clark, S.L.; Schlarbaum, S.E.; Keyser, T.L.; Schweitzer, C.J.; Spetich, M.A.; Simon, D.; Warburton, G.S. Response of planted northern red oak seedlings to regeneration harvesting, midstory removal, and prescribed burning. In Proceedings of the 18th Biennial Southern Silvicultural Research Conference; e–Gen. Tech. Rep. SRS–212; U.S. Department of Agriculture, Forest Service, Southern Research Station: Asheville, NC, USA, 2016; p. 8. [Google Scholar]
- Clark, S.L.; Schlarbaum, S.E.; Kormanik, P.P. Visual grading and quality of 1-0 northern red oak seedlings. South. J. Appl. For. 2000, 24, 93–97. [Google Scholar]
- Johnson, P.S. Responses of planted northern red oak to three overstory treatments. Can. J. For. Res. 1984, 14, 536–542. [Google Scholar] [CrossRef]
- Clark, S.; Schweitzer, C.; Schlarbaum, S. Nursery quality and first-year response of American chestnut (Castanea dentata) seedlings planted in the southeastern United States. Tree Plant. Notes 2010, 53, 13–21. [Google Scholar]
- Pinchot, C.C.; Schlarbaum, S.E.; Clark, S.L.; Saxton, A.M.; Sharp, A.M.; Schweitzer, C.J.; Hebard, F.V. Growth, survival, and competitive ability of chestnut (Castanea Mill.) seedlings planted across a gradient of light levels. New For. 2017, 48, 491–512. [Google Scholar] [CrossRef]
- Sander, I.L.; Johnson, P.S.; Rogers, R. Oak Advance Reproduction in the Missouri Ozarks; North Central Forest Experiment Station, Forest Service, US Department of Agriculture: St. Paul, MN, USA, 1984.
- Weigel, D.R. Oak planting success varies among ecoregions in the Central Hardwood Region. In Proceedings of the 12th Central Hardwood Forest Conference, Lexington, KY, USA, 28 February–2 March 1999; pp. 9–16. [Google Scholar]
- Hosmer, D.W., Jr.; Lemeshow, S.; Sturdivant, R.X. Applied Logistic Regression, 3rd ed.; John Wiley & Sons: Honoken, NJ, USA, 2013. [Google Scholar]
- Kriebel, H.B.; Merritt, C.; Stadt, T. Genetics of growth rate in Quercus rubra: Provenance and family effects by the early third decade in the North Central U.S.A. Silvae Genet. 1988, 37, 193–198. [Google Scholar]
- Kitzmiller, J.H. Managing genetic diversity in a tree improvement program. For. Ecol. Manag. 1990, 35, 131–149. [Google Scholar] [CrossRef]
- Johnson, R.; Lipow, S. Compatibility of Breeding for Increased Wood Production and Long-Term Sustainability: The Genetic Variation of Seed Orchard Seed and Associated Risks. United States Department of Agriculture Forest Service General Technical Report PNW. 2002, Volume 563, pp. 169–179. Available online: https://www.researchgate.net/profile/Randy_Johnson6/publication/237262080_Compatibility_of_breeding_for_increased_wood_production_and_long-term_sustainability_The_genetic_variation_of_seed_orchard_seed_and_associated_risks/links/53e012e50cf2aede4b4cbb24.pdf (accessed on 1 September 2017).
- Ward, J.S.; Gent, M.P.N.; Stephens, G.R. Effects of planting stock quality and browse protection-type on height growth of northern red oak and eastern white pine. For. Ecol. Manag. 2000, 127, 205–216. [Google Scholar] [CrossRef]
- Parker, W.C.; Dey, D.C. Influence of overstory density on ecophysiology of red oak (Quercus rubra) and sugar maple (Acer saccharum) seedlings in central Ontario shelterwoods. Tree Physiol. 2008, 28, 797–804. [Google Scholar] [CrossRef] [PubMed]
- Loftis, D.L. Regenerating southern Appalachian mixed hardwood stands with the shelterwood method. South. J. Appl. For. 1983, 7, 212–217. [Google Scholar]







| Family | Family Height at Planting (cm) | Family Height after 11 Years (cm) | Size Class within Family | Size Class Height at Planting (cm) | Size Class Height after 11 Years (cm) |
|---|---|---|---|---|---|
| 8 | 50 ± 2 C | 406 ± 13 A | Small | 38 ± 4 C | 401 ± 25 A |
| Average | 51 ± 3 B | 391 ± 18 A | |||
| Large | 62 ± 3 A | 426 ± 45 A | |||
| 9 | 42 ± 1 E | 322 ± 10 B | Small | 37 ± 2 B | 302 ± 12 B |
| Average | 44 ± 2 A | 303 ± 13 B | |||
| Large | 44 ± 3 A | 360 ± 18 A | |||
| 10 | 44 ± 1 DE | 319 ± 10 BC | Small | 40 ± 2 B | 282 ± 12 C |
| Average | 43 ± 2 B | 318 ± 14 B | |||
| Large | 50 ± 2 A | 358 ± 14 A | |||
| 11 | 57 ± 1 B | 320 ± 10 BC | Small | 48 ± 2 B | 236 ± 16 C |
| Average | 52 ± 2 B | 329 ± 15 B | |||
| Large | 72 ± 2 A | 394 ± 13 A | |||
| 12 | 44 ± 1 DE | 306 ± 12 BC | Small | 36 ± 2 B | 302 ± 17 A |
| Average | 46 ± 2 A | 289 ± 17 A | |||
| Large | 50 ± 3 A | 328 ± 17 A | |||
| 14 | 46 ± 2 CD | 295 ± 13 CD | Small | 39 ± 3 B | 275 ± 20 B |
| Average | 43 ± 2 B | 212 ± 17 C | |||
| Large | 56 ± 4 A | 397 ± 22 A | |||
| 16 | 64 ± 2 A | 377 ± 14 A | Small | 45 ± 4 C | 348 ± 25 A |
| Average | 61 ± 3 B | 408 ± 21 A | |||
| Large | 87 ± 3 A | 373 ± 21 A | |||
| LA | 30 ± 1 F | 232 ± 9 E | LA | 30 ± 1 | 232 ± 9 |
| Family | Family BD at Planting | Family 11th Year DBH | Size Class within Family | Size Class BD at Planting | % of Seedlings Large Enough to Record DBH | Size Class 11th Year DBH—All Living Trees |
|---|---|---|---|---|---|---|
| 8 | 8.5 ± 0.2 AB | 28.0 ± 4.9 A | Small | 6.8 ± 0.5 C | 90 | 27.4 ± 6 A |
| Average | 8.6 ± 0.3 B | 95 | 26.4 ± 5 A | |||
| Large | 10.0 ± 0.3 A | 95 | 29.2 ± 5 A | |||
| 9 | 8.0 ± 0.1 B | 18.6 ± 4.7 BC | Small | 7.0 ± 0.2 C | 90 | 15.5 ± 5 A |
| Average | 8.0 ± 0.2 B | 75 | 19.8 ± 5 A | |||
| Large | 9.1 ± 0.3 A | 90 | 18.8 ± 5 A | |||
| 10 | 8.3 ± 0.1 B | 19.8 ± 4.6 B | Small | 7.1 ± 0.1 C | 78 | 18.8 ± 5 B |
| Average | 8.3 ± 0.2 B | 82 | 16.8 ± 5 B | |||
| Large | 9.4 ± 0.2 A | 100 | 22.4 ± 5 A | |||
| 11 | 8.4 ± 0.1 AB | 19.1 ± 4.7 BC | Small | 7.0 ± 0.3 C | 77 | 12.7 ± 5 B |
| Average | 8.0 ± 0.3 B | 96 | 18.2 ± 5 B | |||
| Large | 10.2 ± 0.2 A | 95 | 25.1 ± 5 A | |||
| 12 | 8.4 ± 0.2 AB | 20.3 ± 4.8 BC | Small | 6.7 ± 0.3 C | 94 | 17.4 ± 5 A |
| Average | 8.6 ± 0.3 B | 88 | 18.4 ± 5 A | |||
| Large | 9.8 ± 0.3 A | 100 | 23.8 ± 5 A | |||
| 14 | 8.0 ± 0.2 B | 17.6 ± 4.9 BC | Small | 6.8 ± 0.3 C | 83 | 12.2 ± 6 B |
| Average | 7.8 ± 0.3 B | 63 | 12.7 ± 5 B | |||
| Large | 9.6 ± 0.4 A | 100 | 26.0 ± 6 A | |||
| 16 | 8.9 ± 0.2 A | 26.8 ± 5 A | Small | 7.4 ± 0.5 C | 89 | 22.5 ± 6 A |
| Average | 8.6 ± 0.4 B | 100 | 28.5 ± 6 A | |||
| Large | 10.7 ± 0.4 A | 100 | 28.3 ± 6 A | |||
| LA | 6.7 ± 0.1 C | 16.5 ± 4.7 C | LA | 6.7 ± 0.01 | 70 | 15.8 ± 5 |
| Survival | DBH | Dominance | |||
|---|---|---|---|---|---|
| Coeff. | OR | Coeff. | Coeff. | OR | |
| Intercept | −0.86 | −2.02 | |||
| Independent variables | |||||
| Height at planting (cm) | 0.32 *** | ||||
| Basal diameter at planting (mm) planting | 0.24 *** | 1.27 | 0.05 | 1.31 | |
| DBH of tallest competitor (mm) | 0.04 *** | ||||
| Family | |||||
| 8 | 1.10 ** | 7.59 | 12.16 ** | ||
| 9 | 0.47 * | 4.05 | 5.63 * | ||
| 10 | 0.45 * | 3.98 | 6.43 ** | ||
| 11 | 0.21 | 3.12 | 1.41 | ||
| 12 | −0.67 ** | 1.29 | 6.61 * | ||
| 14 | −0.71 ** | 1.41 | 2.70 | ||
| 16 | 0.07 | 2.71 | 6.36 | ||
| LA (reference) | |||||
| Species of tallest competitor | |||||
| Black cherry | −1.39 *** | 0.16 | |||
| Red maple | −0.51 ** | 0.38 | |||
| Serviceberry | 0.45 | 0.98 | |||
| White oak | 0.89 ** | 1.53 | |||
| Wild northern red oak | 0.18 | 0.75 | |||
| Other | −0.09 | 0.58 | |||
| Planted northern red oak (reference) | |||||
| Growth Pattern | Family | ||||
|---|---|---|---|---|---|
| 8 | 9, 10, 11, 16 | 12, 14 and LA | Total Seedlings (%) | ||
| 0L-0Q | Percent | 4 | 9 | 19 | 13 |
| Trees died or added little growth | chi-square | 3.50 | 4.19 * | 9.25 * | |
| NL-PQ | Percent | 8 | 28 | 34 | 29 |
| Trees died back then grew | chi-square | 8.50 * | 0.16 | 2.59 | |
| PL-NQ | Percent | 4 | 5 | 9 | 7 |
| Trees grew then died or died back | chi-square | 0.70 | 1.11 | 2.30 | |
| PL-PQ | Percent | 55 | 23 | 10 | 19 |
| Growth rate increased steadily over time | chi-square | 34.32 * | 2.47 | 16.73 * | |
| 0L-PQ, PL-0Q (pooled) | Percent | 30 | 34 | 29 | 32 |
| No initial growth | chi-square | 0.04 | 0.92 | 1.01 | |
| Growth Pattern | Seedling Size Class | ||||
|---|---|---|---|---|---|
| Large | Small and Average | LA | Total Seedlings (%) | ||
| 0L-0Q | Percent | 6 | 11 | 24 | 13 |
| Trees died or added little growth | Chi-square | 6.11 * | 1.6 | 17.44 * | |
| NL-PQ | Percent | 26 | 29 | 33 | 29 |
| Trees died back then grew | Chi-square | 0.46 | 0.02 | 0.79 | |
| PL-NQ | Percent | 3 | 8 | 8 | 7 |
| Trees grew and then died back | Chi-square | 4.5 * | 0.6 | 0.77 | |
| PL-PQ | Percent | 27 | 22 | 7 | 19 |
| Growth increased over time | Chi-square | 5.66 * | 1.2 | 14.98 * | |
| 0L-PQ, PL-0Q (pooled) | Percent | 37 | 31 | 28 | 32 |
| No initial growth | Chi-square | 1.86 | 0.08 | 0.81 | |
© 2018 by the authors. Licensee MDPI, Basel, Switzerland. This article is an open access article distributed under the terms and conditions of the Creative Commons Attribution (CC BY) license (http://creativecommons.org/licenses/by/4.0/).
Share and Cite
Pinchot, C.C.; Hall, T.J.; Saxton, A.M.; Schlarbaum, S.E.; Bailey, J.K. Effects of Seedling Quality and Family on Performance of Northern Red Oak Seedlings on a Xeric Upland Site. Forests 2018, 9, 351. https://doi.org/10.3390/f9060351
Pinchot CC, Hall TJ, Saxton AM, Schlarbaum SE, Bailey JK. Effects of Seedling Quality and Family on Performance of Northern Red Oak Seedlings on a Xeric Upland Site. Forests. 2018; 9(6):351. https://doi.org/10.3390/f9060351
Chicago/Turabian StylePinchot, Cornelia C., Thomas J. Hall, Arnold M. Saxton, Scott E. Schlarbaum, and James K. Bailey. 2018. "Effects of Seedling Quality and Family on Performance of Northern Red Oak Seedlings on a Xeric Upland Site" Forests 9, no. 6: 351. https://doi.org/10.3390/f9060351
APA StylePinchot, C. C., Hall, T. J., Saxton, A. M., Schlarbaum, S. E., & Bailey, J. K. (2018). Effects of Seedling Quality and Family on Performance of Northern Red Oak Seedlings on a Xeric Upland Site. Forests, 9(6), 351. https://doi.org/10.3390/f9060351
