Next Article in Journal
Forest Regeneration Following Emerald Ash Borer (Agrilus planipennis Fairemaire) Enhances Mesophication in Eastern Hardwood Forests
Previous Article in Journal
Effects of Seedling Quality and Family on Performance of Northern Red Oak Seedlings on a Xeric Upland Site
 
 
Font Type:
Arial Georgia Verdana
Font Size:
Aa Aa Aa
Line Spacing:
Column Width:
Background:
Article

Amount and Location of Damage to Residual Trees from Cut-to-Length Thinning Operations in a Young Redwood Forest in Northern California

by
Kyungrok Hwang
1,*,
Han-Sup Han
2,
Susan E. Marshall
1 and
Deborah S. Page-Dumroese
3
1
Department of Forestry and Wildland Resources, Humboldt State University, Arcata, CA 95521, USA
2
Ecological Restoration Institute, Northern Arizona University, Flagstaff, AZ 86011, USA
3
USDA Forest Service Rocky Mountain Research Station, Moscow, ID 83843, USA
*
Author to whom correspondence should be addressed.
Forests 2018, 9(6), 352; https://doi.org/10.3390/f9060352
Submission received: 10 April 2018 / Revised: 3 June 2018 / Accepted: 8 June 2018 / Published: 13 June 2018
(This article belongs to the Section Forest Ecology and Management)

Abstract

A cut-to-length (CTL) harvest system using a harvester and forwarder has been recently introduced in northern California (USA) for thinning young (<25 years old) redwood forests (Sequoia sempervirens (Lamb. ex D. Don) Endl.). However, the severity of CTL damage to residual trees in this forest type are unknown. The goals of this study were to (1) determine the location, size, and number of scars resulting from CTL harvesting and (2) compare scar size differences between redwood clumps and individual trees in two units. Most scars occurred on trees located near the forwarding trails. Wider and longer scars were associated with clumped trees (9.1–12.2 cm wide and 28.1–46.2 cm long) as compared to scars on individual trees (8.1–9.5 cm wide and 16.7–31.3 cm long), and 16–32% of the residual trees were scarred. Determining a minimum scar size will define the severity of stand damage; larger scars result in a longer time until closure. However, counting all the smaller scars that result from CTL harvesting will result in a large number of counted damaged trees. Therefore, we suggest that scars smaller than 5–10 cm width are acceptable on coastal redwood after CTL thinning.

1. Introduction

Redwood (Sequoia sempervirens (Lamb. ex D. Don) Endl.) is a coniferous species which grows from central California to southwest Oregon. Its range extends inland from the Pacific coast 80 km. Thinning in redwood stands provides wood for beautiful products and a source of revenue for landowners [1]. Redwood is one of the most productive timber species in North America because it is closely associated with the presence of marine fog, grows on productive soils, has a long growing season, and has a rapid growth rate [2]. In addition, stand thinning is one method to control stand density to promote tree productivity. Thinning in redwood stands increases tree diameter and height growth because of less competition from surrounding vegetation [3]. Thinning activities can reduce a fire hazard, increase residual stand growth [4], change wildlife habitat, increase forest health [5], and yield intermediate revenues [6]. One distinctive characteristic of redwood trees is that a proportion of trees occur as a clump, resulting in a cluster of trees [4]. This clumpy growth form may make it difficult to use mechanical harvesting equipment to thin stands without producing a large amount of damage to the tree cambium.
In many areas, mechanized harvesting used for forest thinning operations have increased in popularity because they are effective tools to manage overstocked stands and restore ecosystem services. However, the range of stem sizes, particularly large diameter trees, makes thinning in redwood stands difficult with mechanized systems. Thus, in the past, logging operators previously harvested redwoods using labor-intensive manual felling. Over time, coastal redwood forest stand structure has shifted in composition from a majority of the stand consisting of old growth trees to overstocked stands of young trees (<25 years old). This shift in stand structure makes the trees more accessible to harvesting using newer mechanized methods.
One mechanized method for harvesting is the cut-to-length (CTL) system, which is comprised of a harvester and forwarder. This equipment is optimal for cutting small to medium-sized trees (from 10 to 41 cm diameter at breast height (DBH)), but may have a high initial costs during forest operations [7,8]. Harvesters fell and process trees in the stand, and place the branches and foliage on the soil surface. The trees are then left on the trail for the forwarder to pick up and move to a landing. One concern with using CTL systems has been the potential impact to the residual stand. In particular, CTL harvesting can cause a significant amount of damage to the residual trees, which may subsequently impact tree growth and future timber values [9]. In western Oregon, 47years-old Douglas-fir (Pseudotsuga menziesii (Mirb.) Franco) and western hemlock (Tsuga heterophylla (Raf.) Sarg.) scar damage from CTL operations did not affect tree growth directly [8] but provided a pathway for fungi to cause wood defects, such as pitch rings, resulting in a loss of tree volume [10]. Similar damage was noted in the Romanian Carpathians [11], the northeastern USA [12], and in the Amazon region [13]. Furthermore, although Kiser [14] reported the growth responses of coastal Douglas-fir from mechanical damage was not significant between damaged and undamaged trees, there was a reduction in crown length after scarring. These studies indicate that stand damage from cut-to-length harvest operations can be a significant cause of tree growth decline or increased disease resulting in lower quality wood.
Han and Kellogg [15] define scar resulting from mechanical harvest operations as the removal of wood fiber from the tree stem. Each scar location (height from ground level) and size (width, height, and depth) is recorded. Scar size is an important characteristic that defines the amount, extent, and impact of CTL harvest operations. However, it is difficult for landowners to agree on an absolute definition of acceptable size scar so that tree growth is not impeded [10]. For example, the minimum acceptable scar size can vary from 6.5 cm2 to 464 cm2, and the severity of the tree damage usually depends on the scar location (e.g., roots, stem, or crown) [10,16]. Han [10] reported that helicopter logging resulted in damage high on the bole (5.4 m), followed by damage lower on the bole when using skyline harvest systems (2.0 m). Harvesting with CTL systems usually results in tree damage at approximately 1.6 m high on the bole while tractor logging tree scars were most often located approximately 0.9 m above the soil surface. In the Carpathian Mountain, CTL harvesting produced stand damage at a height of less than 1 m on 65% of the trees [11].
The severity of scar damage depends on several factors, such as harvest system [10,17], operator proficiency [18], harvest season [19,20], and tree species [8]. In a loblolly pine (Pinus taeda L.) stand using whole-tree (WT) and CTL harvest systems, Lanford and Stokes [17] reported that WT harvesting had 40% more scars that were 10 times larger than CTL harvest systems. Furthermore, Limbeck-Lilienau [20] noted that, in mountainous terrain, 43% of the residual trees were damaged during WT harvesting, while only 20% of the trees were damaged in the CTL units. Residual stand damage frequently occurs during timber transport (i.e., skidding and forwarding) [10,17,21]. Froese and Han [22] found that when using a CTL system, damaged trees were often located near forwarding trails and were not distributed randomly throughout the stand. In addition, the timing of harvest operations can help minimize stand damage. For example, winter operations in Austria caused less damage than summer logging [20] while Cline et al. [19] reported the greatest number of damaged trees occurred between summer and fall.
We could find no published studies that evaluate CTL harvesting in redwood forests and the subsequent evaluation of tree damage. However, since this harvest system is now being proposed for many redwood stands in northern California, it is critical to understand the number of trees damaged, the level of damage (scar size), and the location of damage on the tree. Therefore, the objectives of this study were to determine (1) scar characteristics and their distribution on the bole, (2) scar size on both tree clump and individual trees, and (3) best management practices to reduce stand damage.

2. Materials and Methods

Data for this study were collected from two units in the Crannell tract, a Green Diamond Resource Company forest in northern California, USA. One unit is located on road CR 1200 (41°01′27″ N, 124°05′50″ W), and the other on CR 1003 (41°01′27″ N, 124°05′03″ W), (Figure 1). Unit CR 1200 was harvested in January through April, and CR 1003 was harvested in June through August in 2017. Before thinning, CR 1200 was 10.1 ha, including 1.2 ha within a watercourse and lake protection zone (WLPZ) at an elevation of 126 m with a flat slope (approximately 0%). Stand characteristics and species distribution for both units are shown in Table 1. There were 2390 trees per hectare (TPH), with redwood being the dominant species, followed by red alder (Alnus rubra Bong.), Douglas-fir, and Sitka spruce (Picea sitchensis (Bong.) Carr.). CR 1003 was 12.1 ha in size at an elevation of 188 m, and a ground slope ranging from 0% to 27%. This area had an average DBH of 21 cm and average tree height of 19 m, and was dominated by redwood, red alder, Sitka spruce, and Douglas-fir. It is worth noting that both CR 1200 and 1003 had some trees with bear damage (gouging of the bark) before thinning operations began.
Commercial CTL thinning operations were performed in each unit to provide a range of soil moisture conditions, equipment types, and operator skill. A Ponsse Bear harvester with a H8 head was used to fell, delimb, and buck trees in CR 1200, and another harvester (Ponsse Ergo), with a H7 head, was used in CR 1003. The operator harvesting CR 1200 had more than 20 years of experience whereas the operator in CR 1003 had five years of experience. Forwarding operations were performed by a Ponsse Buffalo. For each unit, the thinning objectives were similar: (1) cut the dead trees (2) increase spacing for trees (3) reduce forest fire fuel continuity. Other restrictions on cutting were that, trees greater than 60 cm at DBH were not to be harvested, 60% canopy closure was maintained, and the healthiest and vigorous dominant and co-dominant trees were retained to result in a basal area (BA) of 23 m2 per hectare.
We defined tree damage as the removal of the bark and cambial layer, exposing sapwood [10]. We used a systematic sampling method determining damage. This method gives similar results as total tree sampling, and provides an equal probability of selecting a damaged tree [10]. We systematically installed a fixed circular plot (0.04 ha in size) perpendicular to the forwarder trails every 106 m. All trees within the plot circle were measured. We had a total of 21 plots in CR 1200 and 30 plots in CR 1003. Individual trees or clumps occurring at the circular plot were used to count tree damage. Only scars on the tree stem (not branches) were assessed. Number of scars per tree, number of trees damaged per hectare, height of scar from ground level, distance from the scar to the forwarding trail centerline, and scar size (width and length) were recorded. Furthermore, we distinguished if the scar was on individual or clumped tree. However, we did not measure trees (or scars) that had existing bear damage to prevent confounding our data. All trees with scars within a 0.04 ha plot were measured regardless of scar size. Trees less than 5 cm DBH were excluded from scar measurements.
The R Package (R Development Core Team 2008) was used for the data analysis. Each unit was analyzed separately and residual stand damage was the independent variable. We tested for normality using the Shapiro-Wilk test. The ANOVA test was performed to identify the interaction of scar width between tree species and DBH, and units and species, respectively. The Mann–Whitney U test was used to determine scar size differences among tree clumps and individuals.

3. Results

3.1. Stand Characteristics after Thinning

Post-thinning stand characteristics for both units are summarized in Table 2. After thinning, 67% of trees were harvested in CR 1200, leaving 768 TPH, and a BA was reduced to 40 m2/ha. In this unit, the average DBH significantly increased after thinning, but height was similar. In CR 1003, 74% of trees were thinned, and the residual stand had an average of 28 cm DBH and 19 m of height. There were no significant changes in tree species distribution in both units.

3.2. Description of Residual Scar Damage

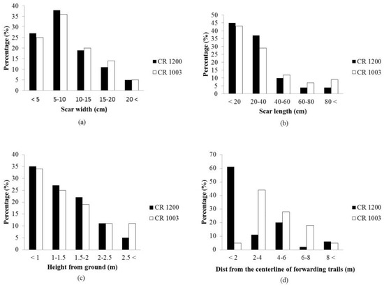
In unit CR 1200, winter harvesting resulted in 16.2% of residual trees having scar damage from the CTL equipment and operators. These trees had an average DBH of 24.8 cm with an average of 1.7 scars per tree (Table 3). Red alder trees had the greatest number of scars (approximately three scars per tree), redwood had more than one scar regardless of growing type (clump or individual tree), and Douglas-fir and Sitka spruce had minor scarring (Table 4). On all the trees in unit CR 1200, the average scar was 9.0 cm wider, and 27.3 cm long with scars occurring 4.8 m from the centerline of the forwarding trails at a height of 1.3 m above ground level (Table 5). Over 60% of the scars had a width less than 10 cm and length less than 40 cm (Figure 2). The majority of scars were located within 2 m of the forwarding trail, and less than 1 m above ground level.
In CR 1003, which was harvested during summer, 32.2% of residual trees had scar damage. Trees with scar damage averaged 30.7 cm DBH, and had 1.7 scars (Table 3). In this unit, Sitka spruce and Douglas-fir had the greatest number of scars, with an average of more than two per tree. Redwood and red alder had an average of 1.6 scars per tree (Table 4). Overall, scars on residual trees in this unit averaged 10.4 cm wide and 36.1 cm long (Table 5). In addition, scarred trees were located 4.5 m from the centerline of forwarding trails, with scars located 1.5 m above ground level. More than 60% of the scars were wider than 10 cm and less than 40 cm long (Figure 2). The majority of scarred trees were located within 4 m of the forwarding trail, and 34% of scars were located less than 1 m of ground height.
To determine if clumped or individual trees had more scarring from CTL harvesting, we compared scar size according to tree growing form. There was only a slight difference in scar width between clump and individual trees in CR 1200 (Table 6), but they were not statistically different (p = 0.1611). However, scar length in clumped trees in unit CR 1200 was almost twice as large as those on individual trees (p < 0.0001). In unit CR 1003, scars were 3 cm wider and 15 cm longer in clumped trees as compared to individual trees, and were statistically different for both width (p = 0.0054) and length (p < 0.0001).
Our data also show that tree DBH was a significant factor in determining the width of scarring damage (Table 7). Although our data is limited to two units, we tested scar width using a two-way ANOVA for species and units (Table 8). We found that scar width was significantly greater in unit CR 1003 as compared to unit CR 1200. We found tree species was also important factor with Sitka spruce and red alder having greater scar widths in unit CR 1003. In unit CR 1200 there were scar width differences among all species (Figure 3).

4. Discussion

4.1. Factors Affecting Residual Tree Scar Damages

Except for evaluating scar width between units and species, we analyzed each unit (CR 1200 and CR 1003) separately because of several reasons: (1) CR 1200 was winter harvested and CR 1003 was summer harvested; (2) each unit had unique stand structure and species composition; (3) tree DBH differed between units; (4) different equipment and operators were used in each unit; and (5) CR 1200 was flat, and CR 1003 had a slope ranging from 0–27%. All of these factors can lead to different conclusions if the stands were combined for all analyses. For example, Limbeck-Lilienau [20] noted that there was more severe scar damage to residual trees (20–21%) on steep slope units as compared to only 3–6% of residual trees on flat ground.
Numerous studies have pointed out that one key to increasing the number of trees harvested during a day is the size of the tree [23,24,25], and this may be dependent on the type of equipment used [26]. In addition to tree size, operator skill may be the most important factor governing the number, size, and distribution of scars on residual trees. As noted previously, the operator for unit CR 1200 had over 20 years of working experiences, and had been practicing for six months before harvesting the unit. In contrast, the operator harvesting unit CR 1003 had worked for only five years, and only had one month of training on the CTL equipment. Thus, combined with differences in slope and harvest season, unit CR 1003 had a greater number and larger sized scars. Furthermore, the operator working in unit CR 1003 was not familiar with cutting tree clumps, which could also lead to the increased residual tree damage. Kelley [18] showed that different operators could result in a difference in scarring of 16% in Vermont. In addition, on Scandinavian forest sites, Sirén [27] found that different operators only caused a stand damage ranging from 1.4% to 6.6%.
Although equipment operators and tree size may dictate much of the residual stand damage, harvest season is also a critical consideration [8,19,20]. Harvest operations that occur in the summer have been shown to cause increased scarring damage because the cambium and bark are loose and susceptible to removal when struck by equipment or another tree [28]. This is similar to work conducted by Yilmaz and Akay [29], and Bobik [30], in which the greatest number of tree scars occurred during the summer.
Our data clearly show that tree species is an important factor in how many and the size of scar damage on residual trees. Although the average number of scars per tree were similar for each unit (1.7 scars/tree), redwood, Douglas-fir, and red alder sustained a substantial number of scars, while Sitka spruce had less damage. Previous studies suggest that the scarring varies in different tree species because of differences in bark type. Aho et al. [31] suggested that the trees that are thin-barked and non-resinous are more susceptible to damage from logging. In redwood trees, the sapwood is not decay-resistant, as it is in other members of the Cupressaceae family, but it has decay-resistant bark and heartwood making this tree species immune to insects and disease if the bark is not damaged [32]. These redwood characteristics may be important for preventing deep scars and diseases in redwoods, but there is little data on this species. Similarly, Froese and Han [22] showed that scar size was different between Douglas-fir (65 cm2) and grand-fir (Abies grandis (Douglas ex D. Don) Lindley) (425 cm2). Howard [33] reported that scars from cable yarding operations also varied among Douglas-fir, western hemlock, and western red cedar (Thuja plicata Donn ex D.Don). Western red cedar was damaged nearly twice as much as Douglas-fir, which suggests that Douglas-fir has bark thick enough to minimize scarring. In our study, however, we could not test the seasonal and operator effects separately, since these two variables are confounded. Thus, we could not detect whether the scar width differences in each species were from operators, harvest season, or slope.
The interval between felling and forwarding was very short in our study, therefore, we could not detect the number, distribution, or size of scars attributed to each machine. Instead, we observed how each machine generated scar damage during operations. When the harvester was working, scars on residual trees were a result of grappling large-sized trees, or when felled trees got hung-up on residual trees. Scars from the forwarding operation occurred when logs were moved from the deck (ground) to the bunk. Han and Kellogg [34] showed that a harvester caused more damage than a forwarder (63.8% vs. 28.6%), however, the forwarder caused larger scars on residual trees as compared to the harvester (178.7 cm2 vs. 143.9 cm2). They suggested that damage could be reduced by retaining optimal trail spacing for harvester, and making trails as straight as possible for the forwarder. Both machines generated scarring low to the ground as they moved along the trees near the forwarding trails, and this location of scarring damage may make trees more susceptible to fungal infestations [35].

4.2. Scar Damage on between Clumps and Individual Trees

We detected longer and wider scars in clumped trees as compared to individual trees in both harvest units. When cutting a clumped tree, the harvester operator spent a long time grappling a tree in the clump since there was limited space to handle the trees. This would often generate larger scars on the residual trees within the clumps. Likewise, when a harvester initially grabbed a clumped tree, the head was slightly higher up in a clump than on an individual tree because it was difficult for the harvester head to catch the lower part of the tree. This caused the harvester head to travel downward on the tree, causing lengthwise scarring. Kelley [18] also found that trees in high-density stands were difficult to cut without scarring the neighboring trees. Additionally, there were some residual trees that were cut by the harvester sawblade, resulting in indirect damage. These trees can be unstable and prone to windthrow, particularly when the soil is wet, resulting in additional damage to the residual standing trees. We did not count windfall or bear damage, but we found more scars from sawblades in CR 1200 as compared to CR 1003. The equipment operator working in unit CR 1003 adjusted the harvester head system so the sawblade cut only as much as the head grabbed. This likely prevented additional scarring on adjacent trees.

4.3. Scar Distribution

Our data supports the work of others who have examined residual tree scars associated with CTL logging operations [8,15,16,22]. We found a majority of the scars on the residual trees were located near the ground (within 1 m) in both units. Froese and Han [22] reported that over 30% of the scars were located within 1 m of ground, suggesting that the majority of scars are associated with machine passes, timber processing, and handling. Bettinger and Kellogg [8] also found this same result, and suggested that trees with scars this low to the ground may be more vulnerable to wood-decaying fungi than those with scars higher on the stem [35]. Nevill [36] reported that roots and stems scarred near the ground were always infected with the decay fungi, Heterobasidion annosum. This fungus spreads by basidiospores or conidia in fresh wounds created by thinning operations [37]. In CR 1200, the trees growing in clumps were frequently cut lower on the bole to increase the volume harvested. However, trees in CR 1003 were cut higher on the stem to have enough space for operators to cut one tree from the clump.
The majority of the scars were mainly located on residual trees within 4 m of the centerline of the forwarding trails in both units. Only a small proportion of scars were found on trees located over 4 m from the trails, but a greater number of trees over 4 m from the centerline in CR 1003 had scars. This is similar to the pattern of scarring noted by Bettinger and Kellogg [8], and Han and Kellogg [15], in which 64–72.2% of scars occurred within 4.5 m of trail centerline when using a CTL system. Athanassiadis [38] suggested that as the distance between the operator and the tree increases, it is harder to control both the machine and logs, therefore, most operators will do a majority of work near the forwarding trail.
Scar size is an important factor associated with future activity of wood decay fungi [39,40]. Specifically, scar width has been shown to be more important than length when determining fungal decay incidence [41]. This can be important for determining the value of wood that may be produced in the future, or for estimating the number of trees that may die due to fungal infections. However, scar size is critical for determining how many residual trees could be counted as damaged after CTL harvest operations. This information is important for land managers to understand when determining the acceptable level of residual stand damage. For example, we show that if scars wider than 5 cm were counted, 13.9% of the residual trees in CR 1200 and 31.5% of the trees with scars be considered damage (Table 9). Similarly, if only scars greater than 20 cm are counted, then 1.7% in CR 1200 and 3.9% in CR 1003 would be considered damaged. Green Diamond Resources Company provided us with their definition of what they consider stand damage for both redwood and Douglas-fir. Their standards for when scars should be counted as damage are redwood scars wider than 30% of the circumference of tree at DBH, and Douglas-fir scars wider than 20% of the circumference of the tree at DBH. To illustrate this, we calculated the percent of damaged trees using these definitions, (Table 10). This change in the definition for determining when trees are considered damaged results in an approximately 5% decrease in damaged trees in CR 1200, and 9% decrease in damaged trees in CR 1003. Based on the percent of trees with different scar widths (Table 9) and using the company’s standards, we suggest that scar widths between 5 and 10 cm would be an acceptable level of stand damage for these coastal redwood sites.

4.4. Best Management Practices (BMPs) for Reducing CTL Scarring

Previous studies have suggested BMPs that would reduce the amount of scar damage associated with CTL logging operations [15,18,31,36], but they are not specific to coastal redwood stands. Both public land management agencies and private timber companies understand that good planning and logging practices can reduce residual stand damage, particularly tree scarring, and decrease operating time and labor [16]. In coastal redwood stands, we recommend the following BMPs:
  • Cut trees to leave stumps lower to the ground surface within the forwarding trail, so that harvesting equipment does not have to move to the side of the trails.
  • In areas of clumped trees, leaving a higher stump provides space for the harvester head to move without damaging trees. Higher stumps may also help prevent damage from windthrow.
  • Use experienced operators when cutting redwood clumps and on steep slopes, since these situations require specialized skills.
  • Select units so that operations are conducted in the winter, and avoid spring and summer harvesting in coastal redwood stands.
Using these BMPs will help ensure that these highly productive stands continue to produce high-quality timber products, and that the damage assessed is meaningful to land managers. Understanding where stand damage occurs on trees close to forwarding trails, the species mix, slope, operator, and equipment will limit the amount of residual tree damage from CTL harvest operations.

5. Conclusions

There are many concerns about CTL logging damage to residual redwood trees. In the two units we assessed, we found a total of 16.2% of trees were damaged in CR 1200, and 32.2% in CR 1003, and the scar-damaged trees were concentrated near the forwarding trails (less than 4 m) with scars at or near the ground (less than 1 m). Scar width and length were greater on trees growing in clumps than on individual trees, which highlights the need for skilled operators, given the limited space within a clump. We encourage additional studies of CTL harvesting in coastal redwood stands to determine if residual stand damage results in increased fungal infection and tree damage associated with decay fungi.

Author Contributions

K.H.: He did an experiment of this study and conducted all statistical analyses as a primary author. H.-S.H.: Han-Sup Han developed and directed the implementation of the research project in collaboration with a local forest products company. S.E.M.: She gave a comments regarding result of our study. D.S.P.-D.: She gave a lot of comments and revised the manuscript.

Conflicts of Interest

The authors declare no conflicts of interest.

References

  1. Noss, R.F. The Redwood Forest: History, Ecology, and Conservation of the Coast Redwoods; Island Press: Washington, DC, USA, 1999. [Google Scholar]
  2. Oliver, W.W.; Lindquist, J.L.; Strothmann, R.O. Young-growth Redwood Stands Respond Well to Various Thinning Intensities. West. J. Appl. For. 1994, 9, 106–112. [Google Scholar]
  3. Cole, D.W. Redwood Sprout Growth Three Decades After Thinning. J. For. 1983, 81, 148–157. [Google Scholar]
  4. O’Hara, K.L.; Narayan, L.; Cahill, K.G. Twelve-year Response of Coast Redwood to Precommercial Thinning Treatments. For. Sci. 2015, 61, 780–789. [Google Scholar] [CrossRef]
  5. Franklin, J.F.; Johnson, K.N. A Restoration Framework for Federal Forests in the Pacific Northwest. J. For. 2012, 110, 429–439. [Google Scholar] [CrossRef]
  6. Tappeiner, J.C.; Bell, J.F.; Brodie, J.D. Response of Young Douglas-Fir to 16 Years of Intensive Thinning; Oregon State University: Corvallis, OR, USA, 1982. [Google Scholar]
  7. Kellogg, L.; Bettinger, P.; Robe, S.; Steffert, A. Mechanized Harvesting: A Compendium of Research; Forest Research Laboratory, College of Forestry, Oregon State University: Corvallis, OR, USA, 1992. [Google Scholar]
  8. Bettinger, P.; Kellogg, L.D. Residual Stand Damage from Cut-to-length Thinning of Second-growth Timber in the Cascade Range of Western Oregon. For. Prod. J. 1993, 47, 59–64. [Google Scholar]
  9. Mirkala, R.M. Comparison of Damage to Residual Stand Due to Applying Two Different Harvesting Methods in the Hyrcanian Forest of Iran: Cut-to-length Vs. Tree Length. Casp. J. Environ. Sci. 2017, 15, 13–27. [Google Scholar]
  10. Han, H.-S. Damage to Young Douglas-fir Stands from Commercial Thinning with Various Timber Harvesting Systems and Silvicultural Prescriptions: Characteristics, Sampling Strategy for Assessment and Future Value Loss. Ph.D. Thesis, Oregon State University, Corvallis, OR, USA, 1997. [Google Scholar]
  11. Câmpu, V.R.; Borz, S.A. Amount and Structure of tree damage when using cut-to-length system. Environ. Eng. Manag. J. EEMJ 2017, 16, 2053–2061. [Google Scholar]
  12. Heitzman, E.; Grell, A.G. Residual tree damage along forwarder trails from cut-to-length thinning in Maine spruce stands. North. J. Appl. For. 2002, 19, 161–167. [Google Scholar]
  13. Johns, J.S.; Barreto, P.; Uhl, C. Logging damage during planned and unplanned logging operations in the eastern Amazon. For. Ecol. Manag. 1996, 89, 59–77. [Google Scholar] [CrossRef]
  14. Kiser, J.D. Growth Response of Coastal Douglas-fir (Pseudotsuga Menziesii [Mirbel] Franco) in Western Oregon Following Mechanical Commercial Thinning Damage. Math. Comput. For. Natl. Resour. Sci. 2017, 9, 22. [Google Scholar]
  15. Han, H.-S.; Kellogg, L.D. Damage Characteristics in Young Douglas-fir Stands from Commercial Thinning with Four Timber Harvesting Systems. West. J. Appl. For. 2000, 15, 27–33. [Google Scholar]
  16. Tavankar, F.; Bonyad, A.E.; Majnounian, B. Affective Factors on Residual Tree Damage During Selection Cutting and Cable-skidder Logging in the Caspian Forests, Northern Iran. Ecol. Eng. 2015, 83, 505–512. [Google Scholar] [CrossRef]
  17. Lanford, B.L.; Stokes, B.J. Comparison of Two Thinning Systems. Part 1 Stand and Site Impacts. For. Prod. J. 1995, 45, 74–79. [Google Scholar]
  18. Kelley, R.S. Stand Damage from Whole-tree Harvesting in Vermont Hardwoods. J. For. 1983, 81, 95–96. [Google Scholar]
  19. Cline, M.L.; Hoffman, B.F.; Cyr, M.; Bragg, W. Stand Damage Following Whole-tree Partial Cutting in Northern Forests. North. J. Appl. For. 1991, 8, 72–76. [Google Scholar]
  20. Limbeck-Lilienau, B. Residual Stand Damage Caused by Mechanized Harvesting Systems. In Proceedings of the Austro2003 Meeting: High Tech Forest Operations for Mountainous Terrain, Schlaegl, Austria, 5–9 October 2003; Available online: http://www.boku.ac.at/fileadmin/data/H03000/H91000/H91500/limbeck-lilienau.pdf (accessed on 11 June 2018).
  21. Košir, B. Damage to Young Forest Due to Harvesting in Shelterwood Systems. Croat. J. For. Eng. 2008, 29, 141–153. [Google Scholar]
  22. Froese, K.; Han, H.-S. Residual Stand Damage from Cut-to-length Thinning of a Mixed Conifer Stand in Northern Idaho. West. J. Appl. For. 2006, 21, 142–148. [Google Scholar]
  23. Tufts, R.A.; Brinker, R.W. Productivity of a Scandinavian cut-to-length system while second thinning pine plantations. For. Prod. J. 1993, 43, 24–32. [Google Scholar]
  24. Kellogg, L.D.; Bettinger, P. Thinning productivity and cost for mechanized cut-to-length system in the Northwest Pacific coast region of the USA. J. For. Eng. 1994, 5, 43–52. [Google Scholar] [CrossRef]
  25. Tufts, R.A. Productivity and cost of the Ponsse 1997, 15-series, cut-to-length harvesting system in southern pine plantations. For. Prod. J. 1997, 47, 39–46. [Google Scholar]
  26. Kärhä, K.; Rönkkö, E.; Gumse, S.-I. Productivity and cutting costs of thinning harvesters. Int. J. For. Eng. 2004, 15, 43–56. [Google Scholar]
  27. Sirén, M. Tree Damage in Single-grip Harvester Thinning Operations. Int. J. For. Eng. 2001, 12, 29–38. [Google Scholar]
  28. Kellogg, L.D.; Olsen, E.D.; Hargrave, M.A. Skyline Thinning a Western Hemlock-Sitka Spruce Stand: Harvesting Costs and Stand Damage; Forest Research Laboratory, College of Forestry, Oregon State University: Corvallis, OR, USA, 1986. [Google Scholar]
  29. Yilmaz, M.; Akay, A. Stand Damage of a Selection Cutting System in a Uneven Aged Mixed Forest of Cimendagi in Kahramanmaras-Turkey. Int. J. Natl. Eng. Sci. 2008, 2, 77–82. [Google Scholar]
  30. Bobik, M. Damages to Residual Stand in Commercial Thinnings. Master’s Thesis, Swedish University of Agricultural Sciences, Uppsala, Sweden, 2008. [Google Scholar]
  31. Aho, P.E.; Fiddler, G.; Srago, M. Logging Damage in Thinned, Young-Growth True Fir Stands in California and Recommendations for Prevention; Res. Paper PNW-304; Pacific Northwest Research Station: Portland, OR, USA, 1983. [Google Scholar]
  32. Krokene, P.; Nagy, N.E.; Krekling, T. Traumatic Resin Ducts and Polyphenolic Parenchyma Cells in Conifers. In Induced Plant Resistance to Herbivory; Schaller, A., Ed.; Springer: Berlin, Germany, 2008; pp. 147–169. [Google Scholar]
  33. Howard, A.F. Damage to Residual Trees from Cable Yarding When Partial Cutting Second-growth Stands in Coastal British Columbia. Can. J. For. Res. 1996, 26, 1392–1396. [Google Scholar] [CrossRef]
  34. Han, H.S.; Kellogg, L.D. Comparison of Damage Characteristics to Young Douglas-fir Stands from Commercial Thinning Using Four Timber Harvesting Systems. In Proceedings of the 1997 Annual COFE Meeting, Rapid City, SD, USA, 26–28 June 1997. [Google Scholar]
  35. Hunt, J.; Krueger, K.W. Decay Associated with Thinning Wounds in Young-growth Western Hemlock and Douglas-Fir. J. For. 1962, 60, 336–340. [Google Scholar]
  36. Nevill, R.J. A Review of Tree Wounding; Pacific Forestry Cenrer, Canadian Forest Sevice: Victoria, BC, Canada, 1997. [Google Scholar]
  37. Stenlid, J. Population Structure of Heterobasidion Annosum as Determined by Somatic Incompatibility, Sexual Incompatibility, and Isoenzyme Patterns. Can. J. Bot. 1985, 63, 2268–2273. [Google Scholar] [CrossRef]
  38. Athanassiadis, D. Residual Stand Damage Following Cut-to-length Harvesting Operations with a Farm Tractor in Two Conifer Stands. Silva Fenn. 1997, 31, 461–467. [Google Scholar] [CrossRef]
  39. Aho, P.E.; Fiddler, G.; Filip, G.M. Decay Losses Associated with Wounds in Commercially Thinned True Fir Stands in Northern California; Res. Paper PNW-RP-403; U.S. Department of Agriculture, Forest Service, Pacific Northwest Research Station: Portland, OR, USA, 1989; Volume 8, p. 403. Available online: https://www.fs.usda.gov/treesearch/pubs/9236 (accessed on 11 June 2018).
  40. Camp, A. Damage to Residual Trees by Four Mechanized Harvest Systems Operating in Small-diameter, Mixed-conifer Forests on Steep Slopes in Northeastern Washington: A Case Study. West. J. Appl. For. 2002, 17, 14–22. [Google Scholar]
  41. Wallis, G.W.; Morrison, D.J. Root Rot and Stem Decay Following Commercial Thinning in Western Hemlock and Guidelines for Reducing Losses. For. Chron. 1975, 51, 203–207. [Google Scholar] [CrossRef]
Figure 1. Map of the study sites and forwarding trails used by cut-to-length (CTL) systems.
Figure 1. Map of the study sites and forwarding trails used by cut-to-length (CTL) systems.
Forests 09 00352 g001
Figure 2. Scar distribution percentage as related to (a) width and (b) length, (c) height from ground, and (d) distance from centerline of forwarding trail for each unit.
Figure 2. Scar distribution percentage as related to (a) width and (b) length, (c) height from ground, and (d) distance from centerline of forwarding trail for each unit.
Forests 09 00352 g002
Figure 3. Scar width difference among species in CR 1200 and CR 1003 (RW: redwood, DF: Douglas-fir, RA: red alder, and SS: Sitka spruce). Each name on horizontal axes is composed of unit and species.
Figure 3. Scar width difference among species in CR 1200 and CR 1003 (RW: redwood, DF: Douglas-fir, RA: red alder, and SS: Sitka spruce). Each name on horizontal axes is composed of unit and species.
Forests 09 00352 g003
Table 1. Stand composition characteristics including average diameter at breast height (DBH), height, trees per hectare (TPH), basal area (BA), and species distribution (percent of stand) before thinning.
Table 1. Stand composition characteristics including average diameter at breast height (DBH), height, trees per hectare (TPH), basal area (BA), and species distribution (percent of stand) before thinning.
UnitsDBH (cm)Height (m)TPH aBA (m2/ha)RW (%)DF (%)RA (%)SS (%)
CR 12002019239099775171
CR 1003211919709261101713
Note: a Only includes trees 5 cm or greater in diameter at breast height (DBH), RW: redwood, DF: Douglas-fir, RA: red alder, SS: Sitka spruce.
Table 2. Post-thinning stand characteristics of DBH, height, trees per hectare (TPH), basal area (BA), and species distribution (percent of stand).
Table 2. Post-thinning stand characteristics of DBH, height, trees per hectare (TPH), basal area (BA), and species distribution (percent of stand).
UnitsDBH (cm)Height (m)TPH aBA (m2/ha)RW (%)DF (%)RA (%)SS (%)
CR 1200231976840794152
CR 1003281950940739117
Note: a Only includes trees 5 cm or greater in diameter at breast height (DBH), RW: redwood, DF: Douglas-fir, RA: red alder, SS: Sitka spruce.
Table 3. Summary of residual tree scars resulting from CTL operations in each unit.
Table 3. Summary of residual tree scars resulting from CTL operations in each unit.
UnitsPercent of Damaged Tree a (%)# of Damaged Trees b# of Damaged Trees per ha# of Scars per Tree
TotalRWDFRASS
CR 120016.2968151001081.7
CR 100332.215099241981391.7
Note: a Calculated based on all scar sizes. Value represents the ratio from total number of trees we sampled. b RW: redwood, DF: Douglas-fir, RA: red alder, SS: Sitka spruce.
Table 4. Number and percent of scars per tree for each tree species a.
Table 4. Number and percent of scars per tree for each tree species a.
UnitsNumber of Scars per TreesPercentage of Damaged Trees b (%)
RWDFRASSRWDFRASS
CR 12001.50.42.90.02021150
CR 10031.52.01.72.430363046
Note: a RW: redwood, DF: Douglas-fir, RA: red alder, SS: Sitka spruce. b Ratio of damaged to the total sampled trees per species not only to the undamaged.
Table 5. Summary of scar characteristics from CTL thing for each unit.
Table 5. Summary of scar characteristics from CTL thing for each unit.
UnitsScar Width (cm)Scar Length (cm)Distance from Centerline (m)Height from Ground (m)
CR 12009.027.34.81.3
CR 100310.436.14.51.5
Table 6. Mean (± standard deviation) scar size (cm) of individual and clumped trees in each unit.
Table 6. Mean (± standard deviation) scar size (cm) of individual and clumped trees in each unit.
UnitsScar WidthScar Length
IndividualClumpp-ValueIndividualClumpp-Value
CR 12008.1 ± 5.09.1 ± 5.10.161116.7 ± 12.128.1 ± 22.20.0001
CR 10039.5 ± 5.112.2 ± 7.10.005431.3 ± 30.346.2 ± 36.7<0.0001
Table 7. Two-way ANOVA for combined data from units CR 1200 and CR 1003 showing degree of freedom, F statistics, and p-value for main effects (species and DBH), and their interaction with scar width (dependent variable).
Table 7. Two-way ANOVA for combined data from units CR 1200 and CR 1003 showing degree of freedom, F statistics, and p-value for main effects (species and DBH), and their interaction with scar width (dependent variable).
SourceDF *Fp-Value
Species31.4520.2270
DBH176.346<0.0001
Species × DBH30.5790.6290
Note: * DF: degree of freedom.
Table 8. Two-way ANOVA for combined data from units CR 1200 and CR 1003 showing degree of freedom, F statistics, and p-value for main effects (unit and species), and their interaction with scar width (dependent variable).
Table 8. Two-way ANOVA for combined data from units CR 1200 and CR 1003 showing degree of freedom, F statistics, and p-value for main effects (unit and species), and their interaction with scar width (dependent variable).
SourceDF *Fp-Value
Species31.3230.2664
Unit18.3590.0040
Unit × Species212.693<0.0001
Note: * DF: degree of freedom.
Table 9. Percentage of number of damaged trees in different scar width (cm) categories.
Table 9. Percentage of number of damaged trees in different scar width (cm) categories.
Units% of Scarred Trees
NoneMore than 5 cmMore than 10 cmMore than 15 cmMore than 20 cm
CR 120016.213.97.63.21.7
CR 100332.231.521.011.43.9
Table 10. Percentage of number of damaged trees based on the landowner’s definition.
Table 10. Percentage of number of damaged trees based on the landowner’s definition.
Units% of Scarred TreesNumber of Scarred Trees a
TotalRWDFARSS
CR 120011.065505100
CR 100322.71065920198
Note: a RW: redwood, DF: Douglas-fir, RA: red alder, and SS: Sitka spruce.

Share and Cite

MDPI and ACS Style

Hwang, K.; Han, H.-S.; Marshall, S.E.; Page-Dumroese, D.S. Amount and Location of Damage to Residual Trees from Cut-to-Length Thinning Operations in a Young Redwood Forest in Northern California. Forests 2018, 9, 352. https://doi.org/10.3390/f9060352

AMA Style

Hwang K, Han H-S, Marshall SE, Page-Dumroese DS. Amount and Location of Damage to Residual Trees from Cut-to-Length Thinning Operations in a Young Redwood Forest in Northern California. Forests. 2018; 9(6):352. https://doi.org/10.3390/f9060352

Chicago/Turabian Style

Hwang, Kyungrok, Han-Sup Han, Susan E. Marshall, and Deborah S. Page-Dumroese. 2018. "Amount and Location of Damage to Residual Trees from Cut-to-Length Thinning Operations in a Young Redwood Forest in Northern California" Forests 9, no. 6: 352. https://doi.org/10.3390/f9060352

APA Style

Hwang, K., Han, H.-S., Marshall, S. E., & Page-Dumroese, D. S. (2018). Amount and Location of Damage to Residual Trees from Cut-to-Length Thinning Operations in a Young Redwood Forest in Northern California. Forests, 9(6), 352. https://doi.org/10.3390/f9060352

Note that from the first issue of 2016, this journal uses article numbers instead of page numbers. See further details here.

Article Metrics

Back to TopTop