Economic Feasibility of Managing Loblolly Pine Forests for Water Production under Climate Change in the Southeastern United States
Abstract
:1. Introduction
2. Materials and Methods
2.1. Economic Model Specification
2.2. Climatic Scenarios
2.3. Forest Management and Economic Parameters
2.4. Model Application
- (i)
- only changes in climatic conditions can increase water yield, isolating the impact of thinnings (CC). For each site and same SI and PD, we compared the water yield generated by thinned loblolly pine forests under current climatic conditions (baseline) and the water yield generated by thinned loblolly pine forests under changing climatic conditions (Scenarios RCP4.5 and RCP8.5);
- (ii)
- both climate change and thinnings can increase water yield (CCT). For each site, and same SI and PD, we compared the water yield generated by unthinned loblolly pine forests under current climatic conditions (baseline) vs. the water yield generated by thinned loblolly pine forests under climate change (scenario RCP4.5 and RCP8.5); and
- (iii)
- climate change, thinnings, and changes in PD can increase water yield (CCTPD). For each site and SI, we compared the water yield generated by unthinned loblolly pine forests with a high PD (2250 trees ha−1) under current climatic conditions (baseline) vs. the water yield generated by thinned loblolly pine forests with a low PD (750 trees ha−1) under climate change (Scenarios RCP4.5 and RCP8.5).
3. Results
3.1. Water Yield and Feasibility of Forest Management Scenarios
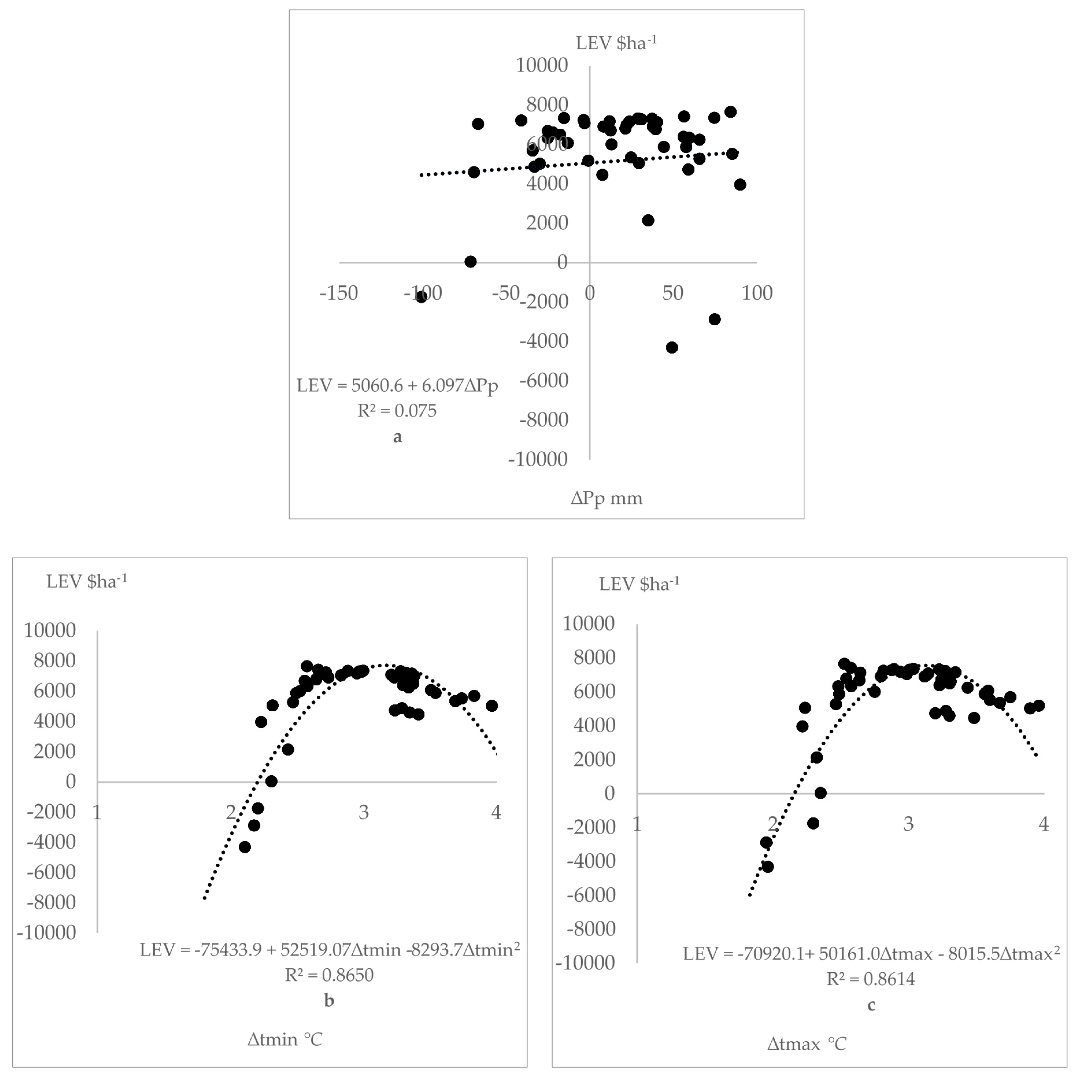
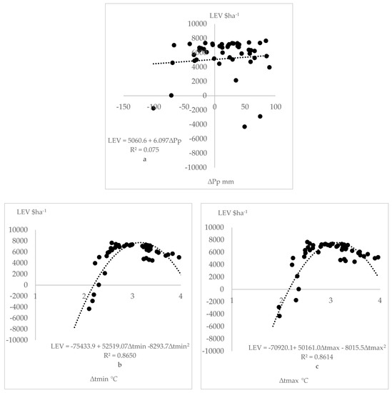
3.2. Land Expectation Values LEVs and Feasible Forest Management Scenarios
4. Discussion
5. Conclusions
Supplementary Materials
Acknowledgments
Author Contributions
Conflicts of Interest
Abbreviations
| LEV | land expectation value |
| PD | planting density |
| FL | Florida |
| GA | Georgia |
| SC | South Carolina |
References
- Environmental Protection Agency (EPA). Climate Change Indicators in the United States, 4th ed.EPA Environmental Protection Agency Report 430-R-16-004; Environmental Protection Agency: Washington, DC, USA, 2016; p. 92.
- Intergovermental Panel on Climate Change (IPCC). Summary for Policymakers. In Climate Change 2013: The Physical Science Basis. Working Group I Contribution to the Fifth Assessment Report of the Intergovermental Panel on Climate Change; Stocker, T., Qin, D., Plattner, G.-K., Tignor, M., Allen, S., Boschung, J., Eds.; Intergovernmenal Panel on Climate Change: Cambridge, NY, USA, 2013; p. 1535. [Google Scholar]
- Mcnulty, S.; Caldwell, P.; Doyle, T.; Johnsen, K.; Liu, Y.; Mohan, J.; Prestemon, J.; Sun, G. Forests and Climate Change in the Southeast USA. In Climate of the Southeast United States: Variability, Change, Impacts, and Vulnerability; Ingram, K., Dow, K., Carter, L., Anderson, J., Eds.; Island Press: Washington, DC, USA, 2013; pp. 165–189. [Google Scholar]
- Wear, D.N.; Greis, J. The Southern Forest Futures Project: Summary Report; General Technical Report SRS-168; U.S. Department of Agriculture Forest Service, Southern Research Station: Asheville, NC, USA, 2012; p. 54.
- National Oceanic and Atmospheric Administration (NOAA). Regional Climate Trends and Scenarios for the U.S. National Climate Assessment. Part 2. Climate of the Southeast U.S.; NOAA Technical Report NESDIS 142-2; National Oceanic and Atmospheric Administration: Washington, DC, USA, 2013; p. 94.
- Wertin, T.M.; McGuire, M.A.; Teskey, R.O. Effects of predicted future and current atmospheric temperature and [CO2] and high and low soil moisture on gas exchange and growth of Pinus taeda seedlings at cool and warm sites in the species range. Tree Physiol. 2012, 32, 847–858. [Google Scholar] [CrossRef] [PubMed]
- Wang, D.; Heckathorn, S.A.; Wang, X.; Philpott, S.M. A meta-analysis of plant physiological and growth responses to temperature and elevated CO(2). Oecologia 2012, 169, 1–13. [Google Scholar] [CrossRef] [PubMed]
- Quinn Thomas, R.; Ahlswede, B. Regional Carbon Cycle Predictions Using Community Land Model; Year 4 Annual PINEMAP Report; Pine Integrated Network: Education, Mitigation and Adaptation Project: Gainesville, FL, USA, 2015. [Google Scholar]
- Lockaby, G.; Nagy, C.; Vose, J.; Ford, C.; Sun, G.; Mcnulty, S.G.; Caldwell, P.V.; Cohen, E.; Moore Myers, J. Forests and Water. In The Southern Forest Futures Project: Technical Report; Wear, D.N., Greis, J., Eds.; General Technical Report SRS-178; U.S. Department of Agriculture Forest Service Southern Research Station: Asheville, NC, USA, 2013; pp. 309–339. [Google Scholar]
- Sun, G.; Caldwell, P.; Mcnulty, S.; Ward, E.; Domec, J.C.; Noormets, A. Regional Carbon Sequestration and Climate Change: It’s All about Water; Year 2 PINEMAP Annual Report; Pine Integrated Network: Education, Mitigation and Adaptation Project: Gainesville, FL, USA, 2013. [Google Scholar]
- Peterson, D.L.; Wolken, J.M.; Hollingsworth, T.N.; Giardina, C.P.; Littell, J.S.; Joyce, L.A.; Swanston, C.W.; Handler, S.D.; Rustad, L.E.; Mcnulty, S.G. Regional Highlights of Climate Change. In Climate Change and United States Forests; Peterson, D.L., Vose, J.M., Patel-Weynand, T., Eds.; Springer Science + Business Media: New York, NY, USA, 2014; p. 261. [Google Scholar]
- Stanturf, J.A.; Goodrick, S.L. Fire. In The Southern Forest Futures Project: Technical Report; Wear, D., Greis, J., Eds.; General Technical Report SRS-178; U.S. Department of Agriculture Forest Service Southern Research Station: Asheville, NC, USA, 2013; p. 542. [Google Scholar]
- Gonzalez-Benecke, C.A.; Teskey, R.O.; Martin, T.A.; Jokela, E.J.; Fox, T.R.; Kane, M.B.; Noormets, A. Forest Ecology and Management Regional validation and improved parameterization of the 3-PG model for Pinus taeda stands. For. Ecol. Manag. 2016, 361, 237–256. [Google Scholar] [CrossRef]
- Oswalt, S.N.; Smith, W.B.; Miles, P.D.; Pugh, S.A. Forest Resources of the United States, 2012: A Technical Document Supporting the Forest Service 2015 Update of the RPA Assessment; General Technical Report GTR-WO-91; U.S. Department of Agriculture Forest Service Washington Office: Washington, DC, USA, 2014.
- PINEMAP. Pine Integrated Network: Education, Mitigation and Adaptation Project. Available online: http://www.pinemap.org/ (accessed on 1 January 2017).
- Han, F.X.; Plodinec, M.J.; Su, Y.; Monts, D.L.; Li, Z. Terrestrial carbon pools in southeast and south-central United States. Clim. Chang. 2007, 84, 191–202. [Google Scholar] [CrossRef]
- Sun, G.; Caldwell, P.; Mcnulty, S.; Georgakakos, A.; Arumugan, S.; Cruise, J.; Mcnider, R.; Terando, A.; Conrads, P.; Feldt, J.; et al. Impacts of Climate Change and Variability on Water Resources in the Southeast USA; NCA Southeast Technical Report 204–234; U.S. Department of Agriculture Forest Service, Island Press/Center for Resource Economics: Washington, DC, USA, 2013.
- Dai, Z.; Amatya, D.; Sun, G.; Trettin, C.; Li, C.; Li, H. Climate variability and its impact on forest hydrology on South Carolina Coastal Plain, USA. Atmosphere (Basel) 2011, 2, 330–357. [Google Scholar] [CrossRef]
- Milly, P.; Dunne, K.; Vecchia, A. Global pattern of trends in streamflow and water availability in a changing climate. Nature 2005, 438, 347–350. [Google Scholar] [CrossRef] [PubMed]
- Sankarasubramanian, A.; Vogel, R.M.; Limbrunner, J.F. Climate elasticity of streamflow in the United States and calibration. Water Resour. Res. 2001, 37, 1771–1781. [Google Scholar] [CrossRef]
- Sun, G.; Caldwell, P.V.; Mcnulty, S.G. Modelling the potential role of forest thinning in maintaining water supplies under a changing climate across the conterminous United States. Hydrol. Process. 2015, 5030, 5016–5030. [Google Scholar] [CrossRef]
- Grant, G.E.; Tague, C.L.; Allen, C.D. Watering the forest for the trees: An emerging priority for managing water in forest landscapes. Front. Ecol. Environ. 2013, 11, 314–321. [Google Scholar] [CrossRef]
- McLaughlin, D.L.; Kaplan, D.A.; Cohen, M.J. Managing forests for increased regional water yield in the southeastern U.S. Coastal Plain. J. Am. Water Resour. Assoc. 2013, 49, 953–965. [Google Scholar] [CrossRef]
- Grace, J.M.; Skaggs, R.W.; Chescheir, G.M. Hidrologic and water quality effects of thinning loblolly pine. Trans. Agric. Biol. Eng. 2006, 49, 645–654. [Google Scholar]
- Susaeta, A.; Soto, J.R.; Adams, D.C.; Allen, D.L. Economic Sustainability of Payments for Water Yield in Slash Pine Plantations in Florida. Water 2016, 8, 382. [Google Scholar] [CrossRef]
- Creedy, J.; Wurzbacher, A.D. The economic value of a forested ctachment with timber, water and carbon sequestration benefits. Ecol. Econ. 2001, 38, 71–83. [Google Scholar] [CrossRef]
- Bowes, M.D.; Krutilla, J.V.; Sherman, P.B. Forest management for increased timber and water yields. Water Resour. Res. 1984, 20, 655–663. [Google Scholar] [CrossRef]
- Caldwell, P.; Muldoon, C.; Miniat, C.F.; Cohen, E.; Krieger, S.; Sun, G.; Mcnulty, S.; Bolstad, P.V. Quantifying the Role of National Forest System Lands in Providing Surface Drinking Water Supply for the Southern United States; General Technical Report SRS-197; Department of Agriculture Forest Service Southern Research Station: Asheville, NC, USA, 2014; p. 135.
- Hugget, R.; Wear, D.N.; Li, R.; Coulston, J.; Liu, S. Forecasts of Forest Conditions. In The Southern Forest Futures Project: Technical Report; Wear, D.N., Greis, J., Eds.; U.S. Department of Agriculture Forest Service: Asheville, NC, USA, 2013; pp. 73–101. [Google Scholar]
- Schultz, R. Loblolly Pine: The Ecology and Culture of Loblolly Pine (Pinus taeda L.); U.S. Department of Agriculture, Forest Service Handbook 713: Washington, DC, USA, 1997.
- Landsberg, J.; Waring, R.H. A generalized model of forest productivity using simplified concepts of radiation use efficiency, carbon balance and partitioning. For. Ecol. Manag. 1997, 95, 209–228. [Google Scholar] [CrossRef]
- Hartman, R. The harvesting decision when a standing forest has value. Econ. Inq. 1976. [Google Scholar] [CrossRef]
- Gonzalez-Benecke, C.A.; Jokela, E.J.; Cropper, W.P.; Bracho, R.; Leduc, D.J. Parameterization of the 3-PG model for Pinus elliottii stands using alternative methods to estimate fertility rating, biomass partitioning and canopy closure. For. Ecol. Manag. 2014, 327, 55–75. [Google Scholar] [CrossRef]
- Coops, N.C.; Hember, R.A.; Waring, R.H. Assessing the impact of current and projected climates on Douglas-Fir productivity in British Columbia, Canada, using a process-based model (3-PG ). Can. J. For. Res. 2010, 524, 511–524. [Google Scholar] [CrossRef]
- Pérez-Cruzado, C.; Muñoz-Sáez, F.; Basurco, F.; Riesco, G.; Rodríguez-Soalleiro, R. Combining empirical models and the process-based model 3-PG to predict Eucalyptus nitens plantations growth in Spain. For. Ecol. Manag. 2011, 262, 1067–1077. [Google Scholar] [CrossRef]
- Landsberg, J.; Sands, P. Physiological Ecology of Forest Production: Principles, Processes and Models; Academic Press Elsevier: Burlington, MA, USA, 2011; p. 352. [Google Scholar]
- Pienaar, L.V.; Shiver, B.D.; Rheney, J.W. Yield Prediction for Mechanically Site-Prepared Slash Pine Plantations in the Southeastern Coastal Plain; PMRC Technical Report 1996-3A; University of Georgia: Athens, GA, USA, 1996. [Google Scholar]
- Intergovermental Panel on Climate Change (IPCC). Annex I: Atlas of Global and Regional Climate Projections. In Climate Change 2013: The Physical Science Basis. Working Group I Contribution to the Fifth Assessment Report of the Intergovermental Panel on Climate Change; Stocker, T., Qin, D., Plattner, G.-K., Tignor, M., Allen, S., Boschung, J., Eds.; Cambridge University Press: Cambridge, NY, USA, 2013; p. 1535. [Google Scholar]
- University of Idaho Multivariate Adaptive Constructed Analogs (MACA) Statistical Downscaling Method. Available online: http://maca.northwestknowledge.net (accessed on 11 November 2016).
- Gonzalez-Benecke, C.A.; Martin, T.A.; Cropper, W.P.; Bracho, R. Forest management effects on in situ and ex situ slash pine forest carbon balance. For. Ecol. Manag. 2010, 260, 795–805. [Google Scholar] [CrossRef]
- Timber Mart-South. U.S. South Annual Review: 2010 Timber Prices & Markets; Timber-Mart South: Athens, GA, USA, 2011. [Google Scholar]
- Timber Mart-South. U.S. South Annual Review: 2011 Timber Prices & Markets; Timber-Mart South: Athens, GA, USA, 2012. [Google Scholar]
- Timber Mart-South. U.S. South Annual Review: 2012 Timber Prices & Markets; Timber-Mart South: Athens, GA, USA, 2013. [Google Scholar]
- Timber Mart-South. U.S. South Annual Review: 2013 Timber Prices & Markets; Timber-Mart South: Athens, GA, USA, 2014. [Google Scholar]
- Timber Mart-South. U.S. South Annual Review: 2014 Timber Prices & Markets; Timber-Mart South: Athens, GA, USA, 2015. [Google Scholar]
- Timber Mart-South. U.S. South Annual Review: 2015 Timber Prices & Markets; Timber Mart-South: Athens, GA, USA, 2016. [Google Scholar]
- USDL Bureau of Labor Statistics. Producer Price Index Industry Data. Available online: https://www.bls.gov/ (accessed on 12 December 2016).
- Barlow, R.; Levendis, W. 2014 cost and cost trends for forestry practices in the South. For. Landowner 2015, 3, 23–31. [Google Scholar]
- Florida Department of Environmental Protection. Report on Expansion of Beneficial Use of Reclaimed Water, Stormwater and Excess Surface Water; Senate Bill 536; Florida Department of Environmental Protection Office of Water Policy: Tallahassee, FL, USA, 2015; p. 230. [Google Scholar]
- Berndt, M.P.; KAtz, B.G.; Kingsbury, J.A.; Crandall, C.A. Water Quality in the Upper Floridan Aquifer and Overlying Surficial Aquifers, Southeastern United States, 1993—2010 National Water-Quality Assessment Program Circular 1355; U.S. Geological Survey Circular 1355: Reston, VA, USA, 2014; p. 72.
- Amacher, G.S.; Malik, A.S.; Haight, R.G. Forest landowner decisions and the value of information under fire risk. Can. J. For. Res. 2005, 35, 2603–2615. [Google Scholar] [CrossRef]
- Edwards, P.J.; Troendle, C.A. Water Yield and Hidrology. In Cumulative Watershed Effects of Fule Management in the Eastern United States; Lafayette, R., Brooks, M., Potyond, J., Audin, L., Krieger, S., Trettin, C., Eds.; General Technical Report SRS-161; U.S. Department of Agriculture Forest Service Southern Research Station: Asheville, NC, USA, 2012; pp. 229–281. [Google Scholar]
- Maupin, M.A.; Kenny, J.F.; Hutson, S.S.; Lovelace, J.K.; Barber, N.L.; Linsey, K. Estimated Use of Water in the United States in 2010; U.S. Geological Survey Circular 1405: Reston, VA, USA, 2014; p. 56.
- U.S. Department of Agriculture Forest Service. Forest Inventory Data. Available online: http://apps.fs.fed.us/fia/fido/ (accessed on 11 October 2016).
- Sun, G.; Mcnulty, S.G.; Myers, J.A.M.; Cohen, E.C. Impacts of multiple stresses on water demand and supply across the Southeastern United States. J. Am. Water Resour. Assoc. 2009, 44, 1441–1457. [Google Scholar] [CrossRef]
- Chang, S.J. Determination of the optimal rotation age: A theoretical analysis. For. Ecol. Manag. 1984, 8, 137–147. [Google Scholar] [CrossRef]
- Swift, L.W. Forest access roads: Design, maintenance, and soil loss. In Forest Hydrology and Ecology at Coweeta; Swank, W., Crossley, D., Eds.; Springer: New York, NY, USA, 1988; Volume 66, pp. 313–324. [Google Scholar]
- Sheffield, J.; Camargo, S.; Fu, R.; Hu, Q.; Jiang, X.; Johnson, N.; Karnauskas, K.; Tae Kim, S.; Kinter, J.; Kumar, S.; et al. North American climate in CMIP5 experiments. Part II: Evaluation of historical simulations of intraseasonal to decadal variability. J. Clim. 2013, 26, 9247–9290. [Google Scholar] [CrossRef]
- Susaeta, A.; Carter, D.; Adams, D.; Dwivedi, P. Climate change and ecosystem services output efficiency in southern natural loblolly pine forests. Environ. Manag. 2016, 58, 417–430. [Google Scholar] [CrossRef] [PubMed]
- Susaeta, A.; Adams, D.; Carter, D.; Gonzalez-Benecke, C.; Dwivedi, P. Technical, allocative, and total profit efficiency of loblolly pine forests under changing climatic conditions. For. Pol. Econ. 2016, 72, 106–114. [Google Scholar] [CrossRef]
- Susaeta, A.; Carter, D.; Chang, S.J.; Adams, D. A generalized Reed model with application to wildfire risk in even-aged southern United States pine plantations. For. Pol. Econ. 2016, 67, 60–69. [Google Scholar] [CrossRef]
- Susaeta, A.; Soto, J.; Adams, D.; Hulcr, J. Pre-invasion economic assessment of invasive species prevention: A putative ambrosia beetle in Southeastern loblolly pine forests. J. Environ. Manag. 2016, 183, 875–881. [Google Scholar] [CrossRef] [PubMed]


| Baseline | |||||||
|---|---|---|---|---|---|---|---|
| State | Pp | tmin | tmax | ||||
| mm | °C | ||||||
| FL | 1548.4 | 27.4 | 14.5 | ||||
| GA | 1320.1 | 25.9 | 12.6 | ||||
| SC | 1349.8 | 24.3 | 10.4 | ||||
| RCP4.5 | RCP8.5 | ||||||
| Pp | tmax | tmin | Pp | tmax | tmin | ||
| mm | °C | mm | °C | ||||
| FL | 1586.9 (1469.1–1741.4) 1 | 29.2 (19.8–28.5) | 16.3 (15.5–16.9) | 1564.5 (1447.6–1638.5) | 30.4 (29.2–31.4) | 17.4 (16.2–18.4) | |
| GA | 1377.2 (1231.4–1524.4) | 28.1(27.4–28.7) | 14.8 (14.2–15.3) | 1359.2 (1269.1–1457.9) | 29.6 (27.9–31.4) | 16.2 (14.6–17.6) | |
| SC | 1408.6 (1259.1–1520.9) | 26.6 (26.0–27.3) | 12.7 (12.1–13.2) | 1410.4 (1315.7–1471.8) | 28.2 (26.6–30.0) | 14.2 (12.6–15.7) | |
| Stumpage Prices | Sawtimber | Chip and saw | Pulpwood | |||
|---|---|---|---|---|---|---|
| $ m−3 | ||||||
| FL | 32.8 | 19.8 | 11.8 | |||
| GA | 31.9 | 19.7 | 12.4 | |||
| SC | 30.9 | 20.5 | 11.9 | |||
| Price of water | Water price Pw $ kL−1 0.1 | Discount rate r 0.04 | ||||
| Regeneration costs | Site preparation | Weed control | Planting/Seedling | |||
| $ ha−1 | $ seedling−1 | |||||
| 237 | 108 | 0.08/0.05 | ||||
| Silvicultural costs | Fertilization (year 3) | Weed control (year 1) | ||||
| $ ha−1 | ||||||
| 198 | 33 | |||||
| Sites | SI | PD | RCP4.5 | RCP8.5 | RCP4.5 | RCP8.5 | RCP4.5 | RCP8.5 |
|---|---|---|---|---|---|---|---|---|
| (i) CC | (ii) CCT | (iii) CCTPD | ||||||
| m | trees ha−1 | 1 kL | ||||||
| Alachua | 20 | 750 | −713.5 | −1466.0 | −267.5 | −1000.0 | 866.1 2 | 133.6 |
| 2250 | −769.7 | −1026.7 | −326.4 | −1064.4 | n.a. 3 | n.a. | ||
| 28 | 750 | −438.6 | −118.9 | −310.5 | −1054.9 | 342.3 | −402.1 | |
| 2250 | −302.5 | −1006.0 | −242.5 | −946.0 | n.a. | n.a. | ||
| Santa Rosa | 20 | 750 | −1374.4 | −1405.6 | −904.9 | −936.2 | 254.1 | 222.8 |
| 2250 | −1439.7 | −59.4 | −955.6 | −1015.0 | n.a. | n.a. | ||
| 28 | 750 | −1131.8 | −1161.0 | −965.4 | −994.6 | −219.1 | −248.3 | |
| 2250 | −951.9 | −964.8 | −863.3 | −876.2 | n.a. | n.a. | ||
| Taylor | 20 | 750 | −718.8 | −1380.3 | −242.5 | −903.9 | 933.0 | 271.6 |
| 2250 | −748.8 | −687.2 | −292.9 | −980.1 | n.a. | n.a. | ||
| 28 | 750 | −534.2 | −1239.7 | −366.2 | −1071.7 | 377.1 | −328.4 | |
| 2250 | −371.7 | −1063.8 | −281.6 | −973.8 | n.a. | n.a. | ||
| Camden | 20 | 750 | −801.1 | −1455.8 | −368.9 | −1023.5 | 719.2 | 64.6 |
| 2250 | −865.8 | −666.3 | −426.8 | −1093.1 | n.a. | n.a. | ||
| 28 | 750 | −488.1 | −1129.0 | −355.9 | −996.7 | 297.1 | −343.8 | |
| 2250 | −325.3 | −946.2 | −259.5 | −880.5 | n.a | n.a | ||
| Jones | 20 | 750 | −1049.9 | −1509.8 | −590.0 | −1049.8 | 511.1 | 51.3 |
| 2250 | −1148.7 | −494.0 | −635.9 | −1129.9 | n.a. | n.a. | ||
| 28 | 750 | −972.5 | −1459.3 | −727.3 | −1214.1 | 120.3 | −366.5 | |
| 2250 | −734.7 | −1181.5 | −579.5 | −1026.3 | n.a. | n.a. | ||
| Stewart | 20 | 750 | −987.4 | −1494.0 | −524.2 | −1030.7 | 601.1 | 94.5 |
| 2250 | −1057.7 | −539.2 | −566.5 | −1105.7 | n.a. | n.a. | ||
| 28 | 750 | −812.9 | 1364.5 | −613.7 | −1165.2 | 162.0 | −389.5 | |
| 2250 | −618.4 | −1142.7 | −502.6 | −1026.8 | n.a. | n.a. | ||
| Hampton | 20 | 750 | −823.2 | −1261.7 | −352.2 | −790.7 | 785.7 | 347.1 |
| 2250 | −894.6 | −469.4 | −384.1 | −853.5 | n.a. | n.a. | ||
| 28 | 750 | −708.5 | −1166.7 | −479.9 | −938.1 | 347.2 | −111.1 | |
| 2250 | −494.8 | −919.6 | −358.7 | −783.5 | n.a. | n.a. | ||
| Lauren | 20 | 750 | −1066.9 | −1466.7 | −626.6 | −1026.4 | 466.6 | 66.8 |
| 2250 | −1199.0 | −433.5 | −659.1 | −1092.6 | n.a. | n.a. | ||
| 28 | 750 | −1208.1 | −1631.4 | −891.8 | −1315.1 | 76.1 | −347.1 | |
| 2250 | −937.2 | −1309.8 | −707.4 | −1080.1 | n.a. | n.a. | ||
| Williams | 20 | 750 | −1349.6 | −1857.6 | −962.3 | −1425.3 | 126.8 | −336.2 |
| 2250 | −1540.3 | −508.7 | −984.4 | −1493.1 | n.a. | n.a. | ||
| 28 | 750 | −1713.7 | −2253.2 | −1358.4 | −1897.9 | −624.2 | −837.3 | |
| 2250 | −1519.2 | −2024.0 | −1212.5 | −1717.4 | n.a. | n.a. | ||
| Baseline | RCP4.5 | RCP8.5 | Baseline | RCP4.5 | |||||||||
|---|---|---|---|---|---|---|---|---|---|---|---|---|---|
| SI = 20 m | SI = 28 m | ||||||||||||
| LEV | T* | LEV | H | T* | LEV | H | T* | LEV | T* | LEV | H | T* | |
| Sites | $ ha−1 | year | $ ha−1 | year | $ ha−1 | $ ha−1 | year | $ ha−1 | year | ||||
| Alachua | 4835.4 | 24 | 8831.3 | 3755.8 | 26 | 7606.3 | 2177.1 | 24 | 11702.2 | 19 | 14,145.6 | 3230.6 | 21 |
| Santa Rosa | 4287.5 | 25 | 7554.1 | 2759.8 | 27 | 7420.6 | 2261.9 | 26 | n.a. | ||||
| Taylor | 4297.5 | 25 | 8306.8 | 3716.6 | 27 | 7340.5 | 2572.8 | 23 | 11101.7 | 19 | 13665.9 | 663.6 | 21 |
| Camden | 4332.8 | 26 | 8132.7 | 3289.2 | 26 | 7186.0 | 1984.4 | 24 | 10956.6 | 19 | 13491.0 | 522.7 | 21 |
| Jones | 2918.5 | 28 | 6399.9 | 2581.3 | 28 | 6062.8 | 1970.5 | 25 | 8714.4 | 20 | 12054.8 | 205.6 | 22 |
| Stewart | 3464.5 | 27 | 7129.5 | 2986.8 | 28 | 6643.8 | 2222.7 | 25 | 9633.0 | 19 | 12594.9 | 276.8 | 22 |
| Hampton | 3167.0 | 27 | 7214.9 | 3428.1 | 26 | 6595.4 | 2538.4 | 24 | 9050.5 | 19 | 12511.0 | 3527.3 | 21 |
| Lauren | 2077.0 | 30 | 5650.6 | 2437.2 | 29 | 5443.5 | 1899.4 | 26 | 7214.6 | 20 | 11091.7 | 3131.3 | 21 |
| Williams | 1472.1 | 32 | 4588.0 | 1951.4 | 28 | n.a. | |||||||
© 2017 by the authors. Licensee MDPI, Basel, Switzerland. This article is an open access article distributed under the terms and conditions of the Creative Commons Attribution (CC BY) license ( http://creativecommons.org/licenses/by/4.0/).
Share and Cite
Susaeta, A.; Adams, D.C.; Gonzalez-Benecke, C.; Soto, J.R. Economic Feasibility of Managing Loblolly Pine Forests for Water Production under Climate Change in the Southeastern United States. Forests 2017, 8, 83. https://doi.org/10.3390/f8030083
Susaeta A, Adams DC, Gonzalez-Benecke C, Soto JR. Economic Feasibility of Managing Loblolly Pine Forests for Water Production under Climate Change in the Southeastern United States. Forests. 2017; 8(3):83. https://doi.org/10.3390/f8030083
Chicago/Turabian StyleSusaeta, Andres, Damian C. Adams, Carlos Gonzalez-Benecke, and José R. Soto. 2017. "Economic Feasibility of Managing Loblolly Pine Forests for Water Production under Climate Change in the Southeastern United States" Forests 8, no. 3: 83. https://doi.org/10.3390/f8030083
APA StyleSusaeta, A., Adams, D. C., Gonzalez-Benecke, C., & Soto, J. R. (2017). Economic Feasibility of Managing Loblolly Pine Forests for Water Production under Climate Change in the Southeastern United States. Forests, 8(3), 83. https://doi.org/10.3390/f8030083
