Meteorological Drivers and Forest Structural Prevention of the Canker Disease in Betula alnoides—A Case Study in South China
Abstract
1. Introduction
2. Materials and Methods
2.1. Studied Site
2.2. Experiment Design
2.3. Survey of the Damage of Canker Disease
2.4. Statistical Analysis
3. Results
3.1. The Relationship Between Disease Outbreak and Meteorology
3.1.1. Temperature and Sunshine Hours
3.1.2. Precipitation and Humidity
3.1.3. Preliminary Summary
3.2. Effects of Stand Structures on Growth and Disease Resistance of B. alnoides
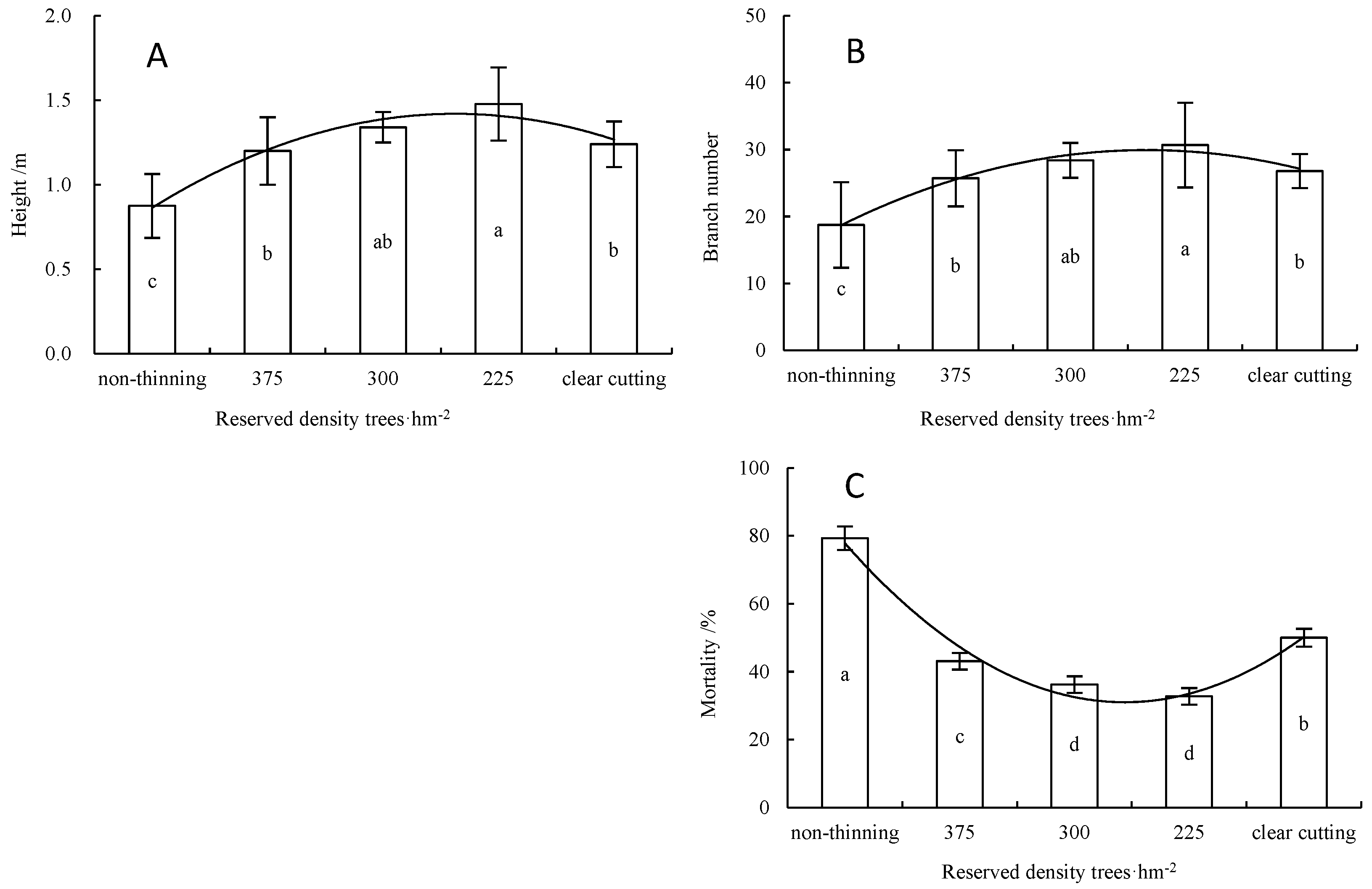
3.2.1. Inter-Planting with Uniform Thinning
3.2.2. Inter-Planting with Artificial Gaps
4. Discussion
4.1. Heavy Precipitation and Subsequent Drought Induce the Outbreak of Canker Disease
4.2. The Effects of Stand Structure in Disease Resistance
Author Contributions
Funding
Data Availability Statement
Acknowledgments
Conflicts of Interest
References
- Climate Change 2021: The Physical Science Basis. In Contribution of Working Group I to the Sixth Assessment Report of the Intergovernmental Panel on Climate Change; Masson-Delmotte, V., Zhai, P., Pirani, A., Connors, S.L., Péan, C., Berger, S., Caud, N., Chen, Y., Goldfarb, L., Gomis, M.I., et al., Eds.; Cambridge University Press: Cambridge, UK, 2021. [Google Scholar]
- Singh, B.K.; Delgado-Baquerizo, M.; Egidi, E.; Guirado, E.; Leach, J.E.; Liu, H.; Trivedi, P. Climate change impacts on plant pathogens, food security and paths forward. Nat. Rev. Microbiol. 2023, 21, 640–656. [Google Scholar] [CrossRef]
- Cheng, Y.T.; Zhang, L.; He, S.Y. Plant-Microbe Interactions Facing Environmental Challenge. Cell Host Microbe 2019, 26, 183–192. [Google Scholar] [CrossRef] [PubMed]
- Zhang, J.; Fu, B.; Stafford-Smith, M.; Wang, S.; Zhao, W. Improve forest restoration initiatives to meet Sustainable Development Goal 15. Nat. Ecol. Evol. 2020, 5, 10–13. [Google Scholar] [CrossRef]
- Liu, S.; Wen, Y.; Cai, D.; Zhu, H.; Huang, X.; Li, X. Impacts of climate change on forests and adaptive multi-scales management: A review. Guangxi Sci. 2014, 21, 17. [Google Scholar]
- Huang, L. Research progress on the ecological effects of forest management. Acta Ecol. Sin. 2021, 41, 4226–4239. [Google Scholar]
- Wu, M.; You, Y.; Zhang, X.; Wang, Y.; Qiu, W.; Lyu, Y.-L.; Ying, B.-B.; Chen, S.-Y. Effects of different disturbance patterns on stand structure of infected pure Pinus massoniana plantation. Chin. J. Appl. Ecol. 2019, 30, 58–66. [Google Scholar]
- Jactel, H.; Bauhus, J.; Boberg, J.; Bonal, D.; Castagneyrol, B.; Gardiner, B.; Gonzalez-Olabarria, J.R.; Koricheva, J.; Meurisse, N.; Brockerhoff, E.G. Tree Diversity Drives Forest Stand Resistance to Natural Disturbances. Curr. For. Rep. 2017, 3, 223–243. [Google Scholar] [CrossRef]
- Marçais, B.; Bréda, N. Role of an opportunistic pathogen in the decline of stressed oak trees. J. Ecol. 2006, 94, 1214–1223. [Google Scholar] [CrossRef]
- Teshome, D.T.; Zharare, G.E.; Naidoo, S. The Threat of the Combined Effect of Biotic and Abiotic Stress Factors in Forestry Under a Changing Climate. Front. Plant Sci. 2020, 11, 601009. [Google Scholar] [CrossRef]
- Roberts, M.; Gilligan, C.A.; Kleczkowski, A.; Hanley, N.; Whalley, A.E.; Healey, J.R. The Effect of Forest Management Options on Forest Resilience to Pathogens. Front. For. Glob. Change 2020, 3, 7. [Google Scholar] [CrossRef]
- Zeng, J.; Zheng, H.; Weng, Q. Geographic distributions and ecological conditions of Betula alnoides in China. For. Res. 1999, 12, 479–484. [Google Scholar]
- Pakkad, G.; Elliott, S.; Anusarnsunthorn, V.; James, C.; Blakesley, D. Forest restoration planting in northern Thailand. In Proceedings of the Southeast Asian Moving Workshop on Conservation, Management and Utilization of Forest Genetic Resources, Bangkok, Thailand, 5 March 2001. [Google Scholar]
- Zhao, Z.; Zhang, C.; Qiu, Y.; Guo, J.; He, Y.; Weng, Q.; Zeng, J. Hazar analysis of Anoplophora Chinensis and early comprehensive selection of Betula alonoides provenances in northern Guangdong Province. For. Res. 2011, 24, 768–773. [Google Scholar]
- Wang, S.; Lu, J.; Meng, S.; Song, J.; Liang, J. First Report of Botryosphaeria dothidea Causing Canker of Betula alnoides in China. Plant Dis. 2020, 104, 3081. [Google Scholar] [CrossRef]
- Marsberg, A.; Kemler, M.; Jami, F.; Nagel, J.H.; Postma-Smidt, A.; Naidoo, S.; Wingfield, M.J.; Crous, P.W.; Spatafora, J.W.; Hesse, C.N.; et al. Botryosphaeria dothidea: A latent pathogen of global importance to woody plant health. Mol. Plant Pathol. 2017, 18, 477–488. [Google Scholar] [CrossRef] [PubMed]
- Batista, E.; Lopes, A.; Miranda, P.; Alves, A. Can species distribution models be used for risk assessment analyses of fungal plant pathogens? A case study with three Botryosphaeriaceae species. Eur. J. Plant Pathol. 2023, 165, 41–56. [Google Scholar] [CrossRef]
- Zeng, J.; Guo, W.; Zhao, Z.; Weng, Q.; Yin, G.; Zheng, H. Domestication of Betula alnoides in china: Curren status and persperctives. For. Res. 2006, 19, 379–384. [Google Scholar]
- Zhao, Z.; Guo, J.; Sha, E.; Lin, K.; Zeng, J.; Xu, J. Geographic distribution and phenotypic variation of fruit and seed of Erythrophleum fordii in China. Chin. Bull. Bot. 2009, 44, 338–344. [Google Scholar]
- Zeng, J.; Lei, Y.; Jia, H.; Cai, D.; Tang, J. Growth dynamics of hardwood species inter-planted under intensively thinned Pinus massoniana plantations. J. Cent. South Univ. For. Technol. 2018, 38, 64–69, 81. [Google Scholar]
- Zhang, P.; Zhao, Z.; Jia, H.; Pang, S.; Chen, H.; Liu, S.; Chen, W. Effects of gap size on growth, morphology and biomass distribution of Erythrophleum fordii in Eucalyptus plantation. J. Northwest AF Univ. Nat. Sci. Ed. 2021, 49, 40–46. [Google Scholar]
- Pakhira, R.; Biswas, S.; Manoj, C.; Singh, H. Biological Insights into Forest Adaptation to Climate Change: Ecosystem Resilience and Adaptation. In Urban Forests, Climate Change and Environmental Pollution: Physio-Biochemical and Molecular Perspectives to Enhance Urban Resilience; Singh, H., Ed.; Springer Nature: Cham, Switzerland, 2024; pp. 307–329. ISBN 978-3-031-67837-0. [Google Scholar]
- Wu, H.; Hayes, M.J.; Weiss, A.; Hu, Q. An evaluation of the Standardized Precipitation Index, the China-Z Index and the statistical Z-Score. Int. J. Climatol. 2001, 21, 745–758. [Google Scholar] [CrossRef]
- Wang, B.; Ai, X.; Lu, Z.; Yu, X. Occurrence regularity of leaf diseases in Eucommia ulmoides in the southwest mountainous areas of Hubei Province. For. Pest Dis. 2006, 25, 4–7. [Google Scholar]
- Bai, Q.; Wang, J.; Zhang, Y. Investigation and forecast of main diseases and insect pests of jujube in hilly region of Loess Plateau. Chin. Agric. Sci. Bull. 2016, 32, 176–181. [Google Scholar]
- Wu, X.; He, Y.; Liu, Z. Occurrence and progress on tree cankers caused by Botryosphaeria spp. J. Nanjing For. Univ. 2001, 25, 61–66. [Google Scholar]
- Kim, K.W.; Kim, K.R.; Park, E.W. Effects of Interrupted Wetness Periods on Conidial Germination, Germ Tube Elongation and Infection Periods of Botryosphaeria dothidea Causing Apple White Rot. Plant Pathol. J. 2016, 32, 1–7. [Google Scholar] [CrossRef]
- Copes, W.E.; Hendrix, F.F. Effect of Temperature on Sporulation of Botryosphaeria dothidea, B. obtusa, and B. rhodina. Plant Dis. 2004, 88, 292–296. [Google Scholar] [CrossRef] [PubMed]
- Rao, Y.; Mei, L.; Zhang, L.; Jiang, H.; Ma, L.; Wang, Y. Genome Sequence Resource of Botryosphaeria dothidea CK16, a Fungal Pathogen Causing Chinese Hickory Trunk Canker Disease. Plant Dis. 2021, 105, 3282–3284. [Google Scholar] [CrossRef] [PubMed]
- Garbelotto, M. Drought heightens severity of diseases caused by Botryosphaeria dothidea and Cryptostroma corticale and needs to be factored in to properly assess pathogenicity or fulfill Koch’s postulates. J. Plant Pathol. 2024, 106, 1823–1829. [Google Scholar] [CrossRef]
- Jactel, H.; Petit, J.; Desprez-Loustau, M.; Delzon, S.; Piou, D.; Battisti, A.; Koricheva, J. Drought effects on damage by forest insects and pathogens: A meta-analysis. Glob. Change Biol. 2012, 18, 267–276. [Google Scholar] [CrossRef]
- Müller, L.M.; Bahn, M. Drought legacies and ecosystem responses to subsequent drought. Glob. Change Biol. 2022, 28, 5086–5103. [Google Scholar] [CrossRef]
- Dakin, N.; White, D.; Hardy, G.E.S.J.; Burgess, T.I. The opportunistic pathogen, Neofusicoccum australe, is responsible for crown dieback of peppermint (Agonis flexuosa) in Western Australia. Australas. Plant Pathol. 2010, 39, 202–206. [Google Scholar] [CrossRef]
- Van Der Linde, J.A.; Roux, J.; Wingfield, M.J.; Six, D.L. Die-off of giant Euphorbia trees in South Africa: Symptoms and relationships to climate. S. Afr. J. Bot. 2012, 83, 172–185. [Google Scholar] [CrossRef]
- Van Der Linde, J.A.; Six, D.L.; Wingfield, M.J.; Roux, J. Lasiodiplodia species associated with dying Euphorbia ingens in South Africa. South. For. J. For. Sci. 2011, 73, 165–173. [Google Scholar] [CrossRef]
- Ma, Z.; Morgan, D.P.; Michailides, T.J. Effects of Water Stress on Botryosphaeria Blight of Pistachio Caused by Botryosphaeria dothidea. Plant Dis. 2001, 85, 745–749. [Google Scholar] [CrossRef] [PubMed]
- Ma, Z.; Boehm, E.W.; Luo, Y.; Michailides, T.J. Population structure of Botryosphaeria dothidea from pistachio and other hosts in California. Phytopathology 2001, 91, 665–672. [Google Scholar] [CrossRef]
- Batista, E.; Lopes, A.; Alves, A. What Do We Know about Botryosphaeriaceae? An Overview of a Worldwide Cured Dataset. Forests 2021, 12, 313. [Google Scholar] [CrossRef]
- Piškur, B.; Pavlic, D.; Slippers, B.; Ogris, N.; Maresi, G.; Wingfield, M.J.; Jurc, D. Diversity and pathogenicity of Botryosphaeriaceae on declining Ostrya carpinifolia in Slovenia and Italy following extreme weather conditions. Eur. J. For. Res. 2011, 130, 235–249. [Google Scholar] [CrossRef][Green Version]
- Bi, M.; Du, T.; Ma, S.; Shi, L. Research on spatial pattern of poplar canker disease’s incidence rate based on meteorological factor. For. Res. 2014, 27, 61–66. [Google Scholar]
- Zhang, P.; Ye, Q.; Ou-yang, F.; Peng, L.; Liu, X.; Guo, Y.; Zeng, J. Global warming and droughts aggravates forest damage resulting from pests and diseases in Jiangxi. Acta Ecol. Sin. 2017, 37, 639–649. [Google Scholar]
- Wang, X.; Ren, X.; Liang, Y. MaxEnt-based prediction of potential geographic distribution and habitat suitability analysis for Dothistroma pini in China. Sci. Silvae Sin. 2019, 55, 160–170. [Google Scholar]
- Calonnec, A.; Burie, J.-B.; Langlais, M.; Guyader, S.; Saint-Jean, S.; Sache, I.; Tivoli, B. Impacts of plant growth and architecture on pathogen processes and their consequences for epidemic behaviour. Eur. J. Plant Pathol. 2013, 135, 479–497. [Google Scholar] [CrossRef]
- Li, L.; Wu, J.; Ma, H.; Gao, T.; Feng, Q. The investigation of AMF on the resistance of Betula alonoides stem rot. J. Yunnan Agric. Univ. 2015, 30, 369–375. [Google Scholar]
- Kovács, B.; Tinya, F.; Ódor, P. Stand structural drivers of microclimate in mature temperate mixed forests. Agric. For. Meteorol. 2017, 234–235, 11–21. [Google Scholar] [CrossRef]
- Lindenmayer, D.; Blanchard, W.; McBurney, L.; Bowd, E.; Youngentob, K.; Marsh, K.; Taylor, C. Stand age related differences in forest microclimate. For. Ecol. Manag. 2022, 510, 120101. [Google Scholar] [CrossRef]
- von Arx, G.; Dobbertin, M.; Rebetez, M. Spatio-temporal effects of forest canopy on understory microclimate in a long-term experiment in Switzerland. Agric. For. Meteorol. 2012, 166–167, 144–155. [Google Scholar] [CrossRef]
- Thom, D.; Sommerfeld, A.; Sebald, J.; Hagge, J.; Müller, J.; Seidl, R. Effects of disturbance patterns and deadwood on the microclimate in European beech forests. Agric. For. Meteorol. 2020, 291, 108066. [Google Scholar] [CrossRef]
- Paap, T.; Burgess, T.I.; Rolo, V.; Steel, E.; Hardy, G.E.S.J. Anthropogenic disturbance impacts stand structure and susceptibility of an iconic tree species to an endemic canker pathogen. For. Ecol. Manag. 2018, 425, 145–153. [Google Scholar] [CrossRef]
- Lee, C.A.; Holdo, R.M.; Muzika, R.-M. Feedbacks between forest structure and an opportunistic fungal pathogen. J. Ecol. 2021, 109, 4092–4102. [Google Scholar] [CrossRef]
- Kovács, B.; Tinya, F.; Németh, C.; Ódor, P. Unfolding the effects of different forestry treatments on microclimate in oak forests: Results of a 4-yr experiment. Ecol. Appl. 2020, 30, e02043. [Google Scholar] [CrossRef]



| Year | Month | Mean Monthly Temperature | Mean Monthly Sunshine Hours | Mean Monthly Precipitation | Mean Monthly Relative Humidity in Air | ||||||||
|---|---|---|---|---|---|---|---|---|---|---|---|---|---|
| Observed Value (°C) | z-Score | Relative Similarity | Observed Value (hr) | z-Score | Relative Similarity | Observed Value (mm) | z-Score | Relative Similarity | Observed Value (%) | z-Score | Relative Similarity | ||
| 2019 | 1 | 11.0 | −1.48 | - | 67.3 | −0.94 | - | 15.3 | −0.96 | - | 82.6 | 0.14 | - |
| 2 | 12.5 | −1.26 | 0.07 | 31.9 | −1.43 | −0.26 | 133.4 | −0.23 | 0.69 | 87.4 | 0.87 | 0.06 | |
| 3 | 16.2 | −0.70 | 0.18 | 58.5 | −1.06 | 0.20 | 378.0 | 1.27 | 1.43 | 87.9 | 0.95 | 0.01 | |
| 4 | 21.2 | 0.07 | 0.24 | 65.2 | −0.97 | 0.05 | 354.9 | 1.13 | −0.14 | 89.6 | 1.20 | 0.02 | |
| 5 | 23.9 | 0.48 | 0.13 | 84.1 | −0.71 | 0.14 | 443.9 | 1.68 | 0.52 | 88.0 | 0.96 | −0.02 | |
| 6 | 27.7 | 1.06 | 0.18 | 148.2 | 0.17 | 0.47 | 188.9 | 0.11 | −1.49 | 84.1 | 0.37 | −0.05 | |
| 7 | 28.6 | 1.19 | 0.04 | 162.9 | 0.37 | 0.11 | 176.7 | 0.03 | −0.07 | 83.4 | 0.26 | −0.01 | |
| 8 | 28.4 | 1.16 | −0.01 | 204.1 | 0.93 | 0.30 | 300.3 | 0.79 | 0.72 | 83.1 | 0.22 | 0.00 | |
| 9 * | 26.6 | 0.89 | −0.09 | 261.1 | 1.72 | 0.42 | 40.8 | −0.80 | −1.52 | 74.6 | −1.07 | −0.10 | |
| 10 | 22.7 | 0.30 | −0.19 | 183.4 | 0.65 | −0.57 | 13.6 | −0.97 | −0.16 | 76.7 | −0.75 | 0.03 | |
| 11 | 17.4 | −0.51 | −0.26 | 210.9 | 1.03 | 0.20 | 0.1 | −1.05 | −0.08 | 71.3 | −1.57 | −0.07 | |
| 12 | 12.8 | −1.21 | −0.22 | 153.2 | 0.24 | −0.42 | 6.2 | −1.01 | 0.04 | 71.2 | −1.59 | 0.00 | |
| 2020 | 1 | 13.1 | −1.24 | 0.01 | 109.8 | −0.39 | −0.33 | 44.5 | −0.80 | 0.27 | 75.9 | −0.57 | 0.06 |
| 2 | 14.9 | −0.96 | 0.09 | 107.6 | −0.43 | −0.02 | 203.4 | 0.50 | 1.12 | 81.0 | 0.35 | 0.06 | |
| 3 | 17.4 | −0.58 | 0.12 | 40.5 | −1.65 | −0.51 | 330.0 | 1.54 | 0.89 | 89.0 | 1.80 | 0.10 | |
| 4 | 18.4 | −0.43 | 0.05 | 130.8 | 0.00 | 0.69 | 221.1 | 0.65 | −0.77 | 81.0 | 0.35 | −0.10 | |
| 5 | 26.4 | 0.81 | 0.38 | 130.3 | −0.01 | 0.00 | 279.7 | 1.13 | 0.41 | 83.8 | 0.86 | 0.04 | |
| 6 | 28.3 | 1.10 | 0.09 | 172.2 | 0.75 | 0.32 | 302.0 | 1.31 | 0.16 | 82.5 | 0.62 | −0.02 | |
| 7 * | 30.3 | 1.41 | 0.09 | 245.5 | 2.09 | 0.56 | 49.1 | −0.76 | −1.78 | 72.3 | −1.22 | −0.13 | |
| 8 | 28.3 | 1.10 | −0.09 | 201.2 | 1.28 | −0.34 | 84.7 | −0.47 | 0.25 | 78.0 | −0.19 | 0.07 | |
| 9 | 25.5 | 0.67 | −0.13 | 86.5 | −0.81 | −0.88 | 160.1 | 0.15 | 0.53 | 85.1 | 1.09 | 0.09 | |
| 10 | 21.5 | 0.05 | −0.19 | 118.0 | −0.24 | 0.24 | 5.9 | −1.11 | −1.09 | 74.0 | −0.91 | −0.14 | |
| 11 | 18.8 | −0.36 | −0.13 | 140.4 | 0.17 | 0.17 | 1.1 | −1.15 | −0.03 | 71.5 | −1.36 | −0.03 | |
| 12 | 11.1 | −1.55 | −0.36 | 89.3 | −0.76 | −0.39 | 21.6 | −0.98 | 0.14 | 74.4 | −0.84 | 0.04 | |
Disclaimer/Publisher’s Note: The statements, opinions and data contained in all publications are solely those of the individual author(s) and contributor(s) and not of MDPI and/or the editor(s). MDPI and/or the editor(s) disclaim responsibility for any injury to people or property resulting from any ideas, methods, instructions or products referred to in the content. |
© 2025 by the authors. Licensee MDPI, Basel, Switzerland. This article is an open access article distributed under the terms and conditions of the Creative Commons Attribution (CC BY) license (https://creativecommons.org/licenses/by/4.0/).
Share and Cite
Zhao, Z.-G.; Li, Z.-J.; Qiu, Z.-X.; Wang, C.-S.; He, Y.-J.; Chen, Q.-W.; Ma, H.-B. Meteorological Drivers and Forest Structural Prevention of the Canker Disease in Betula alnoides—A Case Study in South China. Forests 2025, 16, 440. https://doi.org/10.3390/f16030440
Zhao Z-G, Li Z-J, Qiu Z-X, Wang C-S, He Y-J, Chen Q-W, Ma H-B. Meteorological Drivers and Forest Structural Prevention of the Canker Disease in Betula alnoides—A Case Study in South China. Forests. 2025; 16(3):440. https://doi.org/10.3390/f16030440
Chicago/Turabian StyleZhao, Zhi-Gang, Zhao-Jia Li, Zhi-Xiong Qiu, Chun-Sheng Wang, Yong-Jia He, Qi-Wu Chen, and Hai-Bin Ma. 2025. "Meteorological Drivers and Forest Structural Prevention of the Canker Disease in Betula alnoides—A Case Study in South China" Forests 16, no. 3: 440. https://doi.org/10.3390/f16030440
APA StyleZhao, Z.-G., Li, Z.-J., Qiu, Z.-X., Wang, C.-S., He, Y.-J., Chen, Q.-W., & Ma, H.-B. (2025). Meteorological Drivers and Forest Structural Prevention of the Canker Disease in Betula alnoides—A Case Study in South China. Forests, 16(3), 440. https://doi.org/10.3390/f16030440
