Sign in to use this feature.

Years

Between: -

Subjects

remove_circle_outline
remove_circle_outline
remove_circle_outline
remove_circle_outline
remove_circle_outline
remove_circle_outline
remove_circle_outline
remove_circle_outline
remove_circle_outline

Journals

remove_circle_outline
remove_circle_outline
remove_circle_outline
remove_circle_outline
remove_circle_outline
remove_circle_outline
remove_circle_outline
remove_circle_outline
remove_circle_outline
remove_circle_outline
remove_circle_outline
remove_circle_outline
remove_circle_outline
remove_circle_outline
remove_circle_outline
remove_circle_outline
remove_circle_outline
remove_circle_outline
remove_circle_outline
remove_circle_outline
remove_circle_outline
remove_circle_outline
remove_circle_outline
remove_circle_outline
remove_circle_outline
remove_circle_outline
remove_circle_outline
remove_circle_outline
remove_circle_outline

Article Types

Countries / Regions

remove_circle_outline
remove_circle_outline
remove_circle_outline
remove_circle_outline
remove_circle_outline
remove_circle_outline
remove_circle_outline
remove_circle_outline
remove_circle_outline
remove_circle_outline

Search Results (14,478)

Search Parameters:
Keywords = water yield

Order results
Result details
Results per page
Select all
Export citation of selected articles as:
25 pages, 2024 KB  
Article
Nitrogen Dynamics and Environmental Sustainability in Rice–Crab Co-Culture System: Optimal Fertilization for Sustainable Productivity
by Hao Li, Shuxia Wu, Yang Xu, Weijing Li, Xiushuang Zhang, Siqi Ma, Wentao Sun, Bo Li, Bingqian Fan, Qiuliang Lei and Hongbin Liu
AgriEngineering 2026, 8(1), 34; https://doi.org/10.3390/agriengineering8010034 (registering DOI) - 16 Jan 2026
Abstract
Rice–crab co-culture systems (RC) represent promising sustainable intensification approaches, yet their nitrogen (N) cycling and optimal fertilization strategies remain poorly characterized. In this study, we compared RC with rice monoculture system (RM) across four N gradients (0, 150, 210, and 270 kg N·hm [...] Read more.
Rice–crab co-culture systems (RC) represent promising sustainable intensification approaches, yet their nitrogen (N) cycling and optimal fertilization strategies remain poorly characterized. In this study, we compared RC with rice monoculture system (RM) across four N gradients (0, 150, 210, and 270 kg N·hm−2), assessing N dynamics in field water and N distribution in soil. The results showed that field water ammonium nitrogen (NH4+-N) concentrations increased nonlinearly, showing sharp increases beyond 210 kg N·hm−2. Notably, crab activity in the RC altered the N transformation and transport processes, leading to a prolonged presence of nitrate nitrogen (NO3-N) in field water for two additional days after tillering fertilization compared to RM. This indicates a critical window for potential nitrogen loss risk, rather than enhanced retention, 15 days after basal fertilizer application. Compared to RM, RC exhibited enhanced nitrogen retention capacity, with NO3-N concentrations remaining elevated for an additional two days following tillering fertilization, suggesting a potential critical period for nitrogen loss risk. Post-harvest soil analysis revealed contrasting nitrogen distribution patterns: RC showed enhanced NH4+-N accumulation in surface layers (0–2 cm) with minimal vertical NO3-N redistribution, while RM exhibited progressive NO3-N increases in subsurface layers (2–10 cm) with increasing fertilizer rates. The 210 kg N·hm−2 rate proved optimal for the RC, producing a rice yield 12.08% higher than that of RM and sustaining high crab yields, while avoiding the excessive aqueous N levels seen at higher rates. It is important to note that these findings are based on a single-site, single-growing season field experiment conducted in Panjin, Liaoning Province, and thus the general applicability of the optimal nitrogen rate may require further validation across diverse environments. We conclude that a fertilization rate of 210 kg N·hm−2 is the optimal strategy for RC, effectively balancing productivity and environmental sustainability. This finding provides a clear, quantitative guideline for precise N management in integrated aquaculture systems. Full article
(This article belongs to the Section Sustainable Bioresource and Bioprocess Engineering)
19 pages, 8261 KB  
Article
Organic Acids for Lignin and Hemicellulose Extraction from Black Liquor: A Comparative Study in Structure Analysis and Heavy Metal Adsorption Potential
by Patrycja Miros-Kudra, Paulina Sobczak-Tyluś, Agata Jeziorna, Karolina Gzyra-Jagieła, Justyna Wietecha and Maciej Ciepliński
Polymers 2026, 18(2), 251; https://doi.org/10.3390/polym18020251 (registering DOI) - 16 Jan 2026
Abstract
This study presents a method for extracting lignin and hemicellulose from black liquor using organic acids (citric, malic, and acetic) in comparison to the traditional sulfuric acid method. We investigated and compared the influence of the acid type on the structural properties of [...] Read more.
This study presents a method for extracting lignin and hemicellulose from black liquor using organic acids (citric, malic, and acetic) in comparison to the traditional sulfuric acid method. We investigated and compared the influence of the acid type on the structural properties of the resulting precipitates in the context of their potential applications. The lignin fractions were characterized for their chemical structure (ATR-FTIR, NMR), thermal stability (TGA), morphology and surface elemental composition (SEM-EDS), bulk elemental composition (C, H, N, S), and molecular weight distribution (GPC). The hemicellulose fractions were analyzed for their molecular weight (GPC), surface elemental composition (EDS), and chemical structure (ATR-FTIR). These analyses revealed subtle differences in the properties of the individual materials depending on the extraction method. We showed that organic acids, particularly citric acid, can effectively precipitate lignin with yields comparable to the sulfuric acid method (47–60 g/dm3 vs. 50 g/dm3). Simultaneously, this method produces lignin with higher purity (regarding sulfur content) and an increased content of carboxyl groups. This latter aspect is of particular interest due to the enhanced potential of lignin’s adsorption functions towards metal ions. AAS analysis confirmed that lignin precipitated with citric acid showed better adsorption efficiency towards heavy metals compared to lignin precipitated with sulfuric acid, especially for Cu2+ ions (80% vs. 20%) and Cr3+ ions (46% vs. 2%). This enhanced adsorption efficiency of the isolated lignins, combined with the environmental benefits of using organic acids, opens a promising perspective for their application in water treatment and environmental remediation. Furthermore, the presented research on the valorization and reuse of paper industry by-products fully aligns with the fundamental principles of the Circular Economy. Full article
(This article belongs to the Special Issue Biobased Polymers and Its Composites)
Show Figures

Graphical abstract

21 pages, 1339 KB  
Article
Water–Fertilizer Interactions: Optimizing Water-Saving and Stable Yield for Greenhouse Hami Melon in Xinjiang
by Zhenliang Song, Yahui Yan, Ming Hong, Han Guo, Guangning Wang, Pengfei Xu and Liang Ma
Sustainability 2026, 18(2), 952; https://doi.org/10.3390/su18020952 (registering DOI) - 16 Jan 2026
Abstract
Addressing the challenges of low resource-use efficiency and supply–demand mismatch in Hami melon production, this study investigated the interactive effects of irrigation and fertilization to identify an optimal regime that balances yield, water conservation, and resource-use efficiency (i.e., water use efficiency and fertilizer [...] Read more.
Addressing the challenges of low resource-use efficiency and supply–demand mismatch in Hami melon production, this study investigated the interactive effects of irrigation and fertilization to identify an optimal regime that balances yield, water conservation, and resource-use efficiency (i.e., water use efficiency and fertilizer partial factor productivity). A greenhouse experiment was conducted in Hami, Xinjiang, employing a two-factor design with five irrigation levels (W1–W5: 60–100% of full irrigation) and three fertilization levels (F1–F3: 80–100% of standard rate), replicated three times. Growth parameters, yield, water use efficiency (WUE), and partial factor productivity of fertilizer (PFP) were evaluated and comprehensively analyzed using the entropy-weighted TOPSIS method, regression analysis, and the NSGA-II multi-objective genetic algorithm. Results demonstrated that irrigation volume was the dominant factor influencing growth and yield. The W4F3 treatment (90% irrigation with 100% fertilization) achieved the optimal outcome, yielding 75.74 t ha−1—a 9.71% increase over the control—while simultaneously enhancing WUE and PFP. Both the entropy-weighted TOPSIS evaluation (C = 0.998) and regression analysis (optimal irrigation level at w = 0.79, ~90% of full irrigation) identified W4F3 as superior. NSGA-II optimization further validated this, generating Pareto-optimal solutions highly consistent with the experimental optimum. The model-predicted optimal regime for greenhouse Hami melon in Xinjiang is an irrigation amount of 3276 m3 ha−1 and a fertilizer application rate of 814.8 kg ha−1. This regime facilitates a 10% reduction in irrigation water and a 5% reduction in fertilizer input without compromising yield, alongside significantly improved resource-use efficiencies. Full article
30 pages, 1843 KB  
Hypothesis
Can the Timing of the Origin of Life Be Inferred from Trends in the Growth of Organismal Complexity?
by David A. Juckett
Life 2026, 16(1), 153; https://doi.org/10.3390/life16010153 (registering DOI) - 16 Jan 2026
Abstract
The origin of life embodies two fundamental questions: how and when did life begin? It is commonly conjectured that life began on Earth around 4 billion years ago. This requires that the complex organization of RNA, DNA, triplet codon, protein, and lipid membrane [...] Read more.
The origin of life embodies two fundamental questions: how and when did life begin? It is commonly conjectured that life began on Earth around 4 billion years ago. This requires that the complex organization of RNA, DNA, triplet codon, protein, and lipid membrane (RDTPM) architecture was easy to establish between the time the Earth cooled enough for liquid water and the time when early microorganisms appeared. These bracketing events create a narrow window of time to construct a completely operational self-replicating organic system of very high complexity. Another conjecture is that life did not begin on Earth but was seeded from life-bearing space objects (e.g., asteroids, comets, space dust), commonly referred to as panspermia. The second conjecture implies that life formed somewhere else and was part of the solar nebula, originating from an earlier generation star where there was more time available for the development of life. In this paper, the goal is to provide a hypothetical perspective related to the timing for the origin of pre-biotic chemistry and life itself. Using a form of complexity growth, biological features spanning from the present day back to early life on Earth were examined for trends across time. Genome sizes, gene number, protein–protein binding sites, energy for cell construction, mass of individual cells, the rate of cell mass growth, and a molecular complexity measure all yield highly significant regressions of linearly increasing complexity when plotted over the last 4 Gyr (billion years). When extrapolated back in time, intersections with simple complexities associated with each variable yield a mean value of 8.6 Gyr before the present time. This era coincides with the peak of star and planet formation in the universe. This speculative analysis is consistent with the second conjecture for the origin of life. The major assumptions of such an analysis are presented and discussed. Full article
(This article belongs to the Special Issue 2nd Edition—Featured Papers on the Origins of Life)
30 pages, 3022 KB  
Article
Machine Learning Analysis of Weather-Yield Relationships in Hainan Island’s Litchi
by Linyi Feng, Chenxiao Shi, Zhiyu Lin, Ruijuan Li, Jiaquan Ning, Ming Shang, Jingying Xu and Lei Bai
Agriculture 2026, 16(2), 237; https://doi.org/10.3390/agriculture16020237 (registering DOI) - 16 Jan 2026
Abstract
Litchi (Litchi chinensis Sonn.) is a pillar of the tropical agricultural economy in southern China, yet its production faces increasing instability due to climate change. Traditional agronomic models often fail to capture the complex, non-linear interactions between meteorological drivers and yield formation [...] Read more.
Litchi (Litchi chinensis Sonn.) is a pillar of the tropical agricultural economy in southern China, yet its production faces increasing instability due to climate change. Traditional agronomic models often fail to capture the complex, non-linear interactions between meteorological drivers and yield formation in perennial fruit trees. To address this challenge, the study constructed a yield prediction framework using an optimized Random Forest (RF) model integrated with interpretable machine learning (SHAP), based on a comprehensive dataset from 17 major production regions in Hainan Province (2000–2022). The model demonstrated robust predictive capability at the provincial scale (R2 = 0.564, RMSE = 2.1 t/ha) and high consistency across regions (R2 ranging from 0.51 to 0.94). Feature importance analysis revealed that heat accumulation (specifically growing degree days above 20 °C) is the dominant driver, explaining over 85% of yield variability. Crucially, scenario simulations uncovered asymmetric climate risks across phenological stages: while moderate warming generally enhances yield by promoting vegetative growth and ripening, it acts as a stressor during the Fruit Development stage, where temperatures exceeding 26 °C trigger yield decline. Furthermore, the yield penalty for drought during Flowering (−8.09%) far outweighed the marginal benefits of surplus rainfall, identifying this window as critically sensitive to water deficits. These findings underscore the necessity of phenology-aligned adaptation strategies—specifically, securing irrigation during flowering and deploying cooling interventions during fruit development—providing a data-driven basis for climate-smart management in tropical agriculture. Full article
(This article belongs to the Section Artificial Intelligence and Digital Agriculture)
18 pages, 1521 KB  
Systematic Review
Neuroprotective Potential of SGLT2 Inhibitors in Animal Models of Alzheimer’s Disease and Type 2 Diabetes Mellitus: A Systematic Review
by Azim Haikal Md Roslan, Tengku Marsya Hadaina Tengku Muhazan Shah, Shamin Mohd Saffian, Lisha Jenny John, Muhammad Danial Che Ramli, Che Mohd Nasril Che Mohd Nassir, Mohd Kaisan Mahadi and Zaw Myo Hein
Pharmaceuticals 2026, 19(1), 166; https://doi.org/10.3390/ph19010166 - 16 Jan 2026
Abstract
Background: Alzheimer’s disease (AD) features progressive cognitive decline and amyloid-beta (Aβ) accumulation. Insulin resistance in type 2 diabetes mellitus (T2DM) is increasingly recognised as a mechanistic link between metabolic dysfunction and neurodegeneration. Although sodium–glucose cotransporter-2 inhibitors (SGLT2is) have established glycaemic and cardioprotective benefits, [...] Read more.
Background: Alzheimer’s disease (AD) features progressive cognitive decline and amyloid-beta (Aβ) accumulation. Insulin resistance in type 2 diabetes mellitus (T2DM) is increasingly recognised as a mechanistic link between metabolic dysfunction and neurodegeneration. Although sodium–glucose cotransporter-2 inhibitors (SGLT2is) have established glycaemic and cardioprotective benefits, their neuroprotective role remains less well defined. Objectives: This systematic review examines animal studies on the neuroprotective effects of SGLT2i in T2DM and AD models. Methods: A literature search was conducted across the Web of Science, Scopus, and PubMed databases, covering January 2014 to November 2024. Heterogeneity was assessed with I2, and data were pooled using fixed-effects models, reported as standardised mean differences with 95% confidence intervals. We focus on spatial memory performance as measured by the Morris Water Maze (MWM) test, including escape latency and time spent in the target quadrant, as the primary endpoints. The secondary endpoints of Aβ accumulation, oxidative stress, and inflammatory markers were also analysed and summarised. Results: Twelve studies met the inclusion criteria for this review. A meta-analysis showed that SGLT2i treatment significantly improved spatial memory by reducing the escape latency in both T2DM and AD models. In addition, SGLT2i yielded a significant improvement in spatial memory, as indicated by an increased target quadrant time for both T2DM and AD. Furthermore, SGLT2i reduced Aβ accumulation in the hippocampus and cortex, which met the secondary endpoint; the treatment also lessened oxidative stress and inflammatory markers in animal brains. Conclusions: Our findings indicate that SGLT2is confer consistent neuroprotective benefits in experimental T2DM and AD models. Full article
(This article belongs to the Special Issue Novel Therapeutic Strategies for Alzheimer’s Disease Treatment)
Show Figures

Graphical abstract

24 pages, 43005 KB  
Article
Accurate Estimation of Spring Maize Aboveground Biomass in Arid Regions Based on Integrated UAV Remote Sensing Feature Selection
by Fengxiu Li, Yanzhao Guo, Yingjie Ma, Ning Lv, Zhijian Gao, Guodong Wang, Zhitao Zhang, Lei Shi and Chongqi Zhao
Agronomy 2026, 16(2), 219; https://doi.org/10.3390/agronomy16020219 - 16 Jan 2026
Abstract
Maize is one of the top three crops globally, ranking only behind rice and wheat, making it an important crop of interest. Aboveground biomass is a key indicator for assessing maize growth and its yield potential. This study developed an efficient and stable [...] Read more.
Maize is one of the top three crops globally, ranking only behind rice and wheat, making it an important crop of interest. Aboveground biomass is a key indicator for assessing maize growth and its yield potential. This study developed an efficient and stable biomass prediction model to estimate the aboveground biomass (AGB) of spring maize (Zea mays L.) under subsurface drip irrigation in arid regions, based on UAV multispectral remote sensing and machine learning techniques. Focusing on typical subsurface drip-irrigated spring maize in arid Xinjiang, multispectral images and field-measured AGB data were collected from 96 sample points (selected via stratified random sampling across 24 plots) over four key phenological stages in 2024 and 2025. Sixteen vegetation indices were calculated and 40 texture features were extracted using the gray-level co-occurrence matrix method, while an integrated feature-selection strategy combining Elastic Net and Random Forest was employed to effectively screen key predictor variables. Based on the selected features, six machine learning models were constructed, including Elastic Net Regression (ENR), Gradient Boosting Decision Trees (GBDT), Gaussian Process Regression (GPR), Partial Least Squares Regression (PLSR), Random Forest (RF), and Extreme Gradient Boosting (XGB). Results showed that the fused feature set comprised four vegetation indices (GRDVI, RERVI, GRVI, NDVI) and five texture features (R_Corr, NIR_Mean, NIR_Vari, B_Mean, B_Corr), thereby retaining red-edge and visible-light texture information highly sensitive to AGB. The GPR model based on the fused features exhibited the best performance (test set R2 = 0.852, RMSE = 2890.74 kg ha−1, MAE = 1676.70 kg ha−1), demonstrating high fitting accuracy and stable predictive ability across both the training and test sets. Spatial inversions over the two growing seasons of 2024 and 2025, derived from the fused-feature GPR optimal model at four key phenological stages, revealed pronounced spatiotemporal heterogeneity and stage-dependent dynamics of spring maize AGB: the biomass accumulates rapidly from jointing to grain filling, slows thereafter, and peaks at maturity. At a constant planting density, AGB increased markedly with nitrogen inputs from N0 to N3 (420 kg N ha−1), with the high-nitrogen N3 treatment producing the greatest biomass; this successfully captured the regulatory effect of the nitrogen gradient on maize growth, provided reliable data for variable-rate fertilization, and is highly relevant for optimizing water–fertilizer coordination in subsurface drip irrigation systems. Future research may extend this integrated feature selection and modeling framework to monitor the growth and estimate the yield of other crops, such as rice and cotton, thereby validating its generalizability and robustness in diverse agricultural scenarios. Full article
Show Figures

Figure 1

12 pages, 790 KB  
Communication
Seasonal Dynamics of Chlorophyll Fluorescence in the Evergreen Peumus boldus and the Semideciduous Colliguaja odorifera Under Field Conditions
by Sergio Espinoza, Marco Yáñez, Eduardo Martínez-Herrera and Carlos Magni
Plants 2026, 15(2), 276; https://doi.org/10.3390/plants15020276 - 16 Jan 2026
Abstract
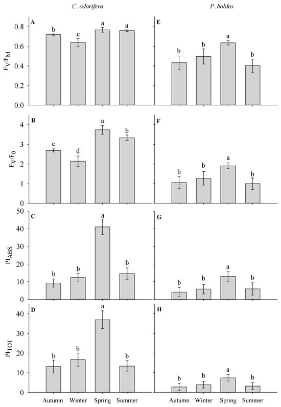
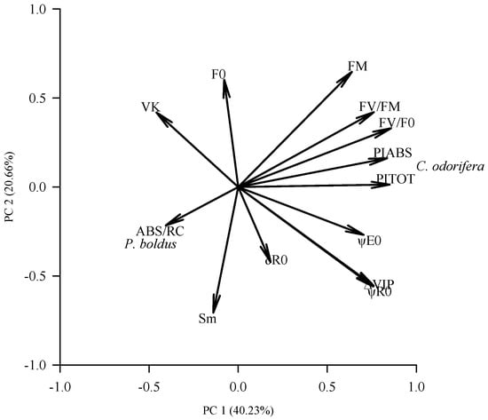
We used chlorophyll fluorescence techniques to investigate seasonal variations in photosystem II (PSII) quantum yield in five-year-old saplings of the sclerophyllous Peumus boldus Molina (evergreen) and Colliguaja odorifera Molina (semideciduous) planted in a semiarid site with a Mediterranean-type climate. Chlorophyll fluorescence rise kinetics [...] Read more.
We used chlorophyll fluorescence techniques to investigate seasonal variations in photosystem II (PSII) quantum yield in five-year-old saplings of the sclerophyllous Peumus boldus Molina (evergreen) and Colliguaja odorifera Molina (semideciduous) planted in a semiarid site with a Mediterranean-type climate. Chlorophyll fluorescence rise kinetics (OJIP) were monitored monthly for one year (September 2024 to September 2025). With this information, we estimated the relative deviation of the performance index (PIABS) of each species from the average PIABS in each season (denoted as ∆PIABS). P. boldus was associated with destruction of PSII reaction centers and incapacity for electron transport, i.e., higher values of parameters ABS/RC (effective antenna size of an active reaction center) and F0 (minimal fluorescence), whereas C. odorifera was associated with higher photosynthetic performance i.e., higher values of PIABS, PITOT (total performance index), FV/F0 (ratio between variable and minimal fluorescence), and FV/FM (maximum quantum yield of primary PSII photochemistry). PIABS exhibited a 52 and 38% reduction (i.e., −∆PIABS) during spring and winter in P. boldus, but an increase (i.e., +∆PIABS) of 52 and 37% in the same seasons for C. odorifera. P. boldus was considerably more depressed during the winter–spring season than the summer months. This suggests that PSII function in P. boldus is more sensitive to low temperatures in winter and spring than the lack of water and high temperatures during summer. Full article
(This article belongs to the Special Issue Mediterranean Shrub Ecosystems Under Climate Change)
Show Figures

Figure 1

20 pages, 2354 KB  
Article
Combined Effects of Vegetable Oil-, Micronutrient-, and Activated Flavonoid-Based Biostimulants on Photosynthesis, Nematode Suppression, and Fruit Quality of Cucumber (Cucumis sativus L.)
by Georgia Ouzounidou, Niki-Sophia Antaraki, Antonios Anagnostou, George Daskas and Ioannis-Dimosthenis Adamakis
Plants 2026, 15(2), 274; https://doi.org/10.3390/plants15020274 - 16 Jan 2026
Abstract
The agricultural industry faces increasing environmental degradation due to the intensive use of conventional chemical fertilizers, leading to water pollution and alterations in soil composition. In addition, root-knot and cyst nematodes are major constraints to cucumber production, causing severe root damage and yield [...] Read more.
The agricultural industry faces increasing environmental degradation due to the intensive use of conventional chemical fertilizers, leading to water pollution and alterations in soil composition. In addition, root-knot and cyst nematodes are major constraints to cucumber production, causing severe root damage and yield losses worldwide, underscoring the need for sustainable alternatives to conventional fertilization and pest management. Under greenhouse conditions, a four-month cultivation trial evaluated vegetable oil-, micronutrient-, and activated flavonoid-based biostimulants, applying Key Eco Oil® (Miami, USA) via soil drench (every 15 days) combined with foliar sprays of CropBioLife® (Victoria, Australia) and KeyPlex 120® (Miami, USA) (every 7 days). Results showed reduced parasitic nematodes by 66% in soil and decreased gall formation by 41% in roots. Chlorophyll fluorescence and infrared gas analysis revealed higher oxygen-evolving complex efficiency (38%), increased PSII electron transport, improved the fluorescence decrease ratio, also known as the vitality index (Rfd), and higher CO2 assimilation compared to conventional treatments. Processed cucumbers showed higher sugar and nearly double ascorbic acid content, with improved flesh consistency and color. Therefore, the application of these bioactive products significantly reduced nematode infestation while enhancing plant growth and physiological performance, underscoring their potential as sustainable tools for crop cultivation and protection. These results provide evidence that sustainable bioactive biostimulants improve plant resilience, productivity, and nutritional quality, offering also an environmentally sound approach to pest management. Full article
(This article belongs to the Special Issue Plants 2025—from Seeds to Food Security)
Show Figures

Figure 1

22 pages, 1803 KB  
Article
Optimizing Al2O3 Ceramic Membrane Heat Exchangers for Enhanced Waste Heat Recovery in MEA-Based CO2 Capture
by Qiufang Cui, Ziyan Ke, Jinman Zhu, Shuai Liu and Shuiping Yan
Membranes 2026, 16(1), 43; https://doi.org/10.3390/membranes16010043 - 16 Jan 2026
Abstract
High regeneration energy demand remains a critical barrier to the large-scale deployment of ethanolamine-based (MEA-based) CO2 capture. This study adopts an Al2O3 ceramic-membrane heat exchanger (CMHE) to recover both sensible and latent heat from the stripped gas. Experiments confirm [...] Read more.
High regeneration energy demand remains a critical barrier to the large-scale deployment of ethanolamine-based (MEA-based) CO2 capture. This study adopts an Al2O3 ceramic-membrane heat exchanger (CMHE) to recover both sensible and latent heat from the stripped gas. Experiments confirm that heat and mass transfer within the CMHE follow a coupled mechanism in which capillary condensation governs trans-membrane water transport, while heat conduction through the ceramic membrane dominates heat transfer, which accounts for more than 80%. Guided by this mechanism, systematic structural optimization was conducted. Alumina was identified as the optimal heat exchanger material due to its combined porosity, thermal conductivity, and corrosion resistance. Among the tested pore sizes, CMHE-4 produces the strongest capillary-condensation enhancement, yielding a heat recovery flux (q value) of up to 38.8 MJ/(m2 h), which is 4.3% and 304% higher than those of the stainless steel heat exchanger and plastic heat exchanger, respectively. In addition, Length-dependent analyses reveal an inherent trade-off: shorter modules achieved higher q (e.g., 14–42% greater for 200-mm vs. 300-mm CMHE-4), whereas longer modules provide greater total recovered heat (Q). Scale-up experiments demonstrated pronounced non-linear performance amplification, with a 4 times area increase boosting q by only 1.26 times under constant pressure. The techno-economic assessment indicates a simple payback period of ~2.5 months and a significant reduction in net capture cost. Overall, this work establishes key design parameters, validates the governing transport mechanism, and provides a practical, economically grounded framework for implementing high-efficiency CMHEs in MEA-based CO2 capture. Full article
Show Figures

Graphical abstract

26 pages, 8634 KB  
Article
Using Satellite-Based Evapotranspiration (ESTIMET) in SWAT to Quantify Sediment Yield in Scarce Data in a Desertified Watershed
by Raul Gomes da Silva, Aline Maria Soares das Chagas, Monaliza Araújo de Santana, Cinthia Maria de Abreu Claudino, Victor Hugo Rabelo Coelho, Thayná Alice Brito Almeida, Abelardo Antônio de Assunção Montenegro, Yuri Jacques Agra Bezerra da Silva and Carolyne Wanessa Lins de Andrade Farias
Sustainability 2026, 18(2), 917; https://doi.org/10.3390/su18020917 - 16 Jan 2026
Abstract
The ESTIMET (Enhanced and Spatial-Temporal Improvement of MODIS EvapoTranspiration algorithm) model provides continuous, spatially distributed daily ET, essential for model calibration in data-scarce environments where conventional hydrological monitoring is unavailable. The challenge of applying SWAT in arid regions without ground observations, this study [...] Read more.
The ESTIMET (Enhanced and Spatial-Temporal Improvement of MODIS EvapoTranspiration algorithm) model provides continuous, spatially distributed daily ET, essential for model calibration in data-scarce environments where conventional hydrological monitoring is unavailable. The challenge of applying SWAT in arid regions without ground observations, this study proposes a remote-sensing-based calibration approach using ESTIMET to overcome data scarcity. Daily satellite-derived evapotranspiration (ET) data to assess the performance of the Soil and Water Assessment Tool (SWAT) was used to evaluate the performance of the SWAT in a desertified watershed in Brazil, aiming to assess ESTIMET’s effectiveness in supporting SWAT calibration, quantify sediment yield, and examine the influence of land-use changes on environmental quality over 21-years period. The results highlight a distinct hydrological response in SWAT initially underestimated ET, contrasting with patterns typically observed in other semi-arid applications and demonstrating that desertified environments require distinct calibration strategies. Performance indicators showed strong agreement between observed and simulated ET (R2 = 0.94; NSE = 0.76), supporting satellite-based ET as a valuable source for improving SWAT performance in watersheds where empirical hydrometeorological data are sparse or unevenly distributed. Sediment yield was generally low to moderate, with degradation concentrated in bare-soil areas associated with deforestation. Full article
(This article belongs to the Special Issue Watershed Hydrology and Sustainable Water Environments)
Show Figures

Figure 1

22 pages, 1399 KB  
Review
Nature-Based Solutions for Resilience: A Global Review of Ecosystem Services from Urban Forests and Cover Crops
by Anastasia Ivanova, Reena Randhir and Timothy O. Randhir
Diversity 2026, 18(1), 47; https://doi.org/10.3390/d18010047 - 15 Jan 2026
Abstract
Climate change and land-use intensification are speeding up the loss of ecosystem services that support human health, food security, and environmental stability. Vegetative interventions—such as urban forests in cities and cover crops in farming systems—are increasingly seen as nature-based solutions for climate adaptation. [...] Read more.
Climate change and land-use intensification are speeding up the loss of ecosystem services that support human health, food security, and environmental stability. Vegetative interventions—such as urban forests in cities and cover crops in farming systems—are increasingly seen as nature-based solutions for climate adaptation. However, their benefits are often viewed separately. This review combines 20 years of research to explore how these strategies, together, improve provisioning, regulating, supporting, and cultural ecosystem services across various landscapes. Urban forests help reduce urban heat islands, improve air quality, manage stormwater, and offer cultural and health benefits. Cover crops increase soil fertility, regulate water, support nutrient cycling, and enhance crop yields, with potential for carbon sequestration and biofuel production. We identify opportunities and challenges, highlight barriers to adopting these strategies, and suggest integrated frameworks—including spatial decision-support tools, incentive programs, and education—to encourage broader use. By connecting urban and rural systems, this review underscores vegetation as a versatile tool for resilience, essential for reaching global sustainability goals. Full article
(This article belongs to the Special Issue 2026 Feature Papers by Diversity's Editorial Board Members)
Show Figures

Graphical abstract

26 pages, 3191 KB  
Article
Multivariate Machine Learning Framework for Predicting Electrical Resistivity of Concrete Using Degree of Saturation and Pore-Structure Parameters
by Youngdae Kim, Seong-Hoon Kee, Cris Edward F. Monjardin and Kevin Paolo V. Robles
Materials 2026, 19(2), 349; https://doi.org/10.3390/ma19020349 - 15 Jan 2026
Abstract
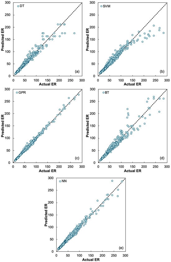
This study investigates the relationship between apparent electrical resistivity (ER) and key material parameters governing moisture and pore-structure characteristics of concrete. An experimental program was conducted using six concrete mix designs, where ER was continuously measured under controlled wetting and drying cycles to [...] Read more.
This study investigates the relationship between apparent electrical resistivity (ER) and key material parameters governing moisture and pore-structure characteristics of concrete. An experimental program was conducted using six concrete mix designs, where ER was continuously measured under controlled wetting and drying cycles to characterize its dependence on the degree of saturation (DS). Results confirmed that ER decreases exponentially with increasing DS across all mixtures, with R2 values between 0.896 and 0.997, establishing DS as the dominant factor affecting electrical conduction. To incorporate additional pore-structure parameters, eight input combinations consisting of DS, porosity (P), water–cement ratio (WCR), and compressive strength (f′c) were evaluated using five machine learning models. Gaussian Process Regression and Neural Networks achieved the highest accuracy, particularly when all parameters were included. SHAP analysis revealed that DS accounts for the majority of predictive influence, while porosity and WCR provide secondary but meaningful contributions to ER behavior. Guided by these insights, nonlinear multivariate regression models were formulated, with the exponential model yielding the strongest predictive capability (R2 = 0.96). The integrated experimental–computational approach demonstrates that ER is governed by moisture dynamics and pore-structure refinement, offering a physically interpretable and statistically robust framework for nondestructive durability assessment of concrete. Full article
(This article belongs to the Section Construction and Building Materials)
Show Figures

Figure 1

21 pages, 4628 KB  
Article
Effect of Popping and Steam Cooking on Total Ferulic Acid, Phenolic and Flavonoid Contents, and Antioxidant Properties of Sukhothai Fragrant Black Rice
by Thayada Phimphilai, Onsaya Kerdto, Kajorndaj Phimphilai, Phronpawee Srichomphoo, Wachiraporn Tipsuwan, Pornpailin Suwanpitak, Yanping Zhong and Somdet Srichairatanakool
Foods 2026, 15(2), 320; https://doi.org/10.3390/foods15020320 - 15 Jan 2026
Abstract
This study investigated the effects of thermal processing and extraction solvents on the phytochemical composition, antioxidant potential, and cytotoxic activity of Sukhothai fragrant rice (Oryza sativa L.). Rice subjected to three processing methods, unprocessed (raw), popped/puffed and steam-cooked, was extracted using hot [...] Read more.
This study investigated the effects of thermal processing and extraction solvents on the phytochemical composition, antioxidant potential, and cytotoxic activity of Sukhothai fragrant rice (Oryza sativa L.). Rice subjected to three processing methods, unprocessed (raw), popped/puffed and steam-cooked, was extracted using hot water or 70% (v/v) ethanol, yielding six extracts. Trans-ferulic acid, γ-oryzanol and anthocyanins were quantified using HPLC-DAD and HPLC-ESI-MS, while total phenolic and flavonoid contents, and antioxidant activities were evaluated using Folin–Ciocalteu, aluminium chloride, DPPH and ABTS assays. Cytotoxicity was assessed in Huh7 hepatocellular carcinoma cells. Water extracts consistently produced higher yields and contained greater total phenolic, flavonoid and anthocyanin contents, resulting in stronger antioxidant activity. Unprocessed rice water extract exhibited the highest trans-ferulic acid recovery and antioxidant capacity. Thermal processing, particularly steamed cooking, markedly reduced phytochemical contents, likely due to heat-induced degradation. In contrast, ethanolic extracts yielded lower quantities but higher concentrations of less polar bioactive compounds and exhibited greater cytotoxic effects. Overall, minimal thermal processing combined with aqueous extraction best preserved antioxidant compounds, while ethanolic extraction enhanced biological potency. These findings highlight the importance of processing intensity and solvent polarity in optimizing the nutraceutical and functional potential of black rice. Full article
(This article belongs to the Special Issue Health Benefits of Bioactive Compounds from Vegetable Sources)
Show Figures

Figure 1

19 pages, 3145 KB  
Article
Optical Water Type Guided Benchmarking of Machine Learning Generalization for Secchi Disk Depth Retrieval
by Bo Jiang, Hanfei Yang, Lin Deng and Jun Zhao
Remote Sens. 2026, 18(2), 287; https://doi.org/10.3390/rs18020287 - 15 Jan 2026
Abstract
Secchi disk depth (SDD) is a widely critical indicator of water transparency. However, existing retrieval models often suffer from limited transferability and biased predictions when applied to optically diverse waters. Here, we compiled a dataset of 6218 paired in situ SDD and remote [...] Read more.
Secchi disk depth (SDD) is a widely critical indicator of water transparency. However, existing retrieval models often suffer from limited transferability and biased predictions when applied to optically diverse waters. Here, we compiled a dataset of 6218 paired in situ SDD and remote sensing reflectance (Rrs) measurements to evaluate model generalization. We benchmarked nine machine learning (ML) models (RF, KNN, SVM, XGB, LGBM, CAT, RealMLP, BNN-MCD, and MDN) under three validation scenarios with progressively decreasing training-test overlap: Random, Waterbody, and Cross-Optical Water Type (Cross-OWT). Furthermore, SHAP analysis was employed to interpret feature contributions and relate model behaviors to optical properties. Results revealed a distinct scenario-dependent generalization gradient. Random splits yielded minimal bias. In contrast, Waterbody transfer consistently shifted predictions toward underestimation (SSPB: −16.9% to −3.8%). Notably, Cross-OWT extrapolation caused significant error inflation and a bias reversal toward overestimation (SSPB: 10.7% to 88.6%). Among all models, the Mixture Density Network (MDN) demonstrated superior robustness with the lowest overestimation (SSPB = 10.7%) under the Cross-OWT scenario. SHAP interpretation indicated that engineered indices, particularly NSMI, functioned as regime separators, with substantial shifts in feature attribution occurring at NSMI values between 0.4 and 0.6. Accordingly, feature sensitivity analysis showed that removing band ratios and indices improved Cross-OWT robustness for several classical ML models. For instance, KNN exhibited a significant reduction in Median Symmetric Accuracy (MdSA) from 96% to 40% after feature reduction. These findings highlight that model applicability must be evaluated under scenario-specific conditions, and feature engineering strategies require rigorous testing against optical regime shifts to ensure generalization. Full article
(This article belongs to the Special Issue Remote Sensing in Monitoring Coastal and Inland Waters)
Show Figures

Figure 1

Back to TopTop