Reconciling Above- and Below-Ground Perspectives to Understand Ectomycorrhizal Community Diversity and Function
Abstract
1. Introduction
2. Materials and Methods
2.1. Study Areas
2.2. Experimental Design
2.3. Analysis of Ecto-Mycorrhizal Fruiting Body (EMFb) Community
2.4. Analysis of Ecto-Mycorrhizal Root Tips (EMRt) Community
2.5. Statistical Analysis
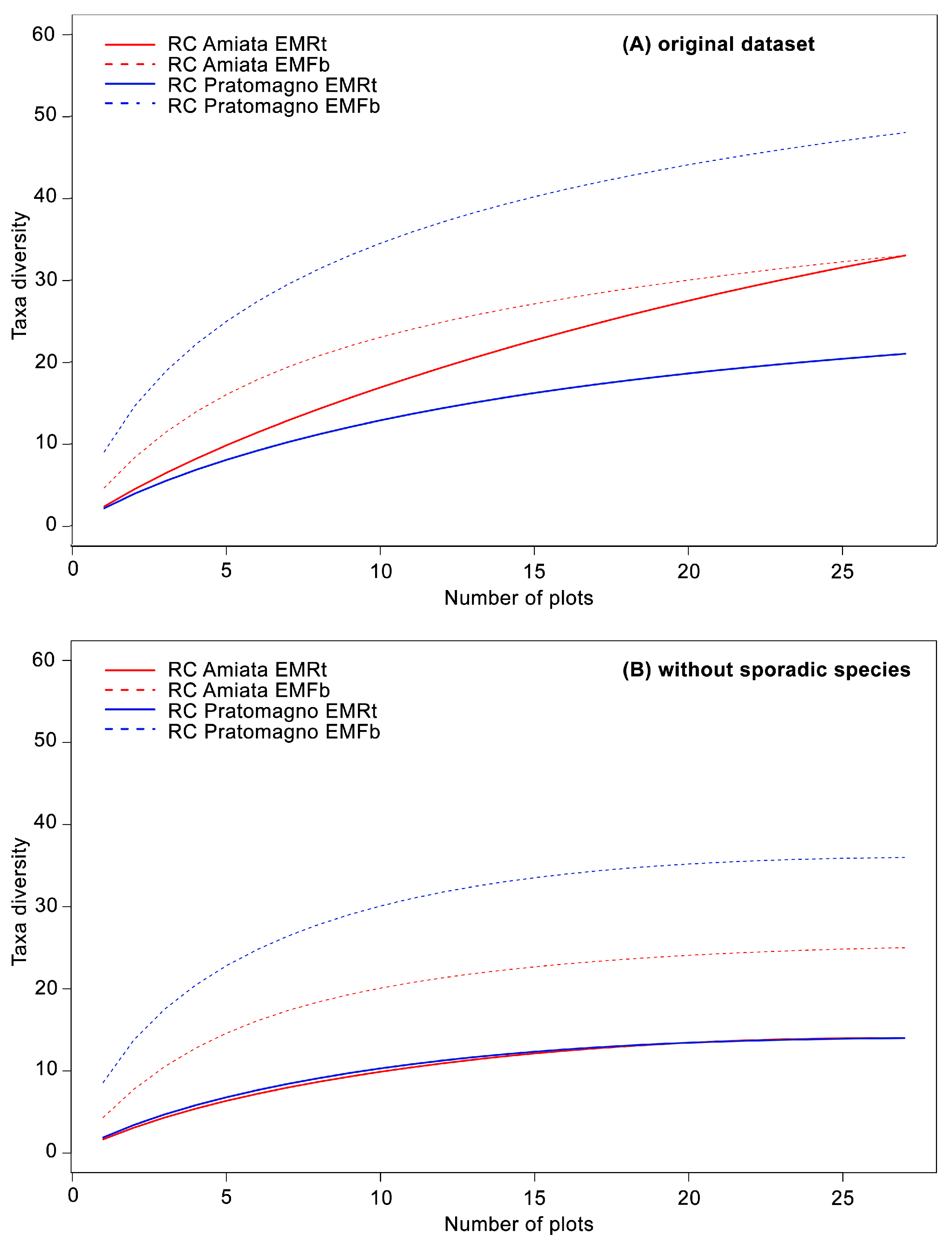
3. Results
4. Discussion
Supplementary Materials
Author Contributions
Funding
Data Availability Statement
Acknowledgments
Conflicts of Interest
References
- European Environment Agency. European Forests for Biodiversity, Climate Change Mitigation and Adaptation. Available online: https://climate-adapt.eea.europa.eu/en/metadata/publications/european-forests-for-biodiversity-climate-change-mitigation-and-adaptation (accessed on 8 August 2025).
- Hawkins, H.J.; Cargill, R.I.M.; Van Nuland, M.E.; Hagen, S.C.; Field, K.J.; Sheldrake, M.; Soudzilovskaia, N.A.; Kiers, E.T. Mycorrhizal mycelium as a global carbon pool. Curr. Biol. 2023, 33, R560–R573. [Google Scholar] [CrossRef] [PubMed]
- Bunn, R.A.; Corrêa, A.; Joshi, J.; Kaiser, C.; Lekberg, Y.; Prescott, C.E.; Sala, A.; Karst, J. What determines transfer of carbon from plants to mycorrhizal fungi? New Phytol. 2024, 244, 1199–1215. [Google Scholar] [CrossRef] [PubMed]
- De Dominicis, V.; Barluzzi, C. Coenological research on macrofungi in evergreen oakwoods in the hills near Siena (Italy). Vegetatio 1983, 54, 177–187. [Google Scholar] [CrossRef]
- Perini, C.; Barluzzi, C.; De Dominicis, V. Mycocoenological research on evergreen oak woods in the hills adjacent the Maremma coastline (NW of Grosseto, Italy). Phytocoenologia 1989, 17, 289–306. [Google Scholar] [CrossRef]
- Barluzzi, C.; Perini, C.; De Dominicis, V. Coenological research on macrofungi in chestnut coppices of Tuscany. Phytocoenologia 1992, 20, 449–465. [Google Scholar] [CrossRef]
- Laganà, A.; Salerni, E.; Barluzzi, C.; Perini, C.; De Dominicis, V. Mycocoenology and biomonitoring in Abies alba Miller woods of central-southern Tuscany (Italy). Acta Soc. Bot. Pol. 2000, 69, 293–298. [Google Scholar] [CrossRef]
- Dahlberg, A. Community ecology of ectomycorrhizal fungi: An advancing interdisciplinary field. New Phytol. 2000, 150, 555–562. [Google Scholar] [CrossRef]
- Salerni, E.; Laganà, A.; De Dominicis, V. Mycocoenological studies in deciduous oak woods of central-southern Tuscany (Italy). Cryptogam. Mycol. 2001, 22, 35–55. [Google Scholar] [CrossRef]
- Marmeisse, R.; Guidot, A.; Gay, G.; Lambilliotte, R.; Sentenac, H.; Combier, J.P.; Melayah, D.; Fraissinet-Tachet, L.; Debaud, J.C. Hebeloma cylindrosporum—A modelspecies to study ectomycorrhizals symbiosis from gene to ecosystem. New Phytol. 2004, 163, 481–498. [Google Scholar] [CrossRef]
- Anderson, I.C.; Cairney, J.W.G. Ectomycorrhizal fungi: Exploring the mycelial frontier. FEMS Microbiol. Rev. 2007, 31, 388–406. [Google Scholar] [CrossRef]
- Smith, M.E.; Douhan, G.W.; Rizzo, D.M. Ectomycorrhizal community structure in a xeric Quercus woodland based on rDNA sequence analysis of sporocarps and pooled roots. New Phytol. 2007, 174, 847–863. [Google Scholar] [CrossRef]
- Toju, H.; Tanabe, A.S.; Yamamoto, S.; Sato, H. High-Coverage ITS Primers for the DNA-Based Identification of Ascomycetes and Basidiomycetes in Environmental Samples. PLoS ONE 2012, 7, e40863. [Google Scholar] [CrossRef]
- Tedersoo, L.; Bahram, M.; Põlme, S.; Kõljalg, U.; Yorou, N.S.; Wijesundera, R.; Ruiz, L.V.; Vasco-Palacios, A.M.; Thu, P.Q.; Suija, A.; et al. Global diversity and geography of soil fungi. Science 2014, 346, 1256688. [Google Scholar] [CrossRef] [PubMed]
- Mello, A.; Balestrini, R. Recent Insights on Biological and Ecological Aspects of Ectomycorrhizal Fungi and Their Interactions. Front. Microbiol 2018, 9, 216. [Google Scholar] [CrossRef] [PubMed]
- Meidl, P.; Furneaux, B.; Tchan, K.I.; Kluting, K.; Ryberg, M.; Guissou, M.-L.; Soro, B.; Traoré, A.; Konomou, G.; Yorou, N.S. Rosling, Soil fungal communities of ectomycorrhizal dominated woodlands across West Africa. MycoKeys 2021, 81, 45–68. [Google Scholar] [CrossRef] [PubMed]
- Tóth, B.B.; Barta, Z. Ecological studies of ectomycorrhizal fungi: An analysis of survey methods. Fungal Divers. 2010, 45, 3–19. [Google Scholar] [CrossRef]
- Qi, M.; Suz, L.M.; Bidartondo, M.I.; Orme, C.D.L.; Delhaye, G.; Openshaw, I.; Tovar, C. Fruitbody and root data infer different environmental niches for ectomycorrhizal fungi. J. Biogeogr. 2024, 51, 2221–2236. [Google Scholar] [CrossRef]
- Maccherini, S.; Salerni, E.; Mocali, S.; Bianchetto, E.; Landi, S.; De Meo, I.; Di Salvatore, U.; Marchi, M.; Bacaro, G.; Tordoni, E.; et al. Silvicultural management does not affect biotic communities in conifer plantations in the short-term: A multi-taxon assessment using a BACI approach. For. Ecol. Manag. 2021, 493, 119257. [Google Scholar] [CrossRef]
- Cantiani, P. Il Diradamento Selettivo. Accrescere Stabilità e Biodiversità in Boschi Artificiali di Pino Nero; Manuale Tecnico SelPiBioLife; Compagnia delle Foreste: Arezzo, Italy, 2016. [Google Scholar]
- Cantiani, P.; Marchi, M. A spatial dataset of forest mensuration collected in black pine plantations in central Italy. Ann. For. Sci. 2017, 74, 50. [Google Scholar] [CrossRef]
- Arnolds, E. Ecology and coenology of macrofungi in grassland and moist heathland in Drenthe, The Netherlands. Bibl. Mycol. 1981, 90, 1–50. [Google Scholar]
- Salerni, E.; Perini, C. Macrofungal communities in Italian fir woods—Short-term effects of silviculture and its implication for conservation. Cryptogam. Mycol. 2010, 31, 251–283. [Google Scholar]
- Agerer, R. 1991—Characterization of ectomycorrhiza. In Techniques for the Study of Mycorrhiza. Methods in Microbiology; Norris, J.R., Read, D., Varma, A., Eds.; Academic Press: London, UK; Volume 23, pp. 25–73.
- Agerer, R. Colour Atlas of Ectomycorrhizas. Available online: https://www.nhbs.com/colour-atlas-of-ectomycorrhizae-parts-1-15-book (accessed on 7 August 2025).
- Iotti, M.; Zambonelli, A. A quick and precise technique for identifying ectomycorrhizas by PCR. Mycol. Res. 2006, 110, 60–65. [Google Scholar] [CrossRef]
- Leonardi, M.; Iotti, M.; Oddis, M.; Lalli, G.; Pacioni, G.; Leonardi, P.; Maccherini, S.; Perini, C.; Salerni, E.; Zambonelli, A. Assessment of ectomycorrhizal fungal communities in the natural habitats of Tuber magnatum (Ascomycota, Pezizales). Mycorrhiza 2013, 23, 349–358. [Google Scholar] [CrossRef]
- White, T.J.; Bruns, T.D.; Lee, S.; Taylor, J. Amplification and direct sequencing of fungal ribosomal RNA genes for phylogenetics. In PCR Protocols: A Guide to Methods and Applications; Innis, M.A., Gelfand, D.H., Sninsky, J.J., White, T.J., Eds.; Academic Press: San Diego, CA, USA, 1990; pp. 315–322. [Google Scholar]
- Gardes, M.; Bruns, T.D. ITS primers with enhanced specificity for basidiomycetes: Application to the identification of mycorrhizae and rusts. Mol. Ecol. 1993, 2, 113–118. [Google Scholar] [CrossRef]
- Paolocci, F.; Rubini, A.; Granetti, B.; Arcioni, S. Rapid molecular approach for a reliable identification of Tuber spp. ectomycorrhizas. FEMS Microbiol. Ecol. 1999, 28, 23–30. [Google Scholar] [CrossRef]
- Altschul, S.F.; Madden, T.L.; Schaffer, A.A.; Zhang, J.; Zhang, Z.; Miller, W.; Lipman, D.J. Gapped BLAST and PSI-BLAST: A new generation of protein database search programs. Nucleic Acids Res. 1997, 25, 3389–3402. [Google Scholar] [CrossRef] [PubMed]
- Landeweert, R.; Leeflang, P.; Kuyper, T.W.; Hoffland, E.; Rosling, A.; Wernars, K.; Smit, E. Molecular identification of ectomycorrhizal mycelium in soil horizons. Appl. Environ. Microbiol. 2003, 69, 327–333. [Google Scholar] [CrossRef] [PubMed]
- Gotelli, N.J.; Colwell, R.K. Quantifying biodiversity: Procedures and pitfalls in the measurement and comparison of species richness. Ecol. Lett. 2001, 4, 379–391. [Google Scholar] [CrossRef]
- Colwell, R.K.; Mao, C.X.; Chang, J. Interpolating, extrapolating, and comparing incidence-based species accumulation curves. Ecology 2004, 85, 2717–2727. [Google Scholar] [CrossRef]
- Chiarucci, A.; Bacaro, G.; Rocchini, D.; Ricotta, C.; Palmer, M.W.; Scheiner, S.M. Spatially constrained rarefaction: Incorporating the autocorrelated structure of biological communities into sample-based rarefaction. Community Ecol. 2009, 10, 209–214. [Google Scholar] [CrossRef]
- Chao, A.; Gotelli, N.J.; Hsieh, T.C.; Sander, E.L.; Ma, K.H.; Colwell, R.T.; Ellison, A.A. Rarefaction and extrapolation with Hill numbers: A framework for sampling and estimation in species diversity studies. Ecol. Monogr. 2014, 84, 45–67. [Google Scholar] [CrossRef]
- McCune, B.; Grace, J.B. Analysis of Ecological Communities; MjM Software Design: Gleneden Beach, OR, USA, 2002. [Google Scholar]
- Mantel, N. The detection of disease clustering and a generalized regression approach. Cancer Res. 1967, 27, 209–220. [Google Scholar] [PubMed]
- Anderson, M.J.; Gorley, R.N.; Clarke, K.R. PERMANOVA+ for PRIMER: Guide to Software and Statistical Methods; PRIMER-E Ltd.: Plymouth, UK, 2008. [Google Scholar]
- RStudio Team. RStudio: Integrated Development for R; RStudio, Inc.: Boston, MA, USA, 2016; Available online: http://www.rstudio.com (accessed on 20 October 2016).
- Salerni, E.; Laganà, A.; Perini, C.; Loppi, S.; De Dominicis, V. Effects of temperature and rainfall on fruiting of macrofungi in oak forests of the Mediterranean area. Isr. J. Plant Sci. 2002, 50, 189–198. [Google Scholar] [CrossRef]
- Salerni, E.; D’Aguanno, M.; Leonardi, P.; Perini, C. Ectomycorrhizal communities above and below ground and truffle productivity in a Tuber aestivum orchard. For. Syst. 2014, 23, 329–338. [Google Scholar] [CrossRef]
- Herrero, C.; Berraondo, I.; Bravo, F.; Pando, V.; Ordóñez, C.; Olaizola, J.; Martín-Pinto, P.; Oria de Rueda, J.A. Predicting Mushroom Productivity from Long-Term Field-Data Series in Mediterranean Pinus pinaster Ait. Forests in the Context of Climate Change. Forests 2019, 10, 206. [Google Scholar] [CrossRef]
- Alday, J.G.; Martínez de Aragón, J.; de-Miguel, S.; Bonet, J.A. Mushroom biomass and diversity are driven by different spatio-temporal scales along Mediterranean elevation gradients. Sci. Rep. 2017, 7, 45824. [Google Scholar] [CrossRef]
- Parladé, J.; Queralt, M.; Pera, J.; Bonet, J.A.; Castaño, C.; Martínez-Peña, F.; Piñol, J.; Senar, M.A.; De Miguel, A.M. Temporal dynamics of soil fungal communities after partial and total clear-cutting in a managed Pinus sylvestris stand. For. Ecol. Manag. 2019, 449, 117456. [Google Scholar] [CrossRef]
- Horton, T.R.; Bruns, T.D. The molecular revolution in ectomycorrhizal ecology: Peeking into the black-box. Mol. Ecol. 2001, 10, 1855–1871. [Google Scholar] [CrossRef]
- Tedersoo, L.; Nilsson, R.H.; Abarenkov, K.; Jairus, T.; Sadam, A.; Saar, I.; Bahram, M.; Bechem, E.; Chuyong, G.; Kõljalg, U. 454 Pyrosequencing and Sanger sequencing of tropical mycorrhizal fungi provide similar results but reveal substantial methodological biases. New Phytol. 2010, 188, 291–301. [Google Scholar] [CrossRef]
- Bahram, M.; Põlme, S.; Kõljalg, U.; Zarre, S.; Tedersoo, L. Regional and local patterns of ectomycorrhizal fungal diversity and community structure along an altitudinal gradient in the Hyrcanian forests of northern Iran. New Phytol. 2012, 193, 465–473. [Google Scholar] [CrossRef]
- Dickie, I.A. Host preference, niches and species richness: Understanding the diversity of ectomycorrhizal fungi. New Phytol. 2007, 174, 275–283. [Google Scholar] [CrossRef]
- Arnolds, E. The analysis and classification of fungal communities with special reference to macrofungi. In Fungi in Vegetation Science; Winterhoff, W., Ed.; Springer: Dordrecht, the Netherlands, 1992; pp. 7–48. [Google Scholar]
- Tedersoo, L.; Smith, M.E. Lineages of ectomycorrhizal fungi revisited: Foraging strategies and novel lineages revealed by sequences from belowground. Fungal Biol. Rev. 2013, 27, 83–99. [Google Scholar] [CrossRef]
- Collado, E.; Castaño, C.; Bonet, J.A.; Hagenbo, A.; de Aragón, J.M.; de-Miguel, S. Divergent above- and below-ground responses of fungal functional groups to forest thinning. Soil Biol. Biochem. 2020, 150, 108010. [Google Scholar] [CrossRef]
- Halme, P.; Kotiaho, J.S. The importance of timing and number of surveys in fungal biodiversity research. Biodivers. Conserv. 2012, 21, 205–219. [Google Scholar] [CrossRef]
- Nguyen, N.H.; Song, Z.; Bates, S.T.; Branco, S.; Tedersoo, L.; Menke, J.; Schilling, J.S.; Kennedy, P.G. FUNGuild: An open annotation tool for parsing fungal community datasets by ecological guild. Fungal Ecol. 2015, 20, 241–248. [Google Scholar] [CrossRef]
- Tedersoo, L.; Suvi, T.; Jairus, T.; Kõljalg, U. Forest microsite effects on community composition of ectomycorrhizal fungi on seedlings of Picea abies and Betula pendula. Environ. Microbiol. 2008, 10, 1189–1201. [Google Scholar] [CrossRef]
- van der Linde, S.; Suz, L.M.; Orme, C.D.L.; Cox, F.; Andreae, H.; Asi, E.; Atkinson, B.; Benham, S.; Carroll, C.; Cools, N.; et al. Environment and host as large-scale controls of ectomycorrhizal fungi. Nature 2018, 558, 243–248. [Google Scholar] [CrossRef]
- Smith, D.P.; Peay, K.G. Sequence depth, not PCR replication, improves ecological inference from next generation DNA sequencing. PLoS ONE 2014, 9, e90234. [Google Scholar] [CrossRef]
- Bahram, M.; Peay, K.G.; Tedersoo, L. Local-scale biogeography and spatiotemporal variability in communities of mycorrhizal fungi. New Phytol. 2015, 210, 1247–1259. [Google Scholar] [CrossRef]
- Taylor, D.L.; Walters, W.A.; Lennon, N.J.; Bochicchio, J.; Krohn, A.; Caporaso, J.G.; Pennanen, T. Accurate estimation of fungal diversity and abundance through improved lineage-specific primers optimized for Illumina amplicon sequencing. Appl. Environ. Microbiol. 2014, 82, 7217–7226. [Google Scholar] [CrossRef]
- Mujic, A.B.; Durall, D.M.; Spatafora, J.W.; Kennedy, P.G. Competitive avoidance not edaphic specialization drives vertical niche partitioning among sister species of ectomycorrhizal fungi. New Phytol. 2016, 209, 1174–1183. [Google Scholar] [CrossRef] [PubMed]
- Karst, J.; Erbilgin, N.; Pec, G.J.; Cigan, P.W.; Najar, A.; Simard, S.W.; Cahill, J.F. Ectomycorrhizal fungi mediate indirect effects of a bark beetle outbreak on secondary chemistry and establishment of pine seedlings. New Phytol. 2015, 208, 904–914. [Google Scholar] [CrossRef] [PubMed]
- Legendre, P.; Fortin, M.J. Comparison of the Mantel test and alternative approaches for detecting complex multivariate relationships in the spatial analysis of ecological data. Mol. Ecol. Resour. 2010, 10, 831–844. [Google Scholar] [CrossRef] [PubMed]
- Glassman, S.I.; Wang, I.J.; Bruns, T.D. Environmental filtering by pH and soil nutrients drives community assembly in fungi at fine spatial scales. Mol. Ecol. 2017, 26, 6960–6973. [Google Scholar] [CrossRef]
- Peay, K.; Kennedy, P.; Talbot, J. Dimensions of biodiversity in the Earth mycobiome. Nat. Rev. Microbiol. 2016, 14, 434–447. [Google Scholar] [CrossRef]
- Smith, S.E.; Read, D.J. Mycorrhizal Symbiosis, 3rd ed.; Academic Press: New York, NY, USA, 2008; pp. 1–787. [Google Scholar]
- Li, M.; Yuan, C.; Zhang Pang, W.; Zhang, P.; Xie, R.; Lian, C.; Zhang, T. The Transcriptional Responses of Ectomycorrhizal Fungus, Cenococcum geophilum, to Drought Stress. J. Fungi 2023, 9, 15. [Google Scholar] [CrossRef]
- Miller, O.K. The Gomphidiaceae revisited: A worldwide perspective. Mycologia 2003, 95, 176–183. [Google Scholar] [CrossRef]
- Yang, N.; Zhang, X.; Xu, T.; Chen, C.; Wang, W. Soil nutrients and plant diversity affect ectomycorrhizal fungal community structure and functional traits across three subalpine coniferous forests. Front. Microbiol. 2022, 13, 1016610. [Google Scholar] [CrossRef]
- Nilsson, R.H.; Larsson, K.-H.; Taylor, A.F.S.; Bengtsson-Palme, J.; Jeppesen, T.S.; Schigel, D.; Kennedy, P.; Picard, K.; Glöckner, F.O.; Tedersoo, L.; et al. The UNITE database for molecular identification of fungi: Handling dark taxa and parallel taxonomic classifications. Nucleic Acids Res. 2019, 47, D259–D264. [Google Scholar] [CrossRef]




| Source of Variation | df | MS | F |
|---|---|---|---|
| Zone | 1 | 30,797 | 8.5637 * |
| Type | 1 | 29,519 | 8.3906 * |
| Plot (Zone) | 16 | 3596.2 | 1.4652 * |
| Zone × Type | 1 | 15,583 | 4.4296 * |
| Plot (Zone) × Type | 16 | 3518.1 | 1.4334 * |
| Residual | 72 | 2454.4 | |
| Total | 107 |
| Type | Mt. Amiata | Pratomagno |
|---|---|---|
| t | t | |
| EMRt, EMFb | 2.1459 ** | 2.8237 * |
| Source of Variation | df | MS | F |
|---|---|---|---|
| Zone | 1 | 33,409 | 9.7458 * |
| Type | 1 | 33,970 | 10.305 * |
| Plot (Zone) | 16 | 3428 | 1.5868 * |
| Zone × Type | 1 | 15,301 | 4.6416 * |
| Plot (Zone) × Type | 16 | 3296.5 | 1.5259 * |
| Residual | 72 | 2160.4 | |
| Total | 107 |
| Type | Mt. Amiata | Pratomagno |
|---|---|---|
| t | t | |
| EMRt, EMFb | 2.4087 ** | 2.9735 * |
| Taxon | Av. Density EMRt | Av. Density EMFb | Av. Diss | Diss/SD | Contrib% |
|---|---|---|---|---|---|
| Lac san | 0.33 | 0.26 | 9.32 | 0.57 | 9.65 |
| Phe nig | 0.00 | 0.41 | 6.13 | 0.72 | 6.35 |
| Cen geo | 0.30 | 0.00 | 5.85 | 0.54 | 6.06 |
| Tr psa | 0.00 | 0.33 | 5.34 | 0.47 | 5.53 |
| Sui lut | 0.07 | 0.30 | 5.59 | 0.60 | 5.80 |
| Taxon | Av. Density EMRt | Av. Density EMFb | Av. Diss | Diss/SD | Contrib% |
|---|---|---|---|---|---|
| Ino geo | 0.00 | 0.70 | 6.90 | 1.22 | 7.82 |
| Chr rut | 0.00 | 0.70 | 6.83 | 1.37 | 7.74 |
| Ru xer | 0.48 | 0.93 | 6.21 | 0.80 | 7.04 |
| Sui gra | 0.00 | 0.56 | 6.12 | 0.95 | 6.94 |
| Tr por | 0.07 | 0.48 | 4.49 | 0.86 | 5.09 |
Disclaimer/Publisher’s Note: The statements, opinions and data contained in all publications are solely those of the individual author(s) and contributor(s) and not of MDPI and/or the editor(s). MDPI and/or the editor(s) disclaim responsibility for any injury to people or property resulting from any ideas, methods, instructions or products referred to in the content. |
© 2025 by the authors. Licensee MDPI, Basel, Switzerland. This article is an open access article distributed under the terms and conditions of the Creative Commons Attribution (CC BY) license (https://creativecommons.org/licenses/by/4.0/).
Share and Cite
Salerni, E.; Barbato, D.; Leonardi, P.; Perini, C.; Maccherini, S. Reconciling Above- and Below-Ground Perspectives to Understand Ectomycorrhizal Community Diversity and Function. Forests 2025, 16, 1712. https://doi.org/10.3390/f16111712
Salerni E, Barbato D, Leonardi P, Perini C, Maccherini S. Reconciling Above- and Below-Ground Perspectives to Understand Ectomycorrhizal Community Diversity and Function. Forests. 2025; 16(11):1712. https://doi.org/10.3390/f16111712
Chicago/Turabian StyleSalerni, Elena, Debora Barbato, Pamela Leonardi, Claudia Perini, and Simona Maccherini. 2025. "Reconciling Above- and Below-Ground Perspectives to Understand Ectomycorrhizal Community Diversity and Function" Forests 16, no. 11: 1712. https://doi.org/10.3390/f16111712
APA StyleSalerni, E., Barbato, D., Leonardi, P., Perini, C., & Maccherini, S. (2025). Reconciling Above- and Below-Ground Perspectives to Understand Ectomycorrhizal Community Diversity and Function. Forests, 16(11), 1712. https://doi.org/10.3390/f16111712

