Effects of Oasis Evolution on Soil Microbial Community Structure and Function in Arid Areas
Abstract
1. Introduction
2. Materials and Methods
2.1. Study Site
2.2. Experimental Design and Soil Sampling
2.3. Analysis of Soil Physicochemical Properties
2.4. Metagenomic Sequencing
2.4.1. DNA Extraction and Sequencing
2.4.2. Quality Control and Data Preprocessing
2.4.3. Species Annotation and Functional Prediction
2.4.4. Downstream Analysis
2.5. Statistical Analysis
3. Results
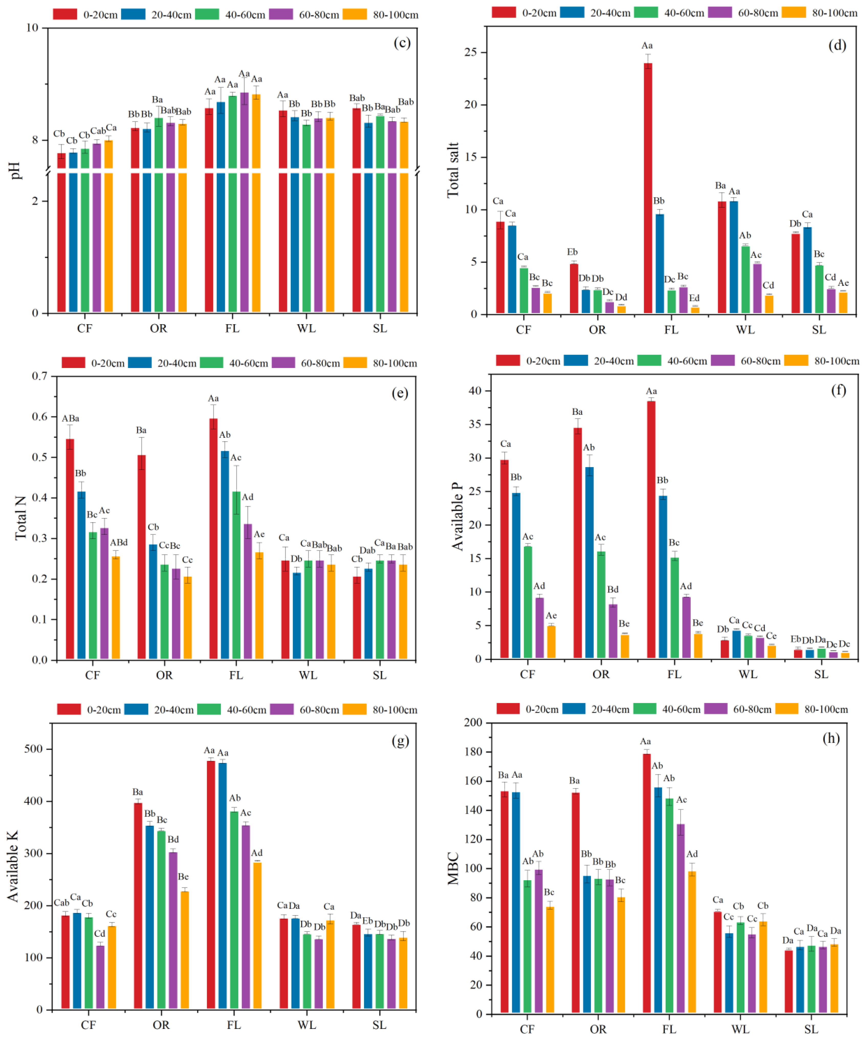
3.1. Effects of Oasis Evolution on Soil Physicochemical Properties
3.2. Characteristics of Soil Microbial Community Composition in Oasis Evolution
3.3. Functional Characteristics of Soil Microbial Community in Oasis Evolution
3.4. Relationship Between Environmental Factors and Soil Microbial Communities in Oasis Evolution
4. Discussion
4.1. Contact of Oasis Evolution on Soil Physicochemical Properties
4.2. Effects of Oasis Evolution on Soil Microbial Community Composition and Function
4.3. Response of Soil Microbial Communities to Soil Physicochemical Properties
5. Conclusions
Author Contributions
Funding
Data Availability Statement
Conflicts of Interest
References
- Mahmoud, S.H.; Gan, T.Y. Impact of anthropogenic climate change and human activities on environment and ecosystem services in arid regions. Sci. The Total Environ. 2018, 633, 1329–1344. [Google Scholar] [CrossRef] [PubMed]
- Hong, Z.; Jian-Wei, W.; Qiu-Hong, Z.; Yun-Jiang, Y. A preliminary study of oasis evolution in the Tarim Basin, Xinjiang, China. J. Arid. Environ. 2003, 55, 545–553. [Google Scholar] [CrossRef]
- Houssni, M.; Kassout, J.; El Mahroussi, M.; Chakkour, S.; Kadiri, M.; Ater, M.; Petrisor, A.-I. Evaluation and Structuring of Agrodiversity in Oases Agroecosystems of Southern Morocco. Agriculture 2023, 13, 1413. [Google Scholar] [CrossRef]
- Sun, A.; Li, H.; Zhang, S.; Cao, H.; Qiu, M.; Wang, Y.; Liu, B.; Zhao, H.; Dong, G. Impact of climate-driven oasis evolution on human settlement in the Baiyang River Basin, northwest China, Hami, during the middle to late Holocene. Palaeogeogr. Palaeoclimatol. Palaeoecol. 2023, 622, 111602. [Google Scholar] [CrossRef]
- Xie, Y.; Bie, Q.; Lu, H.; He, L. Spatio-Temporal Changes of Oases in the Hexi Corridor over the Past 30 Years. Sustainability 2018, 10, 4489. [Google Scholar] [CrossRef]
- Bie, Q.; Xie, Y. The constraints and driving forces of oasis development in arid region: A case study of the Hexi Corridor in northwest China. Sci. Rep. 2020, 10, 17708. [Google Scholar] [CrossRef] [PubMed]
- Singh, B.K.; Yan, Z.-Z.; Whittaker, M.; Vargas, R.; Abdelfattah, A. Soil microbiomes must be explicitly included in One Health policy. Nat. Microbiol. 2023, 8, 1367–1372. [Google Scholar] [CrossRef]
- Xia, Q.; Rufty, T.; Shi, W. Soil microbial diversity and composition: Links to soil texture and associated properties. Soil Biol. Biochem. 2020, 149, 107953. [Google Scholar] [CrossRef]
- Li, W.; Liu, X.; Xia, Q.; Gao, Z.; Zheng, W.; Zhai, B.; Yang, Z. Untargeted metabolomics to study changes in soil microbial community in response to tillage practices. Appl. Soil Ecol. 2024, 199, 105409. [Google Scholar] [CrossRef]
- Shi, P.; Quinn, B.K.; Chen, L.; Gao, J.; Schrader, J. Quantifying α-diversity as a continuous function of location—A case study of a temperate forest. J. For. Res. 2023, 34, 1683–1691. [Google Scholar] [CrossRef]
- Qiao, X.; Hautier, Y.; Geng, Y.; Wang, S.; Wang, J.; Zhang, N.; Zhang, Z.; Zhang, C.; Zhao, X.; von Gadow, K. Biodiversity contributes to stabilizing ecosystem productivity across spatial scales as much as environmental heterogeneity in a large temperate forest region. For. Ecol. Manag. 2023, 529, 120695. [Google Scholar] [CrossRef]
- Wu, H.; Cui, H.; Fu, C.; Li, R.; Qi, F.; Liu, Z.; Yang, G.; Xiao, K.; Qiao, M. Unveiling the crucial role of soil microorganisms in carbon cycling: A review. Sci. Total Environ. 2024, 909, 168627. [Google Scholar] [CrossRef]
- Philippot, L.; Chenu, C.; Kappler, A.; Rillig, M.C.; Fierer, N. The interplay between microbial communities and soil properties. Nat. Rev. Microbiol. 2024, 22, 226–239. [Google Scholar] [CrossRef] [PubMed]
- Xie, Z.; Yu, Z.; Li, Y.; Wang, G.; Liu, X.; Tang, C.; Lian, T.; Adams, J.; Liu, J.; Liu, J.; et al. Soil microbial metabolism on carbon and nitrogen transformation links the crop-residue contribution to soil organic carbon. npj Biofilms Microbiomes 2022, 8, 14. [Google Scholar] [CrossRef]
- Li, M.; Zhang, K.; Yan, Z.; Liu, L.; Kang, E.; Kang, X. Soil Water Content Shapes Microbial Community Along Gradients of Wetland Degradation on the Tibetan Plateau. Front. Microbiol. 2022, 13, 824267. [Google Scholar] [CrossRef]
- Gui, H.; Fan, L.; Wang, D.; Yan, P.; Li, X.; Pang, Y.; Zhang, L.; Zamanian, K.; Shi, L.; Xu, J.; et al. Variations in Soil Nutrient Dynamics and Bacterial Communities After the Conversion of Forests to Long-Term Tea Monoculture Systems. Front. Microbiol. 2022, 13, 896530. [Google Scholar] [CrossRef] [PubMed]
- Kushwaha, P.; Neilson Julia, W.; Barberán, A.; Chen, Y.; Fontana Catherine, G.; Butterfield Bradley, J.; Maier Raina, M. Arid Ecosystem Vegetation Canopy-Gap Dichotomy: Influence on Soil Microbial Composition and Nutrient Cycling Functional Potential. Appl. Environ. Microbiol. 2021, 87, e02780-20. [Google Scholar] [CrossRef]
- Li, C.H.; Tang, L.S.; Jia, Z.J.; Li, Y. Profile Changes in the Soil Microbial Community When Desert Becomes Oasis. PLoS ONE 2015, 10, e0139626. [Google Scholar] [CrossRef] [PubMed]
- Ma, B.; Lu, C.; Wang, Y.; Yu, J.; Zhao, K.; Xue, R.; Ren, H.; Lv, X.; Pan, R.; Zhang, J.; et al. A genomic catalogue of soil microbiomes boosts mining of biodiversity and genetic resources. Nat. Commun. 2023, 14, 7318. [Google Scholar] [CrossRef]
- Kulkarni, O.S.; Mazumder, M.; Kini, S.; Hill, E.D.; Aow, J.S.B.; Phua, S.M.L.; Elejalde, U.; Kjelleberg, S.; Swarup, S. Volatile methyl jasmonate from roots triggers host-beneficial soil microbiome biofilms. Nat. Chem. Biol. 2024, 20, 473–483. [Google Scholar] [CrossRef]
- Wang, H.; Liu, S.; Schindlbacher, A.; Wang, J.; Yang, Y.; Song, Z.; You, Y.; Shi, Z.; Li, Z.; Chen, L.; et al. Experimental warming reduced topsoil carbon content and increased soil bacterial diversity in a subtropical planted forest. Soil Biol. Biochem. 2019, 133, 155–164. [Google Scholar] [CrossRef]
- Xiong, Y.; Zheng, Z.; Yin, B.; Li, G.; Wan, X.; Qian, R.; Li, L.; Guan, S.; Liu, Y.; Wang, Y.; et al. Livestock grazing strengthens the effect of vole activity on the soil microbial community. Geoderma 2024, 451, 117070. [Google Scholar] [CrossRef]
- Tianjiao, F.; Tianxing, W.; Keesstra, S.D.; Jianjun, Z.; Huaxing, B.; Ruoshui, W.; Ping, W. Long-term effects of vegetation restoration on hydrological regulation functions and the implications to afforestation on the Loess Plateau. Agric. For. Meteorol. 2023, 330, 109313. [Google Scholar] [CrossRef]
- Shen, F.; Fei, L.; Tuo, Y.; Peng, Y.; Yang, Q.; Zheng, R.; Wang, Q.; Liu, N.; Fan, Q. Effects of water and fertilizer regulation on soil physicochemical properties, bacterial diversity and community structure of Panax notoginseng. Sci. Hortic. 2024, 326, 112777. [Google Scholar] [CrossRef]
- Wu, L.; Ren, C.; Jiang, H.; Zhang, W.; Chen, N.; Zhao, X.; Wei, G.; Shu, D. Land abandonment transforms soil microbiome stability and functional profiles in apple orchards of the Chinese Losses Plateau. Sci. Total Environ. 2024, 906, 167556. [Google Scholar] [CrossRef] [PubMed]
- Lv, Y.Z.; Li, B.G. Soil Science Experiment; China Agricultural Press: Beijing, China, 2010. [Google Scholar]
- Ma, X.; Thakar, S.B.; Zhang, H.; Yu, Z.; Meng, L.; Yue, J. Bioinformatics analysis of the rhizosphere microbiota of Dangshan Su pear in different soil types. Curr. Bioinform. 2020, 15, 503–514. [Google Scholar] [CrossRef]
- Nabi, F.; Yang, G.; Sajid, S.; Chen, H.; Rasheed Kaleri, A.; Chen, T.; Wang, X.; Hu, Y. Linking soil microbial community with the changes in soil physicochemical properties in response to long-term agricultural land use change of different chronosequences and depth layers. Ecol. Indic. 2022, 145, 109727. [Google Scholar] [CrossRef]
- Yin, X.; Feng, Q.; Li, Y.; Liu, W.; Zhu, M.; Xu, G.; Zheng, X.; Sindikubwabo, C. Induced soil degradation risks and plant responses by salinity and sodicity in intensive irrigated agro-ecosystems of seasonally-frozen arid regions. J. Hydrol. 2021, 603, 127036. [Google Scholar] [CrossRef]
- Hu, C.; Zhang, Z.; Zhong, C.; Hu, G.; Xu, C. Impact of Different Land Use Types on Bacterial and Fungal Communities in a Typical Karst Depression in Southwestern China. Forests 2024, 15, 1299. [Google Scholar] [CrossRef]
- Wang, C.-Y.; Zhou, X.; Guo, D.; Zhao, J.-H.; Yan, L.; Feng, G.-Z.; Gao, Q.; Yu, H.; Zhao, L.-p. Soil pH is the primary factor driving the distribution and function of microorganisms in farmland soils in northeastern China. Ann. Microbiol. 2019, 69, 1461–1473. [Google Scholar] [CrossRef]
- Yu, Y.; Liu, L.; Wang, J.; Zhang, Y.; Xiao, C. Effects of warming on the bacterial community and its function in a temperate steppe. Sci. Total Environ. 2021, 792, 148409. [Google Scholar] [CrossRef] [PubMed]
- Yang, Y.; Dou, Y.; Wang, B.; Xue, Z.; Wang, Y.; An, S.; Chang, S.X. Deciphering factors driving soil microbial life-history strategies in restored grasslands. iMeta 2023, 2, e66. [Google Scholar] [CrossRef]
- Lee, S.A.; Kim, J.M.; Kim, Y.; Joa, J.-H.; Kang, S.-S.; Ahn, J.-H.; Kim, M.; Song, J.; Weon, H.-Y. Different types of agricultural land use drive distinct soil bacterial communities. Sci. Rep. 2020, 10, 17418. [Google Scholar] [CrossRef] [PubMed]
- Zhang, Z.Y.; Qiang, F.F.; Liu, G.Q.; Liu, C.H.; Ai, N. Distribution characteristics of soil microbial communities and their responses to environmental factors in the sea buckthorn forest in the water-wind erosion crisscross region. Front. Microbiol. 2022, 13, 1098952. [Google Scholar] [CrossRef]
- Yang, M.; Luo, X.; Cai, Y.; Mwangi, B.N.; Khan, M.S.; Haider, F.U.; Huang, W.; Cheng, X.; Yang, Z.; Zhou, H.; et al. Effect of fire and post-fire management on soil microbial communities in a lower subtropical forest ecosystem after a mountain fire. J. Environ. Manag. 2024, 351, 119885. [Google Scholar] [CrossRef]
- Zheng, Y.F.; Cao, X.W.; Zhou, Y.N.; Ma, S.Q.; Wang, Y.Q.; Li, Z.; Zhao, D.L.; Yang, Y.Z.; Zhang, H.; Meng, C.; et al. Purines enrich root-associated Pseudomonas and improve wild soybean growth under salt stress. Nat. Commun. 2024, 15, 3520. [Google Scholar] [CrossRef]
- Rieke, E.L.; Cappellazzi, S.B.; Cope, M.; Liptzin, D.; Mac Bean, G.; Greub, K.L.H.; Norris, C.E.; Tracy, P.W.; Aberle, E.; Ashworth, A.; et al. Linking soil microbial community structure to potential carbon mineralization: A continental scale assessment of reduced tillage. Soil Biol. Biochem. 2022, 168, 108618. [Google Scholar] [CrossRef]
- Tang, J.; Gong, L.; Ma, X.; Zhu, H.; Ding, Z.; Luo, Y.; Zhang, H. The Oasisization Process Promotes the Transformation of Soil Organic Carbon into Soil Inorganic Carbon. Land 2024, 13, 336. [Google Scholar] [CrossRef]
- Wang, L.; Lu, P.; Feng, S.; Hamel, C.; Sun, D.; Siddique, K.H.M.; Gan, G.Y. Strategies to improve soil health by optimizing the plant–soil–microbe–anthropogenic activity nexus. Agric. Ecosyst. Environ. 2024, 359, 108750. [Google Scholar] [CrossRef]
- Sun, X.; Zhang, L.; Pei, J.; Lin-Fang, H. Regulatory relationship between quality variation and environment of Cistanche deserticola in three ecotypes based on soil microbiome analysis. Sci. Rep. 2020, 10, 6662. [Google Scholar] [CrossRef]
- Meena, M.; Yadav, G.; Sonigra, P.; Nagda, A.; Mehta, T.; Swapnil, P.; Harish; Marwal, A.; Kumar, S. Multifarious responses of forest soil microbial community toward climate change. Microb. Ecol. 2023, 86, 49–74. [Google Scholar] [CrossRef]
- Zeng, Q.; Mei, T.; Wang, M.; Tan, W. Linking phosphorus fertility to soil microbial diversity and network complexity in citrus orchards: Implications for sustainable agriculture. Appl. Soil Ecol. 2024, 200, 105441. [Google Scholar] [CrossRef]
- Zhang, T.; Xu, Z.; Wang, Y.; Gao, Q. Effects of soil properties and microbial community composition on ginsenosides accumulation in farmland ginseng. Front. Bioeng. Biotechnol. 2024, 12, 1462342. [Google Scholar] [CrossRef] [PubMed]
- Wilkes, R.A.; Mendonca, C.M.; Aristilde, L. A cyclic metabolic network in Pseudomonas protegens Pf-5 prioritizes the Entner-Doudoroff pathway and exhibits substrate hierarchy during carbohydrate co-utilization. Appl. Environ. Microbiol. 2019, 85, e02084-18. [Google Scholar] [CrossRef]
- Singh, A.K.; Gupta, K.J.; Singla-Pareek, S.L.; Foyer, C.H.; Pareek, A. Raising crops for dry and saline lands: Challenges and the way forward. Physiol. Plant. 2022, 174, 1. [Google Scholar] [CrossRef]
- Sinclair, T.R.; Manandhar, A.; Belko, N.; Riar, M.; Vadez, V.; Roberts, P.A. Variation among cowpea genotypes in sensitivity of transpiration rate and symbiotic nitrogen fixation to soil drying. Crop Sci. 2015, 55, 2270–2275. [Google Scholar] [CrossRef]
- López-Lozano, N.E.; Echeverría Molinar, A.; Ortiz Durán, E.A.; Hernández Rosales, M.; Souza, V. Bacterial diversity and interaction networks of Agave lechuguilla rhizosphere differ significantly from bulk soil in the oligotrophic basin of Cuatro Cienegas. Front. Plant Sci. 2020, 11, 1028. [Google Scholar] [CrossRef] [PubMed]










Disclaimer/Publisher’s Note: The statements, opinions and data contained in all publications are solely those of the individual author(s) and contributor(s) and not of MDPI and/or the editor(s). MDPI and/or the editor(s) disclaim responsibility for any injury to people or property resulting from any ideas, methods, instructions or products referred to in the content. |
© 2025 by the authors. Licensee MDPI, Basel, Switzerland. This article is an open access article distributed under the terms and conditions of the Creative Commons Attribution (CC BY) license (https://creativecommons.org/licenses/by/4.0/).
Share and Cite
Tang, J.; Zhu, H.; Ma, X.; Ding, Z.; Luo, Y.; Wang, X.; Gao, R.; Gong, L. Effects of Oasis Evolution on Soil Microbial Community Structure and Function in Arid Areas. Forests 2025, 16, 343. https://doi.org/10.3390/f16020343
Tang J, Zhu H, Ma X, Ding Z, Luo Y, Wang X, Gao R, Gong L. Effects of Oasis Evolution on Soil Microbial Community Structure and Function in Arid Areas. Forests. 2025; 16(2):343. https://doi.org/10.3390/f16020343
Chicago/Turabian StyleTang, Junhu, Haiqiang Zhu, Xinyu Ma, Zhaolong Ding, Yan Luo, Xiaofei Wang, Rui Gao, and Lu Gong. 2025. "Effects of Oasis Evolution on Soil Microbial Community Structure and Function in Arid Areas" Forests 16, no. 2: 343. https://doi.org/10.3390/f16020343
APA StyleTang, J., Zhu, H., Ma, X., Ding, Z., Luo, Y., Wang, X., Gao, R., & Gong, L. (2025). Effects of Oasis Evolution on Soil Microbial Community Structure and Function in Arid Areas. Forests, 16(2), 343. https://doi.org/10.3390/f16020343

