Optimizing Urban Green Spaces for Vegetation-Based Carbon Sequestration: The Role of Landscape Spatial Structure in Zhengzhou Parks, China
Abstract
1. Introduction
2. Materials and Methods
2.1. Study Area
2.2. Remote Sensing Data
2.3. Field Vegetation Survey
2.4. Vegetation Carbon Sequestration Estimation
2.5. Driving Factors and Statistical Analysis
3. Results
3.1. Carbon Sequestration of Urban Parks
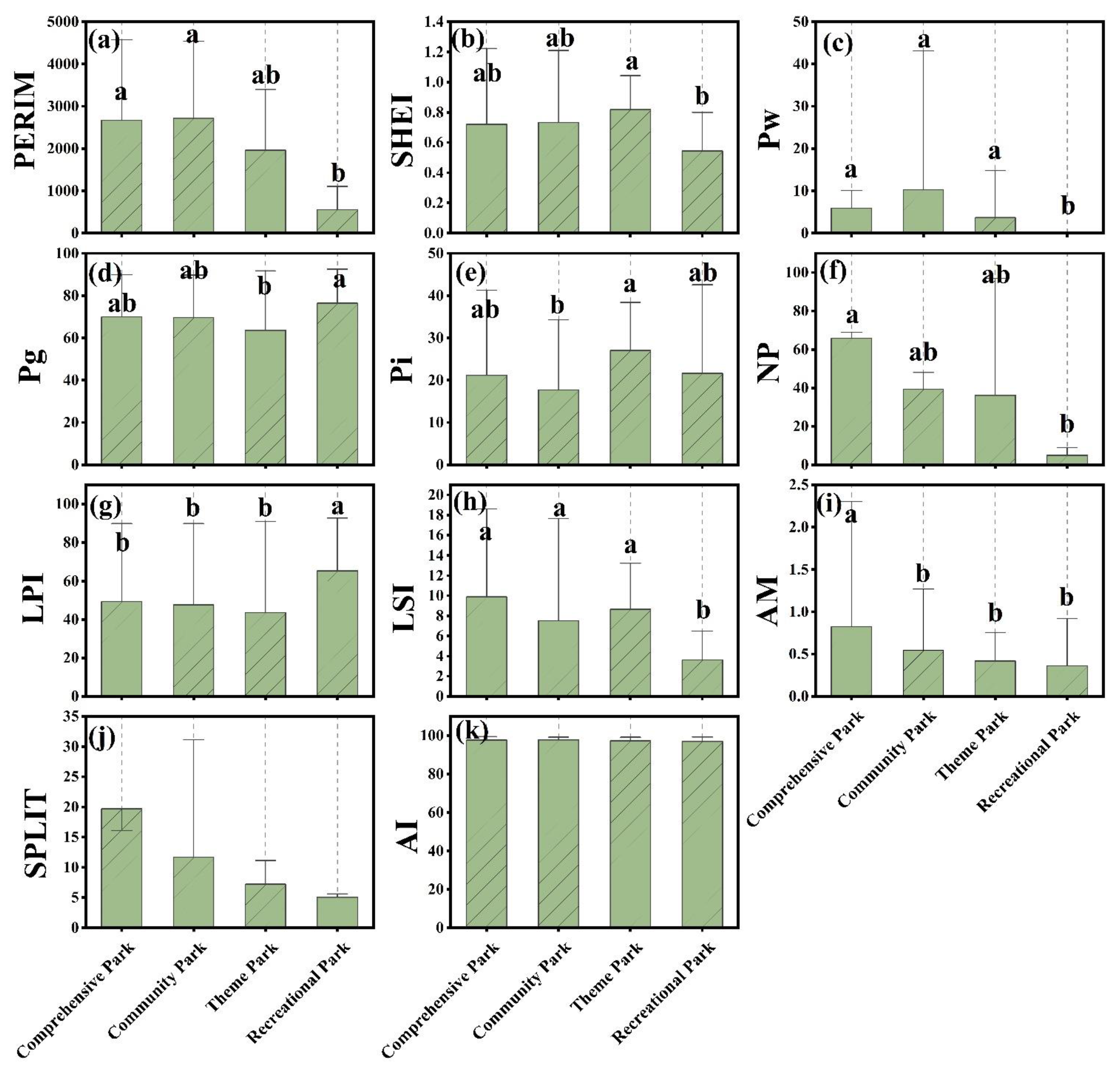
3.2. Spatial Variation in Park Landscape Metrics
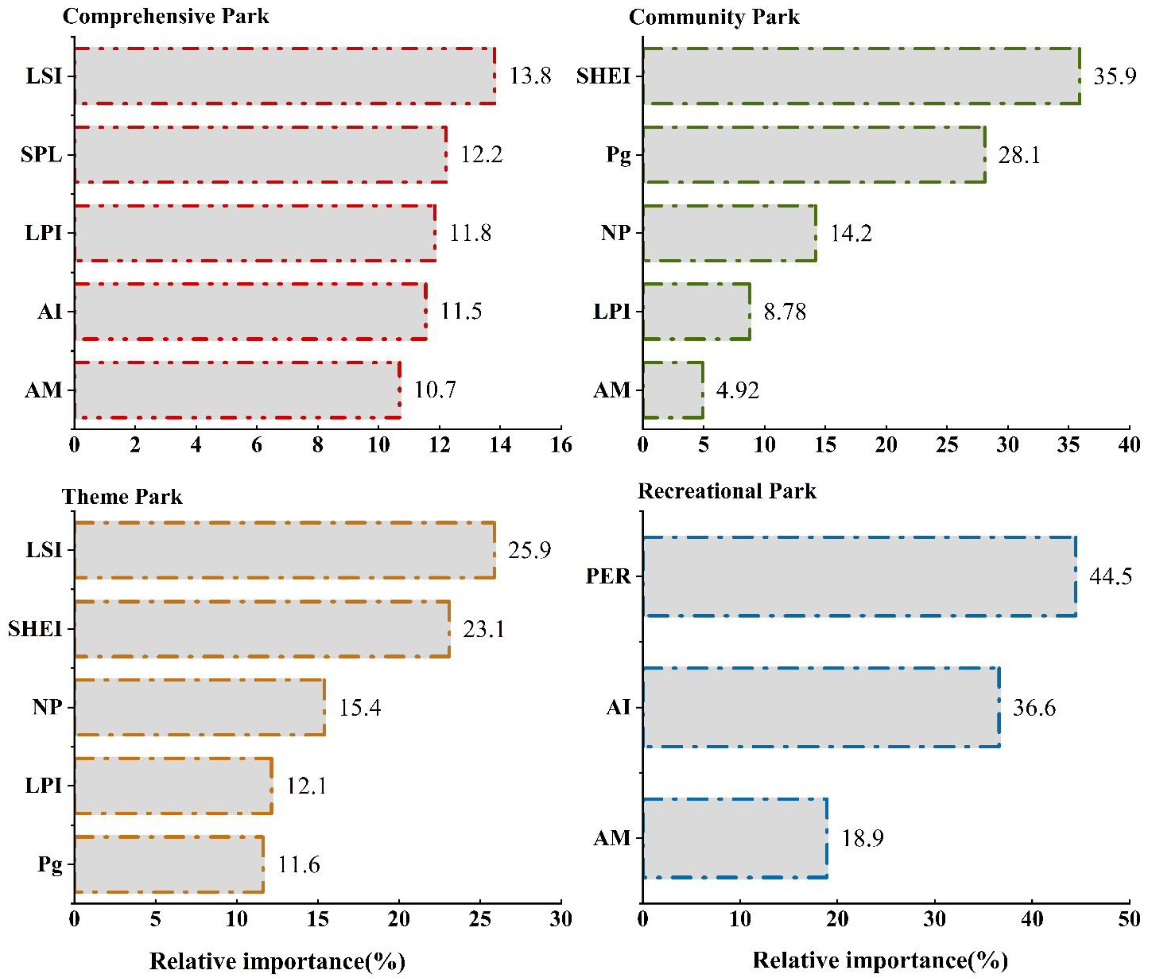
3.3. Correlation Between Carbon Sequestration and Landscape Drivers Across Different Urban Park Types
4. Discussion
4.1. Comparison with Previous Studies
4.2. Effects of Landscape Patterns on Carbon Sequestration
4.3. Implications for Urban Park Design and Management
4.4. Limitations and Suggestions
5. Conclusions
- The total vegetation carbon sequestration capacity of parks in Zhengzhou is 14.03 Gg C yr−1, with an average VCSD of 0.53 kg C m−2 yr−1.
- Green space proportion (Pg) and largest patch index (LPI) positively influenced VCSD, while the number of patches (NP), splitting index (SPL), Shannon’s evenness index (SHEI), and landscape shape index (LSI) had negative effects. Each driving factor exhibited specific threshold ranges, highlighting the need for targeted spatial optimization.
- Spatial optimization strategies should be tailored according to park types. For comprehensive parks, simplifying patch shapes (reducing LSI) and enhancing aggregation (increasing AI and LPI) significantly improved VCSD. Community parks require higher green space coverage, larger dominant patches, and a controlled number of patches to avoid fragmentation. Theme parks benefit from simplified patch geometries and increased spatial evenness, while recreational parks can moderately increase perimeter complexity and maintain higher internal aggregation and patch size.
Author Contributions
Funding
Data Availability Statement
Acknowledgments
Conflicts of Interest
References
- United Nations, Department of Economic and Social Affairs, Population Division. World Urbanization Prospects: The 2018 Revision; United Nations: New York, NY, USA, 2019; ISBN 978-92-1-148319-2. [Google Scholar]
- Gong, P.; Li, X.; Wang, J.; Bai, Y.; Chen, B.; Hu, T.; Liu, X.; Xu, B.; Yang, J.; Zhang, W.; et al. Annual maps of global artificial impervious area (GAIA) between 1985 and 2018. Remote Sens. Environ. 2020, 236, 111510. [Google Scholar] [CrossRef]
- Li, X.; Gong, P.; Zhou, Y.; Wang, J.; Bai, Y.; Chen, B.; Hu, T.; Xiao, Y.; Xu, B.; Yang, J.; et al. Mapping global urban boundaries from the global artificial impervious area (GAIA) data. Environ. Res. Lett. 2020, 15, 094044. [Google Scholar] [CrossRef]
- Alley, R.; Berntsen, T.; Bindoff, N.L.; Chen, Z.; Chidthaisong, A.; Friedlingstein, P.; Gregory, J.; Hegerl, G.; Heimann, M.; Hewitson, B.; et al. Climate Change 2021: The Physical Science Basis. Contribution of Working Group I to the Sixth Assessment Report of the Intergovernmental Panel on Climate Change; Masson-Delmotte, V., Zhai, P., Pirani, A., Connors, S.L., Péan, C., Berger, S., Caud, N., Chen, Y., Goldfarb, L., Gomis, M.I., et al., Eds.; Cambridge University Press: Cambridge, UK; New York, NY, USA, 2021. [Google Scholar]
- Thomas, C.D.; Cameron, A.; Green, R.E.; Bakkenes, M.; Beaumont, L.J.; Collingham, Y.C.; Erasmus, B.F.N.; de Siqueira, M.F.; Grainger, A.; Hannah, L.; et al. Extinction risk from climate change. Nature 2004, 427, 145–148. [Google Scholar] [CrossRef] [PubMed]
- Root, T.L.; Price, J.T.; Hall, K.R.; Schneider, S.H.; Rosenzweig, C.; Pounds, J.A. Fingerprints of global warming on wild animals and plants. Nature 2003, 421, 57–60. [Google Scholar] [CrossRef]
- Grimm, N.B.; Faeth, S.H.; Golubiewski, N.E.; Redman, C.L.; Wu, J.; Bai, X.; Briggs, J.M. Global Change and the Ecology of Cities. Science 2008, 319, 756–760. [Google Scholar] [CrossRef]
- Nowak, D.J.; Crane, D.E. Carbon storage and sequestration by urban trees in the USA. Environ. Pollut. 2002, 116, 381–389. [Google Scholar] [CrossRef]
- Mitchell, M.G.E.; Johansen, K.; Maron, M.; McAlpine, C.A.; Wu, D.; Rhodes, J.R. Identification of fine scale and landscape scale drivers of urban aboveground carbon stocks using high-resolution modeling and mapping. Sci. Total Environ. 2018, 622–623, 57–70. [Google Scholar] [CrossRef]
- Dhakal, S. GHG emissions from urbanization and opportunities for urban carbon mitigation. Curr. Opin. Environ. Sustain. 2010, 2, 277–283. [Google Scholar] [CrossRef]
- Ge, S.; Zhao, S. Organic carbon storage change in China’s urban landfills from 1978–2014. Environ. Res. Lett. 2017, 12, 104013. [Google Scholar] [CrossRef]
- Russo, A.; Escobedo, F.J.; Timilsina, N.; Schmitt, A.O.; Varela, S.; Zerbe, S. Assessing urban tree carbon storage and sequestration in Bolzano, Italy. Int. J. Biodivers. Sci. Ecosyst. Serv. Manag. 2014, 10, 54–70. [Google Scholar] [CrossRef]
- Ge, Z.; Wen, W.; Xu, L.; Chen, G.; Zhou, G.; Ji, B.; Zhou, Y.; Zhu, G.; Shi, Y. Vegetation Carbon Accumulation Driven by Stand Characteristics and Climatic Factors in Subtropical Forests of Southeastern China. J. Sustain. For. 2022, 41, 941–958. [Google Scholar] [CrossRef]
- Valánszki, I.; Virág, D.; Kiszter, I.B.; Boromisza, Z. Green infrastructure development opportunities in rural settlements. 4D J. Landsc. Archit. Gard. Arts 2021, 60, 34–49. [Google Scholar] [CrossRef] [PubMed]
- Sun, Y.; Xie, S.; Zhao, S. Valuing urban green spaces in mitigating climate change: A city-wide estimate of aboveground carbon stored in urban green spaces of China’s Capital. Glob. Change Biol. 2019, 25, 1717–1732. [Google Scholar] [CrossRef]
- Ren, Z.; Zheng, H.; He, X.; Zhang, D.; Shen, G.; Zhai, C. Changes in spatio-temporal patterns of urban forest and its above-ground carbon storage: Implication for urban CO2 emissions mitigation under China’s rapid urban expansion and greening. Environ. Int. 2019, 129, 438–450. [Google Scholar] [CrossRef]
- Tóth, B.; Doma-Tarcsányi, J.; Szabó, K. Study of planting density and canopy cover in open spaces in Budapest. 4D J. Landsc. Archit. Gard. Arts 2023, 70, 14–31. [Google Scholar] [CrossRef]
- Zhao, M.; Kong, Z.; Escobedo, F.J.; Gao, J. Impacts of urban forests on offsetting carbon emissions from industrial energy use in Hangzhou, China. J. Environ. Manag. 2010, 91, 807–813. [Google Scholar] [CrossRef]
- Jo, H.-K.; Kim, J.-Y.; Park, H.-M. Carbon reduction and planning strategies for urban parks in Seoul. Urban For. Urban Green. 2019, 41, 48–54. [Google Scholar] [CrossRef]
- Wang, Y.; Chang, Q.; Li, X. Promoting sustainable carbon sequestration of plants in urban greenspace by planting design: A case study in parks of Beijing. Urban For. Urban Green. 2021, 64, 127291. [Google Scholar] [CrossRef]
- Shadman, S.; Ahanaf Khalid, P.; Hanafiah, M.M.; Koyande, A.K.; Islam, M.A.; Bhuiyan, S.A.; Sin Woon, K.; Show, P.-L. The carbon sequestration potential of urban public parks of densely populated cities to improve environmental sustainability. Sustain. Energy Technol. Assess. 2022, 52, 102064. [Google Scholar] [CrossRef]
- Fan, L.; Wang, J.; Han, D.; Gao, J.; Yao, Y. Research on Promoting Carbon Sequestration of Urban Green Space Distribution Characteristics and Planting Design Models in Xi’an. Sustainability 2023, 15, 572. [Google Scholar] [CrossRef]
- Jia, X.; Han, H.; Feng, Y.; Song, P.; He, R.; Liu, Y.; Wang, P.; Zhang, K.; Du, C.; Ge, S.; et al. Scale-dependent and driving relationships between spatial features and carbon storage and sequestration in an urban park of Zhengzhou, China. Sci. Total Environ. 2023, 894, 164916. [Google Scholar] [CrossRef] [PubMed]
- Nicese, F.P.; Colangelo, G.; Comolli, R.; Azzini, L.; Lucchetti, S.; Marziliano, P.A.; Sanesi, G. Estimating CO2 balance through the Life Cycle Assessment prism: A case—Study in an urban park. Urban For. Urban Green. 2021, 57, 126869. [Google Scholar] [CrossRef]
- Jiang, Y.; Sun, Y.; Liu, Y.; Li, X. Exploring the correlation between waterbodies, green space morphology, and carbon dioxide concentration distributions in an urban waterfront green space: A simulation study based on the carbon cycle. Sustain. Cities Soc. 2023, 98, 104831. [Google Scholar] [CrossRef]
- Lin, J.; Ma, Q.; Ju, Y.; Zhang, H.; Wang, Q.; Huang, B. Relationships between urbanization, tree morphology, and carbon density: An integration of remote sensing, allometric models, and field survey. Urban For. Urban Green. 2022, 76, 127725. [Google Scholar] [CrossRef]
- Riitters, K.H.; O’Neill, R.V.; Hunsaker, C.T.; Wickham, J.D.; Yankee, D.H.; Timmins, S.P.; Jones, K.B.; Jackson, B.L. A factor analysis of landscape pattern and structure metrics. Landsc. Ecol. 1995, 10, 23–39. [Google Scholar] [CrossRef]
- Herold, M.; Scepan, J.; Clarke, K.C. The Use of Remote Sensing and Landscape Metrics to Describe Structures and Changes in Urban Land Uses. Env. Plan A 2002, 34, 1443–1458. [Google Scholar] [CrossRef]
- Plexida, S.G.; Sfougaris, A.I.; Ispikoudis, I.P.; Papanastasis, V.P. Selecting landscape metrics as indicators of spatial heterogeneity—A comparison among Greek landscapes. Int. J. Appl. Earth Obs. Geoinf. 2014, 26, 26–35. [Google Scholar] [CrossRef]
- Wu, J.; Shen, W.; Sun, W.; Tueller, P.T. Empirical patterns of the effects of changing scale on landscape metrics. Landsc. Ecol. 2002, 17, 761–782. [Google Scholar] [CrossRef]
- Du, C.; Song, P.; Wang, K.; Li, A.; Hu, Y.; Zhang, K.; Jia, X.; Feng, Y.; Wu, M.; Qu, K.; et al. Investigating the Trends and Drivers between Urbanization and the Land Surface Temperature: A Case Study of Zhengzhou, China. Sustainability 2022, 14, 13845. [Google Scholar] [CrossRef]
- Zhengzhou Statistics Bureau Zhengzhou Statistical Yearbook. 2022. Available online: https://topic.zhengzhou.gov.cn/u/cms/tjj/statistical_2022/index.htm (accessed on 11 January 2024).
- ZZP. Available online: https://tjj.zhengzhou.gov.cn/ndsj/3134558.jhtml (accessed on 10 January 2024).
- Ma, J.; Li, X.; Baoquan, J.; Liu, X.; Li, T.; Zhang, W.; Liu, W. Spatial variation analysis of urban forest vegetation carbon storage and sequestration in built-up areas of Beijing based on i-Tree Eco and Kriging. Urban For. Urban Green. 2021, 66, 127413. [Google Scholar] [CrossRef]
- Rossi, L.; Menconi, M.E.; Grohmann, D.; Brunori, A.; Nowak, D.J. Urban Planning Insights from Tree Inventories and Their Regulating Ecosystem Services Assessment. Sustainability 2022, 14, 1684. [Google Scholar] [CrossRef]
- Song, P.; Kim, G.; Mayer, A.; He, R.; Tian, G. Assessing the Ecosystem Services of Various Types of Urban Green Spaces Based on i-Tree Eco. Sustainability 2020, 12, 1630. [Google Scholar] [CrossRef]
- Xie, Y.; Hirabayashi, S.; Hashimoto, S.; Shibata, S.; Kang, J. Exploring the Spatial Pattern of Urban Forest Ecosystem Services based on i-Tree Eco and Spatial Interpolation: A Case Study of Kyoto City, Japan. Environ. Manag. 2023, 72, 991–1005. [Google Scholar] [CrossRef]
- Davies, Z.G.; Edmondson, J.L.; Heinemeyer, A.; Leake, J.R.; Gaston, K.J. Mapping an urban ecosystem service: Quantifying above-ground carbon storage at a city-wide scale: Urban above-ground carbon storage. J. Appl. Ecol. 2011, 48, 1125–1134. [Google Scholar] [CrossRef]
- Nowak, D.J.; Greenfield, E.J.; Hoehn, R.E.; Lapoint, E. Carbon storage and sequestration by trees in urban and community areas of the United States. Environ. Pollut. 2013, 178, 229–236. [Google Scholar] [CrossRef]
- McPherson, E.G.; Kotow, L. A municipal forest report card: Results for California, USA. Urban For. Urban Green. 2013, 12, 134–143. [Google Scholar] [CrossRef]
- Nyelele, C.; Kroll, C.N.; Nowak, D.J. Present and future ecosystem services of trees in the Bronx, NY. Urban For. Urban Green. 2019, 42, 10–20. [Google Scholar] [CrossRef]
- Houghton, R.A. Aboveground Forest Biomass and the Global Carbon Balance. Glob. Change Biol. 2005, 11, 945–958. [Google Scholar] [CrossRef]
- Yao, Z.; Liu, J.; Zhao, X.; Long, D.; Wang, L. Spatial dynamics of aboveground carbon stock in urban green space: A case study of Xi’an, China. J. Arid Land 2015, 7, 350–360. [Google Scholar] [CrossRef]
- Yao, Z.-Y.; Liu, J.-J. Models for biomass estimation of four shrub species planted in urban area of Xi’an city, Northwest China. Ying Yong Sheng Tai Xue Bao 2014, 25, 111–116. [Google Scholar]
- Li, X.; Guo, Q.; Wang, X.; Zheng, H. Allometry of understory tree species in a natural secondary forest in northeast China. Sci. Silvae Sin. 2010, 46, 22–32. [Google Scholar]
- Zhang, K.; Yun, G.; Song, P.; Wang, K.; Li, A.; Du, C.; Jia, X.; Feng, Y.; Wu, M.; Qu, K.; et al. Discover the Desirable Landscape Structure of Urban Parks for Mitigating Urban Heat: A High Spatial Resolution Study Using a Forest City, Luoyang, China as a Lens. Int. J. Environ. Res. Public Health 2023, 20, 3155. [Google Scholar] [CrossRef] [PubMed]
- Golden, H.E.; Lane, C.R.; Prues, A.G.; D’Amico, E. Boosted Regression Tree Models to Explain Watershed Nutrient Concentrations and Biological Condition. J. Am. Water Resour. Assoc. 2016, 52, 1251–1274. [Google Scholar] [CrossRef]
- Sun, F.; Mejia, A.; Che, Y. Disentangling the Contributions of Climate and Basin Characteristics to Water Yield Across Spatial and Temporal Scales in the Yangtze River Basin: A Combined Hydrological Model and Boosted Regression Approach. Water Resour. Manag. 2019, 33, 3449–3468. [Google Scholar] [CrossRef]
- Yang, R.-M.; Zhang, G.-L.; Liu, F.; Lu, Y.-Y.; Yang, F.; Yang, F.; Yang, M.; Zhao, Y.-G.; Li, D.-C. Comparison of boosted regression tree and random forest models for mapping topsoil organic carbon concentration in an alpine ecosystem. Ecol. Indic. 2016, 60, 870–878. [Google Scholar] [CrossRef]
- Alavipanah, S.; Schreyer, J.; Haase, D.; Lakes, T.; Qureshi, S. The effect of multi-dimensional indicators on urban thermal conditions. J. Clean. Prod. 2018, 177, 115–123. [Google Scholar] [CrossRef]
- Sun, F.; Liu, M.; Wang, Y.; Wang, H.; Che, Y. The effects of 3D architectural patterns on the urban surface temperature at a neighborhood scale: Relative contributions and marginal effects. J. Clean. Prod. 2020, 258, 120706. [Google Scholar] [CrossRef]
- Hijmans, R.J.; Phillips, S.; Elith, J.; Leathwick, J. Dismo: Species Distribution Modeling, 1.3-1.4. 2023. Available online: https://rspatial.org/raster/sdm/ (accessed on 21 May 2023).
- Greg, R.; Edwards, D.; Kriegler, B.; Schroedl, S.; Southworth, H.; Greenwell, B.; Boehmke, B.; Cunningham, J.; GBM Developers. Gbm: Generalized Boosted Regression Models, 2.2.2. 2024. Available online: https://github.com/gbm-developers (accessed on 10 January 2024).
- Jouffray, J.-B.; Wedding, L.M.; Norström, A.V.; Donovan, M.K.; Williams, G.J.; Crowder, L.B.; Erickson, A.L.; Friedlander, A.M.; Graham, N.A.J.; Gove, J.M.; et al. Parsing human and biophysical drivers of coral reef regimes. Proc. R. Soc. B Biol. Sci. 2019, 286, 20182544. [Google Scholar] [CrossRef]
- Han, D.; An, H.; Wang, F.; Xu, X.; Qiao, Z.; Wang, M.; Sui, X.; Liang, S.; Hou, X.; Cai, H.; et al. Understanding seasonal contributions of urban morphology to thermal environment based on boosted regression tree approach. Build. Environ. 2022, 226, 109770. [Google Scholar] [CrossRef]
- Huang, J.; Wang, Y. Cooling intensity of hybrid landscapes in a metropolitan area: Relative contribution and marginal effect. Sustain. Cities Soc. 2022, 79, 103725. [Google Scholar] [CrossRef]
- Li, Z.; Hu, D. Exploring the relationship between the 2D/3D architectural morphology and urban land surface temperature based on a boosted regression tree: A case study of Beijing, China. Sustain. Cities Soc. 2022, 78, 103392. [Google Scholar] [CrossRef]
- Jo, H.-K.; Park, H.-M.; Kim, J.-Y. Carbon Offset Service of Urban Park Trees and Desirable Planting Strategies for Several Metropolitan Cities in South Korea. Forests 2023, 14, 278. [Google Scholar] [CrossRef]
- Gong, L.; Mao, B.; Qi, Y.; Xu, C. A satisfaction analysis of the infrastructure of country parks in Beijing. Urban For. Urban Green. 2015, 14, 480–489. [Google Scholar] [CrossRef]
- Chen, W.Y. The role of urban green infrastructure in offsetting carbon emissions in 35 major Chinese cities: A nationwide estimate. Cities 2015, 44, 112–120. [Google Scholar] [CrossRef]
- Yang, Y.; He, R.; Ning, D.; Wang, G.; Liu, M.; Fekete, A. An Overview of Urban Park Development in Zhengzhou, China. Acta Biol. Marisiensis 2021, 4, 1–13. [Google Scholar] [CrossRef]
- Nowak, D.J.; Stevens, J.C.; Sisinni, S.M.; Luley, C.J. Effects of urban tree management and species selection on atmospheric carbon dioxide. J. Arboric. 2002, 28, 113–122. [Google Scholar] [CrossRef]
- Wang, Y.; Lei, Y.; Lin, C.-Y.; Ackerma, A.C.; Huang, H.; Tian, Y.; Wang, P.; Ma, Z.; We, M.; Tian, G.; et al. A parametric and visualization model of the rainfall runoff production process in an urban green infrastructure at the park scale: A case study of Zhengzhou Green Expo Park. Int. J. Urban Sci. 2025, 1–22. [Google Scholar] [CrossRef]
- Raciti, S.M.; Hutyra, L.R.; Newell, J.D. Mapping carbon storage in urban trees with multi-source remote sensing data: Relationships between biomass, land use, and demographics in Boston neighborhoods. Sci. Total Environ. 2014, 500–501, 72–83. [Google Scholar] [CrossRef]
- Wang, V.; Gao, J.; Schwendenmann, L. Assessing changes of urban vegetation cover and aboveground carbon stocks using LiDAR and Landsat imagery data in Auckland, New Zealand. Int. J. Remote Sens. 2020, 41, 2140–2158. [Google Scholar] [CrossRef]
- Velasco, E.; Roth, M.; Tan, S.H.; Quak, M.; Nabarro, S.D.A.; Norford, L. The role of vegetation in the CO2 flux from a tropical urban neighbourhood. Atmos. Chem. Phys. 2013, 13, 10185–10202. [Google Scholar] [CrossRef]
- Di Sacco, A.; Hardwick, K.A.; Blakesley, D.; Brancalion, P.H.S.; Breman, E.; Cecilio Rebola, L.; Chomba, S.; Dixon, K.; Elliott, S.; Ruyonga, G.; et al. Ten golden rules for reforestation to optimize carbon sequestration, biodiversity recovery and livelihood benefits. Glob. Change Biol. 2021, 27, 1328–1348. [Google Scholar] [CrossRef] [PubMed]
- Ariluoma, M.; Ottelin, J.; Hautamäki, R.; Tuhkanen, E.-M.; Mänttäri, M. Carbon sequestration and storage potential of urban green in residential yards: A case study from Helsinki. Urban For. Urban Green. 2021, 57, 126939. [Google Scholar] [CrossRef]
- Huang, J.; Song, P.; Liu, X.; Li, A.; Wang, X.; Liu, B.; Feng, Y. Carbon Sequestration and Landscape Influences in Urban Greenspace Coverage Variability: A High-Resolution Remote Sensing Study in Luohe, China. Forests 2024, 15, 1849. [Google Scholar] [CrossRef]
- Wang, R.-Y.; Mo, X.; Ji, H.; Zhu, Z.; Wang, Y.-S.; Bao, Z.; Li, T. Comparison of the CASA and InVEST models’ effects for estimating spatiotemporal differences in carbon storage of green spaces in megacities. Sci. Rep. 2024, 14, 5456. [Google Scholar] [CrossRef]
- Guo, Y.; Ren, Z.; Wang, C.; Zhang, P.; Ma, Z.; Hong, S.; Hong, W.; He, X. Spatiotemporal patterns of urban forest carbon sequestration capacity: Implications for urban CO2 emission mitigation during China’s rapid urbanization. Sci. Total Environ. 2024, 912, 168781. [Google Scholar] [CrossRef]
- Whittinghill, L.J.; Rowe, D.B.; Schutzki, R.; Cregg, B.M. Quantifying carbon sequestration of various green roof and ornamental landscape systems. Landsc. Urban Plan. 2014, 123, 41–48. [Google Scholar] [CrossRef]
- Tao, P.; Lin, Y.; Wang, X.; Li, J.; Ma, C.; Wang, Z.; Dong, X.; Yao, P.; Shao, M. Optimization of Green Spaces in Plain Urban Areas to Enhance Carbon Sequestration. Land 2023, 12, 1218. [Google Scholar] [CrossRef]
- Shi, N.; Yu, Y.; Liang, S.; Ren, Y.; Liu, M. Effects of urban green spaces landscape pattern on carbon sink among urban ecological function areas at the appropriate scale: A case study in Xi’an. Ecol. Indic. 2024, 158, 111427. [Google Scholar] [CrossRef]
- Zhuang, Q.; Shao, Z.; Li, D.; Huang, X.; Li, Y.; Altan, O.; Wu, S. Impact of global urban expansion on the terrestrial vegetation carbon sequestration capacity. Sci. Total Environ. 2023, 879, 163074. [Google Scholar] [CrossRef]
- Kabisch, N.; Qureshi, S.; Haase, D. Human–environment interactions in urban green spaces—A systematic review of contemporary issues and prospects for future research. Environ. Impact Assess. Rev. 2015, 50, 25–34. [Google Scholar] [CrossRef]
- Yuan, Y.; Tang, S.; Zhang, J.; Guo, W. Quantifying the relationship between urban blue-green landscape spatial pattern and carbon sequestration: A case study of Nanjing’s central city. Ecol. Indic. 2023, 154, 110483. [Google Scholar] [CrossRef]
- Li, X.; Jiang, Y.; Liu, Y.; Sun, Y.; Li, C. The impact of landscape spatial morphology on green carbon sink in the urban riverfront area. Cities 2024, 148, 104919. [Google Scholar] [CrossRef]
- Turner, M.G. Spatial and temporal analysis of landscape patterns. Landsc. Ecol. 1990, 4, 21–30. [Google Scholar] [CrossRef]
- Xu, C.; Liu, M.; Hong, C.; Chi, T.; An, S.; Yang, X. Temporal variation of characteristic scales in urban landscapes: An insight into the evolving internal structures of China’s two largest cities. Landsc. Ecol. 2012, 27, 1063–1074. [Google Scholar] [CrossRef]
- Qin, H.; Zhou, W.; Qian, Y.; Zhang, H.; Yao, Y. Estimating aboveground carbon stocks of urban trees by synergizing ICESat-2 LiDAR with GF-2 data. Urban For. Urban Green. 2022, 76, 127728. [Google Scholar] [CrossRef]
- Xie, X.; Zhou, H.; Gou, Z. Dynamic real-time individual green space exposure indices and the relationship with static green space exposure indices: A study in Shenzhen. Ecol. Indic. 2023, 154, 110557. [Google Scholar] [CrossRef]
- Gao, J.; Han, H.; Ge, S. Carbon-Saving Potential of Urban Parks in the Central Plains City: A High Spatial Resolution Study Using a Forest City, Shangqiu, China, as a Lens. Land 2023, 12, 1383. [Google Scholar] [CrossRef]
- Feng, Y.; Zhang, K.; Li, A.; Zhang, Y.; Wang, K.; Guo, N.; Wan, H.Y.; Tan, X.; Dong, N.; Xu, X.; et al. Spatial and Seasonal Variation and the Driving Mechanism of the Thermal Effects of Urban Park Green Spaces in Zhengzhou, China. Land 2024, 13, 1474. [Google Scholar] [CrossRef]
- Zhi, J.; Ge, L.; Geng, T.; Zhang, Z.; Li, L.; Zhu, H.; Zhou, Z.; Jiang, W.; Qu, L.; Su, Y.; et al. Accurately mapping social functional zones of urban green spaces by integrating remote sensing images and crowd-sourced geospatial data. Int. J. Digit. Earth 2024, 17, 1–26. [Google Scholar] [CrossRef]
- Richter, S.; Haase, D.; Thestorf, K.; Makki, M. Carbon Pools of Berlin, Germany: Organic Carbon in Soils and Aboveground in Trees. Urban For. Urban Green. 2020, 54, 126777. [Google Scholar] [CrossRef]
- Dorendorf, J.; Eschenbach, A.; Schmidt, K.; Jensen, K. Both tree and soil carbon need to be quantified for carbon assessments of cities. Urban For. Urban Green. 2015, 14, 447–455. [Google Scholar] [CrossRef]
- Oertel, C.; Matschullat, J.; Zurba, K.; Zimmermann, F.; Erasmi, S. Greenhouse gas emissions from soils—A review. Geochemistry 2016, 76, 327–352. [Google Scholar] [CrossRef]









| Classification Standards | Park Type (Nr. Within the Type) | Description |
|---|---|---|
| Park character | Comprehensive parks (Nr. 52) | Covering more than 10 hectares, these areas feature diverse content, supporting a wide range of outdoor activities, along with comprehensive recreational and management facilities within the green space. |
| Community parks (Nr. 27) | Exceeding 1 hectare in size, these independent sites feature basic recreational and service facilities, primarily catering to local residents for nearby leisure and outdoor activities. | |
| Theme parks (Nr. 13) | Green spaces with specific contents or forms, with corresponding recreational or service facilities, such as zoos, botanical gardens, etc. | |
| Recreational parks (Nr. 31) | In addition to traditional park green spaces, these sites are independent, more compact, or uniquely shaped, offering easy access for nearby residents and providing recreational functions. |
| Trees | Shrubs | |||||
|---|---|---|---|---|---|---|
| Scientific Name | Proportion (%) | Tree Count | Rank | Scientific Name | Proportion (%) | Tree Count |
| Ligustrum lucidum W.T.Aiton | 8.9 | 1563 | 1 | Photinia × fraseri Dress | 15.54 | 336 |
| Ginkgo biloba L. | 6.9 | 1225 | 2 | Buxus megistophylla Levl. | 15.40 | 333 |
| Cedrus deodara (Roxb.) G.Don | 5.4 | 958 | 3 | Ligustrum quihoui Carr. | 9.02 | 195 |
| Prunus cerasifera Ehrh. | 4.7 | 837 | 4 | Pittosporum tobira (Thunb.) W.T.Aiton | 6.89 | 149 |
| Fraxinus chinensis Roxb. | 3.8 | 674 | 5 | Lagerstroemia indica L. | 4.58 | 99 |
| Platanus orientalis L. | 3.7 | 652 | 6 | Cercis chinensis Bunge | 3.56 | 77 |
| Salix babylonica L. | 3.7 | 648 | 7 | Pyracantha fortuneana (Maxim.) H.L.Li | 2.68 | 58 |
| Prunus serrulate Lindl. | 3.6 | 636 | 8 | Fatsia japonica (Thunb.) Decne. & Planch. | 2.45 | 53 |
| Koelreuteria paniculata Laxm. | 3.4 | 605 | 9 | Hibiscus syriacus L. | 2.31 | 50 |
| Robinia pseudoacacia L. | 2.8 | 490 | 10 | Nerium oleander L. | 2.27 | 49 |
| Prunus persica (L.) Batsch | 2.6 | 466 | 11 | Nandina domestica Thunb. | 2.13 | 46 |
| Magnolia grandiflora L. | 2.4 | 427 | 12 | Euonymus japonicus Thunb. | 2.13 | 46 |
| Populus tomentosa Carrière | 2.2 | 394 | 13 | Jasminum nudiflorum Lindl. | 1.76 | 38 |
| Styphnolobium japonicum (L.) Schott | 2.2 | 385 | 14 | Euonymus alatus (Thunb.) Siebold | 1.57 | 34 |
| Photinia serratifolia (Desf.) Kalkman | 2.0 | 348 | 15 | Rosa chinensis Jacq. | 1.48 | 32 |
| Shrub Species | Biomass Equation | Parameter | R2 | p | |
|---|---|---|---|---|---|
| a | b | ||||
| Photinia serrulata [43] | WB = a(D2H)b | 0.310 | 1.097 | 0.985 | <0.001 |
| WL = a(D2H)b | 0.264 | 0.916 | 0.986 | <0.001 | |
| Pittosporum tobira [43] | WB = a(Vc)b | 765.073 | 0.824 | 0.991 | <0.001 |
| WL = a(D2H)b | 2.958 | 0.607 | 0.911 | <0.001 | |
| Hibiscus syriacus [43] | WB = a(Vc)b | 108.688 | 1.693 | 0.984 | <0.001 |
| WL = a(CH)b | 18.925 | 1.565 | 0.969 | <0.001 | |
| Nandina domestica [43] | WB = a(CH)b | 75.7 | 1.11 | 0.98 | <0.001 |
| WL = a + bln(H) | 11.109 | 17.911 | 0.971 | <0.001 | |
| Lagerstroemia indica [43] | WB = aHb | 30.213 | 6.318 | 0.987 | <0.001 |
| WL = aHb | 6.656 | 5.065 | 0.994 | <0.001 | |
| Syringa oblata [43] | WB = a(D2H)b | 0.876 | 0.894 | 0.988 | <0.001 |
| WL = a(D2H)b | 0.683 | 0.715 | 0.988 | <0.001 | |
| Forsythia suspensa [43] | WB = a(D2H)b | 0.385 | 1.025 | 0.997 | <0.001 |
| WL = a(D2H)b | 0.187 | 0.868 | 0.985 | <0.001 | |
| Ligustrum quihoui [44] | WB = 26.332(CH)0.666 | ||||
| WL = 14.646C1.164 | |||||
| Buxus bodinieri [44] | WB = 262.879(CH)1.546 | ||||
| WL = 224.662(CH)1.364 | |||||
| Berberis thunbergii var. atropurpurea [44] | WB = 73.468(Ac)0.766 | ||||
| WL = 3.340(Ac)0.465 | |||||
| Buxus megistophylla [44] | WB = 15.572D1.325 | ||||
| WL = 20.649 + 9.047ln (CH) | |||||
| Sorbaria sorbifolia [45] | WT = 68.018(Ac)1.021 | ||||
| Euonymus alatus [45] | WT = 0.095D2.655 | ||||
| Tree-like shrub species [45] | WT = 0.182D2.487 | ||||
| Typical shrub species [45] | WT = 100.71(Ac)0.925 | ||||
| Family | Conversion Factor | Family | Conversion Factor | Family | Conversion Factor |
|---|---|---|---|---|---|
| Cupressaceae | 9.10 | Ranunculaceae | 8.38 | Aquifoliaceae | 13.29 |
| Lamiaceae | 2.47 | Fabaceae | 10.48 | Calycanthaceae | 11.05 |
| Rosaceae | 6.77 | Elaeagnaceae | 5.37 | Pentaphylacaceae | 46.87 |
| Oleaceae | 7.81 | Caprifoliaceae | 2.48 | Other shrubs | 8.89 |
| Malvaceae | 8.07 | Apocynaceae | 13.78 |
| Landscape Index Name | Abbreviation | Ecological Implication | Unit | Formula |
|---|---|---|---|---|
| Shannon’s evenness index | SHEI | Reflects the evenness of the distribution of landscape types | / | |
| Percentage of vegetation * | Pg | Proportion of total area covered by vegetation in the region | % | |
| Percentage of impervious surface * | Pi | The proportion of impervious surfaces relative to the total area within the region | % | |
| Percentage of water bodies * | Pw | Proportion of water bodies in the region to total area | % | |
| Number of patches * | NP | Number of patches in the area | / | |
| Largest patch index * | LPI | Percentage of region’s largest patches to total landscape area | % | |
| Landscape shape index * | LSI | A standardized measurement of total patch edge or edge density, reflecting the complexity of patch shapes | / | |
| Patch area distribution * | AM | Average size of landscape patches | ha | |
| Dispersion index * | SPLIT | Response to the degree of dispersion of the plaque. When the value is 1, there is only one plaque in the region; the larger the value, the more dispersed the plaque is in the region | / | |
| Aggregation index * | AI | Responds to the degree of aggregation of plaque types, with larger values indicating more concentrated plaques | % | |
| Circumference | PERIM | Total length of the outer edge of the regional landscape | m | Pij = Total length of landscape edge |
| Maximum Value | Minimum Value | Standard Deviation | Average Value | Total | |
|---|---|---|---|---|---|
| Carbon sequestration (Gg C yr−1) | 2.28 | 0.0008 | 0.27 | 0.12 | 14.03 |
| Carbon sequestration density (kg C m−2yr−1) | 2.10 | 0.03 | 0.37 | 0.53 | / |
| Landscape Pattern Index | ||||
|---|---|---|---|---|
| Index | Maximum Value | Minimum Value | Standard Deviation | Average Value |
| PER | 12,423.02 | 231.61 | 2073.53 | 2418.84 |
| SHEI | 0.95 | 0.27 | 0.58 | 0.17 |
| Pw | 44.30 | 0 | 5.18 | 10.68 |
| Pg | 92.51 | 16.49 | 70.85 | 15.36 |
| Pi | 80.99 | 2.47 | 21.14 | 10.48 |
| NP | 756 | 1.00 | 41.49 | 101.27 |
| LPI | 92.67 | 2.50 | 52.34 | 26.46 |
| LSI | 42.33 | 1.50 | 7.65 | 6.30 |
| AM | 3.60 | 0.01 | 0.60 | 0.61 |
| SPL | 437.12 | 1.16 | 12.94 | 42.87 |
| AI | 99.52 | 86.78 | 2.14 | 1.44 |
| Location | VCSD (kg C m−2yr−1) | VCSD Estimation Method | Source |
|---|---|---|---|
| 123 parks in Zhengzhou, China | 0.53 | Sampled vegetation field survey + i-Tree Eco model | This study |
| 71 parks in Daejeon and Daegu, South Korea | 0.26 | Sampled vegetation field survey + allometric equations | [58] |
| 38 parks in Seoul, South Korea | 0.35 | Vegetation field survey + allometric equations | [19] |
| Park of Chairmanbari field in Dhaka, Bangladesh | 0.53 | Vegetation field survey + biomass-based formulae | [21] |
| Green Expo Park in Zhengzhou, China | 2.06 | Radar point cloud + i-Tree Eco model | [23] |
| 28 parks in Beijing, China | 3.18 | Sampled photosynthesis monitoring + allometric equations | [20] |
Disclaimer/Publisher’s Note: The statements, opinions and data contained in all publications are solely those of the individual author(s) and contributor(s) and not of MDPI and/or the editor(s). MDPI and/or the editor(s) disclaim responsibility for any injury to people or property resulting from any ideas, methods, instructions or products referred to in the content. |
© 2025 by the authors. Licensee MDPI, Basel, Switzerland. This article is an open access article distributed under the terms and conditions of the Creative Commons Attribution (CC BY) license (https://creativecommons.org/licenses/by/4.0/).
Share and Cite
Du, C.; Ge, S.; Song, P.; Jombach, S.; Fekete, A.; Valánszki, I. Optimizing Urban Green Spaces for Vegetation-Based Carbon Sequestration: The Role of Landscape Spatial Structure in Zhengzhou Parks, China. Forests 2025, 16, 679. https://doi.org/10.3390/f16040679
Du C, Ge S, Song P, Jombach S, Fekete A, Valánszki I. Optimizing Urban Green Spaces for Vegetation-Based Carbon Sequestration: The Role of Landscape Spatial Structure in Zhengzhou Parks, China. Forests. 2025; 16(4):679. https://doi.org/10.3390/f16040679
Chicago/Turabian StyleDu, Chenyu, Shidong Ge, Peihao Song, Sándor Jombach, Albert Fekete, and István Valánszki. 2025. "Optimizing Urban Green Spaces for Vegetation-Based Carbon Sequestration: The Role of Landscape Spatial Structure in Zhengzhou Parks, China" Forests 16, no. 4: 679. https://doi.org/10.3390/f16040679
APA StyleDu, C., Ge, S., Song, P., Jombach, S., Fekete, A., & Valánszki, I. (2025). Optimizing Urban Green Spaces for Vegetation-Based Carbon Sequestration: The Role of Landscape Spatial Structure in Zhengzhou Parks, China. Forests, 16(4), 679. https://doi.org/10.3390/f16040679

