Spatial and Landscape Fragmentation Pattern of Endemic Symplocos Tree Communities Under Climate Change Scenarios in China
Abstract
1. Introduction
2. Materials and Methods
2.1. Species Occurrence Data and Verification
2.2. Environmental Data and Variable Selection
2.3. Modeling Approach and Spatial Analysis
2.4. Landscape Analysis
3. Results
3.1. Model Performance and Potential Response to Bioclimatic Variables
3.2. Current and Predicted Richness of Endemics Symplocos Species in China
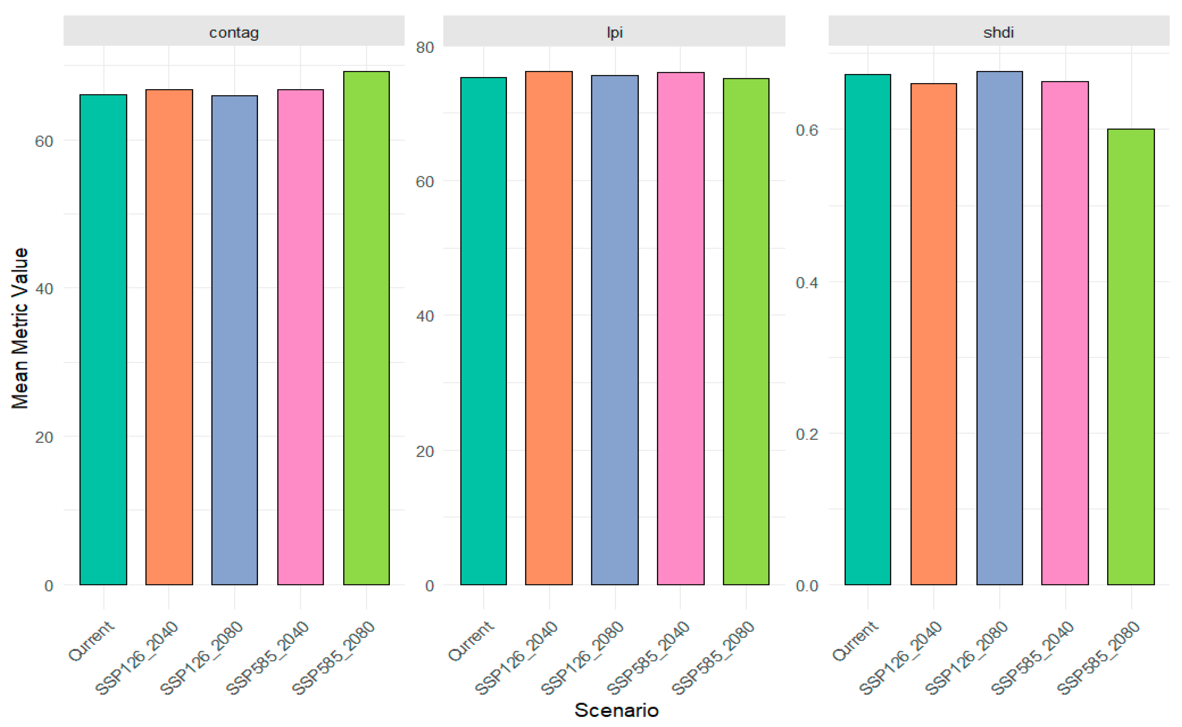
3.3. Landscape Structure and Configuration
4. Discussion
4.1. Influence of Bioclimatic Variable on Endemic Symplocos Species Distribution
4.2. Changes in the Endemic Symplocos Species Richness
4.3. Landscape Structure and Conservation Implications
4.4. Limitations and Prospects
5. Conclusions
Author Contributions
Funding
Data Availability Statement
Conflicts of Interest
References
- Ashton, P.; Zhu, H. The Tropical-Subtropical Evergreen Forest Transition in East Asia: An Exploration. Plant Divers. 2020, 42, 255–280. [Google Scholar] [CrossRef] [PubMed]
- Peng, H. Biological Characteristic. In China Danxia; Peng, H., Ed.; Springer: Singapore, 2020; pp. 75–88. ISBN 978-981-13-5959-0. [Google Scholar]
- Nooteboom, H.P. Additions to Symplocaceae of the Old World Including New Caledonia. Blumea-Biodivers. Evol. Biogeogr. Plants 2005, 50, 407–410. [Google Scholar] [CrossRef][Green Version]
- Måren, I.E.; Bhattarai, K.R.; Chaudhary, R.P. Forest Ecosystem Services and Biodiversity in Contrasting Himalayan Forest Management Systems. Environ. Conserv. 2014, 41, 73–83. [Google Scholar] [CrossRef]
- Nooteboom, H.P. Symplocaceae. In Flowering Plants Dicotyledons: Celastrales, Oxalidales, Rosales, Cornales, Ericales; Kubitzki, K., Ed.; Springer: Berlin, Heidelberg, 2004; pp. 443–449. ISBN 978-3-662-07257-8. [Google Scholar]
- Nooteboom, H. Symplocaceae. Flora Malesiana—Ser. 1 Spermatophyta 1974, 8, 205–274. [Google Scholar]
- Dakhil, M.A.; Zhang, L.; El-Barougy, R.F.; Bedair, H.; Hao, Z.; Yuan, Z.; Feng, Y.; Halmy, M.W.A. Diversity Pattern of Symplocos Tree Species in China under Climate Change Scenarios: Toward Conservation Planning. Glob. Ecol. Conserv. 2024, 54, e03198. [Google Scholar] [CrossRef]
- Yang, X.; Yan, H.; Li, B.; Han, Y.; Song, B. Spatial Distribution Patterns of Symplocos Congeners in a Subtropical Evergreen Broad-Leaf Forest of Southern China. J. For. Res. 2018, 29, 773–784. [Google Scholar] [CrossRef]
- Wu, R.-F.; Nooteboom, H.P. Symplocaceae. In Flora of China; Wu, Z.-Y., Raven, P.H., Eds.; Science Press & Missouri Botanical Garden Press: Beijing, China, 1996; Volume 15, pp. 235–252. [Google Scholar]
- Scheiner, S.M. Encyclopedia of Biodiversity, 3rd ed.; Academic Press: London, UK, 2024; ISBN 978-0-12-822562-2. [Google Scholar]
- Manes, S.; Costello, M.J.; Beckett, H.; Debnath, A.; Devenish-Nelson, E.; Grey, K.-A.; Jenkins, R.; Khan, T.M.; Kiessling, W.; Krause, C.; et al. Endemism Increases Species’ Climate Change Risk in Areas of Global Biodiversity Importance. Biol. Conserv. 2021, 257, 109070. [Google Scholar] [CrossRef]
- Weiskopf, S.R.; Rubenstein, M.A.; Crozier, L.G.; Gaichas, S.; Griffis, R.; Halofsky, J.E.; Hyde, K.J.W.; Morelli, T.L.; Morisette, J.T.; Muñoz, R.C.; et al. Climate Change Effects on Biodiversity, Ecosystems, Ecosystem Services, and Natural Resource Management in the United States. Sci. Total Environ. 2020, 733, 137782. [Google Scholar] [CrossRef] [PubMed]
- Shivanna, K.R. Climate Change and Its Impact on Biodiversity and Human Welfare. Proc. Indian Natl. Sci. Acad. 2022, 88, 160–171. [Google Scholar] [CrossRef]
- Abbass, K.; Qasim, M.Z.; Song, H.; Murshed, M.; Mahmood, H.; Younis, I. A Review of the Global Climate Change Impacts, Adaptation, and Sustainable Mitigation Measures. Environ. Sci. Pollut. Res. 2022, 29, 42539–42559. [Google Scholar] [CrossRef]
- Morecroft, M.D.; Paterson, J.S. Effects of Temperature and Precipitation Changes on Plant Communities. In Plant Growth and Climate Change; John Wiley & Sons, Ltd.: Hoboken, NJ, USA, 2006; pp. 146–164. ISBN 978-0-470-98869-5. [Google Scholar]
- Lavergne, S.; Thuiller, W.; Ronce OLavergne, S.; Mouquet, N.; Thuiller, W.; Ronce, O. Biodiversity and Climate Change: Integrating Evolutionary and Ecological Responses of Species and Communities. Annu. Rev. Ecol. Evol. Syst. 2010, 41, 321–350. [Google Scholar] [CrossRef]
- Gornish, E.S.; Tylianakis, J.M. Community Shifts under Climate Change: Mechanisms at Multiple Scales. Am. J. Bot. 2013, 100, 1422–1434. [Google Scholar] [CrossRef]
- Leathers, K.; Herbst, D.; de Mendoza, G.; Doerschlag, G.; Ruhi, A. Climate Change Is Poised to Alter Mountain Stream Ecosystem Processes via Organismal Phenological Shifts. Proc. Natl. Acad. Sci. USA 2024, 121, e2310513121. [Google Scholar] [CrossRef]
- Wang, W.; Feng, C.; Liu, F.; Li, J. Biodiversity Conservation in China: A Review of Recent Studies and Practices. Environ. Sci. Ecotechnol. 2020, 2, 100025. [Google Scholar] [CrossRef]
- Mi, X.; Feng, G.; Hu, Y.; Zhang, J.; Chen, L.; Corlett, R.T.; Hughes, A.C.; Pimm, S.; Schmid, B.; Shi, S.; et al. The Global Significance of Biodiversity Science in China: An Overview. Natl. Sci. Rev. 2021, 8, nwab032. [Google Scholar] [CrossRef]
- Yousefzadeh, H.; Amirchakhmaghi, N.; Naseri, B.; Shafizadeh, F.; Kozlowski, G.; Walas, Ł. The Impact of Climate Change on the Future Geographical Distribution Range of the Endemic Relict Tree Gleditsia caspica (Fabaceae) in Hyrcanian Forests. Ecol. Inform. 2022, 71, 101773. [Google Scholar] [CrossRef]
- Abro, T.W.; Desta, A.B.; Debie, E.; Alemu, D.M. Endemic Plant Species and Threats to Their Sustainability in Ethiopia: A Systematic Review. Trees For. People 2024, 17, 100634. [Google Scholar] [CrossRef]
- Abrha, H.; Dodiomon, S.; Ongoma, V.; Hagos, H.; Birhane, E.; Gebresamuel, G.; Manaye, A. Response of Plant Species to Impact of Climate Change in Hugumbrda Grat-Kahsu Forest, Tigray, Ethiopia: Implications for Domestication and Climate Change Mitigation. Trees For. People 2024, 15, 100487. [Google Scholar] [CrossRef]
- Meru, L.B.; Pandey, R. Climate Change Ecological Vulnerability and Hotspot Analysis of Himalayan Forests in North-Eastern Region, India. Environ. Sustain. Indic. 2024, 24, 100472. [Google Scholar] [CrossRef]
- White, H.J.; McKeon, C.M.; Pakeman, R.J.; Buckley, Y.M. The Contribution of Geographically Common and Rare Species to the Spatial Distribution of Biodiversity. Glob. Ecol. Biogeogr. 2023, 32, 1730–1747. [Google Scholar] [CrossRef]
- Carrasco, J.; Price, V.; Tulloch, V.; Mills, M. Selecting Priority Areas for the Conservation of Endemic Trees Species and Their Ecosystems in Madagascar Considering Both Conservation Value and Vulnerability to Human Pressure. Biodivers. Conserv. 2020, 29, 1841–1854. [Google Scholar] [CrossRef]
- Shipley, B.R.; McGuire, J.L. Interpreting and Integrating Multiple Endemism Metrics to Identify Hotspots for Conservation Priorities. Biol. Conserv. 2022, 265, 109403. [Google Scholar] [CrossRef]
- Thuiller, W.; Albert, C.; Araújo, M.B.; Berry, P.M.; Cabeza, M.; Guisan, A.; Hickler, T.; Midgley, G.F.; Paterson, J.; Schurr, F.M.; et al. Predicting Global Change Impacts on Plant Species’ Distributions: Future Challenges. Perspect. Plant Ecol. Evol. Syst. 2008, 9, 137–152. [Google Scholar] [CrossRef]
- Franklin, J. Species Distribution Modelling Supports the Study of Past, Present and Future Biogeographies. J. Biogeogr. 2023, 50, 1533–1545. [Google Scholar] [CrossRef]
- Bagaria, P.; Thapa, A.; Sharma, L.K.; Joshi, B.D.; Singh, H.; Sharma, C.M.; Sarma, J.; Thakur, M.; Chandra, K. Distribution Modelling and Climate Change Risk Assessment Strategy for Rare Himalayan Galliformes Species Using Archetypal Data Abundant Cohorts for Adaptation Planning. Clim. Risk Manag. 2021, 31, 100264. [Google Scholar] [CrossRef]
- Benavides Rios, E.; Sadler, J.; Graham, L.; Matthews, T.J. Species Distribution Models and Island Biogeography: Challenges and Prospects. Glob. Ecol. Conserv. 2024, 51, e02943. [Google Scholar] [CrossRef]
- Beaumont, L.J.; Esperón-Rodríguez, M.; Nipperess, D.A.; Wauchope-Drumm, M.; Baumgartner, J.B. Incorporating Future Climate Uncertainty into the Identification of Climate Change Refugia for Threatened Species. Biol. Conserv. 2019, 237, 230–237. [Google Scholar] [CrossRef]
- Tallis, H.; Fargione, J.; Game, E.; McDonald, R.; Baumgarten, L.; Bhagabati, N.; Cortez, R.; Griscom, B.; Higgins, J.; Kennedy, C.M.; et al. Prioritizing Actions: Spatial Action Maps for Conservation. Ann. N. Y. Acad. Sci. 2021, 1505, 118–141. [Google Scholar] [CrossRef]
- van Kerkhoff, L.; Munera, C.; Dudley, N.; Guevara, O.; Wyborn, C.; Figueroa, C.; Dunlop, M.; Hoyos, M.A.; Castiblanco, J.; Becerra, L. Towards Future-Oriented Conservation: Managing Protected Areas in an Era of Climate Change. Ambio 2019, 48, 699–713. [Google Scholar] [CrossRef] [PubMed]
- Jeschke, J.M.; Strayer, D.L. Usefulness of Bioclimatic Models for Studying Climate Change and Invasive Species. Ann. N. Y. Acad. Sci. 2008, 1134, 1–24. [Google Scholar] [CrossRef]
- Calabrese, J.M.; Certain, G.; Kraan, C.; Dormann, C.F. Stacking Species Distribution Models and Adjusting Bias by Linking Them to Macroecological Models. Glob. Ecol. Biogeogr. 2014, 23, 99–112. [Google Scholar] [CrossRef]
- D’Amen, M.; Dubuis, A.; Fernandes, R.F.; Pottier, J.; Pellissier, L.; Guisan, A. Using Species Richness and Functional Traits Predictions to Constrain Assemblage Predictions from Stacked Species Distribution Models. J. Biogeogr. 2015, 42, 1255–1266. [Google Scholar] [CrossRef]
- Araújo, M.B.; New, M. Ensemble Forecasting of Species Distributions. Trends Ecol. Evol. 2007, 22, 42–47. [Google Scholar] [CrossRef] [PubMed]
- Thuiller, W.; Lafourcade, B.; Engler, R.; Araújo, M.B. BIOMOD—A Platform for Ensemble Forecasting of Species Distributions. Ecography 2009, 32, 369–373. [Google Scholar] [CrossRef]
- Zizka, A.; Silvestro, D.; Andermann, T.; Azevedo, J.; Duarte Ritter, C.; Edler, D.; Farooq, H.; Herdean, A.; Ariza, M.; Scharn, R.; et al. CoordinateCleaner: Standardized Cleaning of Occurrence Records from Biological Collection Databases. Methods Ecol. Evol. 2019, 10, 744–751. [Google Scholar] [CrossRef]
- Liu, B.; Botanic Gardens Conservation International (BGCI); IUCN SSC Global Tree Specialist Group. Symplocos austrosinensis. IUCN Red List. Threat. Species 2019, e.T152823799A152841577. [Google Scholar] [CrossRef]
- Liu, B.; Botanic Gardens Conservation International (BGCI); IUCN SSC Global Tree Specialist Group. Symplocos crassilimba. IUCN Red List. Threat. Species 2019, e.T152824007A152836393. [Google Scholar] [CrossRef]
- Liu, B.; Botanic Gardens Conservation International (BGCI); IUCN SSC Global Tree Specialist Group. Symplocos glandulifera. IUCN Red List. Threat. Species 2019, e.T152824032A152834290. [Google Scholar] [CrossRef]
- Fick, S.E.; Hijmans, R.J. WorldClim 2: New 1-Km Spatial Resolution Climate Surfaces for Global Land Areas. Int. J. Climatol. 2017, 37, 4302–4315. [Google Scholar] [CrossRef]
- Hausfather, Z. Explainer: The High-Emissions ‘RCP8.5’Global Warming Scenario. Carbon Brief 22. 2019. Available online: https://www.carbonbrief.org/explainer-the-high-emissions-rcp8-5-global-warming-scenario/ (accessed on 25 October 2025).
- Naimi, B. Usdm: Uncertainty Analysis for Species Distribution Models. Available online: https://cran.r-project.org/web/packages/usdm/usdm.pdf (accessed on 8 December 2025).
- Guisan, A.; Thuiller, W.; Zimmermann, N.E. Habitat Suitability and Distribution Models: With Applications in R; Cambridge University Press: Cambridge, UK, 2017; ISBN 978-0-521-76513-8. [Google Scholar]
- Schmitt, S.; Pouteau, R.; Justeau, D.; de Boissieu, F.; Birnbaum, P. Ssdm: An r Package to Predict Distribution of Species Richness and Composition Based on Stacked Species Distribution Models. Methods Ecol. Evol. 2017, 8, 1795–1803. [Google Scholar] [CrossRef]
- Karthik; Shivakumar, B.R. Change Detection Using Image Differencing: A Study over Area Surrounding Kumta, India. In Proceedings of the 2017 Second International Conference on Electrical, Computer and Communication Technologies (ICECCT), Coimbatore, India, 22–24 February 2017; pp. 1–5. [Google Scholar]
- Hesselbarth, M.H.K.; Sciaini, M.; With, K.A.; Wiegand, K.; Nowosad, J. Landscapemetrics: An Open-Source R Tool to Calculate Landscape Metrics. Ecography 2019, 42, 1648–1657. [Google Scholar] [CrossRef]
- McGarigal, K.S.; Cushman, S.; Neel, M.; Ene, E. FRAGSTATS: Spatial Pattern Analysis Program for Categorical Maps; University of Massachusetts: Amherst, MA, USA, 2002. [Google Scholar]
- Nowosad, J.; Stepinski, T.F. Information Theory as a Consistent Framework for Quantification and Classification of Landscape Patterns. Landsc. Ecol 2019, 34, 2091–2101. [Google Scholar] [CrossRef]
- Sothe, C.; De Almeida, C.M.; Schimalski, M.B.; La Rosa, L.E.C.; Castro, J.D.B.; Feitosa, R.Q.; Dalponte, M.; Lima, C.L.; Liesenberg, V.; Miyoshi, G.T.; et al. Comparative Performance of Convolutional Neural Network, Weighted and Conventional Support Vector Machine and Random Forest for Classifying Tree Species Using Hyperspectral and Photogrammetric Data. GISci. Remote Sens. 2020, 57, 369–394. [Google Scholar] [CrossRef]
- Myers, N.; Mittermeier, R.A.; Mittermeier, C.G.; da Fonseca, G.A.B.; Kent, J. Biodiversity Hotspots for Conservation Priorities. Nature 2000, 403, 853–858. [Google Scholar] [CrossRef]
- Yao, Z.; Xin, Y.; Yang, L.; Zhao, L.; Ali, A. Precipitation and Temperature Regulate Species Diversity, Plant Coverage and Aboveground Biomass through Opposing Mechanisms in Large-Scale Grasslands. Front. Plant Sci. 2022, 13, 999636. [Google Scholar] [CrossRef]
- Bräuning, A.; Grießinger, J.; Hochreuther, P.; Wernicke, J. Dendroecological Perspectives on Climate Change on the Southern Tibetan Plateau. In Climate Change, Glacier Response, and Vegetation Dynamics in the Himalaya: Contributions Toward Future Earth Initiatives; Singh, R., Schickhoff, U., Mal, S., Eds.; Springer International Publishing: Cham, Switzerland, 2016; pp. 347–364. ISBN 978-3-319-28977-9. [Google Scholar]
- Dakhil, M.A.; Halmy, M.W.A.; Liao, Z.; Pandey, B.; Zhang, L.; Pan, K.; Sun, X.; Wu, X.; Eid, E.M.; El-Barougy, R.F. Potential Risks to Endemic Conifer Montane Forests under Climate Change: Integrative Approach for Conservation Prioritization in Southwestern China. Landsc. Ecol 2021, 36, 3137–3151. [Google Scholar] [CrossRef]
- Yang, J.; Wu, Q.; Dakhil, M.A.; Halmy, M.W.A.; Bedair, H.; Fouad, M.S. Towards Forest Conservation Planning: How Temperature Fluctuations Determine the Potential Distribution and Extinction Risk of Cupressus Funebris Conifer Trees in China. Forests 2023, 14, 2234. [Google Scholar] [CrossRef]
- Amissah, L.; Mohren, G.M.J.; Bongers, F.; Hawthorne, W.D.; Poorter, L. Rainfall and Temperature Affect Tree Species Distributions in Ghana. J. Trop. Ecol. 2014, 30, 435–446. [Google Scholar] [CrossRef]
- La Montagna, D.; Attorre, F.; Hamdiah, S.; Maděra, P.; Malatesta, L.; Vahalík, P.; Van Damme, K.; De Sanctis, M. Climate Change Effects on the Potential Distribution of the Endemic Commiphora Species (Burseraceae) on the Island of Socotra. Front. For. Glob. Change 2023, 6, 1183858. [Google Scholar] [CrossRef]
- Gallou, A.; Jump, A.S.; Lynn, J.S.; Field, R.; Irl, S.D.H.; Steinbauer, M.J.; Beierkuhnlein, C.; Chen, J.-C.; Chou, C.-H.; Hemp, A.; et al. Diurnal Temperature Range as a Key Predictor of Plants’ Elevation Ranges Globally. Nat. Commun. 2023, 14, 7890. [Google Scholar] [CrossRef]
- Sanjeewani, N.; Samarasinghe, D.; Jayasinghe, H.; Ukuwela, K.; Wijetunga, A.; Wahala, S.; De Costa, J. Variation of Floristic Diversity, Community Composition, Endemism, and Conservation Status of Tree Species in Tropical Rainforests of Sri Lanka across a Wide Altitudinal Gradient. Sci. Rep. 2024, 14, 2090. [Google Scholar] [CrossRef] [PubMed]
- Jiménez-García, D.; Peterson, A.T. Climate Change Impact on Endangered Cloud Forest Tree Species in Mexico. Rev. Mex. Biodivers. 2019, 90, e902781. [Google Scholar] [CrossRef]
- Zhao, Y.; Cao, H.; Xu, W.; Chen, G.; Lian, J.; Du, Y.; Ma, K. Contributions of Precipitation and Temperature to the Large Scale Geographic Distribution of Fleshy-Fruited Plant Species: Growth Form Matters. Sci. Rep. 2018, 8, 17017. [Google Scholar] [CrossRef]
- Yin, Y.; Ma, D.; Wu, S. Climate Change Risk to Forests in China Associated with Warming. Sci. Rep. 2018, 8, 493. [Google Scholar] [CrossRef]
- Huang, Z.; Liu, S.; Bradford, K.J.; Huxman, T.E.; Venable, D.L. The Contribution of Germination Functional Traits to Population Dynamics of a Desert Plant Community. Ecology 2016, 97, 250–261. [Google Scholar] [CrossRef]
- Xie, Z.; Sun, X.; Lux, J.; Chen, T.-W.; Potapov, M.; Wu, D.; Scheu, S. Drivers of Collembola Assemblages along an Altitudinal Gradient in Northeast China. Ecol. Evol. 2022, 12, e8559. [Google Scholar] [CrossRef] [PubMed]
- Tian, P.; Liu, Y.; Ou, J. Meta-Analysis of the Impact of Future Climate Change on the Area of Woody Plant Habitats in China. Front. Plant Sci. 2023, 14, 1139739. [Google Scholar] [CrossRef]
- Thang, T.H.; Thu, A.M.; Chen, J. Tree Species of Tropical and Temperate Lineages in a Tropical Asian Montane Forest Show Different Range Dynamics in Response to Climate Change. Glob. Ecol. Conserv. 2020, 22, e00973. [Google Scholar] [CrossRef]
- Xu, S.-L.; Kodrul, T.; Romanov, M.S.; Bobrov, A.V.F.C.; Maslova, N.; Li, S.-F.; Fu, Q.-Y.; Huang, W.-Y.; Quan, C.; Jin, J.-H.; et al. Diversity of Symplocos (Symplocaceae, Ericales) at Low Latitudes in Asia during Late Oligocene and Miocene. Plant Divers. 2024, 46, 812–816. [Google Scholar] [CrossRef]
- Mai, D.H.; Martinetto, E. A Reconsideration of the Diversity of Symplocos in the European Neogene on the Basis of Fruit Morphology. Rev. Palaeobot. Palynol. 2006, 140, 1–26. [Google Scholar] [CrossRef]
- Manchester, S.R.; Lott, T.A.; Herrera, F.; Hooghiemstra, H.; Wijninga, V.M.; Fritsch, P.W. Symplocos Fruits from the Pliocene of Colombia. Syst. Bot. 2021, 46, 416–421. [Google Scholar] [CrossRef]
- Turner, M.G.; Gardner, R.H. Landscape Ecology in Theory and Practice: Pattern and Process; Springer: New York, NY, USA, 2015; ISBN 978-1-4939-2793-7. [Google Scholar]
- Keppel, G.; Van Niel, K.P.; Wardell-Johnson, G.W.; Yates, C.J.; Byrne, M.; Mucina, L.; Schut, A.G.T.; Hopper, S.D.; Franklin, S.E. Refugia: Identifying and Understanding Safe Havens for Biodiversity under Climate Change. Glob. Ecol. Biogeogr. 2012, 21, 393–404. [Google Scholar] [CrossRef]
- Ashcroft, M.B. Identifying Refugia from Climate Change. J. Biogeogr. 2010, 37, 1407–1413. [Google Scholar] [CrossRef]
- Dawson, T.P.; Jackson, S.T.; House, J.I.; Prentice, I.C.; Mace, G.M. Beyond Predictions: Biodiversity Conservation in a Changing Climate. Science 2011, 332, 53–58. [Google Scholar] [CrossRef]
- McGarigal, K.; Marks, B.J. FRAGSTATS: Spatial Pattern Analysis Program for Quantifying Landscape Structure; Gen. Tech. Rep. PNW-GTR-351; Department of Agriculture, Forest Service, Pacific Northwest Research Station: Portland, OR, USA, 1995; 122p. [CrossRef]
- Forman, R.T.T. Land Mosaics. The Ecology of Landscapes and Regions; Cambridge University Press: Cambridge, UK, 1995; Available online: https://www.scirp.org/reference/referencespapers?referenceid=2127483 (accessed on 9 November 2025).
- Flowers, B.; Huang, K.-T.; Aldana, G.O. Analysis of the Habitat Fragmentation of Ecosystems in Belize Using Landscape Metrics. Sustainability 2020, 12, 3024. [Google Scholar] [CrossRef]
- Fletcher, R.J., Jr.; Smith, T.A.H.; Kortessis, N.; Bruna, E.M.; Holt, R.D. Landscape Experiments Unlock Relationships among Habitat Loss, Fragmentation, and Patch-Size Effects. Ecology 2023, 104, e4037. [Google Scholar] [CrossRef] [PubMed]
- Fahrig, L. Effects of Habitat Fragmentation on Biodiversity. Annu. Rev. Ecol. Evol. Syst. 2003, 34, 487–515. [Google Scholar] [CrossRef]
- de Lima Filho, J.A.; Vieira, R.J.A.G.; de Souza, C.A.M.; Ferreira, F.F.; de Oliveira, V.M. Effects of Habitat Fragmentation on Biodiversity Patterns of Ecosystems with Resource Competition. Phys. A Stat. Mech. Its Appl. 2021, 564, 125497. [Google Scholar] [CrossRef]
- Botequilha Leitão, A.; Ahern, J. Applying Landscape Ecological Concepts and Metrics in Sustainable Landscape Planning. Landsc. Urban Plan. 2002, 59, 65–93. [Google Scholar] [CrossRef]
- Cullum, C.; Rogers, K.H.; Brierley, G.; Witkowski, E.T.F. Ecological Classification and Mapping for Landscape Management and Science: Foundations for the Description of Patterns and Processes. Prog. Phys. Geogr. Earth Environ. 2016, 40, 38–65. [Google Scholar] [CrossRef]
- Alaei, N.; Mostafazadeh, R.; Esmali Ouri, A.; Hazbavi, Z.; Sharari, M.; Huang, G. Spatial Comparative Analysis of Landscape Fragmentation Metrics in a Watershed with Diverse Land Uses in Iran. Sustainability 2022, 14, 14876. [Google Scholar] [CrossRef]
- Critchlow, R.; Cunningham, C.A.; Crick, H.Q.P.; Macgregor, N.A.; Morecroft, M.D.; Pearce-Higgins, J.W.; Oliver, T.H.; Carroll, M.J.; Beale, C.M. Multi-Taxa Spatial Conservation Planning Reveals Similar Priorities between Taxa and Improved Protected Area Representation with Climate Change. Biodivers. Conserv. 2022, 31, 683–702. [Google Scholar] [CrossRef]
- Xu, W.; Shrestha, A.; Wang, G.; Wang, T. Site-Based Climate-Smart Tree Species Selection for Forestation under Climate Change. Clim. Smart Agric. 2024, 1, 100019. [Google Scholar] [CrossRef]
- Elith, J.; Leathwick, J.R. Species Distribution Models: Ecological Explanation and Prediction Across Space and Time. Annu. Rev. Ecol. Evol. Syst. 2009, 40, 677–697. [Google Scholar] [CrossRef]
- Guisan, A.; Thuiller, W. Predicting Species Distribution: Offering More than Simple Habitat Models. Ecol. Lett. 2005, 8, 993–1009. [Google Scholar] [CrossRef] [PubMed]
- Guisan, A.; Tingley, R.; Baumgartner, J.B.; Naujokaitis-Lewis, I.; Sutcliffe, P.R.; Tulloch, A.I.T.; Regan, T.J.; Brotons, L.; McDonald-Madden, E.; Mantyka-Pringle, C.; et al. Predicting Species Distributions for Conservation Decisions. Ecol. Lett. 2013, 16, 1424–1435. [Google Scholar] [CrossRef] [PubMed]
- Masson-Delmotte, V.; Zhai, P.; Pirani, A.; Connors, S.L.; Péan, C.; Berger, S.; Caud, N.; Chen, Y.; Goldfarb, L.; Gomis, M.I.; et al. Climate Change 2021—The Physical Science Basis: Working Group I Contribution to the Sixth Assessment Report of the Intergovernmental Panel on Climate Change, 1st ed.; Cambridge University Press: Cambridge, UK, 2023; ISBN 978-1-009-15789-6. [Google Scholar]










| Species | Main Ecosystem | Distribution According to Wu & Nooteboom [9] | IUCN Red List Status | Global Population Status | Source |
|---|---|---|---|---|---|
| S. austrosinensis Handel-Mazzetti | Mixed forests; up to 1000 m. | N Guangdong, Guangxi, Guizhou, Hunan | LC | stable | Liu [41] |
| S. crassilimba Merrill, Lingnan | Mixed forests (400–1000 m) | Hainan | LC | stable | Liu [42] |
| S. fordii Hance | Mixed forests; up to 500 m. | South Guangdong | NE | unknown | |
| S. fukienensis Ling | Mixed forests; up to 900 m. | Fujian | |||
| S. glandulifera Brand in Engler | Mixed forests slopes (1400–2000 m) | Guangxi, Hunan, Yunnan | LC | Stable | Liu [43] |
| S. nakaharae (Hayata) Masam. | LC | unknown | |||
| S. ramosissima var. xylopyrena | Mixed forests (1800–2000 m) | Xizang, Yunnan | |||
| S. stellaris Brand in Diels | Mixed forests (100–2000 m) | Anhui, Guangdong, Fujian, Guizhou, Guangxi, Jiangsu, Sichuan, Zhejiang, Yunnan, | NE | unknown | |
| S. stellaris var. aenea (Handel-Mazzetti) Nooteboom | Mixed forests (1000–2000 m) | South Sichuan, Yunnan | NE | unknown | |
| S. sumuntia var. modesta | Mixed forests up yo 1000 m | Taiwan. | NE | unknown | |
| S. ulotricha Ling | Mixed forests slopes (900–1100 m) | Fujian, Guangdong | NE | unknown |
| Variable Code | Relative Importance | VIF |
|---|---|---|
| Bio15 (Precipitation seasonality) | 26.1 | 6.6 |
| Bio13 (Precipitation of wettest month) | 20 | 5.6 |
| Bio3 (Isothermality) | 17.6 | 9.2 |
| Bio2 (Mean diurnal range) | 14.6 | 8.8 |
| Bio8 (Mean temperature of wettest quarter) | 12.1 | 6.7 |
Disclaimer/Publisher’s Note: The statements, opinions and data contained in all publications are solely those of the individual author(s) and contributor(s) and not of MDPI and/or the editor(s). MDPI and/or the editor(s) disclaim responsibility for any injury to people or property resulting from any ideas, methods, instructions or products referred to in the content. |
© 2025 by the authors. Licensee MDPI, Basel, Switzerland. This article is an open access article distributed under the terms and conditions of the Creative Commons Attribution (CC BY) license.
Share and Cite
Dakhil, M.A.; Zhang, L.; Halmy, M.W.A.; El-Barougy, R.F.; Pandey, B.; Hao, Z.; Yuan, Z.; Liang, L.; Bedair, H. Spatial and Landscape Fragmentation Pattern of Endemic Symplocos Tree Communities Under Climate Change Scenarios in China. Forests 2026, 17, 58. https://doi.org/10.3390/f17010058
Dakhil MA, Zhang L, Halmy MWA, El-Barougy RF, Pandey B, Hao Z, Yuan Z, Liang L, Bedair H. Spatial and Landscape Fragmentation Pattern of Endemic Symplocos Tree Communities Under Climate Change Scenarios in China. Forests. 2026; 17(1):58. https://doi.org/10.3390/f17010058
Chicago/Turabian StyleDakhil, Mohammed A., Lin Zhang, Marwa Waseem A. Halmy, Reham F. El-Barougy, Bikram Pandey, Zhanqing Hao, Zuoqiang Yuan, Lin Liang, and Heba Bedair. 2026. "Spatial and Landscape Fragmentation Pattern of Endemic Symplocos Tree Communities Under Climate Change Scenarios in China" Forests 17, no. 1: 58. https://doi.org/10.3390/f17010058
APA StyleDakhil, M. A., Zhang, L., Halmy, M. W. A., El-Barougy, R. F., Pandey, B., Hao, Z., Yuan, Z., Liang, L., & Bedair, H. (2026). Spatial and Landscape Fragmentation Pattern of Endemic Symplocos Tree Communities Under Climate Change Scenarios in China. Forests, 17(1), 58. https://doi.org/10.3390/f17010058

