Terpene Compound Composition and Antioxidant Activity of Essential Oils from Needles of Pinus densiflora, Pinus koraiensis, Abies holophylla, and Juniperus chinensis by Harvest Period
Abstract
1. Introduction
2. Materials and Methods
2.1. Sampling and Essential Oil Extraction
2.2. Compounds Analysis of Essential Oils
2.3. HaCaT Cell Viability
2.4. Antioxidant Activity
2.5. Statistical Analysis
3. Results
3.1. Research Site and Essential Oil Extraction
3.2. Terpene Compound by Each Harvest Period of Essential Oils Extracted from Needles of P. densiflora, P. koraiensis, A. holophylla, and J. chinensis
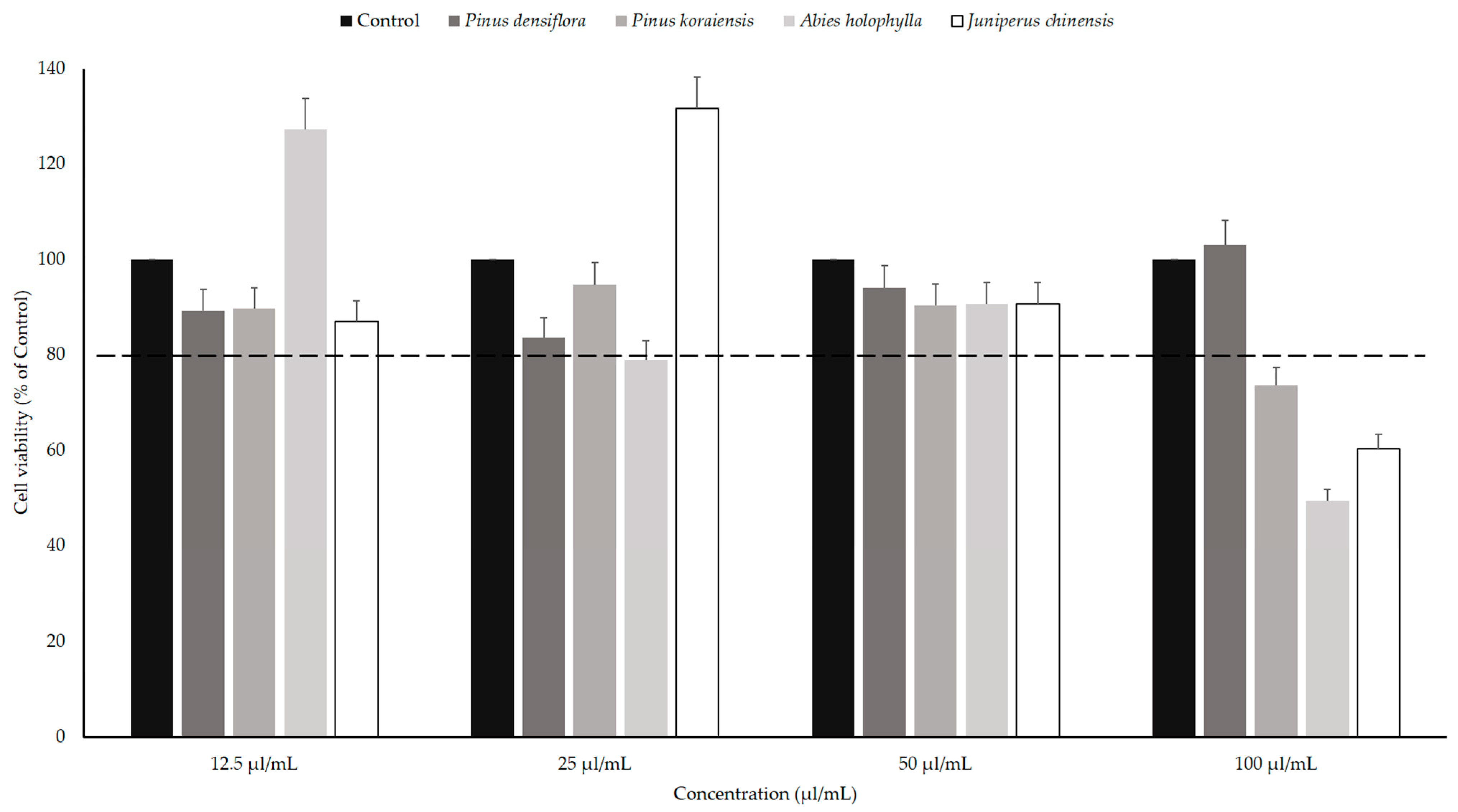
3.3. HaCaT Cell Viability
3.4. Antioxidant Activity of Essential Oils Extracted from Needles of P. densiflora, P. koraiensis, A. holophylla, and J. chinensis by Each Harvest Period
4. Discussion
5. Conclusions
Supplementary Materials
Author Contributions
Funding
Data Availability Statement
Conflicts of Interest
References
- Ahmad, A.; Elisha, I.L.; van Vuuren, S.; Viljoen, A. Volatile phenolics: A comprehensive review of the anti-infective properties of an important class of essential oil constituents. Phytochemistry 2021, 190, 112864. [Google Scholar] [CrossRef]
- Yang, J.; Choi, W.-S.; Jeung, E.-B.; Kim, K.-J.; Park, M.-J. Anti-inflammatory effect of essential oil extracted from Pinus densiflora (Sieb. et Zucc.) wood on RBL-2H3 cells. J. Wood Sci. 2021, 67, 52. [Google Scholar] [CrossRef]
- Ebenezer, K.S.; Manivannan, R.; Punniyamoorthy, A.; Tamilselvan, C. Plant secondary metabolites of antiviral properties a rich medicinal source for drug discovery: A mini review. J. Drug Deliv. Ther. 2019, 9, 161–167. [Google Scholar] [CrossRef]
- Haro-González, J.N.; Castillo-Herrera, G.A.; Martínez-Velázquez, M.; Espinosa-Andrews, H. Clove essential oil (Syzygium aromaticum L. Myrtaceae): Extraction, chemical composition, food applications, and essential bioactivity for human health. Molecules 2021, 26, 6387. [Google Scholar] [CrossRef]
- Singh, A.; Jones, S.; Ganapathysubramanian, B.; Sarkar, S.; Mueller, D.; Sandhu, K.; Nagasubramanian, K. Challenges and opportunities in machine-augmented plant stress phenotyping. Trends Plant Sci. 2021, 26, 53–69. [Google Scholar] [CrossRef]
- Thalappil, M.A.; Butturini, E.; de Prati, A.C.; Bettin, I.; Antonini, L.; Sapienza, F.U.; Garzoli, S.; Ragno, R.; Mariotto, S. Pinus mugo essential oil impairs STAT3 activation through oxidative stress and induces apoptosis in prostate cancer cells. Molecules 2022, 27, 4834. [Google Scholar] [CrossRef]
- Cox-Georgian, D.; Ramadoss, N.; Dona, C.; Basu, C. Therapeutic and medicinal uses of terpenes. In Medicinal Plants: From Farm to Pharmacy; Joshee, N., Dhekney, S.A., Parajuli, P., Eds.; Springer: Cham, Switzerland, 2019; pp. 333–359. [Google Scholar]
- Boyom, F.F.; Ngouana, V.; Kemgne, E.A.; Zollo, P.H.; Menut, C.; Bessiere, J.M.; Gut, J.; Rosenthal, P.J. Antiplasmodial volatile extracts from Cleistopholis patens Engler & Diels and Uvariastrum pierreanum Engl. (Engl. & Diels) (Annonaceae) growing in Cameroon. Parasitol. Res. 2011, 108, 1211–1217. [Google Scholar]
- Lo’ay, A.; Abu-Orabi, S.T.; Hlail, H.M.; Alkhatib, R.Q.; Al-Dalahmeh, Y.; Al-Qudah, M.A. Anthemis cotula L. from Jordan: Essential oil composition, LC-ESI-MS/MS profiling of phenolic acids-flavonoids and in vitro antioxidant activity. Arab. J. Chem. 2023, 16, 104470. [Google Scholar]
- Santos, E.S.; Abrantes Coelho, G.L.; Saraiva Fontes Loula, Y.K.; Saraiva Landim, B.L.; Fernandes Lima, C.N.; Tavares de Sousa Machado, S.; Pereira Lopes, M.J.; Soares Gomes, A.D.; Martins da Costa, J.G.; Alencar de Menezes, I.R.; et al. Hypoglycemic, hypolipidemic, and anti-inflammatory effects of beta-Pinene in diabetic rats. Evid. Based Complement. Alternat. Med. 2022, 2022, 8173307. [Google Scholar] [CrossRef]
- Chen, M.; Chen, L.-F.; Li, M.-M.; Li, N.-P.; Cao, J.-Q.; Wang, Y.; Li, Y.-L.; Wnag, L.; Ye, W.-C. Myrtucomvalones A–C, three unusual triketone-sesquiterpene adducts from the leaves of Myrtus communis ‘Variegata’. RSC Adv. 2017, 7, 22735–22740. [Google Scholar] [CrossRef]
- Sobral, M.V.; Xavier, A.L.; Lima, T.C.; de Sousa, D.P. Antitumor activity of monoterpenes found in essential oils. Sci. World J. 2014, 2014, 953451. [Google Scholar] [CrossRef]
- Bahramsoltani, R.; Farzaei, M.H.; Farahani, M.S.; Rahimi, R. Phytochemical constituents as future antidepressants: A comprehensive review. Rev. Neurosci. 2015, 26, 699–719. [Google Scholar] [CrossRef]
- Abad, M.J.; Bedoya, L.M.; Apaza, L.; Bermejo, P. The Artemisia L.genus: A review of bioactive essential oils. Molecules 2012, 17, 2542–2566. [Google Scholar] [CrossRef]
- Perry, N.S.; Houghton, P.J.; Theobald, A.; Jenner, P.; Perry, E.K. In-vitro inhibition of human erythrocyte acetylcholinesterase by salvia lavandulaefolia essential oil and constituent terpenes. J. Pharm. Pharmacol. 2000, 52, 895–902. [Google Scholar] [CrossRef]
- Carson, C.F.; Hammer, K.A.; Riley, T.V. Melaleuca alternifolia (Tea Tree) oil: A review of antimicrobial and other medicinal properties. Clin. Microbiol. Rev. 2006, 19, 50–62. [Google Scholar] [CrossRef]
- Sharmeen, J.B.; Mahomoodally, F.M.; Zengin, G.; Maggi, F. Essential oils as natural sources of fragrance compounds for cosmetics and cosmeceuticals. Molecules 2021, 26, 666. [Google Scholar] [CrossRef] [PubMed]
- Cavanaugh, J.L. Examining the Differential Effects of Natural and Synthetic Aromas of Lavender and Peppermint on Cognition, Mood, and Subjective Workload. Ph.D. Dissertation, University of Colorado Denver, Denver, CO, USA, 2013. [Google Scholar]
- Irshad, M.; Subhani, M.A.; Ali, S.; Hussain, A. Biological importance of essential oils. In Essential Oils-Oils of Nature; El-Shemy, H.A., Ed.; IntechOpen: London, UK, 2020; pp. 37–40. [Google Scholar]
- Lee, S.H.; Chow, P.S.; Yagnik, C.K. Developing eco-friendly skin care formulations with microemulsions of essential oil. Cosmetics 2022, 9, 30. [Google Scholar] [CrossRef]
- Guzmán, E.; Lucia, A. Essential oils and their individual components in cosmetic products. Cosmetics 2021, 8, 114. [Google Scholar] [CrossRef]
- Mouhoub, A.; Guendouz, A.; Belkamel, A.; Talibo, Z.E.A.; Koraochi, S.I.; Modafar, C.E.; Delattre, C. Assessment of the antioxidant, antimicrobial and antibiofilm activities of essential oils for potential application of active chitosan films in food preservation. World J. Microbiol. Biotechnol. 2022, 38, 179. [Google Scholar] [CrossRef] [PubMed]
- Li, X.; Liu, M.; Huang, T.; Yang, K.; Zhou, S.; Li, Y.; Tian, J. Antifungal effect of nerol via transcriptome analysis and cell growth repression in sweet potato spoilage fungi Ceratocystis fimbriata. Postharvest Biol. Technol. 2021, 171, 111343. [Google Scholar] [CrossRef]
- Cardoso-Ugarte, G.A.; Sosa-Morales, M.E. Essential oils from herbs and spices as natural antioxidants: Diversity of promising food applications in the past decade. Food Rev. Int. 2022, 38, 403–433. [Google Scholar] [CrossRef]
- Butnariu, M.; Sarac, I. Essential oils from plants. J. Biotechnol. Biomed. Sci. 2018, 1, 35–43. [Google Scholar] [CrossRef]
- Aziz, Z.A.A.; Ahmad, A.; Setapar, S.H.M.; Karakucuk, A.; Azim, M.M.; Lokhat, D.; Rafatullah, M.; Ganash, M.; Kamal, M.A.; Ashraf, G.M. Essential oils: Extraction techniques, pharmaceutical and therapeutic potential-a review. Curr. Drug Metab. 2018, 19, 1100. [Google Scholar] [CrossRef]
- Michalak, M. Plant-derived antioxidants: Significance in skin health and the ageing process. Int. J. Mol. Sci. 2022, 23, 585. [Google Scholar] [CrossRef]
- Yasin, M.; Younis, A.; Ramzan, F.; Javed, T.; Shabbir, R.; Noushahi, H.A.; Skalicky, M.; Ondrisik, P.; Brestic, M.; Hassan, S.; et al. Extraction of essential oil from river tea tree (Melaleuca bracteata F. Muell.): Antioxidant and antimicrobial properties. Sustainability 2021, 13, 4827. [Google Scholar] [CrossRef]
- Morais, F.P.; Simões, R.M.; Curto, J.M. Biopolymeric delivery systems for cosmetic applications using Chlorella vulgaris algae and tea tree essential oil. Polymers 2020, 12, 2689. [Google Scholar] [CrossRef]
- Zeragui, B.; Hachem, K.; Halla, N.; Kahloula, K. Essential oil from Artemisia judaica L. (ssp. sahariensis) flowers as a natural cosmetic preservative: Chemical composition, and antioxidant and antibacterial activities. J. Essent. Oil-Bear. Plants 2019, 22, 685–694. [Google Scholar] [CrossRef]
- Abelan, U.S.; De Oliveira, A.C.; Cacoci, É.S.P.; Martins, T.E.A.; Giacon, V.M.; Velasco, M.V.R.; Lima, C.R.R.C. Potential use of essential oils in cosmetic and dermatological hair products: A review. J. Cosmet. Dermatol. 2022, 21, 1407–1418. [Google Scholar] [CrossRef]
- Maurya, A.; Prasad, J.; Das, S.; Dwivedy, A.K. Essential oils and their application in food safety. Front. Sustain. Food Syst. 2021, 5, 653420. [Google Scholar] [CrossRef]
- Swor, K.; Satyal, P.; Poudel, A.; Setzer, W.N. Gymnosperms of Idaho: Chemical compositions and enantiomeric distributions of essential oils of Abies lasiocarpa, Picea engelmannii, Pinus contorta, Pseudotsuga menziesii, and Thuja plicata. Molecules 2023, 28, 2477. [Google Scholar] [CrossRef] [PubMed]
- Kong, W.-S. Species composition and distribution of native Korean conifers. J. Korean Geogr. Soc. 2004, 39, 528–543. [Google Scholar]
- Dziedziński, M.; Kobus-Cisowska, J.; Stachowiak, B. Pinus species as prospective reserves of bioactive compounds with potential use in functional food-Current state of knowledge. Plants 2021, 10, 1306. [Google Scholar] [CrossRef]
- Silori, G.K.; Kushwaha, N.; Kumar, V. Essential oils from pines: Chemistry and applications. In Essential oil Research: Trends in Biosynthesis, Analytics, Industrial Applications and Biotechnological Production; Malik, S., Ed.; Springer: Cham, Switzerland, 2019; pp. 275–297. [Google Scholar]
- Lee, S.M.; Kim, Y.H.; Kim, Y.R.; Lee, B.-R.; Shin, S.; Kim, J.Y.; Jung, I.C.; Lee, M.Y. Anti-fatigue potential of Pinus koraiensis leaf extract in an acute exercise-treated mouse model. Biomed. Pharmacother. 2022, 153, 113501. [Google Scholar] [CrossRef]
- Yang, J.; Chol, W.-S.; Kim, J.-W.; Lee, S.-S.; Park, M.-J. Anti-inflammatory effect of essential oils extracted from wood of four coniferous tree species. J. Korean Wood Sci. Technol. 2019, 47, 674–691. [Google Scholar] [CrossRef]
- Zhang, Y.; Xin, C.; Cheng, C.; Wang, Z. Antitumor activity of nanoemulsion based on essential oil of Pinus koraiensis pinecones in MGC-803 tumor-bearing nude mice. Arab. J. Chem. 2020, 13, 8226–8238. [Google Scholar] [CrossRef]
- Lee, S.-Y.; Kim, S.-H.; Park, M.-J.; Lee, S.-S.; Choi, I.-G. Antibacterial activity of essential oil from Abies holophylla against respiratory tract bacteria. J. Korean Wood Sci. Technol. 2014, 42, 533–542. [Google Scholar] [CrossRef]
- Ahn, C.; Yoo, Y.-M.; Park, M.-J.; Ham, Y.; Yang, J.; Jeung, E.-B. Cytotoxic evaluation of the essential oils from Korean native plant on human skin and lung cells. J. Korean Wood Sci. Technol. 2021, 49, 371–383. [Google Scholar] [CrossRef]
- Khamis, A.-D.S.; Chai, L.C. Chemical and antimicrobial analyses of Juniperus chinensis and Juniperus seravschanica essential oils and comparison with their methanolic crude extracts. Int. J. Anal. Chem. 2021, 2021, 9937522. [Google Scholar] [CrossRef] [PubMed]
- Snezhkina, A.V.; Kudryavtseva, A.V.; Kardymon, O.L.; Savvateeva, M.V.; Melnikova, N.V.; Krasnov, G.S.; Dmitriev, A.A. ROS generation and antioxidant defense systems in normal and malignant cells. Oxid. Med. Cell. Longev. 2019, 2019, 6175804. [Google Scholar] [CrossRef]
- Kumari, S.; Badana, A.K.; Malla, R. Reactive oxygen species: A key constituent in cancer survival. Biomark. Insights 2018, 13, 1177271918755391. [Google Scholar] [CrossRef] [PubMed]
- Anthony, K.P.; Deolu-Sobogun, S.A.; Saleh, M.A. Comprehensive assessment of antioxidant activity of essential oils. J. Food Sci. 2012, 77, 839–843. [Google Scholar] [CrossRef]
- Ruberto, G.; Baratta, M.T. Antioxidant activity of selected essential oil components in two lipid model systems. Food Chem. 2000, 69, 167–174. [Google Scholar] [CrossRef]
- Farhadi, N.; Babaei, K.; Farsaraei, S.; Moghaddam, M.; Pirbalouti, A.G. Changes in essential oil compositions, total phenol, flavonoids and antioxidant capacity of Achillea millefolium at different growth stages. Ind. Crops Prod. 2020, 152, 112570. [Google Scholar] [CrossRef]
- Esmaeili, H.; Karami, A.; Maggi, F. Essential oil composition, total phenolic and flavonoids contents, and antioxidant activity of Oliveria decumbens Vent. (Apiaceae) at different phenological stages. J. Clean. Prod. 2018, 198, 91–95. [Google Scholar] [CrossRef]
- Bartwal, A.; Mall, R.; Lohani, P.; Guru, S.K.; Arora, S. Role of secondary metabolites and brassinosteroids in plant defense against environmental stresses. J. Plant Growth Regul. 2013, 32, 216–232. [Google Scholar] [CrossRef]
- Guleria, S.; Apurva Koul, A.K.; Gupta, S.; Singh, G.; Razdan, V.K. Antioxidant and antimicrobial properties of the essential oil and extracts of Zanthoxylum alatum grown in north-western Himalaya. Sci. World J. 2013, 2013, 790580. [Google Scholar] [CrossRef]
- Mothana, R.A.; Al-Said, M.S.; Al-Yahya, M.A.; Al-Rehaily, A.J.; Khaled, J.M. GC and GC/MS analysis of essential oil composition of the endemic Soqotraen Leucas virgata Balf.f. and its antimicrobial and antioxidant activities. Int. J. Mol. Sci. 2013, 14, 23129–23139. [Google Scholar] [CrossRef]
- Selli, S.; Gubbuk, H.; Kafkas, E.; Gunes, E. Comparison of aroma compounds in Dwarf Cavendish banana (Musa spp. AAA) grown from open-field and protected cultivation area. Sci. Hortic. 2012, 141, 76–82. [Google Scholar] [CrossRef]
- Torres-Martínez, R.; García-Rodríguez, Y.M.; Ríos-Chávez, P.; Saavedra-Molina, A.; López-Meza, J.E.; Ochoa-Zarzosa, A.; Garciglia, R.S. Antioxidant activity of the essential oil and its major terpenes of Satureja macrostema (Moc. and Sessé ex Benth.) Briq. Pharmacogn. Mag. 2018, 13, s875–s880. [Google Scholar]
- Kim, M.J. The Synthesis of Polyphenolic Natural Product and Their Antioxidant Activity Test by ABTS Assay. Ph.D. Dissertation, Hallym University, Chuncheon, Republic of Korea, 2012. [Google Scholar]
- Korea Meteorological Administration. Available online: https://www.weather.go.kr/w/index.do (accessed on 3 March 2024).
- Korean Soil Information System. Available online: https://soil.rda.go.kr/eng/soils/survey.jsp (accessed on 3 March 2024).
- Standard ISO 10993-5:2009; Biological Evaluation of Medical Devices-Part 5: Tests for In Vitro Cytotoxicity. International Organization for Standardization: Geneva, Switzerland, 2009.
- Yousefi, M.; Rahimi-Nasrabadi, M.; Pourmortazavi, S.M.; Wysokowski, M.; Jesionowski, T.; Ehrlich, H.; Mirsadeghi, S. Supercritical fluid extraction of essential oils. TrAC Trends Anal. Chem. 2019, 118, 182–193. [Google Scholar] [CrossRef]
- Fagbemi, K.O.; Aina, D.A.; Olajuyigbe, O.O. Soxhlet extraction versus hydrodistillation using the clevenger apparatus: A comparative study on the extraction of a volatile compound from Tamarindus indica seeds. Sci. World J. 2021, 2021, 5961586. [Google Scholar] [CrossRef]
- Abbas, A.; Anwar, F.; Alqahtani, S.M.; Ahmad, N.; Al-Mijalli, S.H.; Shahid, M.; Iqba, M. Hydro-distilled and supercritical fluid extraction of Eucalyptus camaldulensis essential oil: Characterization of bioactives along with antioxidant, antimicrobial and antibiofilm activities. Dose-Response 2022, 20, 15593258221125477. [Google Scholar] [CrossRef]
- Matuka, T.; Oyedeji, P.; Gondwe, M.; Oyedeji, A. Chemical composition and in vivo anti-inflammatory activity of essential oils from Citrus sinensis (L.) osbeck growing in South Africa. J. Essent. Oil-Bear. Plants 2020, 23, 638–647. [Google Scholar] [CrossRef]
- Lee, H.-Y.; Leem, M.-H.; Kim, C.-S. An analysis on essential oil of Tea tree and Lemon by GC. J. Korea Soc. B & A 2003, 4, 287–301. [Google Scholar]
- de Moura, D.F.; Rocha, T.A.; de Melo Barros, D.; da Silva, M.M.; Dos Santos Santana, M.; Neta, B.M.; Cavalcanti, I.M.F.; Martins, R.D.; da Silva, M.V. Evaluation of the antioxidant, antibacterial, and antibiofilm activity of the sesquiterpene nerolidol. Arch. Microbiol. 2021, 203, 4303–4311. [Google Scholar] [CrossRef]
- Dahham, S.S.; Tabana, Y.M.; Iqbal, M.A.; Ahamed, M.B.; Ezzat, M.O.; Majid, A.S.; Majid, A.M. The anticancer, antioxidant and antimicrobial properties of the sesquiterpene β-Caryophyllene from the essential oil of Aquilaria crassna. Molecules 2015, 20, 11808–11829. [Google Scholar] [CrossRef]
- Paço, A.; Brás, T.; Santos, J.O.; Sampaio, P.; Gomes, A.C.; Duarte, M.F. Anti-inflammatory and immunoregulatory action of sesquiterpene lactones. Molecules 2022, 27, 1142. [Google Scholar] [CrossRef]
- Lee, J.-H.; Lee, B.-K.; Kim, J.-H.; Lee, S.H.; Hong, S.-K. Comparison of chemical compositions and antimicrobial activities of essential oils from three conifer trees; Pinus densiflora, Cryptomeria japonica, and Chamaecyparis obtusa. J. Microbiol. Biotechnol. 2009, 19, 391–396. [Google Scholar] [CrossRef]
- Park, J.-S.; Lee, G.-H. Volatile compounds and antimicrobial and antioxidant activities of the essential oils of the needles of Pinus densiflora and Pinus thunbergii. J. Sci. Food Agric. 2011, 91, 703–709. [Google Scholar] [CrossRef]
- Yang, X.; Zhang, Y.; Zhang, H.; Zhao, H.; Dong, A.; Xu, D.; Yang, L.; Ma, Y.; Wang, J. Analysis of the essential oils of pine cones of Pinus koraiensis Steb. Et Zucc. and P. sylvestris L. from China. J. Essent. Oil Res. 2010, 22, 446–448. [Google Scholar] [CrossRef]
- Jang, S.-K.; Lee, S.-Y.; Kim, S.-H.; Hong, C.-Y.; Park, M.-J.; Choi, I.-G. Antifungal activities of essential oils from six conifers against Aspergillus fumigatus. J. Korean Wood Sci. Technol. 2012, 40, 133–140. [Google Scholar] [CrossRef]
- Kim, H.; Lee, B.; Yun, K.W. Comparison of chemical composition and antimicrobial activity of essential oils from three Pinus species. Ind. Crops Prod. 2013, 44, 323–329. [Google Scholar] [CrossRef]
- Raina, V.; Srivastava, S.; Syamsundar, K. Essential oil composition of Juniperus chinensis from the plains of northern India. Flavour Fragr. J. 2005, 20, 57–59. [Google Scholar] [CrossRef]
- Yun, M.S.; Cho, H.M.; Yeon, B.-R.; Choi, J.S.; Kim, S. Herbicidal activities of essential oils from pine, nut pine, larch and khingan fir in Korea. Weed Turfgrass Sci. 2013, 2, 30–37. [Google Scholar] [CrossRef]
- Choi, J.-W.; Kim, R. Antimicrobial activity of essential oil of Pinus koraiensis seed against pathogens related to acne. KSBB J. 2014, 29, 179–182. [Google Scholar] [CrossRef]
- Hou, K.; Bao, M.; Wang, L.; Zhang, H.; Yang, L.; Zhao, H.; Wang, Z. Aqueous enzymatic pretreatment ionic liquid–lithium salt based microwave–assisted extraction of essential oil and procyanidins from pinecones of Pinus koraiensis. J. Clean. Prod. 2019, 236, 117581. [Google Scholar] [CrossRef]
- Lee, J.-H.; Yang, H.-Y.; Lee, H.-S.; Hong, S.-K. Chemical composition and antimicrobial activity of essential oil from cones of Pinus koraiensis. J. Microbiol. Biotechnol. 2008, 18, 497–502. [Google Scholar]
- Lee, J.-H.; Hong, S.-K. Comparative analysis of chemical compositions and antimicrobial activities of essential oils from Abies holophylla and Abies koreana. J. Microbiol. Biotechnol. 2009, 19, 372–377. [Google Scholar] [CrossRef]
- Allenspach, M.; Steuer, C. α-Pinene: A never-ending story. Phytochemistry 2021, 190, 112857. [Google Scholar] [CrossRef]
- Zhang, H.; Zou, P.; Zhao, H.; Qiu, J.; Regenstein, J.M.; Yang, X. Isolation, purification, structure and antioxidant activity of polysaccharide from pinecones of Pinus koraiensis. Carbohydr. Polym. 2021, 251, 117078. [Google Scholar] [CrossRef]
- Yang, J.; Choi, W.-S.; Kim, K.-J.; Eom, C.-D.; Park, M.-J. Investigation of active anti-Inflammatory constituents of essential oil from Pinus koraiensis (Sieb. et Zucc.) wood in LPS-stimulated RBL-2H3 cells. Biomolecules 2021, 11, 817. [Google Scholar] [CrossRef]
- Zhang, Y.; Xin, C.; Qiu, J.; Wang, Z. Essential oil from Pinus Koraiensis pinecones inhibits gastric cancer cells via the HIPPO/YAP signaling pathway. Molecules 2019, 24, 3851. [Google Scholar] [CrossRef]
- Seong, E.S.; Kim, S.K.; Lee, J.W.; Choi, S.H.; Yoo, J.H.; Lim, J.D.; Na, J.K.; Yu, C.Y. Antioxidant and antibacterial activities of the byproducts of Abies holophylla extract. Korean J. Med. Crop Sci. 2018, 26, 134–140. [Google Scholar]
- Elshafie, H.S.; Caputo, L.; De Martino, L.; Gruľová, D.; Zheljazkov, V.Z.; De Feo, V.; Camele, I. Biological investigations of essential oils extracted from three Juniperus species and evaluation of their antimicrobial, antioxidant and cytotoxic activities. J. Appl. Microbiol. 2020, 129, 1261–1271. [Google Scholar] [CrossRef] [PubMed]
- Lee, S.-Y.; Lee, D.-S.; Cho, S.-M.; Kim, J.-C.; Park, M.-J.; Choi, I.-G. Antioxidant properties of 7 domestic essential oils and identification of physiologically active components of essential oils against Candida albicans. J. Korean Wood Sci. Technol. 2021, 49, 23–43. [Google Scholar] [CrossRef]
- Anandakumar, P.; Kamaraj, S.; Vanitha, M.K. D-limonene: A multifunctional compound with potent therapeutic effects. J. Food Biochem. 2021, 45, e13566. [Google Scholar] [CrossRef]
- Casiglia, S.; Bruno, M.; Bramucci, M.; Quassinti, L.; Lupidi, G.; Fiorini, D.; Maggi, F. Kundmannia sicula (L.) DC: A rich source of germacrene D. J. Essent. Oil Res. 2017, 29, 437–442. [Google Scholar] [CrossRef]
- Amorati, R.; Foti, M.C.; Valgimigli, L. Antioxidant activity of essential oils. J. Agric. Food Chem. 2013, 61, 10835–10847. [Google Scholar] [CrossRef]
- Kurti, F.; Giorgo, A.; Beretta, G.; Mustafa, B.; Gelmini, F.; Testa, C.; Angioletti, S.; Giupponi, L.; Zilio, E.; Pentimalli, D.; et al. Chemical composition, antioxidant and antimicrobial activities of essential oils of different Pinus species from Kosovo. J. Essent. Oil Res. 2019, 31, 263–275. [Google Scholar] [CrossRef]
- Wang, Y.; Wang, L.; Tan, J. Comparative analysis of intracellular and in vitro antioxidant activities of essential oil from white and black pepper (Piper nigrum L.). Front. Pharmacol. 2021, 12, 680754. [Google Scholar] [CrossRef]





| Column | DB-5MS UI, 30 m length, 0.25 mm dia., 0.25 μm Film |
| Mass range | 40~500 m/z |
| Inlet Temp. | 250 °C |
| Ion source Temp. | 350 °C |
| Carrier gas | He gas, 1.0 mL/min |
| Injection volume | 0.5 mL |
| Spilt ratio | 20:1 |
| Ionization | EI(electron impact) 70 eV |
| Temp. program | 50 °C (4 min) → 3 °C/min → 230 °C (5 min) |
| Species | Harvest Day | Oil Yield (%) | Temperature (°C) | Relative Humidity (%) |
|---|---|---|---|---|
| Pinus densiflora | 8 February 2022 | 0.14 | 0.2 | 45.8 |
| 19 April 2022 | 0.2 | 16.2 | 35.3 | |
| 4 July 2022 | 0.3 | 28.8 | 71 | |
| 24 October 2022 | 0.28 | 10.9 | 46.9 | |
| Pinus koraiensis | 9 February 2022 | 0.3 | 1.4 | 43 |
| 20 April 2022 | 0.4 | 16.3 | 33.4 | |
| 5 July 2022 | 0.5 | 28.5 | 74.5 | |
| 25 October 2022 | 0.7 | 11.3 | 53.8 | |
| Abies holophylla | 10 February 2022 | 0.24 | 3.3 | 44.9 |
| 21 April 2022 | 0.3 | 15.8 | 41 | |
| 6 July 2022 | 0.7 | 30.3 | 68.5 | |
| 26 October 2022 | 0.7 | 12.7 | 53.9 | |
| Juniperus chinensis | 11 February 2022 | 0.14 | 3 | 50.5 |
| 22 April 2022 | 0.14 | 17.5 | 59.1 | |
| 7 July 2022 | 0.26 | 30.5 | 67.4 | |
| 27 October 2022 | 0.24 | 13.8 | 63.5 |
| Tree Species | No. | Compounds | February | April | July | October |
|---|---|---|---|---|---|---|
| Pinus densiflora | 1 | 3-Carene | 28.55 | 1.94 | 2.10 | 1.16 |
| 2 | β-Phellanderene | 0.51 | 10.61 | 10.43 | 26.57 | |
| 3 | β-Pinene | 0 | 6.56 | 10.69 | 25.82 | |
| 4 | D-Limonene | 15.23 | 0 | 0 | 0 | |
| 5 | Germacrene D | 0 | 10.50 | 11.36 | 11.87 | |
| Pinus koraiensis | 1 | γ-Terpinene | 16.92 | 0.93 | 0 | 0.70 |
| 2 | α-Pinene | 0 | 12.73 | 9.16 | 8.29 | |
| 3 | Germacrene D | 5.50 | 9.33 | 12.33 | 13.30 | |
| 4 | γ-Muurolene | 3.47 | 2.09 | 7.45 | 11.96 | |
| 5 | 3-Carene | 4.22 | 6.42 | 12.63 | 4.50 | |
| Abies holophylla | 1 | 3-Carene | 6.02 | 12.24 | 8.44 | 14.28 |
| 2 | β-Bisabolene | 0 | 12.78 | 4.54 | 0 | |
| 3 | D-Limonene | 12.70 | 11.46 | 11.95 | 10.52 | |
| 4 | α-Pinene | 0 | 11.37 | 10.19 | 12.23 | |
| 5 | γ-Muurolene | 11.52 | 5.60 | 5.90 | 5.99 | |
| Juniperus chinensis | 1 | 3-Carene | 20.43 | 2.72 | 8.91 | 1.02 |
| 2 | Terpineol | 2.46 | 16.61 | 16.16 | 19.61 | |
| 3 | γ-Muurolene | 4.17 | 15.15 | 10.89 | 11.53 | |
| 4 | α-Pinene | 13.94 | 10.91 | 0 | 11.82 | |
| 5 | Caryophyllene | 13.94 | 0 | 1.76 | 2.07 |
Disclaimer/Publisher’s Note: The statements, opinions and data contained in all publications are solely those of the individual author(s) and contributor(s) and not of MDPI and/or the editor(s). MDPI and/or the editor(s) disclaim responsibility for any injury to people or property resulting from any ideas, methods, instructions or products referred to in the content. |
© 2024 by the authors. Licensee MDPI, Basel, Switzerland. This article is an open access article distributed under the terms and conditions of the Creative Commons Attribution (CC BY) license (https://creativecommons.org/licenses/by/4.0/).
Share and Cite
Kim, E.; Yang, S.; Jeon, B.B.; Song, E.; Lee, H. Terpene Compound Composition and Antioxidant Activity of Essential Oils from Needles of Pinus densiflora, Pinus koraiensis, Abies holophylla, and Juniperus chinensis by Harvest Period. Forests 2024, 15, 566. https://doi.org/10.3390/f15030566
Kim E, Yang S, Jeon BB, Song E, Lee H. Terpene Compound Composition and Antioxidant Activity of Essential Oils from Needles of Pinus densiflora, Pinus koraiensis, Abies holophylla, and Juniperus chinensis by Harvest Period. Forests. 2024; 15(3):566. https://doi.org/10.3390/f15030566
Chicago/Turabian StyleKim, Eunjin, Suyeon Yang, Byeong Bae Jeon, Eugene Song, and Hwayong Lee. 2024. "Terpene Compound Composition and Antioxidant Activity of Essential Oils from Needles of Pinus densiflora, Pinus koraiensis, Abies holophylla, and Juniperus chinensis by Harvest Period" Forests 15, no. 3: 566. https://doi.org/10.3390/f15030566
APA StyleKim, E., Yang, S., Jeon, B. B., Song, E., & Lee, H. (2024). Terpene Compound Composition and Antioxidant Activity of Essential Oils from Needles of Pinus densiflora, Pinus koraiensis, Abies holophylla, and Juniperus chinensis by Harvest Period. Forests, 15(3), 566. https://doi.org/10.3390/f15030566

