Sign in to use this feature.

Years

Between: -

Subjects

remove_circle_outline
remove_circle_outline
remove_circle_outline
remove_circle_outline
remove_circle_outline
remove_circle_outline
remove_circle_outline
remove_circle_outline
remove_circle_outline

Journals

remove_circle_outline
remove_circle_outline
remove_circle_outline
remove_circle_outline
remove_circle_outline
remove_circle_outline
remove_circle_outline
remove_circle_outline

Article Types

Countries / Regions

remove_circle_outline
remove_circle_outline
remove_circle_outline
remove_circle_outline
remove_circle_outline
remove_circle_outline
remove_circle_outline

Search Results (2,046)

Search Parameters:
Keywords = carbon stock

Order results
Result details
Results per page
Select all
Export citation of selected articles as:
25 pages, 5022 KB  
Article
Provincial-Scale Monitoring of Mangrove Area and Spartina alterniflora Invasion in Subtropical China Using UAV Imagery and Machine Learning Methods
by Qiliang Lv, Peng Zhou, Sheng Yang, Yongjun Shi, Jiangming Ma, Jiangcheng Yang and Guangsheng Chen
Remote Sens. 2026, 18(2), 345; https://doi.org/10.3390/rs18020345 - 20 Jan 2026
Abstract
The survival and growth of mangroves along coastal China is threatened by invasive smooth cordgrass (Spartina alterniflora). Due to the high mortality and frequent replanting of mangrove trees and the impacts of invasive smooth cordgrass, the exact mangrove forest area in [...] Read more.
The survival and growth of mangroves along coastal China is threatened by invasive smooth cordgrass (Spartina alterniflora). Due to the high mortality and frequent replanting of mangrove trees and the impacts of invasive smooth cordgrass, the exact mangrove forest area in Zhejiang Province, China, is still unclear. Based on provincial-scale fine-resolution Unmanned Aerial Vehicle (UAV) imagery and a large number of field survey plots, this study mapped the distribution of mangroves and smooth cordgrass in 2023 using three machine learning classifiers, including Classification and Regression Tree (CART), Convolutional Neural Networks (CNNs), and Support Vector Machine (SVM). The accuracy assessment indicated that the CNN algorithm was superior to the other two algorithms and yielded an overall accuracy and Kappa coefficient of 97% and 0.96, respectively. The total areas of mangrove forest and smooth cordgrass were 140.83 ha and 52.95 ha, respectively, in 2023 in Zhejiang Province. The mangrove forest area was mostly concentrated in Yuhuan, Dongtou, Yueqing, and Longgang districts. The mean canopy coverage of mangrove trees was only 36.41%, with lower than 20% coverage in all northern and some central districts. At the spatial scale, the mangrove trees showed a scattered distribution pattern, and over 70.04% of the planting area had canopy coverage lower than 20%. Smooth cordgrass has widely invaded all 11 districts, accounting for about 13.7% of the total planting area of mangrove trees. Over 67.3% and 85.4% of the planting areas have been occupied by smooth cordgrass in Wenling and Jiaoxiang districts, respectively, which necessitates an intensive anthropogenic intervention to control its spread in these districts. Our study provides more accurate monitoring of the mangrove and smooth cordgrass distribution areas at a provincial scale. The findings will help guide the replanting and management activities of mangrove trees, control planning for smooth cordgrass, and provide a data basis for the accurate estimation of carbon stock for mangrove forests in Zhejiang Province. Full article
(This article belongs to the Special Issue Remote Sensing in Mangroves (Fourth Edition))
25 pages, 8308 KB  
Article
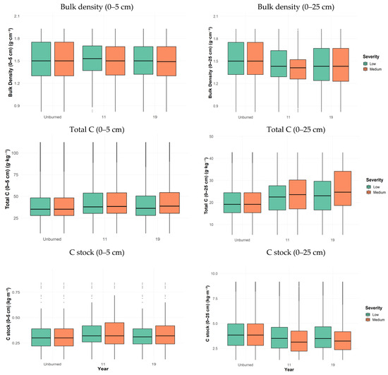
Long-Term Assessment of Soil Carbon Dynamics in Post-Fire Conditions: Evidence from Digital Soil Mapping Approaches
by Yacine Benhalima, Erika S. Santos and Diego Arán
Soil Syst. 2026, 10(1), 17; https://doi.org/10.3390/soilsystems10010017 - 20 Jan 2026
Abstract
This study examined long-term changes in soil carbon stock dynamics 11 and 19 years after fire under different severities at 0–5 and 0–25 cm depths with a digital soil mapping approach. Linear (MLR) and non-linear models (RF, SVR, XGBoost) combined with feature selection [...] Read more.
This study examined long-term changes in soil carbon stock dynamics 11 and 19 years after fire under different severities at 0–5 and 0–25 cm depths with a digital soil mapping approach. Linear (MLR) and non-linear models (RF, SVR, XGBoost) combined with feature selection methods (r < 0.8, FFS, Boruta) were used to predict bulk density (BD), total C, and C stock. Distributional biases were evaluated with Kolmogorov–Smirnov statistics and corrected by Quantile Mapping (QM). RF-FFS performed best for BD and total C at 0–5, while RF-SVR outperformed for C stock and all properties at 0–25. Total C was 49% higher at 0–5, whereas C stock was 7.57 times greater at 0–25. Both models underestimated variability, especially for C stock. At 0–25, bulk density decreased after fire, particularly under conditions of medium severity, while total C increased following the same tendency. The results showed that fire’s legacy is still present in the ecosystem after one and two decades. This is particularly evident at greater depths, where long-term C stock is lower. Full article
(This article belongs to the Special Issue Use of Modern Statistical Methods in Soil Science)
Show Figures

Figure 1

48 pages, 681 KB  
Review
Organic Amendments for Sustainable Agriculture: Effects on Soil Function, Crop Productivity and Carbon Sequestration Under Variable Contexts
by Oluwatoyosi O. Oyebiyi, Antonio Laezza, Md Muzammal Hoque, Sounilan Thammavongsa, Meng Li, Sophia Tsipas, Anastasios J. Tasiopoulos, Antonio Scopa and Marios Drosos
C 2026, 12(1), 7; https://doi.org/10.3390/c12010007 - 19 Jan 2026
Abstract
Soil amendments play a critical role in improving soil health and supporting sustainable crop production, especially under declining soil fertility and climate-related stress. However, their impact varies because each amendment influences the soil through different biogeochemical processes rather than a single universal mechanism. [...] Read more.
Soil amendments play a critical role in improving soil health and supporting sustainable crop production, especially under declining soil fertility and climate-related stress. However, their impact varies because each amendment influences the soil through different biogeochemical processes rather than a single universal mechanism. This review synthesizes current knowledge on a wide range of soil amendments, including compost, biosolids, green and animal manure, biochar, hydrochar, bagasse, humic substances, algae extracts, chitosan, and newer engineered options such as metal–organic framework (MOF) composites, highlighting their underlying principles, modes of action, and contributions to soil function, crop productivity, and soil carbon dynamics. Across the literature, three main themes emerge: improvement of soil physicochemical properties, enhancement of nutrient cycling and nutrient-use efficiency, and reinforcement of plant resilience to biotic and abiotic stresses. Organic nutrient-based amendments mainly enrich the soil and build organic matter, influencing soil carbon inputs and short- to medium-term increases in soil organic carbon stocks. Biochar, hydrochar, and related materials act mainly as soil conditioners that improve structure, water retention, and soil function. Biostimulant-type amendments, such as algae extracts and chitosan, influence plant physiological responses and stress tolerance. Humic substances exhibit multifunctional effects at the soil–root interface, contributing to improved nutrient efficiency and, in some systems, enhanced carbon retention. The review highlights that no single amendment is universally superior, with outcomes governed by soil–crop context. Its novelty lies in its mechanism-based, cross-amendment synthesis that frames both yield and carbon outcomes as context-dependent rather than universally transferable. Within this framework, humic substances and carbon-rich materials show potential for climate-smart soil management, but long-term carbon sequestration effects remain uncertain and context-dependent. Full article
(This article belongs to the Section Carbon Cycle, Capture and Storage)
Show Figures

Graphical abstract

12 pages, 1926 KB  
Article
Analysis on Energy Conservation and Carbon Reduction Potential of Road and Tunnel LED Lighting Driven by GB 37478 Standard and Its Policy Implications
by Xiuying Liang, Lei Zeng, Jialin Liu, Rui Wang and Ren Liu
Energies 2026, 19(2), 492; https://doi.org/10.3390/en19020492 - 19 Jan 2026
Abstract
With China’s accelerated urbanization, road and tunnel lighting demand and its electricity consumption have grown significantly, making energy conservation, and carbon reduction urgent. GB 37478, the core standard for road and tunnel LED luminaires, is crucial for promoting high-efficiency products and the lighting [...] Read more.
With China’s accelerated urbanization, road and tunnel lighting demand and its electricity consumption have grown significantly, making energy conservation, and carbon reduction urgent. GB 37478, the core standard for road and tunnel LED luminaires, is crucial for promoting high-efficiency products and the lighting industry’s energy efficiency transformation. This study focuses on its 2019 and 2025 editions, using a bottom-up model, product Stock model, and carbon reduction potential method to analyze the standard’s energy conservation and carbon reduction potential during 2021–2030, alongside international energy efficiency comparisons. The results show that by 2030, GB 37478 will achieve 162 TWh cumulative electricity savings, over 90 million tons of CO2 reduction. The standard has optimized the market structure: Grade 1 energy efficiency products rose from 5% (2019) to over 60% (2025). China’s energy efficiency requirements for such LED luminaires are internationally advanced. Replacing high-pressure sodium lamps with LEDs (50–60% savings) outperforms LED upgrades (10–20%). Future standards should extend from product to system level, integrating safety, health, and intelligence. This study provides a scientific basis for quantifying the standard’s dual-carbon contribution and references for industry policies. Full article
Show Figures

Figure 1

35 pages, 14165 KB  
Article
Spatiotemporal Patterns of Aboveground Carbon Storage in Hainan Mangroves Based on Machine Learning and Multi-Source Remote Sensing Data
by Zhikuan Liu, Zhaode Yin, Wenlu Zhao, Zhongke Feng, Huiqing Pei, Pietro Grimaldi and Zixuan Qiu
Forests 2026, 17(1), 131; https://doi.org/10.3390/f17010131 - 19 Jan 2026
Abstract
As an essential blue carbon ecosystem, mangroves play a vital role in coastal protection, biodiversity conservation, and climate regulation. However, their complex and variable growth environments pose challenges for precise monitoring. Hainan Island represents a region within China where mangrove forests are the [...] Read more.
As an essential blue carbon ecosystem, mangroves play a vital role in coastal protection, biodiversity conservation, and climate regulation. However, their complex and variable growth environments pose challenges for precise monitoring. Hainan Island represents a region within China where mangrove forests are the most concentrated and diverse in type. In recent years, ecological restoration efforts have led to the recovery of their coverage areas. This study analyzed the spatial distribution, canopy height, and aboveground carbon storage variations in Hainan mangrove forests. Deep-learning and multiple machine-learning algorithms were used to integrate multitemporal Sentinel-2 remote sensing imagery from 2019 to 2023 with unmanned aerial vehicle observations and field survey data. Multi-rule image fusion and deep-learning techniques effectively enhanced mangrove identification accuracy. The mangrove classification achieved an overall accuracy exceeding 90%. The mangrove area in Hainan increased from 3948.83 ha in 2019 to 4304.29 ha in 2023. Gradient-boosted decision tree (GBDT) models estimated average canopy height with a high coefficient of determination (R2 = 0.89), and Random Forest (RF) models yielded the best estimations of total above-ground carbon stock with strong agreement to field observations. Integrating multisource remote sensing data with artificial intelligence algorithms enabled high-precision dynamic monitoring of mangrove distribution, structure, and carbon storage to provide scientific support for the assessment, management, and carbon sink accounting of Hainan mangrove ecosystems. Full article
Show Figures

Figure 1

17 pages, 1589 KB  
Article
Soil Organic Carbon Sequestration of Long-, Two-Term Rotational Tillage in a Semiarid Region: Aggregate-Associated OC Concentrations and Mineralization
by Shixiang Zhao, Shuwei Shen, Shaoqi Xue, Xudong Wang and Xia Zhang
Agronomy 2026, 16(2), 233; https://doi.org/10.3390/agronomy16020233 - 19 Jan 2026
Abstract
Rotational tillage is considered a potential option to improve soil organic carbon (SOC) stock and mitigate climate change. However, the mechanisms underlying SOC sequestration under rotational tillage remain poorly understood due to insufficient data on SOC concentration and mineralization within soil aggregates. A [...] Read more.
Rotational tillage is considered a potential option to improve soil organic carbon (SOC) stock and mitigate climate change. However, the mechanisms underlying SOC sequestration under rotational tillage remain poorly understood due to insufficient data on SOC concentration and mineralization within soil aggregates. A 12-year field experiment was conducted in Northwest China to evaluate the effects of tillage on SOC stocks, soil aggregate stability, aggregate-associated OC concentrations and mineralization. The results showed that rotational tillage had more crop residue and less soil disturbance, thus improving soil aggregate stability, aggregate-associated OC concentrations and SOC stocks. The highest MWD and SOC stocks were found in no-tillage rotated with subsoiling (NS), which were 36.0–69.7% and 16.3% higher than plowing, respectively. Macroaggregates had higher cumulative OC mineralization and lower OC mineralizability, due to physical protection. Rotational tillage treatments with higher soil aggregation contributed to decreasing OC mineralizability and increasing SOC sequestration. Meanwhile, rotational tillage decreased OC mineralization loss, mineralizability, and decomposition rate within microaggregates and silt–clay fractions. Among all treatments, NS treatment had the lowest total OC mineralization, which was lower by 5.94–27.3% than plowing at 0–40 cm depths. Considering soil structure stability, SOC mineralization and sequestration, NS treatment was a promising strategy in semiarid regions. Full article
(This article belongs to the Section Soil and Plant Nutrition)
Show Figures

Figure 1

18 pages, 557 KB  
Article
Housing Retrofit at Scale: A Diffusion of Innovations Perspective for Planetary Health and Human Well-Being
by Chamara Panakaduwa, Paul Coates, Nishan Mallikarachchi, Harshi Bamunuachchige and Srimal Samansiri
Challenges 2026, 17(1), 4; https://doi.org/10.3390/challe17010004 - 16 Jan 2026
Viewed by 170
Abstract
Housing stock is observed to be associated with high carbon emissions, high fuel poverty and low comfort levels in the UK. Retrofitting the housing stock is one of the best solutions to address these problems. This paper directly corresponds with human and planetary [...] Read more.
Housing stock is observed to be associated with high carbon emissions, high fuel poverty and low comfort levels in the UK. Retrofitting the housing stock is one of the best solutions to address these problems. This paper directly corresponds with human and planetary health in terms of climate change, human health and mental health by addressing the challenges of housing retrofit at scale. Retrofitting houses can also contribute to social equity, reduced use of planetary resources and better financial and physical comfort. Despite the availability of the right technology, government grants and the potential to acquire supply chain and skilled labour, the progress of retrofit is extremely poor. Importantly, the UK is off track to achieve net zero by 2050, and the housing stock contributes 18.72% of the total emissions. The problem is further exacerbated by the 30.4 million units of housing stock. Robust strategies are required to retrofit the housing stock at scale. The study uses a qualitative modelling method under the diffusion of innovations theory to formulate a retrofit-at-scale strategy for the UK. Findings recommend focusing on skill development, show homes, research and innovation, supply chain development, business models, government grants and regulatory tools in a trajectory from 2025 to 2050. The proposed strategy is aligned with the segments of the diffusion of innovation theory. Although the analysis was performed with reference to the UK, the findings are transferable, considering the broader and urgent concerns related to human and planetary health. Full article
(This article belongs to the Section Energy Sustainability)
Show Figures

Figure 1

9 pages, 955 KB  
Proceeding Paper
LiDAR-Based 3D Mapping Approach for Estimating Tree Carbon Stock: A University Campus Case Study
by Abdul Samed Kaya, Aybuke Buksur, Yasemin Burcak and Hidir Duzkaya
Eng. Proc. 2026, 122(1), 8; https://doi.org/10.3390/engproc2026122008 - 15 Jan 2026
Viewed by 99
Abstract
This study aims to develop and demonstrate a low-cost LiDAR-based 3D mapping approach for estimating tree carbon stock in university campuses. Unlike conventional field-based measurements, which are labor-intensive and error-prone, the proposed system integrates a 2D LiDAR sensor with a servo motor and [...] Read more.
This study aims to develop and demonstrate a low-cost LiDAR-based 3D mapping approach for estimating tree carbon stock in university campuses. Unlike conventional field-based measurements, which are labor-intensive and error-prone, the proposed system integrates a 2D LiDAR sensor with a servo motor and odometry data to generate three-dimensional point clouds of trees. From these data, key biometric parameters such as diameter at breast height (DBH) and total height are automatically extracted and incorporated into species-specific and generalized allometric equations, in line with IPCC 2006/2019 guidelines, to estimate above-ground biomass, below-ground biomass, and total carbon storage. The experimental study is conducted over approximately 70,000 m2 of green space at Gazi University, Ankara, where six dominant species have been identified, including Cedrus libani, Pinus nigra, Platanus orientalis, and Ailanthus altissima. Results revealed a total carbon stock of 16.82 t C, corresponding to 61.66 t CO2eq. Among species, Cedrus libani (29,468.86 kg C) and Ailanthus altissima (13,544.83 kg C) showed the highest contributions, while Picea orientalis accounted for the lowest. The findings confirm that the proposed system offers a reliable, portable, cost-effective alternative to professional LiDAR scanners. This approach supports sustainable campus management and highlights the broader applicability of low-cost LiDAR technologies for urban carbon accounting and climate change mitigation strategies. Full article
Show Figures

Figure 1

13 pages, 2746 KB  
Article
A Data-Driven Framework for Electric Vehicle Charging Infrastructure Planning: Demand Estimation, Economic Feasibility, and Spatial Equity
by Mahmoud Shaat, Farhad Oroumchian, Zina Abohaia and May El Barachi
World Electr. Veh. J. 2026, 17(1), 42; https://doi.org/10.3390/wevj17010042 - 14 Jan 2026
Viewed by 164
Abstract
The accelerating global transition to electric mobility demands data-driven infrastructure planning that balances technical, economic, and spatial considerations. This study develops a scenario-based demand and economic modeling framework to estimate electric vehicle (EV) charging infrastructure needs across Abu Dhabi’s urban and rural regions [...] Read more.
The accelerating global transition to electric mobility demands data-driven infrastructure planning that balances technical, economic, and spatial considerations. This study develops a scenario-based demand and economic modeling framework to estimate electric vehicle (EV) charging infrastructure needs across Abu Dhabi’s urban and rural regions through 2050. Two adoption pathways, Progressive and Thriving, were constructed to capture contrasting policy and technological trajectories consistent with the UAE’s Net Zero 2050 targets. The model integrates regional travel behavior, energy consumption (0.23–0.26 kWh/km), and differentiated charging patterns to project EV penetration, charging demand, and economic feasibility. Results indicate that EV stocks may reach 750,000 (Progressive) and 1.1 million (Thriving) by 2050. The Thriving scenario, while demanding greater capital investment (≈108 million AED), yields higher utilization, improved spatial equity (Gini = 0.27), and stronger long-term returns compared to the Progressive case. Only 17.6% of communities currently meet infrastructure readiness thresholds, emphasizing the need for coordinated grid expansion and equitable deployment strategies. Findings provide a quantitative basis for balancing economic efficiency, spatial equity, and policy ambition in the design of sustainable EV charging networks for emerging low-carbon cities. Full article
(This article belongs to the Section Charging Infrastructure and Grid Integration)
Show Figures

Graphical abstract

16 pages, 3975 KB  
Article
Distribution Characteristics and Impact Factors of Surface Soil Organic Carbon in Urban Green Spaces of China
by Yaqing Chen, Weiqing Meng, Nana Wen, Xin Wang, Mengxuan He, Xunqiang Mo, Wenbin Xu and Hongyuan Li
Sustainability 2026, 18(2), 825; https://doi.org/10.3390/su18020825 - 14 Jan 2026
Viewed by 95
Abstract
As a key component of urban green spaces, which provide sustainability-relevant ecosystem services such as carbon sequestration, soils support plant growth and represents an important carbon pool in urban ecosystems. However, surface soil organic carbon (SSOC) in urban green spaces can be highly [...] Read more.
As a key component of urban green spaces, which provide sustainability-relevant ecosystem services such as carbon sequestration, soils support plant growth and represents an important carbon pool in urban ecosystems. However, surface soil organic carbon (SSOC) in urban green spaces can be highly heterogeneous due to the combined influences of natural conditions and human activities. To quantify national-scale patterns and major correlates of SSOC in China’s urban green spaces, we compiled published surface (0–20 cm) SSOC observations from 154 field studies and synthesized SSOC density and stocks across 224 Chinese cities, providing a nationally comparable assessment at the city scale. Measurements were harmonized to a consistent depth, and a random forest gap-filling approach was used to extend estimates for data-poor cities. The mean SSOC density and total SSOC stock of urban green spaces were 3.22 kg C m−2 and 57.87 × 109 kg C, respectively, and SSOC density showed no obvious latitudinal gradient across the 224 cities. Variable importance from the random forest analysis indicated that soil physicochemical properties (e.g., bulk density, total nitrogen, and texture) were the strongest predictors of SSOC density, whereas climatic and topographic variables showed comparatively lower importance. This pattern may suggest that anthropogenic modification and management dampen macro climatic signals such as temperature and precipitation at the national scale. Full article
(This article belongs to the Section Social Ecology and Sustainability)
Show Figures

Figure 1

20 pages, 5284 KB  
Article
Species-Specific Allometric Models for Biomass and Carbon Stock Estimation in Silver Oak (Grevillea robusta) Plantation Forests in Thailand: A Pilot-Scale Destructive Study
by Yannawut Uttaruk, Teerawong Laosuwan, Satith Sangpradid, Jay H. Samek, Chetpong Butthep, Tanutdech Rotjanakusol, Siritorn Dumrongsukit and Yongyut Rouylarp
Forests 2026, 17(1), 100; https://doi.org/10.3390/f17010100 - 12 Jan 2026
Viewed by 344
Abstract
Accurate biomass and carbon estimation in tropical plantation forests requires species-specific allometric models. Silver Oak (Grevillea robusta A. Cunn. ex R. Br.), cultivar “AVAONE,” is widely planted in northeastern Thailand, yet locally calibrated equations remain limited. This study developed species- and site-specific [...] Read more.
Accurate biomass and carbon estimation in tropical plantation forests requires species-specific allometric models. Silver Oak (Grevillea robusta A. Cunn. ex R. Br.), cultivar “AVAONE,” is widely planted in northeastern Thailand, yet locally calibrated equations remain limited. This study developed species- and site-specific allometric models using destructive sampling of eight trees (n = 8) aged 2–9 years from a single plantation in Pak Chong District, Nakhon Ratchasima Province, without independent validation. Each tree was separated into stem, branches, leaves, and roots to determine fresh and dry biomass, and carbon concentrations were measured using a LECO CHN628 analyzer in an ISO/IEC 17025-accredited laboratory. Aboveground biomass increased from 17.49 kg at age 2 to 860.42 kg at age 9, with the most rapid gains occurring between ages 6 and 9. Tree height stabilized at approximately 19–20 m after age 7, while diameter continued to increase. Stems accounted for the largest proportion of dry biomass, followed by branches and roots. Carbon concentrations ranged from 45.561% to 48.704%, close to the IPCC default value of 47%. Power-law models based on D2H showed clear relationships with biomass, with R2 values ranging from 0.7365 to 0.9372 for individual components and 0.8409 for aboveground biomass. These locally derived equations provide preliminary, site-specific relationships for estimating biomass and carbon stocks in Silver Oak AVAONE plantations and offer a baseline for future studies with expanded sampling and independent validation. Full article
Show Figures

Figure 1

24 pages, 4689 KB  
Article
Intelligent Detection and Energy-Driven Repair of Building Envelope Defects for Improved Thermal and Energy Performance
by Daiwei Luo, Tianchen Zhang, Wuxing Zheng and Qian Nie
Energies 2026, 19(2), 351; https://doi.org/10.3390/en19020351 - 11 Jan 2026
Viewed by 134
Abstract
This study addresses the challenge of rapid identification and assessment of localized damage to building envelopes under resource-constrained conditions—specifically, the absence of specialized inspection equipment—with a particular focus on the detrimental effects of such damage on thermal performance and energy efficiency. An efficient [...] Read more.
This study addresses the challenge of rapid identification and assessment of localized damage to building envelopes under resource-constrained conditions—specifically, the absence of specialized inspection equipment—with a particular focus on the detrimental effects of such damage on thermal performance and energy efficiency. An efficient detection methodology tailored to small-scale maintenance scenarios is proposed, leveraging the YOLOv11 object detection architecture to develop an intelligent system capable of recognizing common envelope defects in contemporary residential buildings, including cracks, spalling, and sealant failure. The system prioritizes the detection of anomalies that may induce thermal bridging, reduced airtightness, or insulation degradation. Defects are classified according to severity and their potential impact on thermal behavior, enabling a graded, integrated repair strategy that holistically balances structural safety, thermal restoration, and façade aesthetics. By explicitly incorporating energy performance recovery as a core objective, the proposed approach not only enhances the automation of spatial data processing but also actively supports the green operation and low-carbon retrofitting of existing urban building stock. Characterized by low cost, high efficiency, and ease of deployment, this method offers a practical and scalable technical pathway for the intelligent diagnosis of thermal anomalies and the enhancement of building energy performance. It aligns with the principles of high-quality architectural development and sustainable building governance, while concretely advancing operational energy reduction in the built environment and contributing meaningfully to energy conservation goals. Full article
Show Figures

Figure 1

30 pages, 2675 KB  
Article
Synergistic Interactions and Short-Term Impact of Tillage Systems on Soil Physico-Chemical Properties and Organic Carbon Sequestration in North-Eastern Romania
by Segla Serginho Cakpo, Mariana Rusu, Cosmin Ghelbere, Gabriel Dumitru Mihu, Tudor George Aostăcioaei, Ioan Boti, Gerard Jităreanu and Denis Țopa
Agriculture 2026, 16(2), 179; https://doi.org/10.3390/agriculture16020179 - 10 Jan 2026
Viewed by 200
Abstract
Tillage practices regulate soil health by influencing soil’s physico-chemical qualities and its capacity to sequester organic carbon. Maintaining soil health contributes to ecosystem stability and fluidity in the soil–plant–atmosphere relationship. This study aimed to evaluate soil porosity (SP), aeration limit (SAL), soil capillary [...] Read more.
Tillage practices regulate soil health by influencing soil’s physico-chemical qualities and its capacity to sequester organic carbon. Maintaining soil health contributes to ecosystem stability and fluidity in the soil–plant–atmosphere relationship. This study aimed to evaluate soil porosity (SP), aeration limit (SAL), soil capillary capacity (SCC), soil total capacity (STC), soil temperature (Ts), air temperature (Ta), nutrient availability, soil organic carbon (SOC), and soil organic matter (SOM) under three different tillage systems: no-tillage (NT), minimum tillage (MT), and conventional tillage (CT), based on a short-term field experiment. This research was conducted on Cambic Chernozem soil using a randomized complete block design with three replications. The results revealed a significant effect of tillage systems on all evaluated properties. SP reached a higher value under MT (60.01%), NT (56.74%) and CT (53.58%), respectively. This observation is similar with regard to SAL, SCC, and STC. It might be due to the reduced soil disturbance characteristics of conservation systems, thereby maintaining the soil’s natural state. There is a positive regression between these two properties across all three systems, with the highest R2 = 0.8308 observed under MT. The highest carbon stocks were recorded in NT (2.82%) and MT (2.91%) compared to 2.01% in CT at surface depths of 0–5 and 5–10 cm. This can be explained by the accumulation of organic residues and a reduction in their oxidation. Nutrient availability (TN, P, and K) increased at depths of 0–5 cm and 5–10 cm, with the highest values in conservation systems. Furthermore, the results demonstrate a significant relationship and positive synergy between soil depth, tillage practices, and key physical and chemical soil properties, especially carbon stock, across the two cropping seasons. Full article
28 pages, 12746 KB  
Article
Spatiotemporal Dynamics of Forest Biomass in the Hainan Tropical Rainforest Based on Multimodal Remote Sensing and Machine Learning
by Zhikuan Liu, Qingping Ling, Wenlu Zhao, Zhongke Feng, Huiqing Pei, Pietro Grimaldi and Zixuan Qiu
Forests 2026, 17(1), 85; https://doi.org/10.3390/f17010085 - 8 Jan 2026
Viewed by 180
Abstract
Tropical rainforests play a vital role in maintaining global ecological balance, carbon cycling, and biodiversity conservation, making research on their biomass dynamics scientifically significant. This study integrates multi-source remote sensing data, including canopy height derived from GEDI and ICESat-2 satellite-borne lidar, Landsat imagery, [...] Read more.
Tropical rainforests play a vital role in maintaining global ecological balance, carbon cycling, and biodiversity conservation, making research on their biomass dynamics scientifically significant. This study integrates multi-source remote sensing data, including canopy height derived from GEDI and ICESat-2 satellite-borne lidar, Landsat imagery, and environmental variables, to estimate forest biomass dynamics in Hainan’s tropical rainforests at a 30 m spatial resolution, involving a correlation analysis of factors influencing spatiotemporal changes in Hainan Tropical Rainforest biomass. The research aims to investigate the spatiotemporal variations in forest biomass and identify key environmental drivers influencing biomass accumulation. Four machine learning algorithms—Backpropagation Neural Network (BP), Convolutional Neural Network (CNN), Random Forest (RF), and Gradient Boosting Decision Tree (GBDT)—were applied to estimate biomass across five forest types from 2003 to 2023. Results indicate the Random Forest model achieved the highest accuracy (R2 = 0.82). Forest biomass and carbon stocks in Hainan Tropical Rainforest National Park increased significantly, with total carbon stocks rising from 29.03 million tons of carbon to 42.47 million tons of carbon—a 46.36% increase over 20 years. These findings demonstrate that integrating multimodal remote sensing data with advanced machine learning provides an effective approach for accurately assessing biomass dynamics, supporting forest management and carbon sink evaluations in tropical rainforest ecosystems. Full article
Show Figures

Figure 1

17 pages, 2260 KB  
Article
From Waste to Wealth: Integrating Fecal Sludge-Based Co-Compost with Chemical Fertilizer to Enhance Nutrient Status and Carbon Storage in Paddy Soils
by Sabina Yeasmin, Md. Sabbir Hosen, Zaren Subah Betto, Md. Kutub Uddin, Md. Parvez Anwar, Md. Masud Rana, A. K. M. Mominul Islam, Tahsina Sharmin Hoque and Sirinapa Chungopast
Nitrogen 2026, 7(1), 10; https://doi.org/10.3390/nitrogen7010010 - 7 Jan 2026
Viewed by 249
Abstract
This study evaluated the effects of applying fecal sludge-based co-compost (CC) integrated with chemical fertilizers on soil nutrient status, organic carbon (OC) storage, and economic returns in paddy soils. Ten integrated nutrient management (INM) treatments were tested, i.e., BRRI recommended dose of fertilizer [...] Read more.
This study evaluated the effects of applying fecal sludge-based co-compost (CC) integrated with chemical fertilizers on soil nutrient status, organic carbon (OC) storage, and economic returns in paddy soils. Ten integrated nutrient management (INM) treatments were tested, i.e., BRRI recommended dose of fertilizer (RDF), CC 5.0 t ha−1, RDF + CC 2.0 t ha−1, RDF + CC 1.5 t ha−1, RDF + CC 1.0 t ha−1, RDF + CC 0.5 t ha−1, 75% RDF + CC 2.0 t ha−1, 75% RDF + CC 1.5 t ha−1, 75% RDF + CC 1.0 t ha−1, and 75% RDF + CC 0.5 t ha−1. Two rice varieties were cultivated over two consecutive seasons—winter rice (boro) and monsoon rice (aman)—in the experimental field. Soil samples (0–15 cm) were collected before and after the seasons and fractionated into labile particulate organic matter (>53 µm) and stable mineral-associated organic matter (<53 µm). Bulk soils and CC were analyzed for OC, nitrogen (N), phosphorus (P), potassium (K), sulfur (S), and heavy metals, while the fractions were analyzed for OC and N. Across both seasons, 75% RDF combined with 2.0 t ha−1 or 1.5 t ha−1 of CC consistently showed the highest OC, total N, and soil C stock, with moderate P, K, and S levels. Sole RDF produced the lowest OC and N. Among fractions, stable OC was the highest in the 75% RDF + 2.0 t ha−1 CC treatment, statistically similar to 75% RDF + 1.5 t ha−1 CC, and the lowest under RDF alone. Economically, sole RDF yielded the highest profit, while full RDF + CC achieved competitive returns. Reduced RDF + CC treatments (75% RDF + 1.5 or 2.0 t ha−1 CC) offered slightly lower returns but improved soil sustainability indicators. Overall, applying 75% RDF + 1.5 t ha−1 CC provided the most cost-effective balance of nutrient enrichment, soil C stock, and profitability. This CC-based INM approach reduces chemical fertilizer dependency, enhances soil health, and promotes sustainable waste management, supporting environmentally resilient rice production. Full article
(This article belongs to the Special Issue Nitrogen Uptake and Loss in Agroecosystems)
Show Figures

Figure 1

Back to TopTop