Effects of Foliar Application of Potassium Fertilizer on Anatomical and Physiological Changes of Neosinocalamus affinis Leaves
Abstract
1. Introduction
2. Materials and Methods
2.1. Plant Materials and Foliar Potassium Fertilization Treatment
2.2. Changes in Morphological and Anatomical Characteristics of N. affinis Leaves After Foliar Potassium Fertilization
2.3. Determination of Photosynthetic Pigments
2.4. Determination of Moisture Content
2.5. Determination of Soluble Sugars, Starch, and NSC Contents
2.6. Determination of Activities of Enzymes Related to Sugar Metabolism
2.7. Determination of MDA and H2O2 Contents and SOD, CAT, and POD Enzyme Activities
2.8. Data Analysis
3. Results
3.1. Effects of Foliar Application of K2CO3 on Morphological Changes of N. affinis Leaves
3.2. Effects of Foliar Application of K2CO3 on Anatomical Changes of N. affinis Leaves
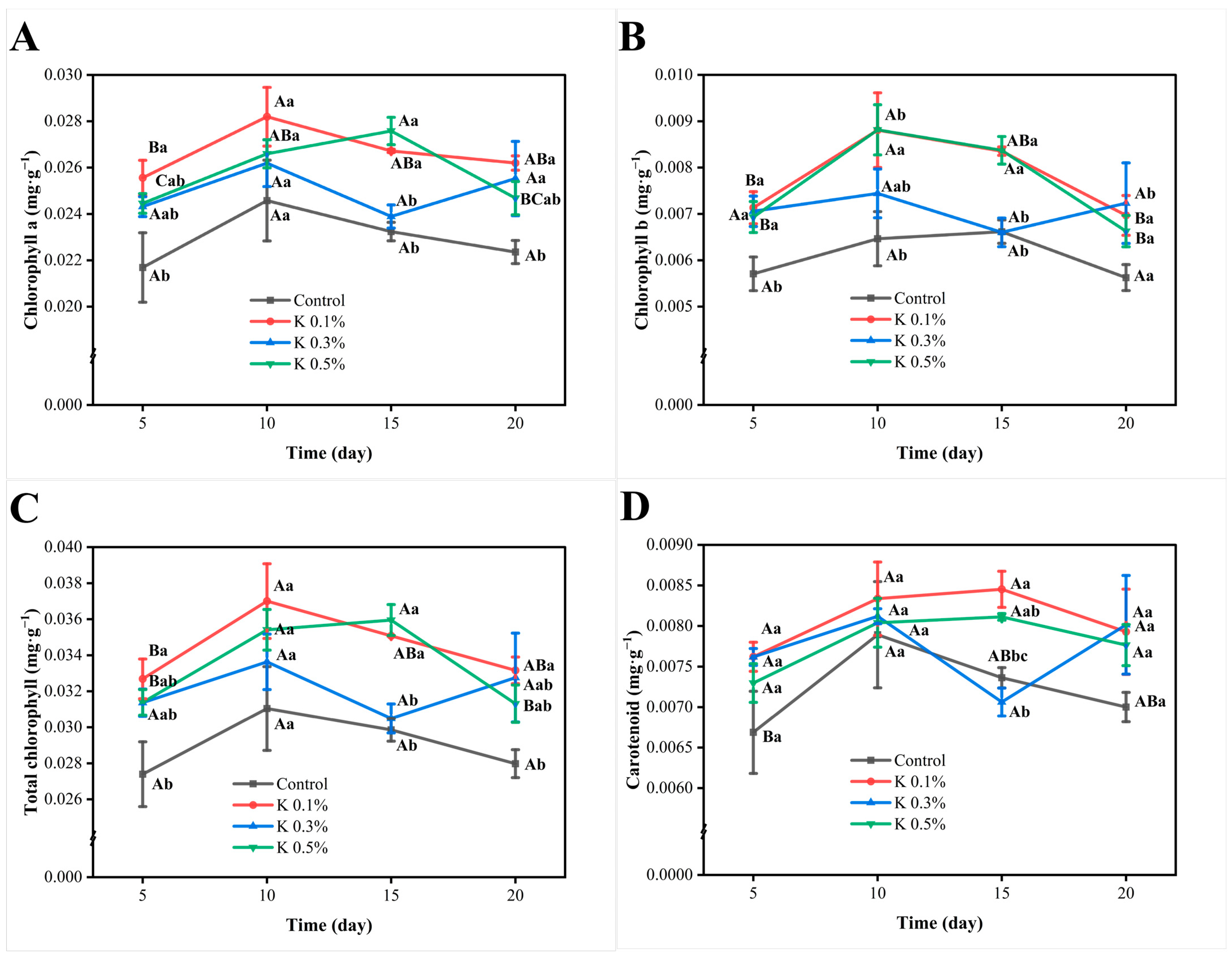
3.3. Effects of Foliar Application of K2CO3 on Photosynthetic Pigments in N. affinis Leaves
3.4. Effects of Foliar Application of K2CO3 on Moisture Content of N. affinis Leaves
3.5. Effects of Foliar Application of K2CO3 on Soluble Sugar, Starch, and NSC Contents of N. affinis Leaves
3.6. Effects of Foliar Application of K2CO3 on SAI, CWI, SuSy, and SPS Activities of N. affinis Leaves
3.7. Effects of Foliar Application of K2CO3 on AGPase, SSS, GBSS, STP, α-Amylase, and β-Amylase Activities in New N. affinis Leaves
3.8. Effects of Foliar Application of K2CO3 on MDA and H2O2 Contents and Activities of SOD, CAT, and POD
3.9. Correlation Analysis
4. Discussion
4.1. Effects of Foliar Application of Potassium Fertilizer on Leaf Morphology, Anatomical Structure, and Chlorophyll Content of N. affinis Leaves
4.2. Effects of Foliar Application of Potassium Fertilizer on Carbohydrate Metabolism in N. affinis Leaves
4.3. Effects of Foliar Application of Potassium Fertilizer on Stress Resistance of N. affinis Leaves
5. Conclusions
Author Contributions
Funding
Data Availability Statement
Conflicts of Interest
References
- Zhou, G.; Meng, C.; Jiang, P.; Xu, Q. Review of carbon fixation in bamboo forests in China. Bot. Rev. 2011, 77, 262–270. [Google Scholar] [CrossRef]
- Guo, Q.R.; Yang, G.Y.; Du, T.Z.; Shi, J.M. Carbon character of Chinese bamboo forest. World Bamboo Ratt. 2005, 3, 25–28. [Google Scholar]
- Zhou, B.; Fu, M.; Xie, J.; Yang, X.; Li, Z. Ecological functions of bamboo forest: Research and application. J. For. Res. 2005, 16, 143–147. [Google Scholar]
- Gupta, A.; Rico-Medina, A.; Caño-Delgado, A.I. The physiology of plant responses to drought. Science 2020, 368, 266–269. [Google Scholar] [CrossRef] [PubMed]
- Griffiths, H.; Parry, M.A.J. Plant responses to water stress. Ann. Bot. 2002, 89, 801–802. [Google Scholar] [CrossRef] [PubMed]
- Goche, T.; Chivasa, S.; Ngara, R. Physiological and biochemical responses of sorghum to drought stress. South. Afr. J. Bot. 2017, 109, 336. [Google Scholar] [CrossRef]
- Wang, F.-X.; Xu, Y.-G.; Wang, S.; Shi, W.-W.; Liu, R.-R.; Li, G.; Wang, Y.-F. Specific regulation of SOD isoforms by NaCl and osmotic stress in leaves of the C3 halophyte Suaeda salsa L. J. Plant Physiol. 2004, 161, 285–293. [Google Scholar] [CrossRef] [PubMed]
- Jin, A.W. Modern Bamboo Cultivation Techniques and Its Spreading: Problems and Methods; China Agriculture Press: Beijing, China, 2006. [Google Scholar]
- Niu, J.; Liu, C.; Huang, M.; Liu, K.; Yan, D. Effects of foliar fertilization: A review of current status and future perspectives. J. Soil. Sci. Plant Nutr. 2021, 21, 104–118. [Google Scholar] [CrossRef]
- Bindraban, P.S.; Dimkpa, C.; Nagarajan, L.; Roy, A.; Rabbinge, R. Revisiting fertilisers and fertilisation strategies for improved nutrient uptake by plants. Biol. Fertil. Soils 2015, 51, 897–911. [Google Scholar] [CrossRef]
- Fernández, V.; Eichert, T. Uptake of hydrophilic solutes through plant leaves: Current state of knowledge and perspectives of foliar fertilization. Crit. Rev. Plant Sci. 2009, 28, 36–68. [Google Scholar] [CrossRef]
- Gao, S.D.; Yang, C.Y.; Deng, X.P.; Xia, Y.; Shen, Z.G.; Chen, Y.H. Study on absorption and transport of K and Zn by foliar application in tobacco leaves. J. Nanjing Agric. Univ. 2018, 41, 330–340. [Google Scholar]
- Butler, H.J.; Martin, F.L.; Roberts, M.R.; Adams, S.; McAinsh, M.R. Observation of nutrient uptake at the adaxial surface of leaves of tomato (Solanum lycopersicum) using Raman spectroscopy. Anal. Lett. 2019, 53, 536–562. [Google Scholar] [CrossRef]
- Cetzal-Izquierdo, R.; Martínez-Hernández, J.J.; Basu, S.K. Bio-fertilization effect on the foliar content of nitrogen (N), phosphorus (P) and potassium (K) of two QPM maize varieties in two Luvisols of Yucatan, Mexico. J. Agric. Sci. 2019, 11, 123–134. [Google Scholar]
- Fageria, N.K.; Baligar, V.C.; Jones, C.A. Growth and Mineral Nutrition of Field Crops; CRC Press: Boca Raton, FL, USA, 2011. [Google Scholar]
- Bărdaş, M.; Rusu, T.; Popa, A.; Russu, F.; Șimon, A.; Chețan, F.; Racz, I.; Popescu, S.; Topan, C. Effect of Foliar Fertilization on the Physiological Parameters, Yield and Quality Indices of the Winter Wheat. Agronomy 2023, 14, 73. [Google Scholar] [CrossRef]
- Girma, K.; Martin, K.L.; Freeman, K.W.; Mosali, J.; Teal, R.K.; Raun, W.R.; Moges, S.M.; Arnall, D.B. Determination of Optimum Rate and Growth Stage for Foliar-Applied Phosphorus in Corn. In Communications in Soil Science and Plant Analysis; Taylor & Francis: Abingdon, UK, 2007; Volume 38. [Google Scholar]
- Qi, J.; Chi, B.; Xie, J.; Chen, S.M.; Huang, X.Y. Study on variations of fiber morphology and tissue proportion of Neosinocalamus affinis culm. Trans. China Pulp Pap. 2013, 28, 1. [Google Scholar]
- Chu, C. The application of PAS reaction as a stain technique in plant histology. J. Integr. Plant Biol. 1963, 11, 155–163. [Google Scholar]
- Zou, Q. Guide to Plant Physiology Experiment; China Agriculture Press: Beijing, China, 2008. [Google Scholar]
- Lichtenthaler, H.K. Chlorophylls and carotenoids: Pigments of photosynthetic biomembranes. Methods Enzymol. 1987, 148, 350–382. [Google Scholar]
- Okahisa, Y.; Yoshimura, T.; Imamura, Y. Seasonal and height-dependent fluctuation of starch and free glucose contents in moso bamboo (Phyllostachys pubescens) and its relation to attack by termites and decay fungi. J. Wood Sci. 2006, 52, 445–451. [Google Scholar] [CrossRef]
- Glassop, D.; Roessner, U.; Bacic, A.; Bonnett, G.D. Changes in the sugarcane metabolome with stem development. Are they related to sucrose accumulation? Plant Cell Physiol. 2007, 48, 573–584. [Google Scholar] [CrossRef]
- Moscatello, S.; Famiani, F.; Proietti, S.; Farinelli, D.; Battistelli, A. Sucrose synthase dominates carbohydrate metabolism and relative growth rate in growing kiwifruit (Actinidia deliciosa, cv ‘Hayward’). Sci. Hortic. 2011, 128, 197–205. [Google Scholar] [CrossRef]
- Yu, L.; Pei, J.; Zhao, Y.; Wang, S. Physiological changes of bamboo (Fargesia yunnanensis) shoots during storage and the related cold storage mechanisms. Front. Plant Sci. 2021, 12, 731977. [Google Scholar] [CrossRef]
- Wang, J.; Jiang, J.; Wang, J.; Wang, Z.; Yang, X.; Jia, L. The influence of gamma irradiation on the storage quality of bamboo shoots. Radiat. Phys. Chem. 2019, 159, 124–130. [Google Scholar] [CrossRef]
- Sung, S.S.; Sheih, W.J.; Geiger, D.R.; Black, C.C. Growth, sucrose synthase, and invertase activities of developing Phaseolus vulgaris L. fruits. Plant Cell Environ. 1994, 17, 419–426. [Google Scholar] [CrossRef]
- Appeldoorn, N.J.G.; De Bruijn, S.M.; Koot-Gronsveld, E.A.; Visser, R.G.F.; Vreugdenhil, D.; Plas, L.V.D. Developmental changes in enzymes involved in the conversion of hexose phosphate and its subsequent metabolites during early tuberization of potato. Plant Cell Environ. 1999, 22, 1085–1096. [Google Scholar] [CrossRef]
- Nakamura, Y.; Yuki, K.; Park, S.Y.; Ohya, T. Carbohydrate metabolism in the developing endosperm of rice grains. Plant Cell Physiol. 1989, 30, 833–839. [Google Scholar] [CrossRef]
- Cai, Q.S. Plant Physiology Experiment; China Agriculture University Press: Beijing, China, 2013; pp. 175–177. [Google Scholar]
- Lin, Z.F.; Li, S.S.; Lin, G.Z.; Guo, J.Y. Relationship between H2O2 accumulation and membrane lipid peroxidation in senescent leaves and chloroplasts. Physiol. Mol. Biol. Plants 1988, 14, 16–22. [Google Scholar]
- Chen, J.X.; Wang, X.F. Plant Physiology Experiment Guidance; South China University of Technology Press: Guangzhou, China, 2006; pp. 119–120. [Google Scholar]
- Li, H.S. Experimental Principles and Techniques of Plant Physiology and Biochemistry; Higher Education Press: Beijing, China, 2000; pp. 165–167. [Google Scholar]
- Gao, J.F. Plant Physiology Experiment Guidance; Higher Education Press: Beijing, China, 2006; pp. 217–219. [Google Scholar]
- Gutiérrez-Miceli, F.A.; Rodríguez-Mendiola, M.A.; Ochoa-Alejo, N.; Méndez-Salas, R.; Dendooven, L.; Arias-Castro, C. Relationship between sucrose accumulation and activities of sucrose-phosphatase, sucrose synthase, neutral invertase and soluble acid invertase in micropropagated sugarcane plants. Acta Physiol. Plant. 2002, 24, 441–446. [Google Scholar] [CrossRef]
- Sun, H.; Li, J.; Song, H.; Yang, D.; Deng, X.; Liu, J.; Wang, Y.; Ma, J.; Xiong, Y.; Liu, Y.; et al. Comprehensive analysis of AGPase genes uncovers their potential roles in starch biosynthesis in lotus seed. BMC Plant Biol. 2020, 20, 457. [Google Scholar] [CrossRef] [PubMed]
- Wang, W.; Cui, W.; Xu, K.; Gao, H.; Wei, H.; Zhao, H. Effects of early-and late-sowing on starch accumulation and associated enzyme activities during grain filling stage in rice. Rice Sci. 2021, 28, 191–199. [Google Scholar]
- Rathore, R.S.; Garg, N.; Garg, S.; Kumar, A. Starch phosphorylase: Role in starch metabolism and biotechnological applications. Crit. Rev. Biotechnol. 2009, 29, 214–224. [Google Scholar] [CrossRef] [PubMed]
- Yue, C.; Cao, H.; Lin, H.; Hu, J.; Ye, Y.; Li, J.; Hao, Z.; Ha, X.; Sun, Y.; Yang, Y.; et al. Expression patterns of alpha-amylase and beta-amylase genes provide insights into the molecular mechanisms underlying the responses of tea plants (Camellia sinensis) to stress and postharvest processing treatments. Planta 2019, 250, 281–298. [Google Scholar] [CrossRef] [PubMed]
- Mihailova, I.; Krasovska, M.; Sledevskis, E.; Gerbreders, V.; Mizers, V.; Ogurcovs, A. Assessment of oxidative stress by detection of H2O2 in Rye samples using a CuO-and Co3O4-nanostructure-based electrochemical sensor. Chemosensors 2023, 11, 532. [Google Scholar] [CrossRef]
- Zhao, Y.; Zhu, X.; Hou, Y.; Wang, X.; Li, X. Postharvest nitric oxide treatment delays the senescence of winter jujube (Zizyphus jujuba Mill. cv. ‘Dongzao’) fruit during cold storage by regulating reactive oxygen species metabolism. Sci. Hortic. 2020, 261, 109009. [Google Scholar] [CrossRef]
- Gupta, R.; Verma, N.; Tewari, R.K. Micronutrient deficiency-induced oxidative stress in plants. Plant Cell Rep. 2024, 43, 213. [Google Scholar] [PubMed]
- Li, Z.; Guan, F.; Zhou, X.; Liu, L.; Fu, D.; Zhang, X.; Li, M. Effect of fertilization on soil fertility and individual stand biomass in strip cut moso bamboo (Phyllostachys edulis) forests. Forests 2024, 15, 252. [Google Scholar] [CrossRef]
- Lakudzala, D.D. Potassium response in some Malawi soils. Int. Lett. Chem. Phys. Astron. 2013, 8, 175–181. [Google Scholar] [CrossRef]
- Ma, J.; Zhang, M.; Liu, Z.; Chen, H.; Li, Y.C.; Sun, Y.; Ma, Q.; Zhao, C. Effects of foliar application of the mixture of copper and chelated iron on the yield, quality, photosynthesis, and microelement concentration of table grape (Vitis vinifera L.). Sci. Hortic. 2019, 254, 106–115. [Google Scholar] [CrossRef]
- Mengel, K.; Arneke, W.W. Effect of potassium on the water potential, the pressure potential, the osmotic potential and cell elongation in leaves of Phaseolus vulgaris. Physiol. Plant. 1982, 54, 402–408. [Google Scholar] [CrossRef]
- Malhotra, H.; Pandey, R.; Sharma, S.; Bindraban, P.S. Foliar fertilization: Possible routes of iron transport from leaf surface to cell organelles. Arch. Agron. Soil. Sci. 2020, 66, 279–300. [Google Scholar] [CrossRef]
- Khan, A.A.; Khan, M.N.; Inamuallah, S.S.; Arshad IU, R.; Muhammad, I.; Amir Zeb, I. 07. Effect of potash application on growth, yield and yield components of spring maize hybrids. Pure and Applied Biology (PAB) 2021, 4, 195–203. [Google Scholar] [CrossRef]
- Aziz, A.; Martin-Tanguy, J.; Larher, F. Salt stress-induced proline accumulation and changes in tyramine and polyamine levels are linked to ionic adjustment in tomato leaf discs. Plant Sci. 1999, 145, 83–91. [Google Scholar] [CrossRef]
- Jordan-Meille, L.; Pellerin, S. Leaf area establishment of a maize (Zea mays L.) field crop under potassium deficiency. Plant Soil 2004, 265, 75–92. [Google Scholar] [CrossRef]
- Pearcy, R.W. Responses of plants to heterogenous light environment. In Handbook of Functional Plant Ecology; CRC Press: Boca Raton, FL, USA, 1999. [Google Scholar]
- Prasad, M.N.V. (Ed.) Plant Ecophysiology; John Wiley Sons: New York, NY, USA, 1996. [Google Scholar]
- Kalaji, H.M.; Dąbrowski, P.; Cetner, M.D.; Samborska, I.A.; Łukasik, I.; Brestic, M.; Zivcak, M.; Tomasz, H.; Mojski, J.; Kociel, H.; et al. A comparison between different chlorophyll content meters under nutrient deficiency conditions. J. Plant Nutr. 2017, 40, 1024–1034. [Google Scholar] [CrossRef]
- Hafsi, C.; Falleh, H.; Saada, M.; Rabhi, M.; Mkadmini, K.; Ksouri, R.; Abdelly, L.; Smaoui, A. Effects of potassium supply on growth, gas exchange, phenolic composition, and related antioxidant properties in the forage legume Sulla carnosa. Flora 2016, 223, 38–45. [Google Scholar] [CrossRef]
- Yu, F.; Wang, X.; Yao, Y.; Lin, J.; Huang, Y.; Xie, D.; Liu, K.; Li, Y. Manganese accumulation and plant physiology behavior of Camellia oleifera in response to different levels of potassium fertilization. Int. J. Phytoremediation 2020, 22, 1075–1084. [Google Scholar] [CrossRef] [PubMed]
- Hasanuzzaman, M.; Bhuyan, M.B.; Nahar, K.; Hossain, M.S.; Mahmud, J.A.; Hossen, M.S.; Mahmud, J.A.; Hossen, M.S.; Masud, A.C.; Moumita Fujita, M. Potassium: A vital regulator of plant responses and tolerance to abiotic stresses. Agronomy 2018, 8, 31. [Google Scholar] [CrossRef]
- Xu, X.; Wang, F.; Xing, Y.; Liu, J.; Lv, M.; Meng, H.; Du, X.; Zhu, Z.; Ge, S.; Jiang, Y. Appropriate and constant potassium supply promotes the growth of M9T337 apple rootstocks by regulating endogenous hormones and carbon and nitrogen metabolism. Front. Plant Sci. 2022, 13, 827478. [Google Scholar] [CrossRef] [PubMed]
- Khalil, H.P.S.A.; Alwani, M.S.; Omar, A.M. Chemical composition, anatomy, lignin distribution, and cell wall structure of Malaysian plant waste fibers. BioResources 2006, 1, 220–232. [Google Scholar] [CrossRef]
- Zhao, D.; Oosterhuis, D.M.; Bednarz, C.W. Influence of potassium deficiency on photosynthesis, chlorophyll content, and chloroplast ultrastructure of cotton plants. Photosynthetica 2001, 39, 103–109. [Google Scholar] [CrossRef]
- Hu, W.; Loka, D.A.; Fitzsimons, T.R.; Zhou, Z.; Oosterhuis, D.M. Potassium deficiency limits reproductive success by altering carbohydrate and protein balances in cotton (Gossypium hirsutum L.). Environ. Exp. Bot. 2018, 145, 87–94. [Google Scholar] [CrossRef]
- Li, Y.; Yin, M.; Li, L.; Zheng, J.; Yuan, X.; Wen, Y. Optimized potassium application rate increases foxtail millet grain yield by improving photosynthetic carbohydrate metabolism. Front. Plant Sci. 2022, 13, 1044065. [Google Scholar] [CrossRef]
- Shen, J.L.; Wang, Y.; Shu, S.; Jahan, M.S.; Zhong, M.; Wu, J.Q.; Sun, J.; Guo, S.R. Exogenous putrescine regulates leaf starch overaccumulation in cucumber under salt stress. Sci. Hortic. 2019, 253, 99–110. [Google Scholar] [CrossRef]
- Scofield, G.N.; Ruuska, S.A.; Aoki, N.; Lewis, D.C.; Tabe, L.M.; Jenkins, C.L. Starch storage in the stems of wheat plants: Localization and temporal changes. Ann. Bot. 2009, 103, 859–868. [Google Scholar] [CrossRef] [PubMed]
- Pociecha, E.; Rapacz, M.; Dziurka, M.; Kolasińska, I. Mechanisms involved in the regulation of photosynthetic efficiency and carbohydrate partitioning in response to low-and high-temperature flooding triggered in winter rye (Secale cereale) lines with distinct pink snow mold resistances. Plant Physiol. Biochem. 2016, 104, 45–53. [Google Scholar] [CrossRef]
- Wang, W.; Franklin, S.B.; Cirtain, M.C. Seed germination and seedling growth in the arrow bamboo Fargesia qinlingensis. Ecol. Res. 2007, 22, 467–474. [Google Scholar] [CrossRef]
- Gao, Y.; Tang, Z.; Xia, H.; Sheng, M.; Liu, M.; Pan, S.; Li, Z.; Liu, J. Potassium fertilization stimulates sucrose-to-starch conversion and root formation in sweet potato (Ipomoea batatas (L.) Lam.). Int. J. Mol. Sci. 2021, 22, 4826. [Google Scholar] [CrossRef] [PubMed]
- Tiessen, A.; Hendriks, J.H.; Stitt, M.; Branscheid, A.; Gibon, Y.; Farré, E.M.; Geigenberger, P. Starch synthesis in potato tubers is regulated by post-translational redox modification of ADP-glucose pyrophosphorylase: A novel regulatory mechanism linking starch synthesis to the sucrose supply. Plant Cell 2002, 14, 2191–2213. [Google Scholar] [CrossRef]
- Hendrix, D.L.; Huber, S.C. Diurnal fluctuations in cotton leaf carbon export, carbohydrate content, and sucrose synthesizing enzymes. Plant Physiol. 1986, 81, 584–586. [Google Scholar] [CrossRef] [PubMed]
- Hu, W.; Yang, J.; Meng, Y.; Wang, Y.; Chen, B.; Zhao, W.; Oosterhuis, D.M.; Zhou, Z. Potassium application affects carbohydrate metabolism in the leaf subtending the cotton (Gossypium hirsutum L.) boll and its relationship with boll biomass. Field Crops Res. 2015, 179, 120–131. [Google Scholar] [CrossRef]
- Huber, S.C. Biochemical basis for effects of K-deficiency on assimilate export rate and accumulation of soluble sugars in soybean leaves. Plant Physiol. 1984, 76, 424–430. [Google Scholar] [CrossRef] [PubMed]
- Wu, S.; Zhang, C.; Li, M.; Tan, Q.; Sun, X.; Pan, Z.; Deng, X.; Hu, C. Effects of potassium on fruit soluble sugar and citrate accumulations in Cara Cara navel orange (Citrus sinensis L. Osbeck). Sci. Hortic. 2021, 283, 110057. [Google Scholar] [CrossRef]
- Qamer, Z.; Chaudhary, M.T.; Du, X.; Hinze, L.; Azhar, M.T. Review of oxidative stress and antioxidative defense mechanisms in Gossypium hirsutum L. in response to extreme abiotic conditions. J. Cotton Res. 2021, 4, 9. [Google Scholar] [CrossRef]
- Peng, D.; Zhang, Y.; Li, Q.; Song, Y.; Ji, J.; Wang, G.; Guan, C.; Li, X. Exogenous application and endogenous elevation of salicylic acid levels by overexpressing a salicylic acid-binding protein 2 gene enhance nZnO tolerance of tobacco plants. Plant Soil. 2020, 450, 443–461. [Google Scholar] [CrossRef]
- Oosterhuis, D.M.; Loka, D.A.; Raper, T.B. Potassium and stress alleviation: Physiological functions and management of cotton. J. Plant Nutr. Soil Sci. 2013, 176, 331–343. [Google Scholar] [CrossRef]
- Hu, W.; Lv, X.; Yang, J.; Chen, B.; Zhao, W.; Meng, Y.; Wang, Y.; Zhou, Z.; Oosterhuis, D.M. Effects of potassium deficiency on antioxidant metabolism related to leaf senescence in cotton (Gossypium hirsutum L.). Field Crops Res. 2016, 191, 139–149. [Google Scholar] [CrossRef]











| Treatment | Morphological Index | ||||||
|---|---|---|---|---|---|---|---|
| Thickness of Adaxial Epidermal Cell (μm) | Thickness of Abaxial Epidermal Cell (μm) | Thickness of Mesophyll Cell (μm) | Leaf Thickness (μm) | Bulliform Cell Area (μm2) | Fusoid Cell Area (μm2) | ||
| Control | 5 d | 13.90 ± 1.66 c | 8.72 ± 1.31 d | 104.19 ± 7.94 e | 164.88 ± 9.66 g | 2160.70 ± 229.57 e | 1295.73 ± 184.11 c |
| 10 d | 14.46 ± 1.76 b | 9.76 ± 1.40 c | 107.13 ± 7.77 d | 166.72 ± 8.32 fg | 2213.97 ± 180.50 de | 1318.86 ± 141.97 c | |
| 15 d | 14.76 ± 1.67 ab | 10.03 ± 1.16 bc | 109.65 ± 6.84 d | 178.25 ± 6.48 d | 2216.42 ± 252.60 de | 1520.40 ± 230.02 b | |
| 20 d | 15.05 ± 1.54 a | 10.49 ± 1.43 ab | 114.97 ± 8.08 bc | 185.84 ± 6.81 b | 2250.79 ± 241.90 d | 1527.71 ± 280.63 b | |
| K2CO3 0.1% | 5 d | 13.18 ± 1.40 d | 10.00 ± 1.13 bc | 112.50 ± 6.27 c | 168.94 ± 10.79 f | 2145.82 ± 166.97 e | 1259.43 ± 149.53 c |
| 10 d | 14.87 ± 1.34 ab | 10.21 ± 2.24 bc | 113.28 ± 7.98 c | 173.24 ± 7.31 e | 2348.24 ± 216.08 c | 1314.99 ± 124.20 c | |
| 15 d | 14.91 ± 1.45 ab | 10.27 ± 2.29 bc | 117.51 ± 10.95 b | 181.83 ± 8.00 c | 2672.50 ± 324.47 b | 1724.75 ± 230.05 a | |
| 20 d | 15.23 ± 1.08 a | 10.93 ± 1.41 a | 123.40 ± 10.92 a | 188.94 ± 8.76 a | 2914.98 ± 194.41 a | 1776.80 ± 151.51 a | |
Disclaimer/Publisher’s Note: The statements, opinions and data contained in all publications are solely those of the individual author(s) and contributor(s) and not of MDPI and/or the editor(s). MDPI and/or the editor(s) disclaim responsibility for any injury to people or property resulting from any ideas, methods, instructions or products referred to in the content. |
© 2025 by the authors. Licensee MDPI, Basel, Switzerland. This article is an open access article distributed under the terms and conditions of the Creative Commons Attribution (CC BY) license (https://creativecommons.org/licenses/by/4.0/).
Share and Cite
Zhao, C.; Liu, J.; Zhu, F.; Wang, S. Effects of Foliar Application of Potassium Fertilizer on Anatomical and Physiological Changes of Neosinocalamus affinis Leaves. Forests 2025, 16, 388. https://doi.org/10.3390/f16030388
Zhao C, Liu J, Zhu F, Wang S. Effects of Foliar Application of Potassium Fertilizer on Anatomical and Physiological Changes of Neosinocalamus affinis Leaves. Forests. 2025; 16(3):388. https://doi.org/10.3390/f16030388
Chicago/Turabian StyleZhao, Chongsheng, Jiaxin Liu, Fangwei Zhu, and Shuguang Wang. 2025. "Effects of Foliar Application of Potassium Fertilizer on Anatomical and Physiological Changes of Neosinocalamus affinis Leaves" Forests 16, no. 3: 388. https://doi.org/10.3390/f16030388
APA StyleZhao, C., Liu, J., Zhu, F., & Wang, S. (2025). Effects of Foliar Application of Potassium Fertilizer on Anatomical and Physiological Changes of Neosinocalamus affinis Leaves. Forests, 16(3), 388. https://doi.org/10.3390/f16030388
