Abstract
This study investigated carbon sequestration potential in reforesting agricultural lands with prevalence of Scots pine (Pinus sylvestris L.) in the “Nasibash” site of the Eurasian Carbon Polygon, located in the Republic of Bashkortostan, Russia. The research focused on analyzing carbon stocks in different ecosystem components (tree stand, herbaceous layer, litter, and soil) across various stages of succession, including fallow land, hayfield, and four stages of Scots pine reforestation. We found that needles during the first stage of succession were characterized by the highest carbon sequestration, while the lowest was in underground phytomass (roots). The tree stand exhibited a higher potential for carbon sequestration in stem wood, branches, and needles compared to other components. The highest carbon accumulation in the tree layer was observed in the stem phytomass at the fourth stage of reforestation, while the highest phytomass accumulation in the herbaceous layer was in the root mass at the fourth stage of succession. The study revealed that the highest organic carbon content in the topsoil layer was observed in areas dominated by herbaceous vegetation, with a decrease in carbon content as the stage of succession increased. The highest carbon content was found in tree pines at the first stage of succession. The research highlighted the importance of considering conversion factors for different stages of reforestation, as the average carbon content in vegetation was 20% higher than the approved conversion factors for young tree stands. Overall, the study demonstrates the significant potential of Scots pine reforestation on former agricultural lands for carbon. The findings suggest that these territories play a decisive role in future environmental and climate projects, contributing to the decarbonization efforts.
1. Introduction
The advancement of agricultural technologies and shifts in socioeconomic conditions have led to a decline in arable land. This significant reduction in farmland is observed globally. Between 1700 and 1990, 1.5 million square kilometers of arable land were abandoned [1]. These abandoned lands occupy considerable areas in various countries. For instance, 15% of the total territory of Belarus and Poland is occupied by fallow lands [2]. The area of arable land in Russia has halved since 1990 (28.8 million hectares in 1990, 14.3 million hectares in 2007) [3]. According to the Russian Ministry of Agriculture, 12.0 million hectares of arable land remained unfarmed in 2020 [4].
As a result, lands previously used for agriculture are being recolonized by wild vegetation, particularly trees [5,6]. Indonesia’s fallow lands are 29.5% covered by forests [7]. In Central and Northern Spain, 1.54% of the territory has become forested or sparsely wooded [8]. In the United States, 18.6% of fallow lands have transformed into forests and shrublands [9]. This issue is particularly relevant for post-Soviet countries [10]. Research revealed an 8% increase in forest area in the European part of Russia between 2000 and 2010 [11]. Studies on agricultural lands being reforested in the northwest of the Republic of Bashkortostan (Russia) demonstrate a 20.41% increase in forest area from 1985 to 2022 [5]. Research conducted in the northeast, west, and mountainous regions of the Republic of Bashkortostan [12] also shows an increase in forest area due to the reforestation of former arable and pasture lands.
In the Mishkinsky and Belebeevsky districts of the Republic of Bashkortostan (Russia), a decrease in arable land has been observed by 62% and 74%, respectively, with fallow lands overgrown by vegetation covering more than half of arable lands [13].
During the process of reforestation of former arable lands, the most intensive phytomass accumulation occurs, leading to a significant absorption of carbon dioxide [14,15,16,17,18]. The initial stages of succession exhibit the highest rates of atmospheric carbon sequestration. However, tree stands at different stages of succession contribute differently to carbon sequestration, highlighting the importance of assessing their individual contributions [17].
One of the primary tree species responsible for the reforestation of agricultural lands in various Russian federal subjects, including the Republic of Bashkortostan [5,19], Republic of Buryatia and Irkutsk Oblast [20], Sverdlovsk Oblast [21], etc.) is the Scots pine (Pinus sylvestris L.). Former arable lands overgrown with Scots pine can be quite productive. For example, Yanbaev et al. observed successful reforestation of unused agricultural lands with Scots pine in the Bashkir Trans-Urals [19], noting an increase in annual height growth over time. Estimating carbon stocks is most effective when considering all ecosystem elements: soil, root system, herbaceous layer, trunk, branches, and leaves (needles) of trees [16].
The aim of the study is to evaluate the features of carbon sequestration in phytomass, mortmass and soil on abandoned agricultural lands overgrown with Scots pine in the conditions of forest steppe in the north of the Bashkir Cis-Urals (Russia).
2. Materials and Methods
The research was conducted at site No. 6 “Yangan-Tau Geopark” (Nasibash site) of the Eurasian Carbon Polygon, located in the northeastern part of the Republic of Bashkortostan (Salavatsky Municipal District) (Figure 1). The “Yangan-Tau” Geopark is the only UNESCO Global Geopark in Russia and adheres to the strategy of achieving Sustainable Development Goal 13 “Climate Action” [22,23]. The geopark territory is located in the forest steppe zone. Scots pine (Pinus sylvestris L.) and birch (Betula pendula Roth) are dominant species. These are secondary forests that have replaced broadleaf forests and steppes. In the past, the geopark territory was used for agriculture, but currently, most of the arable lands are not used. This has led to over 12% of the geopark’s fallow lands becoming reforested. This process contributes to the sequestration of atmospheric carbon by fallow lands.
Figure 1.
Location of the Yangan-Tau UNESCO Global Geopark (yellow outline) and the “Nasibash” site of the Eurasian Carbon Polygon (blue outline).
The “Nasibash” site represents fallow lands overgrown with Scots pine. There are four stages of reforestation present: the fourth stage and fourth sparse stage (trees aged 20 years and older), the third stage (trees aged around 15 years), and the first stage (trees aged up to 5 years). Additionally, an assessment of carbon sequestration was conducted for the fourth stage with sparse tree stands, as well as fallow lands and hayfields without tree vegetation.
The first stage of reforestation (Figure 2a) is characterized by trees with heights ranging from 0.5 to 1.5 m, aged 1 to 5 years; the canopy cover is 10%. The herbaceous layer is meadow-like and includes ruderal species. The average projected cover of herbaceous vegetation is 19.1%. The herbaceous layer is dominated by species such as Knautia arvensis (L.) Coult, Hieracium onegense (Norrl.) Norrl, Poa angustifolia L., Alchemilla sp., Fragaria viridis Weston, Galium album Mill., Origanum vulgare L., Picris hieracioides L., Dactylis glomerata L., Fragaria vesca L., Trifolium medium L., Achillea millefolium L., and Chamerion angustifolium (L.) Holub. The average height of the herbaceous layer is 19.1 cm.
Figure 2.
Photos of different stages of Scots pine reforestation of former agricultural lands at the “Nasibash” site. (a)—stage 1; (b)—stage 3; (с)—stage 4; (d)—stage 4—sparse; (e)—abandoned; (f)—hayfield.
The third stage of reforestation (Figure 2b) features trees with heights of 2–3 m, aged 15–20 years; the canopy cover is 70%. The average projected cover of herbaceous vegetation is 25.6%. The herbaceous layer is primarily composed of species like Cirsium setosum (Willd.) Besser, Poa angustifolia L., Knautia arvensis (L.) Coult., and Hieracium onegense (Norrl.) Norrl. The average height of the herbaceous layer is 20.7 cm.
Dense Canopy (Figure 2c): Trees reach heights of 3–4 m, with ages exceeding 20 years. The canopy cover is 80%–90%. The herbaceous layer is almost absent (average projected cover of 6.7%). The dominant herbaceous species are Fragaria vesca L. and Carlina biebersteinii Bernh. ex Hornem. The average height of the herbaceous layer is 5 cm.
Sparse Canopy (Figure 2d): Trees reach heights of 3–4 m, with ages exceeding 20 years. The canopy cover is 60%–70%. The average projected cover of herbaceous vegetation is 38.8%. The dominant herbaceous species are Knautia arvensis (L.) Coult, Poa angustifolia L., Trifolium medium L., Chamerion angustifolium (L.) Holub, Dactylis glomerata L., Vicia cracca L., Fragaria viridis Weston, and Plantago media L. The average height of the herbaceous layer is 31.7 cm.
The fallow land (Figure 2e) has an average projected cover of herbaceous vegetation of 36.8%. The dominant species in this herbaceous layer include Knautia arvensis (L.) Coult, Galium album Mill., Poa angustifolia L., Trifolium medium L., Chamerion angustifolium (L.) Holub, Dactylis glomerata L., Knautia arvensis (L.) Coult, Chamerion angustifolium (L.) Holub, and Potentilla argentea L. The average height of the herbaceous layer is 25.6 cm.
In contrast, the hayfield (Figure 2f) has a higher average projected cover of vegetation at 50.6%. The dominant herbaceous species in this area are Trifolium medium L., Poa angustifolia L., Hieracium onegense (Norrl.) Norrl, Galium album Mill., Taraxacum officinale F.H. Wigg., Knautia arvensis (L.) Coult, Poa angustifolia L., Phleum phleoides (L.) H. Karst., Veronica teucrium L., Galium boreale L., and Festuca valesiaca Gaudin. The average height of the herbaceous layer in the hayfield is 25.3 cm.
2.1. Soil Analysis
Full-profile soil pits were established at sites with varying degrees of natural reforestation. Additionally, 20 soil samples were randomly collected to assess the spatial heterogeneity of organic carbon content. To enhance statistical reliability, additional soil core samples were collected from the topsoil (0–30 cm) using a hand sampler with an inner diameter of 4.5 cm following a stratified random sampling scheme. Generally, it is recommended to assess the organic carbon balance in the humus-accumulative horizons (A + AB). Several studies [24,25] have reported that a greater depth of at least 1 m should be sampled for accurate estimation of soil organic carbon; however, Jobbagy and Jackson [26] noted that soil organic carbon is primarily present in the topsoil layer (0–30 cm), which exhibits the most significant changes in soil organic carbon content due to afforestation processes [27]. Stones and tree/plant roots were eliminated from the sampled soil samples (about 300 g each). Next, the air-dried samples were pulverized and sieved (2 mm sieve).
Soil organic carbon content was estimated using the wet combustion method, following the protocol outlined by Tyurin [28], a direct analog of the Walkley–Black method [29]. A Specord M40 spectrophotometer (VEB Carl Zeiss, Jena, Germany) was employed for analysis. Soil organic carbon stocks were determined by multiplying SOC content with bulk density using the formula in Equation (1). To obtain representative carbon stock estimates, undisturbed soil samples were taken from cross-section profiles using metal cylinders (10 cm height and diameter). These cylinders were embedded into the soil at 10 cm intervals, extending to a depth of 50 cm.
Soil organic carbon stocks (t/ha) = soil organic carbon content (%) × L (soil layer, cm) × bulk density (g/cm3)
In the basic soil profiles, the phosphorus and potassium contents (mobile forms), as well as alkali-hydrolyzable nitrogen, were determined across the genetic horizons. Agrochemical properties of soil were determined by methods generally accepted in soil science. Extraction of mobile compounds of phosphorus and potassium from the soil was performed with acetic acid solution. This was subsequently followed by determination of phosphorus on a photoelectrocolorimeter and potassium on a flame photometer (Chirikov method). The determination of alkaline-hydrolyzable nitrogen by Kornfield is based on the hydrolysis of soil organic compounds by sodium hydroxide solution.
2.2. Tree Stand Productivity Assessment
Phytomass and carbon stock assessments were conducted on 10 circular plots with a diameter of 30 m in fallow arable lands overgrown with Scots pine. Aboveground biomass and tree stand productivity were assessed in mid-July. We used the model tree method to determine wood stocks. To avoid potential edge effects, trees were chosen for sampling from the central area of each plot, rather than the edges [30]. The trees were divided into three sections: top, middle, and bottom. Samples of stem, branch, and needle phytomass were then collected from each section. Both the entire tree and the collected samples were weighed with an accuracy of 0.1 g. Samples of stem wood (trunk), branches, and leaves were dried to a constant weight at room temperature and then weighed with a precision of 0.01 g.
2.3. Assessment of Herbaceous Plants
For productivity assessment of aboveground herbaceous phytomass in the understory during their peak growth period (mid-July), we randomly selected 10 to 20 square plots measuring 50 × 50 cm on 8 circular sample plots, encompassing the first, third, fourth (dense and sparse) stages of Scots pine reforestation, fallow land, and hayfield. A total of 120 sample plots were designated. In each square plot, aboveground parts of herbaceous plants were cut for sampling, and samples of dead phytomass were collected.
2.4. Assessment of Litter Phytomass
Litter phytomass (mortmass) was analyzed separately for carbon quantity. Mortmass was presented by plant litter and dead parts of grasses that were still attached to living plants. In communities at later stages of succession, mortmass was also presented by branches and small tree trunks. It partially decomposed and shed during the self-thinning of the tree stand. The samples were dried and weighed with an accuracy of 0.01 g.
2.5. Assessment of Herbaceous Plant Root Phytomass
Root phytomass was sampled from the same 50 × 50 cm plots using a soil auger with a 5 cm diameter cup. The cup height was 27 cm. We collected 20 samples in total. The collected samples were thoroughly washed with running water to remove soil and organic debris using a soil sieve with a 0.25 mm mesh size. All root samples were dried at room temperature to constant weight and then weighed with an accuracy of 0.001 g.
2.6. Carbon Content Analysis in Samples of Plant Aboveground Phytomass
We grounded the phytomass and mortmass samples to a particle size of less than 0.5 mm using the Vilitek (LM series) grinder. Then, we measured the carbon content of the samples using a CHNS EA-3100 elemental analyzer produced by Eurovector in Pavia, Italy. We used the Weaver 1.5.0.0. software package to calculate the carbon content.
We used the carbon content values in herb, tree, and soil samples to calculate the conversion factors.
2.7. Assessment of Mosses
Mosses were found in the phytomass of some sites. Some were separated from herbaceous plants and litter phytomass. A total of 37 samples were taken. We dried the samples and weighed them with an accuracy of 0.01 g.
3. Results
3.1. Soil Cover
The soil cover across all studied sites is uniform and characterized by dark gray forest soil. The mean thickness of the humus-accumulative layer (A1) was approximately 30 cm, with a granulometric composition classified as Silt Loam (Clay—19%, Silt—61%, Sand—20%). Organic carbon content varied depending on vegetation type and stage of natural reforestation, with the highest value observed in the hayfield (6.5%) and the lowest in the fourth stage of reforestation (3.4%).
Calculation of organic carbon stocks was performed for the humus-accumulative horizon A1 with a thickness of 30 cm. The results showed that the highest stocks were also observed in the hayfield (210 t/ha), while the lowest were found in the fourth stage of reforestation (134 t/ha) (Table 1).
Table 1.
Organic carbon content and stocks in dark gray forest soil (horizon A1, average thickness 30 cm).
The distribution of mobile forms of phosphorus and potassium, as well as alkali-hydrolyzable nitrogen, in the soil profile is uneven (Table 2).
Table 2.
Agrochemical properties of dark gray forest soil.
3.2. Vegetation Analysis
The analysis revealed that the highest atmospheric carbon sequestration (Table 3) occurs in the needles during the first stage of succession, accounting for 50.07 ± 0.37% of the sample mass. Overall, the tree stand exhibits a higher potential for carbon sequestration in both stem wood (trunk) and branches and needles, at 48%–50% of the carbon content of the total sample mass. Samples of underground phytomass (roots) showed the lowest sequestration capacity, at 25.26 ± 0.85% of the sample mass. The carbon content in dead phytomass, mosses, and aboveground phytomass of herbaceous vegetation averages 40%–42%. However, in the dead phytomass samples of the fourth stage of succession, the carbon content is significantly higher—over 48%—likely due to the formation of dead phytomass from pine needles. When assessing carbon content per hectare, it is crucial to consider the specific features of phytomass accumulation by different ecosystem elements. To this end, dry phytomass samples were weighed, and the resulting weight was extrapolated to an area of 1 hectare. The results are presented in Table 4. In the tree layer, the highest accumulation occurs in the stem phytomass at the fourth stage of reforestation—over 139.1 tons per hectare—while the lowest is in the branch phytomass at the first stage of reforestation—almost 0.3 tons per hectare. In the herbaceous layer, the highest phytomass accumulation is observed in the root mass at the fourth stage of succession (almost 16.2 tons per hectare), and the lowest is in the moss phytomass at the fourth sparse stage of succession—0.004 tons per hectare.
Table 3.
Carbon content of vegetation samples, %.
Table 4.
Phytomass of vegetation after drying, tons/ha.
The dynamics of phytomass accumulation at different stages of succession are presented in Figure 3. As the forest vegetation grows, phytomass stocks increase 22-fold from the fallow stage (abandoned) to the third and fourth stages. In the first stage of reforestation, phytomass stocks increase by 13% compared to the abandoned lands. In the third stage, compared to the first stage, phytomass increases 15-fold.
Figure 3.
Dynamics of vegetation phytomass accumulation at different succession stages.
The difference in phytomass stocks between the third and fourth stages is less than 0.4%. The sparse tree stand at the fourth stage differs from the dense tree stand by a factor of 1.7.
By multiplying the phytomass stocks and the percentage of carbon content, we can calculate the carbon stocks per hectare. Table 5 presents the results of these calculations. The highest carbon sequestration in woody vegetation is observed in stem wood (trunk) at the fourth stage of succession (64.3 tons/ha), while the lowest is in branches at the first stage of succession (0.3 tons/ha).
Table 5.
Carbon stocks, tons/ha.
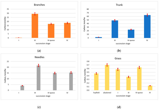
There are notable differences in the patterns of carbon accumulation in various plant elements. Figure 4 illustrates the distribution of carbon in various parts of the forest stand, grass, and mortmass. For instance, the highest accumulation in branches occurs in the third stage of succession (Figure 4a). However, there are no significant differences between the fourth and fourth sparse stages. In contrast, stem wood (trunk) (Figure 4b) exhibits the highest accumulation in the fourth stage of succession, with substantial differences from the fourth sparse and third stages of succession—by factors of 1.3 and 2.8, respectively.

Figure 4.
Peculiarities of carbon accumulation in different parts of vegetation at different stages of succession. (a)—branches; (b)—trunk; (с)—needles; (d)—grass; (e)—mortmass; (f)—roots.
Carbon accumulation in needles (Figure 4c) mirrors the pattern observed in branches, except for more active accumulation in the first stage of succession. The difference in accumulation between branches and needles in the first stage of succession is 14.6 times.
Herbaceous vegetation, in its aboveground portion, sequesters more carbon in the fallow and fourth sparse stages (Figure 4d), which can be attributed to the absence or strong sparseness of the tree layer and sufficient insolation. However, the accumulated stocks are not comparable to those of the tree layer and are significantly lower.
Carbon accumulation in dead phytomass is most pronounced in the fourth stage of succession (Figure 4e), likely due to the greater inclusion of needles in the dead phytomass. Carbon accumulation in underground phytomass is twice as high as in dead phytomass (Figure 4f). The highest accumulation is observed in the fourth and fourth sparse stages. The remaining stages of succession do not show significant differences.
Figure 5 shows the carbon stocks in vegetation at different stages of the overgrowth of fallow land (abandoned) with pine stands and in hayfields. According to Figure 5, the largest carbon stocks are observed at stages 3 and 4 of succession. In general, this indicator is closely correlated with phytomass stocks (Figure 3); Pearson’s correlation coefficient is 0.84. However, when considering stocks changes per year, the greatest potential for deposition is shown by overgrowth stage 3 (Figure 6). The stocks change in hayfield, fallow, stage 1 (abandoned), and sparse successional stage 4 are in the same order. At the same time, the stocks change in hayfield is higher than in sparse succession stage 4 per year.
Figure 5.
Total carbon stocks at different stages of succession.
Figure 6.
Changes in carbon stocks at each succession stage (tons/ha per year).
4. Discussion
Numerous studies indicate that agricultural lands being reforested by woody vegetation possess a high sequestration potential [31]. In a study conducted by Khorchani et al. [32] in the Spanish Pyrenees, the absorption capacity of reforesting agricultural lands was assessed under various land management and climate change scenarios. The authors demonstrated a significant influence of land resource management on the process of afforestation of former agricultural lands. A comparison was also made between carbon sequestration in artificial and natural forest regeneration. Artificial forest regeneration was four times more effective than natural regeneration: 112 g C·m2·year−1 versus 27 g C·m2·year−1. However, according to our research and the findings of [21], the productivity of reforesting agricultural lands is 4 to 10 times higher in comparison with the results of the study by Khorchani et al. [32]. It is important to note the water deficit in the Spanish Pyrenees, which likely impacts vegetation productivity. The study [33] highlights the importance of soil conditions and landscape features in shaping the phytomass of pine stands. Our research will be extended to different soil and landscape regions of the Republic of Bashkortostan.
Many studies evaluate the characteristics of reforestation with various species of the genus Pinus [34,35,36]. Both phytomass formation and carbon accumulation are assessed. For black pine (Pinus nigra Arnold) in Turkey, the main phytomass accumulation occurs in the stem, which is also characteristic of our research on Scots pine (Pinus sylvestris L.) [37]. In the Republic of Komi, the phytomass of Scots pine in a freshly cut state is 21 t/ha [38]. For the conditions in the Republic of Bashkortostan, the results are significantly higher, by an order of magnitude: in the third and fourth stages of succession—over 200 t/ha.
Carbon concentrations in various components (needles, wood, bark, and roots) of natural stone pine (Pinus pinea L.) were also assessed in Turkey [39]. The lowest carbon concentrations were found in needles (51.65%) and roots (51.67%), while the highest carbon concentrations were found in wood (54.74%) and bark (54.93%). The weighted carbon concentration in natural pine forests was found to be 54.56% and 54.07% for aboveground phytomass and total tree phytomass, respectively. Carbon content in similar Scots pine samples from the Nasibash site is 1%–6% lower. Our results partially agree with the research findings for Poland [40]. The average carbon content was lowest in the trunk (47.0%) and highest in needles (50.3%). Our results also show the highest content in needles—50.7%—in the area with the first stage of succession, while the carbon content in the stem and branches is slightly higher—over 49%—relative to the results of the study by Wegiel A. and Polow K. [40]. However, it should be noted that this study considered mature trees aged 80–90 years.
Both global and Russian studies have indicated a carbon content of 46% or more in tree roots. However, the carbon content in the roots depends on the tree species, location, and growing conditions. In Turkey, the average carbon concentration in Scots pine roots is 46% [41]. In Finland, the carbon content in roots varies depending on the plant community; the highest value of 47.6% was recorded for Dwarf-shrub Pine bog, while the highest carbon content of 50.5% was found in Vaccinium myrtillus Spruce swamp [42]. In Latvia, the average carbon content in the roots of Scots pine was 53% [43,44]. Additionally, a decrease in carbon concentration was observed between coarse roots and fine roots, with values of 49.5% and 46.8%, respectively. At the Nasibash site, there is also a decrease in the carbon content of the roots. In course roots, the average carbon content is 36%, while in fine roots, it is 29%, on average (Table 3). In a study by Dryw A. Jones and Kevin L. O’Hara [45], the deviation of the measured carbon fractions was 17.6%. Considering that in many other studies, carbon values ranged from 45% to 53% [41,42,43,44,45,46], the obtained results are consistent with the lower end of this range.
Similar carbon content values were also observed for roots of herbaceous plants [47]. In the North Caucasus, the highest carbon concentration was observed in Empetrurn nigrum (51.7%) and the lowest in Chaerophyllum roseum (34.7%). The research data [16] are the closest to our results, with carbon concentrations in the roots of trees and grassy vegetation ranging from 34.79% to 44.82%, depending on the stage of birch overgrowth. However, our results are still lower than the literature values (the minimum is 25.26% and the maximum is 30.7%, as shown in Table 3). We assume that this phenomenon may be caused by nitrogen deficiency in the soil (Table 2). According to the results of long-term soil studies, the gray forest soils of the forest steppe region of Bashkortostan have a low nitrogen content, ranging from 0.21% to 0.45% [48]. The nitrogen content at the Nasibash site, as measured using the alkaline hydrolysis method, which is used for plant nutrition, was 0.02%, which is below the average value for the region (Table 2). We assume that this shortage is due to the fact that these lands were previously used for farming but were quickly depleted and left abandoned. Additionally, pine litter decomposes slowly and does not contribute to soil enrichment. According to [49], nitrogen deficiency affects the carbon metabolism of plants. A study by Zhou et al. [50] found that trees and grasses in natural ecosystems give about 30% of their total assimilated carbon to mycorrhizal fungi in exchange for nitrogen and/or phosphorus. In rice crops, when there is nitrogen deficiency in the soil, the carbon content in the rhizosphere decreases and increases in the soil [51]. A study conducted in the Middle Urals also showed a decrease in the carbon content of roots in soils with low nitrogen [52]. The nitrogen content in the thin roots was found to be 39%, which is higher than the value determined at the Nasibash site. The nitrogen content of the soil, on the other hand, was found to be only 0.15%.
In addition, correlation analysis revealed a connection between the nitrogen content in the A2 layer and the carbon content in the roots—the Pearson correlation coefficient was 0.8. However, we feel that further study of this relationship is needed, and to obtain an accurate assessment, it would be beneficial to increase the number of samples.
The carbon concentration in the aboveground phytomass of Scots pine stands, according to our research, is 48%–50%. Studies [41,53] in Latvia indicate that the carbon content in forest-covered abandoned agricultural lands is 49.5 ± 0.1%. In the root phytomass of Scots pine on forest lands, the carbon content was 48.9 ± 0.1%. The carbon content in birch stems is similar—48.5% [16]. On average, the carbon content in vegetation for all stages is 20% higher than the conversion factors approved by order of the Ministry of Natural Resources of the Russian Federation dated 27.05.2022 N 371 (for young tree stands) [54].
When considering the carbon pool in the tree stand per unit area, the carbon stocks in the tree stand on Scots pine reforesting agricultural lands in the fourth stage of succession is 94 t/ha. This is 25% higher than in the bilberry habitat type of 40-year-old Scots pine cultures in the Baltic-Belozersky taiga region of the European North of Russia (69.41 t/ha) [55]. Other types of Scots pine stands showed even lower productivity: lichen-type Scots pine stand of culture-phytocenosis (16.59 t/ha) and artificially created 40-year-old cowberry Scots pine forest (44.4 t/ha).
Carbon stock in areas not overgrown with trees—hayfield and fallow land—was 10.9 and 12.5 t/ha, respectively. For meadow steppes in the Republic of Bashkortostan, the carbon stock value is slightly lower (4.3 tC/ha), but almost twice as low as for virgin meadow steppes in the Republic of Tuva (19.4 tC/ha) [56]. Thus, the results of our research correlate with similar studies in Poland, Latvia, and other regions of Russia.
At stage 3 of overgrowth, the total photosynthetic activity of the pine stand is higher than at stage 4, due to the greater biomass of branches and needles. At the same time, as the stand naturally thins out during the transition from stage 4 to a mature forest, productivity increases, as confirmed by research by Shvidenko et al. [57]. A stand that is 20 years old produces less net primary product than stands that are between 30 and 60 years old (Figure 7). Also, in accordance with the tables for the growth course compiled by the scientific group of Shvidenko et al., the annual change in the carbon stock of the bonitet I pine stand during the age period from 20 to 30 years is 4.2 tons per hectare per year, and from 30 to 40 years is 5.5 tons per hectare per year. From 40 to 50 years, it is 6.0 tons per hectare per year, and from 50 to 60 years, it is 6.1 tons per hectare per year. At the Nasibash site, the amount of carbon sequestered in stage 3 was approximately 7 tons, but at stage 4, it decreased to around 5.2 tons (see Figure 6). This phenomenon is typical of pine forests in the deciduous forest zone of the European part of Russia. The same phenomenon is common in the fir-beech forests of the northwestern Caucasus; they have an average productivity that is four times higher than that of forests in the early stages of succession, according to Lukina et al. [58].
Figure 7.
The net primary productivity (NPP) of pine stands of different bonitet, according to Shvidenko et al. (2007) [57].
The data on the total carbon stock per hectare at the Nasibash site also indicate fairly high productivity of pine stands. For the Moscow region, the carbon reserve for 100-year-old pine stands is estimated to be 106 tons per hectare, according to Merzlenko [59]. In Arkhangelsk, the carbon reserve at the age of 40 is 119 tons per hectare for pine stands [60]. For the Volga Federal District, which includes the Republic of Bashkortostan, the average carbon reserves are around 80 tons per hectare [61]. The total carbon stock at Nasibash exceeds this average at the third and fourth stages, reaching more than 100 tons per hectare (see Figure 5). In Tatarstan, another region in the Volga Federal District, mature pine stands have a productivity of 72 tons per hectare [62], which is lower than what we found.
The relatively low organic carbon content in the fourth stage of reforestation could be attributed to an initially lower content due to both the high degree of erosion of the arable land during agricultural use and the formation of a continuous forest litter layer of pine needles, which restricts the entry of fresh herbaceous plant residues into the soil. Similarly, the study by V.D. Naumov et al. (2019) [63] also showed that higher humus content was observed under broadleaved and mixed stands compared to pure pine forests. The wide range of organic carbon content at the first stage of reforestation, with a minimum value of 5.2% and a maximum of 7.5% (variance—0.677) (Table 1), could also be linked to erosion. Overall, for this region (northeastern forest steppe zone), dark gray forest soils are the predominant subtype in the soil cover, are used in agricultural production, and are susceptible to water erosion (approximately 60% of the arable land is subject to erosion, of which 49% is classified as severe erosion) [64].
The distribution of mobile forms of phosphorus and potassium, as well as alkali-hydrolyzable nitrogen, in the soil profile is generally characterized by a low level of nutrient availability according to the nutrient content gradation, which is typical for soils in this region [65,66].
The observed trend of decreasing organic carbon content in soils with increasing stages of succession at the Nasibash site differs from similar findings for birch stands, where the organic carbon content remains relatively stable across various stages in the more fertile dark gray forest soil [16]. This trend aligns with similar studies conducted in the Loess Plateau region (China), where bulk density, soil organic carbon content, and stocks in fallow lands (1.18 mg/m3, 7.07 g/kg−1, and 80.58 mg/ha−1, respectively) were significantly higher than in forested lands (1.13 mg/m3, 6.62 g/kg−1, and 71.8 mg/ha−1, respectively) [67]. However, a study conducted in Canada [68] revealed that carbon content in soils in fallow lands is lower than in soils in mature forests (regardless of soil type). However, after 100 years, the carbon content becomes higher. The authors note that the time elapsed since the cessation of agricultural production emerges as the dominant factor determining carbon sequestration potential in this climatic region, surpassing the influence of soil type. In this context, it is crucial to continue these studies in the Republic of Bashkortostan, as agricultural use of the investigated territories ceased in the 1990s (i.e., over 30 years ago).
5. Conclusions
In this study, we investigated carbon sequestration potential in reforesting agricultural lands with Scots pine (Pinus sylvestris L.). We focused on analyzing carbon stocks in different ecosystem components (tree stand, herbaceous layer, litter, and soil) across various stages of succession, including fallow land, hayfield, and four stages of Scots pine reforestation. We found that the highest accumulation of organic carbon in the topsoil layer (0–30 cm) is observed in areas where herbaceous vegetation dominates the plant cover, with a decrease in soil carbon content as the stage of succession increases. The maximum accumulation is observed in lands where haymaking is practiced (soil organic carbon content—6.5%, stocks—210 t/ha).
The highest carbon content is observed in tree needles at the first stage of succession. Overall, the carbon content in the tree stand is, on average, 10% higher than in the herbaceous layer. Scots pine stands in the third stage of succession show the greatest potential for carbon absorption. Considering that pine plantations are the second most widespread in the Republic of Bashkortostan, and abandoned agricultural lands cover 4.5 million hectares, such territories with natural forest regeneration will become increasingly common. It is also important to note that, as with birch, the average carbon content of Scots pine differs at different stages of reforestation. In this regard, it is crucial to reconsider the conversion factors.
Scots pine stands growing on former agricultural lands exhibit high productivity and carbon sequestration capacity, represent a significant portion of the decarbonization potential of the Republic of Bashkortostan, and can be considered promising territories for future climate projects.
Author Contributions
Conceptualization, L.B. and N.F.; methodology, N.F., R.S. and P.S.; software, E.B., I.V. and R.B.; validation, E.B., A.S. and I.T.; formal analysis, R.S., G.Z. and E.B.; investigation, L.B., R.S. and E.B.; resources, L.B. and I.T.; data curation, I.F., A.V., G.Z. and R.B.; writing—original draft preparation, E.B. and R.S.; writing—review and editing, E.B., A.S. and R.S.; visualization, I.S.; supervision, L.B.; project administration, I.T.; funding acquisition, L.B. All authors have read and agreed to the published version of the manuscript.
Funding
This research was performed within the state assignment framework of the Ministry of Science and Higher Education of the Russian Federation «Assessment of greenhouse gas balance in the Eurasian carbon polygon with the aim to develop technologies to increase carbon stocks by ecosystems of the Republic of Bashkortostan for 2024–2026» (Publication number: FEUR-2024-0007).
Data Availability Statement
Data are contained within the article.
Conflicts of Interest
The authors declare no conflicts of interest.
References
- Ramankutty, N.; Foley, J.A. Estimating Historical Changes in Global Land Cover: Croplands from 1700 to 1992. Global Biogeochem. Cycles 1999, 13, 997–1027. [Google Scholar] [CrossRef]
- Alcantara, C.; Kuemmerle, T.; Prishchepov, A.V.; Radeloff, V.C. Mapping Abandoned Agriculture with Multi-Temporal MODIS Satellite Data. Remote Sens. Environ. 2012, 124, 334–347. [Google Scholar] [CrossRef]
- Lyuri, D.I.; Nekrich, A.S.; Karelin, D.V. Cropland dynamics in Russia in 1990–2015 and soil emission of carbon dioxide. Vestn. Mosk. Universiteta. Ser. 5 Geogr. 2013, 3, 139–146. (In Russian) [Google Scholar]
- Nechaeva, T.V. Abandoned Lands in Russia: Distribution, Agroecological Status and Perspective Use (a Review). J. Soils Environ. 2023, 6, 1–31. [Google Scholar] [CrossRef]
- Bogdan, E.A.; Vildanov, I.R.; Sayfullin, I.Y.; Rusakov, I.A.; Araslanova, L.K.; Belan, L.N. Overgrown Agricultural Lands As a Potential for Natural Decarbonization of Oil and Gas Fields. Pet. Eng. 2023, 21, 322–334. (In Russian) [Google Scholar] [CrossRef]
- Bradford, J.B.; Schlaepfer, D.R.; Lauenroth, W.K.; Palmquist, K.A.; Chambers, J.C.; Maestas, J.D.; Campbell, S.B. Climate-Driven Shifts in Soil Temperature and Moisture Regimes Suggest Opportunities to Enhance Assessments of Dryland Resilience and Resistance. Front. Ecol. Evol. 2019, 7, 358. [Google Scholar] [CrossRef]
- Mulyani, A.; Mulyanto, B.; Barus, B.; Panuju, D.R. Husnain Geospatial Analysis of Abandoned Lands Based on Agroecosystems: The Distribution and Land Suitability for Agricultural Land Development in Indonesia. Land 2022, 11, 2071. [Google Scholar] [CrossRef]
- Velázquez, E.; Martínez-Jaraíz, C.; Wheeler, C.; Mitchard, E.T.A.; Bravo, F. Forest Expansion in Abandoned Agricultural Lands Has Limited Effect to Offset Carbon Emissions from Central-North Spain. Reg. Environ. Chang. 2022, 22, 132. [Google Scholar] [CrossRef]
- Xie, Y.; Spawn-Lee, S.A.; Radeloff, V.C.; Yin, H.; Robertson, G.P.; Lark, T.J. Cropland Abandonment between 1986 and 2018 across the United States: Spatiotemporal Patterns and Current Land Uses. Environ. Res. Lett. 2024, 19, 044009. [Google Scholar] [CrossRef]
- Volkov, A.; Belan, L.; Bogdan, E.; Suleymanov, A.; Tuktarova, I.; Shagaliev, R.; Muftakhina, D. Spatio-Temporal Analysis of Forest Growing Stock Volume and Carbon Stocks: A Case Study of Kandry-Kul Natural Park, Russia. Land 2023, 12, 1441. [Google Scholar] [CrossRef]
- Schepaschenko, D.G.; Shvidenko, A.Z.; Lesiv, M.Y.; Kraxner, F.; Ontikov, P.V.; Shchepashchenko, M.V. Estimation Of Forest Area And Its Dynamics In Russia Based On Synthesis Of Remote Sensing Products. Contemp. Probl. Ecol. 2015, 8, 7. 811–817. (In Russian) [Google Scholar] [CrossRef]
- Suleymanov, R.; Yaparov, I.; Saifullin, I.; Vildanov, I.; Shirokikh, P.; Suleymanov, A.; Komissarov, M.; Liebelt, P.; Nigmatullin, A.; Khamidullin, R. The Current State of Abandoned Lands in the Northern Forest Steppe Zone at the Republic of Bashkortostan (Southern Ural, Russia). Span. J. Soil Sci. 2020, 10, 29–44. [Google Scholar] [CrossRef]
- Shirokikh, P.S.; Martynenko, V.B.; Yamalov, S.M.; Bikbaev, I.G.; Mirkin, B.M.; Baisheva, E.Z. Influence Of Agricultural Use On The Forming Of Abandoned Fields Vegetation In The Mountain-Forest Zone Of South Ural. Proc. RAS Ufa Sci. Cent. 2017, 3, 221–227. (In Russian) [Google Scholar]
- Silver, W.; Ostertag, R.; Lugo, A. The Potential for Carbon Sequestration Through Reforestation of Abandoned Tropical Agricultural and Pasture Lands. Restor. Ecol. 2000, 8, 394–407. [Google Scholar] [CrossRef]
- Garcia Kerdan, I.; Giarola, S.; Jalil Vega, F.; Hawkes, A. Carbon Sequestration Potential from Large-Scale Reforestation and Sugarcane Expansion on Abandoned Agricultural Lands in Brazil. Polytechnica 2019, 2, 9–25. [Google Scholar] [CrossRef]
- Fedorov, N.; Shirokikh, P.; Zhigunova, S.; Baisheva, E.; Tuktamyshev, I.; Bikbaev, I.; Komissarov, M.; Zaitsev, G.; Giniyatullin, R.; Gabbasova, I.; et al. Dynamics of Biomass and Carbon Stocks during Reforestation on Abandoned Agricultural Lands in Southern Ural Region. Agriculture 2023, 13, 1427. [Google Scholar] [CrossRef]
- Fedorov, N.; Bikbaev, I.; Shirokikh, P.; Zhigunova, S.; Tuktamyshev, I.; Mikhaylenko, O.; Martynenko, V.; Kulagin, A.; Giniyatullin, R.; Urazgildin, R.; et al. Estimation of Carbon Stocks of Birch Forests on Abandoned Arable Lands in the Cis-Ural Using Unmanned Aerial Vehicle-Mounted LiDAR Camera. Forests 2023, 14, 2392. [Google Scholar] [CrossRef]
- Farooqi, Z.U.; Ayub, M.; Nadeem, M.; Shabaan, D.-M.; Ahmad, Z.; Umar Phd, W.; Iftikhar, I. Precision Agriculture to Ensure Sustainable Land Use for the Future: Precision Agriculture and Arable Land Use. In Research Anthology on Strategies for Achieving Agricultural Sustainability; IGI Global: Hershey, PA, USA, 2022; pp. 1295–1315. ISBN 9781668453520. [Google Scholar]
- Yanbaev, Y.A.; Tagirov, V.V.; Bakhtina, S.Y.; Tagirova, A.A. The Dynamics Of Scotch Pine Undergrowth Development On Abandoned Lands. Izv. Orenbg. State Agrar. Univ. 2018, 4, 150–151. (In Russian) [Google Scholar]
- Atutova, Z.V. The Current State Of Fallow Lands In The Tunka Depression (Southwestern Cisbaikalia). Geogr. Nat. Resour. 2020, 9, 51–61. [Google Scholar] [CrossRef]
- Yurovskikh, E.V.; Zalesov, S.V.; Magasumova, A.G.; Bachurina, A.V. The Depth And Epiterranean Biomass Of Pine Undergrowth On Former Agricultural Lands. Agrar. Bull. Ural. 2016, 11, 80–85. (In Russian) [Google Scholar]
- Bogdan, E.A.; Kamalova, R.G.; Suleymanov, A.; Belan, L.N.; Tuktarova, I. Changing Climatic Indicators and Mapping of Soil Temperature Using Landsat Data in the Yangan-Tau Unesco Global Geopark. SOCAR Proc. 2022, 2022, 32–41. [Google Scholar] [CrossRef]
- Bogdan, E.A.; Belan, L.N.; Frolova, I.V.; Galiev, A.F. The Methodology of Inventory of Geological Heritage Objects as a Tool for Managing Geoparks. Sustain. Dev. Mt. Territ. 2018, 14, 209–227. [Google Scholar] [CrossRef]
- Olson, K.R.; Al-Kaisi, M.M. The Importance of Soil Sampling Depth for Accurate Account of Soil Organic Carbon Sequestration, Storage, Retention and Loss. CATENA 2015, 125, 33–37. [Google Scholar] [CrossRef]
- Qin, Z.; Dunn, J.B.; Kwon, H.; Mueller, S.; Wander, M.M. Soil Carbon Sequestration and Land Use Change Associated with Biofuel Production: Empirical Evidence. GCB Bioenergy 2016, 8, 66–80. [Google Scholar] [CrossRef]
- Jobbágy, E.G.; Jackson, R.B. The Vertical Distribution Of Soil Organic Carbon And Its Relation To Climate And Vegetation. Ecol. Appl. 2000, 10, 423–436. [Google Scholar] [CrossRef]
- Georgiadis, P.; Vesterdal, L.; Stupak, I.; Raulund-Rasmussen, K. Accumulation of Soil Organic Carbon after Cropland Conversion to Short-Rotation Willow and Poplar. GCB Bioenergy 2017, 9, 1390–1401. [Google Scholar] [CrossRef]
- Barcena, T.G.; Kiær, L.P.; Vesterdal, L.; Stefánsdóttir, H.M.; Gundersen, P.; Sigurdsson, B.D. Soil Carbon Stock Change Following Afforestation in Northern Europe: A Meta-Analysis. Glob. Chang. Biol. 2014, 20, 2393–2405. [Google Scholar] [CrossRef]
- Walkley, A.; Black, I.A. An Examination of the Degtjareff Method for Determining Soil Organic Matter, and a Proposed Modification of the Chromic Acid Titration Method. Soil Sci. 1934, 37, 29–38. [Google Scholar] [CrossRef]
- Uri, V.; Varik, M.; Aosaar, J.; Kanal, A.; Kukumägi, M.; Lõhmus, K. Biomass Production and Carbon Sequestration in a Fertile Silver Birch (Betula Pendula Roth) Forest Chronosequence. For. Ecol. Manag. 2012, 267, 117–126. [Google Scholar] [CrossRef]
- Ryzhova, I.M.; Telesnina, V.M.; Sitnikova, A.A. Dynamics of Soils Properties and Carbon Stocks Structure in Postagrogenic Ecosystems of Southern Taiga during Natural Forest Restoration. Eurasian Soil Sci. 2020, 2, 230–243. (In Russian) [Google Scholar] [CrossRef]
- Khorchani, M.; Nadal-Romero, E.; Lasanta, T.; Tague, C. Carbon Sequestration and Water Yield Tradeoffs Following Restoration of Abandoned Agricultural Lands in Mediterranean Mountains. Environ. Res. 2021, 207, 112203. [Google Scholar] [CrossRef] [PubMed]
- Gerasimova, O.A.; Melnik, A.I.; Mammadova, S.K.; Popova, V.V.; Andronova, A.A.; Nemich, V.N.; Mikhailov, P.V. The Biomass Assessment In High-Density Pine Forests Growing On Abandoned Farmlands In The Central Siberia Subtaiga-Forest-Steppe Region. Curr. Probl. For. Complex 2022, 62, 18–24. (In Russian) [Google Scholar]
- Udawatta, R.P.; Walter, D.; Jose, S. Carbon Sequestration by Forests and Agroforests: A Reality Check for the United States. Carbon Footpr. 2022, 1, 8. [Google Scholar] [CrossRef]
- Kara, F.; Keleş, S.Ö.; Loewenstein, E.F. Development and Anatomical Traits of Black Pine on an Abandoned Agricultural Land Compared to Forested Areas. Environ. Monit. Assess. 2021, 193, 621. [Google Scholar] [CrossRef] [PubMed]
- Davis, S.; Drake, J.; Delucia, E. Carbon Sequestration in Response to Rising Atmospheric CO2 in Active and Abandoned Pine Plantations of the Southeastern US. AGU Fall Meet. Abstr. 2010, 2010, B23D-0416. [Google Scholar]
- Thibault, M.; Thiffault, E.; Bergeron, Y.; Ouimet, R.; Tremblay, S. Afforestation of Abandoned Agricultural Lands for Carbon Sequestration: How Does It Compare with Natural Succession? Plant Soil 2022, 475, 605–621. [Google Scholar] [CrossRef]
- Pristova, T.A.; Fedorkov, A.L.; Novakovsky, A.B. Aboveground Stand Phytomass in Experimental Cultures of Lodgepole Pine in Syktyvkar Forestry of the Komi Republic. Lesn. Zhurnal 2023, 2023, 31–43. [Google Scholar] [CrossRef]
- Guner, Ş.T.; Tunckol, B. Determination of Carbon Concentration of Tree Components for Stone Pine Forests in the Marmara Region. Bartın Orman Fakültesi Derg. 2022, 24, 315–323. [Google Scholar] [CrossRef]
- Wegiel, A.; Polowy, K. Aboveground Carbon Content and Storage in Mature Scots Pine Stands of Different Densities. Forests 2020, 11, 240. [Google Scholar] [CrossRef]
- Akburak, S.; Oral, H.V.; Ozdemir, E.; Makineci, E. Temporal variations of biomass, carbon and nitrogen of roots under different tree species. Scand. J. For. Res. 2013, 28, 8–16. [Google Scholar] [CrossRef]
- Lampela, M.; Minkkinen, K.; Straková, P.; Bhuiyan, R.; He, W.; Mäkiranta, P.; Ojanen, P.; Penttilä, T.; Laiho, R. Responses of fine-root biomass and production to drying depend on wetness and site nutrient regime in boreal forested peatland. Front. For. Glob. Chang. 2023, 6, 1190893. [Google Scholar] [CrossRef]
- Jansons, A.; Bārdulis, A.; Ķēniņa, L.; Lazdiņa, D.; Džeriņš, E.; Kāpostiņš, R. Carbon Content of below–Ground Biomass of Young Scots Pines in Latvia. Agron. Res. 2017, 15, 1897–1905. [Google Scholar] [CrossRef]
- Bardule, A.; Liepinš, J.; Liepinš, K.; Stola, J.; Butlers, A.; Lazdinš, A. Variation in Carbon Content among the Major Tree Species in Hemiboreal Forests in Latvia. Forests. 2021, 12, 1292. [Google Scholar] [CrossRef]
- Jones, D.A.; O’Hara, K.L. Variation in Carbon Fraction, Density, and Carbon Density in Conifer Tree Tissues. Forests 2018, 9, 430. [Google Scholar] [CrossRef]
- Hirata, Y.; Takao, G.; Sato, T.; Toriyama, J. REDD+ Cookbook; REDD Research and Development Center, Forestry and Forest Products Research Institute: Ibaraki, Japan, 2012. [Google Scholar]
- Salpagarova, F.S.; van Loktestain, R.; Onipchenko, V.G.; Akhmetzhanova, A.A.; Agafonov, V.A. Fine root nitrogen contents and morphological adaptations of alpine plants. Biol. Bull. Rev. 2013, 74, 190–200. (In Russian) [Google Scholar]
- Khaziev, F.H.; Ramazanov, R.Y.; Koltsova, G.A.; Bagautdinov, F.Y.; Khabirov, I.K.; Yagafarova, A.M.; Gabbasova, I.M. Reproduction of fertility of gray forest soils. Ufa. Gilem 1999, 158. (In Russian) [Google Scholar]
- Peng, Y.; Lou, H.; Tan, Z.; Ouyang, Z.; Zhang, Y.; Lu, S.; Gu, L.; Yang, B. Lipidomic and Metabolomic Analyses Reveal Changes of Lipid and Metabolite Profiles in Rapeseed during Nitrogen Deficiency. Plant Cell Physiol. 2024, 65, 904–915. [Google Scholar] [CrossRef] [PubMed]
- Zhou, J.; Gube, M.; Holz, M.; Song, B.; Shan, I.; Shi, L.L.; Kuzyakov, Y.; Dippold, M.A.; Pausch, J. Ectomycorrhizal and non-mycorrhizal rhizosphere fungi increase root-derived C input to soil and modify enzyme activities: A 14C pulse labeling of Picea abies seedlings. Plant. Cell Environ. 2022, 45, 3122–3133. [Google Scholar] [CrossRef]
- Xiao, M.; Zang, H.; Chen, A.; Zhu, Z.; Zhou, P.; Atere, C.; Wu, J.; Su, Y.-R.; Kuzyakov, Y. Effect of nitrogen fertilizer on rice photosynthate allocation and Carbon input in paddy soil. Eur. J. Soil Sci. 2019, 70, 786–795. [Google Scholar] [CrossRef]
- Betekhtina, A.A.; Ganem, A.; Nekrasova, O.A.; Radchenko, T.A.; Uchaev, A.P.; Dergacheva, M.I.; Veselkin, D.V. Factors of Carbon and Nitrogen Contents in the Fine Roots of Plants in the Middle Urals. Russ. J. Ecol. 2021, 52, 99–108. [Google Scholar] [CrossRef]
- Bardulis, A.; Jansons, A.; Bardule, A.; Zeps, M.; Lazdins, A. Assessment of Carbon Content in Root Biomass in Scots Pine and Silver Birch Young Stands of Latvia. Balt. For. 2017, 23, 482–489. [Google Scholar]
- Ministry of Natural Resources and Ecology. Order No. 371 of the Ministry of Natural Resources of the Russian Federation Dated May 27, 2022 “On Approval of Methods for Quantifying Greenhouse Gas Emissions and Greenhouse Gas Sequestration”; Ministry of Natural Resources and Ecology: Moscow, Russia, 2022; p. 257. (In Russian) [Google Scholar]
- Klevtsov, D.N.; Tyukavina, O.N. Carbon Stocks in 40-Year Scots Pine Crops. Lesn. Zhurnal 2023, 2023, 195–203. [Google Scholar] [CrossRef]
- Baisheva, E.; Fedorov, N.; Zhigunova, S.; Shirokikh, P.; Komissarov, M.; Gabbasova, I.; Muldashev, A.; Bikbaev, I.; Tuktamyshev, I.; Shendel, G.; et al. Productivity of Vegetation and Carbon Stock in Meadow Steppe on Fallow Areas in the Bashkir Cis-Urals (Southern Urals Region), Russia. South Russ. Ecol. Dev. 2024, 18, 64–73. [Google Scholar] [CrossRef]
- Shvidenko, A.; Schepaschenko, D.; McCallum, I.; Nilsson, S. CD-ROM “Russian Forests and Forestry”; International Institute for Applied Systems Analysis and the Russian Academy of Science: Laxenburg, Austria, 2007. (In Russian) [Google Scholar]
- Lukina, N.V.; Bartalev, S.A.; Geraskina, A.P.; Plotnikova, A.S.; Gornov, A.V.; Ershov, D.V.; Gavrilyuk, A.I.; Shevchenko, N.E.; Danilova, M.A.; Tebenkova, D.N.; et al. Role of Old-Growth Forests in Carbon Accumulation and Storage. Izv. Ross. Akad. Nauk. Seriâ Geogr. 2023, 87, 536–557. [Google Scholar] [CrossRef]
- Merzlenko, M.D.; Mel’nik, P.G.; Mel’nik, L.P. Carbon Deposit By Stem Fraction In 100-Year-Old Coniferous Species. For. Bulletin. 2023, 27, 5–10. [Google Scholar] [CrossRef]
- Sungurova, N.R.; Khudyakov, V.V.; Strazdauskas, S.E. Comparative Carbon Pool Structure in Above-Ground Phytomass of Pine and Spruce Crops. Bull. High. Educ. Inst. Russ. For. J. 2019, 3, 159–165. [Google Scholar] [CrossRef]
- Zamolodchikov, D.G.; Grabovsky, V.I.; H Chestnyh, O.V. A new assessment of the carbon balance in the forests of the federal districts of the Russian Federation. In Biodiversity and Functioning of Forest Ecosystems; Federal State Unitary Enterprise Academic Scientific Publishing, Production, Printing and Book Distribution Center “Nauka”: Moscow, Russia, 2021; pp. 153–173. (In Russian) [Google Scholar]
- Ryazanov, S.S.; Kulagina, V.I. Carbon stocks in soils of the national park “Nizhnyaya Kama”: Testing the assessment methods. Sci. Notes V.I. Vernadsky Crime. Fed. Univ. Geogr. Geol. 2023, 9, 86–102. (In Russian) [Google Scholar]
- Naumov, V.D.; Povetkina, N.L.; Lebedev, A.V.; Gemonov, A.V. Evaluating the humus status of sod-podzolic soils of the RSAU-MTAA Forest Experimental District. Izv. Timiryazev Agric. Acad. 2019, 5–18. (In Russian) [Google Scholar] [CrossRef]
- Khaziev, F.K. Soils of Bashkortostan. Volume 1. Ecologic-Genetic and Agroproductive Characterization; Gilem: Ufa, Russia, 1995; p. 385. (In Russian) [Google Scholar]
- Kiryushin, V.I. Ecological Bases of Agriculture; Kolos: Moscow, Russia, 1996; 367p. (In Russian) [Google Scholar]
- Titlyanova, A.A.; Shibareva, S.V. Change in Net Primary Production and Recovery of Carbon Stock of Old Field Soils. Eurasian Soil Sci. 2022, 4, 500–510. (In Russian) [Google Scholar] [CrossRef]
- Cao, J.; Wei, C.; Adamowski, J.; Zhou, J.; Liu, C.; Zhu, G.; Dong, X.; Zhang, X.; Zhao, H. Could Arid and Semi-Arid Abandoned Lands Prove Ecologically or Economically Valuable If They Afford Greater Soil Organic Carbon Storage than Afforested Lands in China’s Loess Plateau? Land Use Policy 2020, 99, 105027. [Google Scholar] [CrossRef]
- Foote, R.L.; Grogan, P. Soil Carbon Accumulation during Temperate Forest Succession on Abandoned Low Productivity Agricultural Lands. Ecosystems 2010, 13, 795–812. [Google Scholar] [CrossRef]
Disclaimer/Publisher’s Note: The statements, opinions and data contained in all publications are solely those of the individual author(s) and contributor(s) and not of MDPI and/or the editor(s). MDPI and/or the editor(s) disclaim responsibility for any injury to people or property resulting from any ideas, methods, instructions or products referred to in the content. |
© 2024 by the authors. Licensee MDPI, Basel, Switzerland. This article is an open access article distributed under the terms and conditions of the Creative Commons Attribution (CC BY) license (https://creativecommons.org/licenses/by/4.0/).