Uncertainty Analysis of Forest Aboveground Carbon Stock Estimation Combining Sentinel-1 and Sentinel-2 Images
Abstract
1. Introduction
2. Materials and Methods
2.1. Study Area
2.2. Data Acquisition and Processing
2.2.1. Field Survey
2.2.2. DEM
2.2.3. Remote Sensing Images and Processing
2.2.4. Extraction and Selection of Remote Sensing Factors
2.3. Modeling Method
2.4. Accuracy Evaluation
2.5. The Analysis of Uncertainty at the Plot Scale
2.5.1. Calculation of the Measurement Uncertainty
2.5.2. Calculation of the Monocarbon Stock Model Uncertainty
- (1)
- Residual Uncertainty of the Monocarbon Stock Model
- (2)
- Parameter Uncertainty of the Monocarbon Stock Model
2.5.3. Uncertainty Synthesis
2.6. Uncertainty Analysis of Remote-Sensing-Based Estimation Models
2.6.1. The Uncertainty of Model Residual
2.6.2. Calculation of the Total Uncertainty in Carbon Stock Estimation
3. Results and Analysis
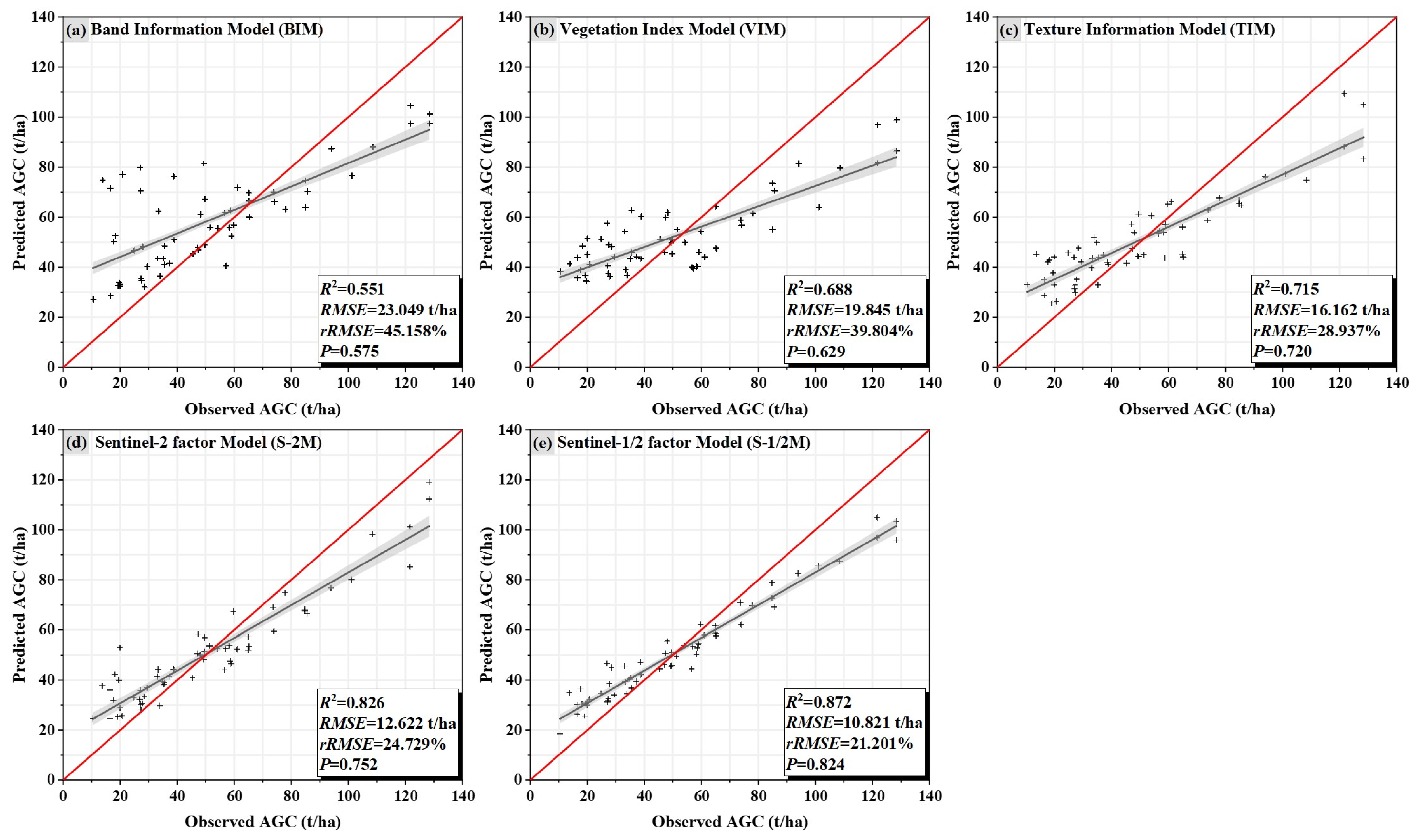
3.1. Comparison of Accuracy for Estimation Models
3.2. Uncertainty at the Plot Scale
3.2.1. The Uncertainty of Measurement
3.2.2. Uncertainty in the Monocarbon Stock Model
- (1)
- Residual Uncertainty
- (2)
- Parameter Uncertainty
3.2.3. Total Uncertainty at the Plot Scale
3.3. The Uncertainty of Remote-Sensing-Based Estimation Models
3.4. Total Uncertainty in Carbon Stock Estimation
4. Discussion
4.1. Analysis of the Uncertainty at the Plot Scale
4.2. Influence of Plot Size and Forest Stand Factors on AGC Estimation and Uncertainty
4.3. Uncertainty of Different Remote Sensing Models
4.4. Limitations and Future Research
5. Conclusions
Author Contributions
Funding
Data Availability Statement
Acknowledgments
Conflicts of Interest
References
- Ju, W.M.; Chen, J.M.; Harvey, D.; Wang, S. Future carbon balance of China’s forests under climate change and increasing CO2. J. Environ. Manage. 2007, 85, 538–562. [Google Scholar] [CrossRef] [PubMed]
- Shanin, V.N.; Mikhailov, A.V.; Bykhovets, S.S.; Komarov, A.S. Global climate change and carbon balance in forest ecosystems of boreal zones: Simulation modeling as a forecast tool. Biol. Bull. 2010, 37, 619–629. [Google Scholar] [CrossRef]
- Liu, K.; Wang, J.; Zeng, W.; Song, J. Comparison and evaluation of three methods for estimating forest above ground biomass using TM and GLAS data. Remote Sens. 2017, 9, 341. [Google Scholar] [CrossRef]
- Andoh, J.; Lee, Y. National REDD+ Strategy for Climate Change Mitigation: A Review and Comparison of Developing Countries. Sustainability 2018, 10, 4781. [Google Scholar] [CrossRef]
- Xie, Y.; Lei, X.; Shi, J. Impacts of climate change on biological rotation of Larix olgensis plantations for timber production and carbon storage in northeast China using the 3-PGmix model. Ecol. Modell. 2020, 435, 109267. [Google Scholar] [CrossRef]
- Wang, J.; Du, H.; Li, X.; Mao, F.; Zhang, M.; Liu, E.; Ji, J.; Kang, F. Remote sensing estimation of bamboo forest aboveground biomass based on geographically weighted regression. Remote Sens. 2021, 13, 2962. [Google Scholar] [CrossRef]
- Nandal, A.; Yadav, S.S.; Rao, A.S.; Meena, R.S.; Lal, R. Advance methodological approaches for carbon stock estimation in forest ecosystems. Environ. Monit. Assess. 2023, 195, 315. [Google Scholar] [CrossRef]
- Cohen, R.; Kaino, J.; Okello, J.A.; Bosire, J.O.; Kairo, J.G.; Huxham, M.; Mencuccini, M. Propagating uncertainty to estimates of above-ground biomass for Kenyan mangroves: A scaling procedure from tree to landscape level. For. Ecol. Manag. 2013, 310, 968–982. [Google Scholar] [CrossRef]
- Gregoire, T.G.; Næsset, E.; McRoberts, R.E.; Ståhl, G.; Andersen, H.E.; Gobakken, T.; Ene, L.; Nelson, R. Statistical rigor in LiDAR-assisted estimation of aboveground forest biomass. Remote Sens. Environ. 2016, 173, 98–108. [Google Scholar] [CrossRef]
- Agata, H.; Aneta, L.; Dariusz, Z.; Krzysztof, S.; Marek, L.; Christiane, S.; Carsten, P. Forest aboveground biomass estimation using a combination of Sentinel-1 and Sentinel-2 Data. In Proceedings of the IGARSS 2018—2018 IEEE International Geoscience and Remote Sensing Symposium, Valencia, Spain, 22–27 July 2018. [Google Scholar]
- Zharko, V.O.; Bartalev, S.A.; Sidorenkov, V.M. Forest growing stock volume estimation using optical remote sensing over snow-covered ground: A case study for Sentinel-2 data and the Russian Southern Taiga region. Remote Sens. Lett. 2020, 11, 677–686. [Google Scholar] [CrossRef]
- Gülçin, D.; Van Den Bosch, C.C.K. Assessment of above-ground carbon storage by urban trees using LiDAR data: The case of a university campus. Forests 2021, 12, 62. [Google Scholar] [CrossRef]
- Lu, C.; Xu, H.; Zhang, J.; Wang, A.; Wu, H.; Bao, R.; Ou, G. A Method for Estimating Forest Aboveground Biomass at the Plot Scale Combining the Horizontal Distribution Model of Biomass and Sampling Technique. Forests 2022, 13, 1612. [Google Scholar] [CrossRef]
- Lu, D.; Chen, Q.; Wang, G.; Moran, E.; Batistella, M.; Zhang, M.; Zhang, M.; Saah, D. Aboveground-forest biomass estimation with Landsat and LiDAR data and uncertainty analysis of the estimates. Int. J. For. Res. 2012, 2012, 436537. [Google Scholar] [CrossRef]
- Zhao, P.; Lu, D.; Wang, G.; Wu, C.; Huang, Y.; Yu, S. Examining spectral reflectance saturation in Landsat imagery and corresponding solutions to improve forest aboveground biomass estimation. Remote Sens. 2016, 8, 469. [Google Scholar] [CrossRef]
- Cutler, M.E.J.; Boyd, D.S.; Foody, G.M.; Vetrivel, A. Estimating tropical forest biomass with a combination of SAR image texture and Landsat TM data: An assessment of predictions between regions. ISPRS J. Photogramm. Remote Sens. 2012, 70, 66–77. [Google Scholar] [CrossRef]
- Ojoatre, S.; Zhang, C.; Hussin, Y.A.; Kloosterman, H.E.; Ismail, M.H. Assessing the uncertainty of tree height and aboveground biomass from terrestrial laser scanner and hypsometer using airborne LiDAR data in tropical rainforests. IEEE J. Sel. Top. Appl. Earth Obs. Remote Sens. 2019, 12, 4149–4159. [Google Scholar] [CrossRef]
- Li, L.; Zhou, X.; Chen, L.; Chen, L.; Zhang, Y.; Liu, Y. Estimating urban vegetation biomass from Sentinel-2A image data. For. 2020, 11, 125. [Google Scholar] [CrossRef]
- Yang, X.; Strahler, A.H.; Schaaf, C.B.; Jupp, D.L.; Yao, T.; Zhao, F.; Wang, Z.; Culvenor, D.S.; Newnham, G.J.; Lovell, J.L.; et al. Three-dimensional forest reconstruction and structural parameter retrievals using a terrestrial full-waveform lidar instrument (Echidna®). Remote Sens. Environ. 2013, 135, 36–51. [Google Scholar] [CrossRef]
- Silveira, E.M.; Radeloff, V.C.; Martinuzzi, S.; Pastur, G.J.M.; Bono, J.; Politi, N.; Lizarraga, L.; Rivera, L.O.; Ciuffoli, L.; Rosas, Y.M.; et al. Nationwide native forest structure maps for Argentina based on forest inventory data, SAR Sentinel-1 and vegetation metrics from Sentinel-2 imagery. Remote Sens. Environ. 2023, 285, 113391. [Google Scholar] [CrossRef]
- Stratoulias, D.; Nuthammachot, N.; Suepa, T.; Phoungthong, K. Assessing the spectral information of Sentinel-1 and Sentinel-2 Satellites for above-ground biomass retrieval of a tropical forest. ISPRS Int. J. Geo-Inf. 2022, 11, 199. [Google Scholar] [CrossRef]
- Khan, M.N.; Tan, Y.; Gul, A.A.; Abbas, S.; Wang, J. Forest Aboveground Biomass Estimation and Inventory: Evaluating Remote Sensing-Based Approaches. Forests 2024, 15, 1055. [Google Scholar] [CrossRef]
- Fang, G.; Yu, H.; Fang, L.; Zheng, X. Synergistic Use of Sentinel-1 and Sentinel-2 Based on Different Preprocessing for Predicting Forest Aboveground Biomass. Forests 2023, 14, 1615. [Google Scholar] [CrossRef]
- Liu, Y.; Gong, W.; Xing, Y.; Hu, X.; Gong, J. Estimation of the forest stand mean height and aboveground biomass in Northeast China using SAR Sentinel-1B, multispectral Sentinel-2A, and DEM imagery. ISPRS J. Photogramm. Remote Sens. 2019, 151, 277–289. [Google Scholar] [CrossRef]
- Shi, W. Principles of Modeling Uncertainties in Spatial Data and Spatial Analyses; CRC Press: Boca Raton, FL, USA, 2009. [Google Scholar]
- Saarela, S.; Wästlund, A.; Holmström, E.; Mensah, A.A.; Holm, S.; Nilsson, M.; Fridman, J.; Ståhl, G. Mapping aboveground biomass and its prediction uncertainty using LiDAR and field data, accounting for tree-level allometric and LiDAR model errors. For. Ecosyst. 2020, 7, 43. [Google Scholar] [CrossRef]
- Qin, L.; Meng, S.; Zhou, G.; Liu, Q.; Xu, Z. Uncertainties in above ground tree biomass estimation. J. For. Res. 2021, 32, 1989–2000. [Google Scholar] [CrossRef]
- Shettles, M.; Hilker, T.; Temesgen, H. Examination of uncertainty in per unit area estimates of aboveground biomass using terrestrial LiDAR and ground data. Can. J. For. Res. 2016, 46, 706–715. [Google Scholar] [CrossRef]
- Kitahara, F.; Mizoue, N.; Yoshida, S. Evaluation of data quality in Japanese national forest inventory. Environ. Monit. Assess. 2009, 159, 331–340. [Google Scholar] [CrossRef]
- Breidenbach, J.; Antón-Fernández, C.; Petersson, H.; McRoberts, R.E.; Astrup, R. Quantifying the model-related variability of biomass stock and change estimates in the Norwegian National Forest Inventory. For. Sci. 2014, 60, 25–33. [Google Scholar] [CrossRef]
- Lessard, V.C.; McRoberts, R.E.; Holdaway, M.R. Diameter growth models using Minnesota forest inventory and analysis data. For. Sci. 2001, 47, 301–310. [Google Scholar] [CrossRef]
- Ståhl, G.; Holm, S.; Gregoire, T.G.; Gobakken, T.; Næsset, E.; Nelson, R. Model-based inference for biomass estimation in a LiDAR sample survey in Hedmark County, Norway. Can. J. For. Res. 2011, 41, 96–107. [Google Scholar] [CrossRef]
- McRoberts, R.E. Estimating variation in field crew estimates of site index. Can. J. For. Res. 1996, 26, 560–565. [Google Scholar] [CrossRef]
- Berger, A.; Gschwantner, T.; McRoberts, R.E.; Schadauer, K. Effects of measurement errors on individual tree stem volume estimates for the Austrian National Forest Inventory. For. Sci. 2014, 60, 14–24. [Google Scholar] [CrossRef]
- Qin, L.H.; Zhang, M.Z.; Zhong, S.H.; Yu, X.H. Model uncertainty analysis in forest biomass estimation. J. Ecol. 2017, 37, 79127919. [Google Scholar]
- Eduarda, M.O.S.; Fernando, D.E.S.; Michael, A.W.; Fausto, W.A.J.; Mônica, C.C.; Mello, C.R.; Mello, J.M.; Shimabukuro, Y.E.; Terra, M.C.N.S.; Carvalho, L.M.T.; et al. Pre-stratified modelling plus residuals kriging reduces the uncertainty of AGB estimation and spatial distribution in heterogeneous savannas and forest environments. For. Ecol. Manag. 2019, 445, 96–109. [Google Scholar]
- Huang, Y.J.; Zhang, J.L.; Hu, Y.P.; Chen, T. Uncertainty analysis of remote sensing for aboveground biomass estimation of Pinus densata. J. Zhejiang Agric. For. Univ. 2022, 39, 531–539. [Google Scholar]
- Cao, J.; Zhang, J.; Xiao, Q.; Wang, F.; Han, X.; Huang, Y. Above-ground carbon stock estimation and uncertainty analysis of Pinus densata based on random forest and Monte Carlo. For. Sci. Res. 2023, 36, 131–139. [Google Scholar]
- Urbazaev, M.; Thiel, C.; Cremer, F.; Dubayah, R.; Migliavacca, M.; Reichstein, M.; Schmullius, C. Estimation of forest aboveground biomass and uncertainties by integration of field measurements, airborne LiDAR, and SAR and optical satellite data in Mexico. Carbon Balance Manag. 2018, 13, 5. [Google Scholar] [CrossRef]
- Zhang, J.L.; Lu, C.; Xu, H.; Wang, G.X. Estimating aboveground biomass of Pinus densata-dominated forests using Landsat time series and permanent sample plot data. J. For. Res. 2019, 30, 1689–1706. [Google Scholar] [CrossRef]
- Han, D.; Zhang, J.; Xu, D.; Liao, Y.; Bao, R.; Wang, S.; Chen, S. Improving Pinus densata Carbon Stock Estimations through Remote Sensing in Shangri-La: A Nonlinear Mixed-Effects Model Integrating Soil Thickness and Topographic Variables. Forests 2024, 15, 394. [Google Scholar] [CrossRef]
- Chen, C.; He, Y.; Zhang, J.; Xu, D.; Han, D.; Liao, Y.; Teng, C.; Yin, T. Estimation of above-ground biomass for Pinus densata using multi-source time series in Shangri-La considering seasonal effects. Forests 2023, 14, 1747. [Google Scholar] [CrossRef]
- David, R.M.; Rosser, N.J.; Donoghue, D.N. Improving above ground biomass estimates of Southern Africa dryland forests by combining Sentinel-1 SAR and Sentinel-2 multispectral imagery. Remote Sens. Environ. 2022, 282, 113232. [Google Scholar] [CrossRef]
- Zheng, S.; Cao, C.; Dang, Y.; Xiang, H.; Zhao, J.; Zhang, Y.; Wang, X.; Guo, H. Retrieval of forest growing stock volume by two different methods using Landsat TM images. Int. J. Remote Sens. 2014, 35, 29–43. [Google Scholar] [CrossRef]
- Sun, X.L. Research on Remote Sensing Estimation Model of Biomass of Pinus densata Forest in Shangri-La Based on Landsat8-OLI. Master’s Thesis, Southwest Forestry University, Kunming, China, 2016. [Google Scholar]
- Wang, J.L.; Wang, X.H.; Yue, C.R.; Cheng, F.; Xu, T.S.; Cheng, P.F.; Wang, X.M.; Gao, Y. Carbon content of four established species in Shangri-la forest, northwest Yunnan. J. Ecol. Environ. 2012, 21, 613–619. [Google Scholar] [CrossRef]
- Wu, F.Y.; Wen, Q.; LI, Y.H.; Liu, H.; Liu, Y.Y. Analysis of carbon content in trunks of established species of major forest types in Ganzi. Anhui Agric. Sci. 2024, 1–4. Available online: https://link.cnki.net/urlid/34.1076.S.20240827.1049.005 (accessed on 7 November 2024).
- Prakash, A.J.; Behera, M.D.; Ghosh, S.M.; Das, A.; Mishra, D.R. A new synergistic approach for Sentinel-1 and PALSAR-2 in a machine learning framework to predict aboveground biomass of a dense mangrove forest. Ecol. Inf. 2022, 72, 101900. [Google Scholar] [CrossRef]
- Huang, Z.; Tian, Y.; Zhang, Q.; Huang, Y.; Liu, R.; Huang, H.; Zhou, G.; Wang, J.; Tao, J.; Yang, Y.; et al. Estimating mangrove above-ground biomass at Maowei Sea, Beibu Gulf of China using machine learning algorithm with Sentinel-1 and Sentinel-2 data. Geocarto Int. 2022, 37, 15778–15805. [Google Scholar] [CrossRef]
- Imperatore, P.; Azar, R.; Calo, F.; Stroppiana, D.; Brivio, P.A.; Lanari, R.; Pepe, A. Effect of the vegetation fire on backscattering: An investigation based on Sentinel-1 observations. IEEE J. Sel. Top. Appl. Earth Obs. Remote Sens. 2017, 10, 4478–4492. [Google Scholar] [CrossRef]
- Puliti, S.; Breidenbach, J.; Schumacher, J.; Hauglin, M.; Klingenberg, T.F.; Astrup, R. Above-ground biomass change estimation using national forest inventory data with Sentinel-2 and Landsat. Remote Sens. Environ. 2021, 265, 112644. [Google Scholar] [CrossRef]
- Naik, P.; Dalponte, M.; Bruzzone, L. Generative feature extraction from sentinel 1 and 2 data for prediction of forest aboveground biomass in the Italian Alps. IEEE J. Sel. Top. Appl. Earth Obs. Remote Sens. 2022, 15, 4755–4771. [Google Scholar] [CrossRef]
- Forkuor, G.; Zoungrana, J.B.B.; Dimobe, K.; Ouattara, B.; Vadrevu, K.P.; Tondoh, J.E. Above-ground biomass mapping in West African dryland forest using Sentinel-1 and 2 datasets-A case study. Remote Sens. Environ. 2020, 236, 111496. [Google Scholar] [CrossRef]
- Zhao, Y.; Mao, D.; Zhang, D.; Wang, Z.; Du, B.; Yan, H.; Qiu, Z.; Feng, K.; Wang, J.; Jia, M. Mapping phragmites Australis aboveground biomass in the momoge wetland ramsar site based on Sentinel-1/2 images. Remote Sens. 2022, 14, 694. [Google Scholar] [CrossRef]
- Pan, L.; Sun, Y.; Wang, Y.; Chen, L.; Cao, Y. Estimation of aboveground biomass in a Chinese fir (Cunninghamia lanceolata) forest combining data of Sentinel-1 and Sentinel-2. J. Nanjing For. Univ. 2020, 44, 149. [Google Scholar]
- Breiman, L. Random forests. Mach. Learn. 2001, 45, 5–32. [Google Scholar] [CrossRef]
- Svetnik, V.; Liaw, A.; Tong, C.; Culberson, J.C.; Sheridan, R.P.; Feuston, B.P. Random forest: A classification and regression tool for compound classification and QSAR modeling. J. Chem. Inf. Comput. Sci. 2003, 43, 1947–1958. [Google Scholar] [CrossRef] [PubMed]
- Niu, X.; Chen, B.; Sun, W.; Feng, T.; Yang, X.; Liu, Y.; Liu, W.W.; Fu, B. Estimation of Coastal Wetland Vegetation Aboveground Biomass by Integrating UAV and Satellite Remote Sensing Data. Remote Sens. 2024, 16, 2760. [Google Scholar] [CrossRef]
- Liao, Y.; Zhang, J.; Bao, R.; Xu, D.; Han, D. Modelling the Dynamics of Carbon Storages for Pinus densata Using Landsat Images in Shangri-La Considering Topographic Factors. Remote Sens. 2022, 14, 6244. [Google Scholar] [CrossRef]
- Qin, L.H. Study on the Uncertainty of Forest Carbon Stock Estimation in Zhejiang Province. Master’s Thesis, Zhejiang Agriculture and Forestry University, Hangzhou, China, 2017. [Google Scholar]
- Hosmer, D.W., Jr.; Lemeshow, S.; Sturdivant, R.X. Applied Logistic Regression; John Wiley & Sons: Hoboken, NJ, USA, 2013; Volume 398. [Google Scholar]
- Zeger, S.L.; Thomas, D.; Dominici, F.; Samet, J.M.; Schwartz, J.; Dockery, D.; Cohen, A. Exposure measurement error in time-series studies of air pollution: Concepts and consequences. Environ. Health Perspect. 2000, 108, 419–426. [Google Scholar] [CrossRef]
- Fu, Y. Estimation of forest aboveground biomass and uncertainty measure at regional scale. Hubei For. Sci. Technol. 2018, 47, 1–4+38. [Google Scholar]
- Zhao, H. Aboveground Biomass and Uncertainty Estimation of Different Stand Classes of Major TREE species in Jiangxi Province. Ph.D. Dissertation, China Academy of Forestry Sciences, Beijing, China, 2017. [Google Scholar]
- Wang, K.R.; Shu, Q.T.; Zhao, H.Y.; Tan, D.H.; Yuan, Z.J. Modeling uncertainty of single-timber aboveground biomass of Pinus densata. J. Southwest. For. Univ. 2021, 41, 100–106. [Google Scholar]
- Wang, J.; Xiao, X.; Bajgain, R.; Starks, P.; Steiner, J.; Doughty, R.B.; Chang, Q. Estimating leaf area index and aboveground biomass of grazing pastures using Sentinel-1, Sentinel-2 and Landsat images. ISPRS J. Photogramm. Remote Sens. 2019, 154, 189–201. [Google Scholar] [CrossRef]
- Safari, A.; Sohrabi, H.; Powell, S.; Shataee, S. A comparative assessment of multi-temporal Landsat 8 and machine learning algorithms for estimating aboveground carbon stock in coppice oak forests. Int. J. Remote Sens. 2017, 38, 6407–6432. [Google Scholar] [CrossRef]
- Chave, J.; Condit, R.; Aguilar, S.; Hernandez, A.; Lao, S.; Perez, R. Error propagation and scaling for tropical forest biomass estimates. Philos. Trans. R. Soc. London. Ser. B Biol. Sci. 2004, 359, 409–420. [Google Scholar] [CrossRef] [PubMed]
- Djomo, A.N.; Knohl, A.; Gravenhorst, G. Estimations of total ecosystem carbon pools distribution and carbon biomass current annual increment of a moist tropical forest. For. Ecol. Manag. 2011, 261, 1448–1459. [Google Scholar] [CrossRef]
- Butt, N.; Slade, E.; Thompson, J.; Malhi, Y.; Riutta, T. Quantifying the sampling error in tree census measurements by volunteers and its effect on carbon stock estimates. Ecol. Appl. 2013, 23, 936–943. [Google Scholar] [CrossRef]
- Chen, Q.; Laurin, G.V.; Valentini, R. Uncertainty of remotely sensed aboveground biomass over an African tropical forest: Propagating errors from trees to plots to pixels. Remote Sens. Environ. 2015, 160, 134–143. [Google Scholar] [CrossRef]
- Frazer, G.W.; Magnussen, S.; Wulder, M.A.; Niemann, K.O. Simulated impact of sample plot size and co-registration error on the accuracy and uncertainty of LiDAR-derived estimates of forest stand biomass. Remote Sens. Environ. 2011, 115, 636–649. [Google Scholar] [CrossRef]
- Mayamanikandan, T.; Reddy, S.; Fararoda, R.; Thumaty, K.C.; Praveen, M.S.S.; Rajashekar, G.; Jha, C.S.; Das, I.C.; Gummapu, J. Quantifying the influence of plot-level uncertainty in above ground biomass up scaling using remote sensing data in central Indian dry deciduous forest. Geocarto Int. 2022, 37, 3489–3503. [Google Scholar] [CrossRef]
- Petersson, H.; Breidenbach, J.; Ellison, D.; Holm, S.; Muszta, A.; Lundblad, M.; Ståhl, G.R. Assessing uncertainty: Sample size trade-offs in the development and application of carbon stock models. For. Sci. 2017, 63, 402–412. [Google Scholar] [CrossRef]
- Xu, L.; Shi, Y.; Fang, H.; Zhou, G.; Xu, X.; Zhou, Y.; Tao, J.; Ji, B.; Xu, J.; Li, C.; et al. Vegetation carbon stocks driven by canopy density and forest age in subtropical forest ecosystems. Sci. Total Environ. 2018, 631, 619–626. [Google Scholar] [CrossRef]
- Mensah, S.; Salako, V.K.; Seifert, T. Structural complexity and large-sized trees explain shifting species richness and carbon relationship across vegetation types. Funct. Ecol. 2020, 34, 1731–1745. [Google Scholar] [CrossRef]
- Yang, Y.; Luo, Y.; Finzi, A.C. Carbon and nitrogen dynamics during forest stand development: A global synthesis. New Phytol. 2011, 190, 977–989. [Google Scholar] [CrossRef] [PubMed]
- Jucker, T.; Bouriaud, O.; Coomes, D.A. Crown plasticity enables trees to optimize canopy packing in mixed-species forests. Funct. Ecol. 2015, 29, 1078–1086. [Google Scholar] [CrossRef]
- Mngadi, M.; Odindi, J.; Mutanga, O. The utility of sentinel-2 spectral data in quantifying above-ground carbon stock in an urban reforested landscape. Remote Sens. 2021, 13, 4281. [Google Scholar] [CrossRef]
- Lu, D.; Chen, Q.; Wang, G.; Liu, L.; Li, G.; Moran, E. A survey of remote sensing-based aboveground biomass estimation methods in forest ecosystems. Int. J. Digit. Earth 2016, 9, 63–105. [Google Scholar] [CrossRef]
- Baghdadi, N.; Le Maire, G.; Bailly, J.S.; Osé, K.; Nouvellon, Y.; Zribi, M.; Hakamada, R. Evaluation of ALOS/PALSAR L-band data for the estimation of Eucalyptus plantations aboveground biomass in Brazil. IEEE J. Sel. Top. Appl. Earth Obs. Remote Sens. 2014, 8, 3802–3811. [Google Scholar] [CrossRef]
- Zhang, L.; Zhang, X.; Shao, Z.; Jiang, W.; Gao, H. Integrating Sentinel-1 and 2 with LiDAR data to estimate aboveground biomass of subtropical forests in northeast Guangdong, China. Int. J. Digit. Earth 2023, 16, 158–182. [Google Scholar] [CrossRef]
- Wang, B.; Mao, J.F.; Gao, J.I.E.; Zhao, W.E.I.; Wang, X.R. Colonization of the Tibetan Plateau by the homoploid hybrid pine Pinus densata. Mol. Ecol. 2011, 20, 3796–3811. [Google Scholar] [CrossRef]









| Variables | Max | Min | Mean | SD |
|---|---|---|---|---|
| Mean DBH (cm) | 29.75 | 8.52 | 15.33 | 5.57 |
| Mean H (m) | 19.05 | 4.33 | 9.90 | 3.93 |
| AGC (t/ha) | 128.34 | 10.49 | 51.05 | 30.54 |
| Sensor | ID | Acquisition Date | Cloud Cover/% |
|---|---|---|---|
| Sentinel-1 | S1A_IW_GRDH_1SDV_20211104T112504_20211104T112529_040421_04CAB8_ACE9 | 2021/11/04 | |
| S1A_IW_GRDH_1SDV_20211104T112439_20211104T112504_040421_04CAB8_EC62 | 2021/11/04 | ||
| Sentinel-2 | S2A_MSIL2A_20211108T035951_N0301_R004_T47RNK_20211108T071124 | 2021/11/08 | 1.28 |
| S2A_MSIL2A_20211108T035951_N0301_R004_T47RNL_20211108T071124 | 2021/11/08 | 0.16 | |
| S2A_MSIL2A_20211108T035951_N0301_R004_T47RNM_20211108T071124 | 2021/11/08 | 0.06 | |
| S2A_MSIL2A_20211108T035951_N0301_R004_T47RPK_20211108T071124 | 2021/11/08 | 1.79 | |
| S2A_MSIL2A_20211108T035951_N0301_R004_T47RPL_20211108T071124 | 2021/11/08 | 0.97 | |
| S2A_MSIL2A_20211108T035951_N0301_R004_T47RPM_20211108T071124 | 2021/11/08 | 0.29 |
| Sensor | Variable Type | Variable Name | Definition |
|---|---|---|---|
| Sentinel-1 | Polarization | VV | Vertical transmit—vertical channel |
| VH | Vertical transmit—horizontal channel | ||
| Textural features | Contrast (CON), Dissimilarity (DIS), Angular second moment (ASM), Entropy (ENT), Variance (VAR), Correlation (COR), Homogeneity (HOM), Mean (ME) | Grey level co-occurrence matrix | |
| Sentinel-2 | Spectral textures | B2, B3, B4, B5, B6, B7, B8, B8A, B11, B12 | Blue (490 nm), Green (560 nm), Red (665 nm), Red Edge1 (705 nm), Red Edge2 (740 nm), Red Edge3 (783 nm), NIR (842 nm), Red Edge4 (865 nm), SWIR1 (1610 nm), SWIR2 (2190 nm) |
| Vegetation indices | DVI | NIR-Red | |
| RVI | NIR/Red | ||
| NDVI | (NIR − Red)/(NIR + Red) | ||
| NDI45 | (RE1 − Red)/(RE1 + Red) | ||
| GNDVI | (RE3 − Green)/(RE3 + Green) | ||
| SAVI | 1.5 × (NIR − Red)/8 × (NIR + Red + 0.5) | ||
| EVI | 2.5 × ((NIR − Red)/(NIR + 6 × Red − 7.5 × Blue + 1)) | ||
| S2REP | 705 + 35 × [((RE1 + NIR)/2-RE2)/(RE3-RE2)] | ||
| MSAVI | 2 × NIR + 1 − sqrt[(2 × NIR)2 − 8×(NIR-Red]/2 | ||
| Textural features | Same as Sentinel-1 | ||
| Model | Remote Sensing Factors |
|---|---|
| BIM: Band Information Model | B2, B3, B5 |
| VIM: Vegetation Index Model | DVI, EVI, MSAVI2, S2REP |
| TIM: Texture Information Model | R5B5VAR, R5B6CON, R5B6VAR, R5B7CON, R5DVICON |
| S-2M: Sentinel-2 Factor Model | B5, S2REP, R5B5VAR, R5B6CON, R5B6VAR, R5B7CON, R5DVICON |
| S-1/2M: Sentinel-1/2 Factor Model | B5, S2REP, R5B5VAR, R5B6CON, R5B6VAR, R5B7CON, R5DVICON, R5VVME, R5VHCOR |
| Model Form | Measurement Error/% | Error of Monocarbon Stock Model/% | Total Uncertainty/% | Plot Scale Uncertainty/% | |
|---|---|---|---|---|---|
| Parameter Error/% | Residual Variation Error/% | ||||
| 6.86 | 5.96 | ||||
| 3.02 | 9.09 | 9.58 | 3.71 | ||
| Model | Uncertainty at the Plot Scale/% | Uncertainty of Remote Sensing Estimation Models/% | Total Uncertainty/% | |
|---|---|---|---|---|
| Measurement Error/% | Error of the MonoCarbon Stock Model/% | |||
| 3.02 | 9.09 | |||
| BIM | 3.71 | 21.98 | 22.29 | |
| VIM | 13.63 | 14.12 | ||
| TIM | 12.01 | 12.56 | ||
| S-2M | 10.14 | 10.79 | ||
| S-1/2M | 7.57 | 8.43 | ||
Disclaimer/Publisher’s Note: The statements, opinions and data contained in all publications are solely those of the individual author(s) and contributor(s) and not of MDPI and/or the editor(s). MDPI and/or the editor(s) disclaim responsibility for any injury to people or property resulting from any ideas, methods, instructions or products referred to in the content. |
© 2024 by the authors. Licensee MDPI, Basel, Switzerland. This article is an open access article distributed under the terms and conditions of the Creative Commons Attribution (CC BY) license (https://creativecommons.org/licenses/by/4.0/).
Share and Cite
Qiu, B.; Li, S.; Cao, J.; Zhang, J.; Yang, K.; Luo, K.; Huang, K.; Jiang, X. Uncertainty Analysis of Forest Aboveground Carbon Stock Estimation Combining Sentinel-1 and Sentinel-2 Images. Forests 2024, 15, 2134. https://doi.org/10.3390/f15122134
Qiu B, Li S, Cao J, Zhang J, Yang K, Luo K, Huang K, Jiang X. Uncertainty Analysis of Forest Aboveground Carbon Stock Estimation Combining Sentinel-1 and Sentinel-2 Images. Forests. 2024; 15(12):2134. https://doi.org/10.3390/f15122134
Chicago/Turabian StyleQiu, Bo, Sha Li, Jun Cao, Jialong Zhang, Kun Yang, Kai Luo, Kai Huang, and Xinzhou Jiang. 2024. "Uncertainty Analysis of Forest Aboveground Carbon Stock Estimation Combining Sentinel-1 and Sentinel-2 Images" Forests 15, no. 12: 2134. https://doi.org/10.3390/f15122134
APA StyleQiu, B., Li, S., Cao, J., Zhang, J., Yang, K., Luo, K., Huang, K., & Jiang, X. (2024). Uncertainty Analysis of Forest Aboveground Carbon Stock Estimation Combining Sentinel-1 and Sentinel-2 Images. Forests, 15(12), 2134. https://doi.org/10.3390/f15122134

