Thinning Modulates the Soil Organic Carbon Pool, Soil Enzyme Activity, and Stoichiometric Characteristics in Plantations in a Hilly Zone
Abstract
1. Introduction
2. Materials and Methods
2.1. Site Description and Field Investigation
2.2. Soil Sampling
2.3. Soil Physicochemical Analyses
2.4. Enzymatic Stoichiometry and Soil Microbial Metabolic Limitations
2.5. Statistical Analysis
3. Results
3.1. Soil Property Characteristics
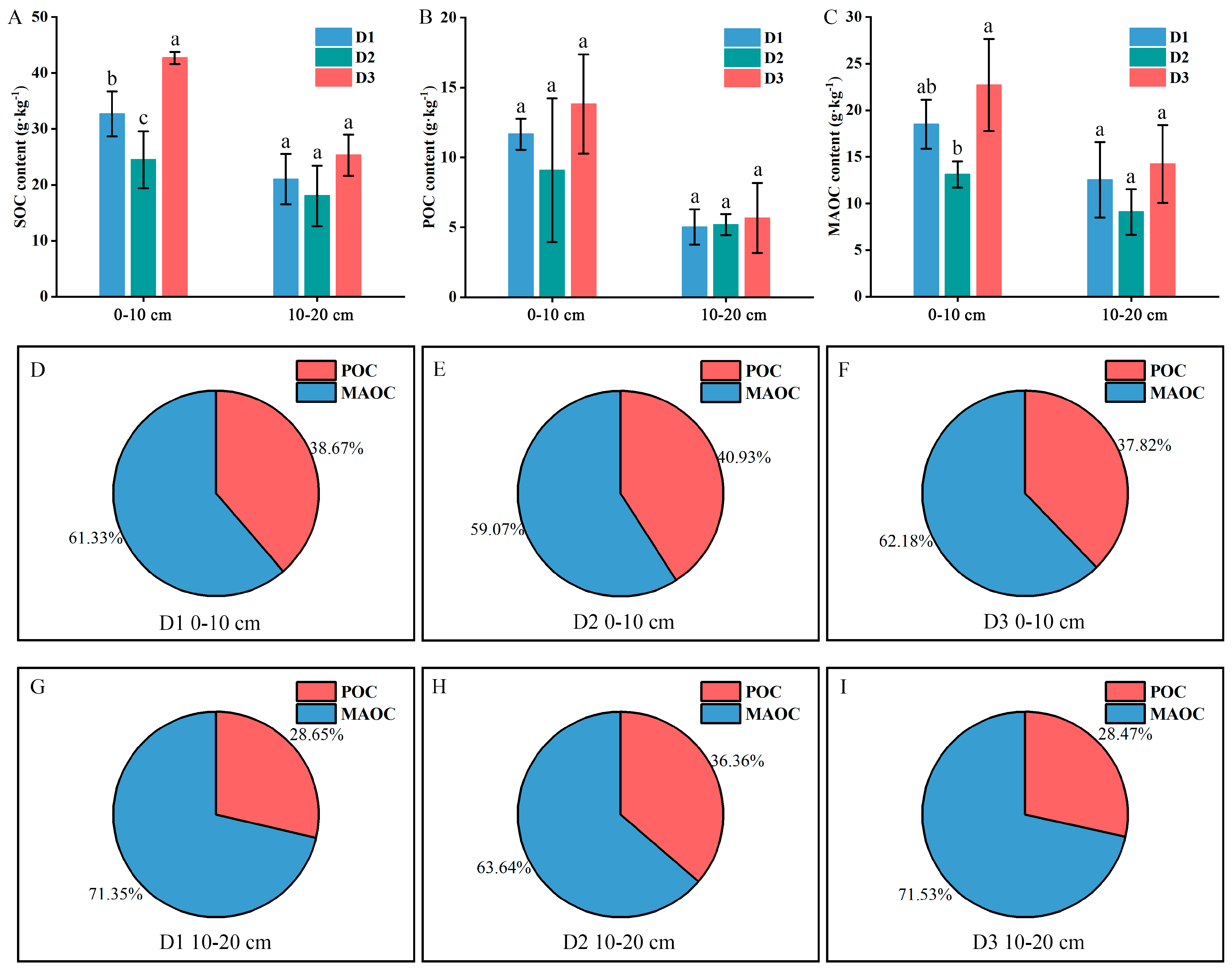
3.2. SOC and Fraction Contents
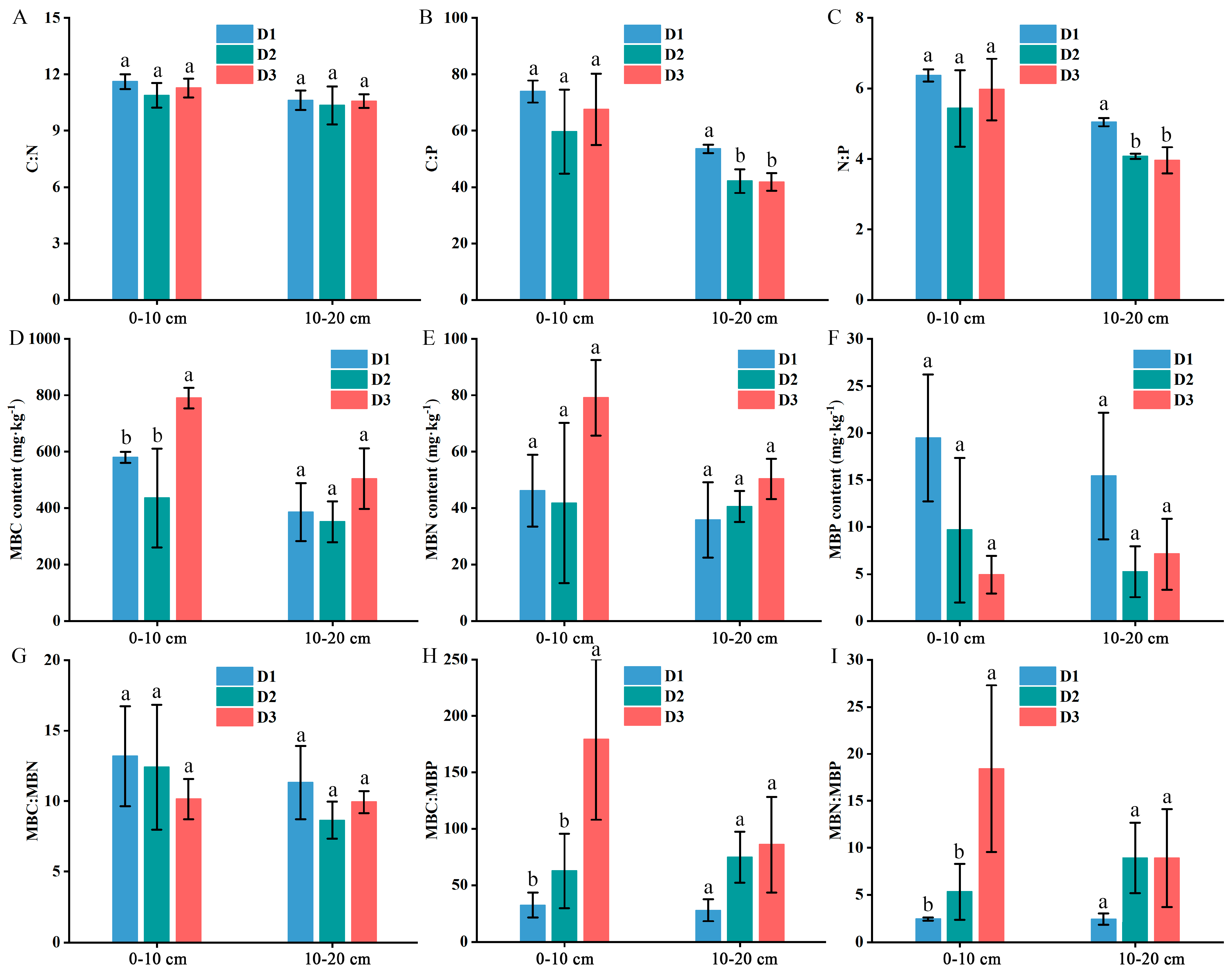
3.3. Microbial Biomass C, N, P, and Stoichiometry
3.4. Soil EEA and EEA Stoichiometry
3.5. Soil Microbial Metabolic Limitations
3.6. Soil Properties Controlling EEA, Stoichiometry and Microbial Nutrient Limitation
4. Discussion
5. Conclusions
Author Contributions
Funding
Data Availability Statement
Conflicts of Interest
References
- Liu, T.; Peng, D.; Tan, Z.; Guo, J.; Zhang, Y.; Liu, H. Do stand density and month regulate soil enzymes and the stoichiometry of differently aged Larix principis-rupprechtii plantations? CATENA 2023, 220, 106683. [Google Scholar] [CrossRef]
- Hansson, K.; Kleja, D.B.; Kalbitz, K.; Larsson, H. Amounts of carbon mineralised and leached as DOC during decomposition of Norway spruce needles and fine roots. Soil Biol. Biochem. 2021, 42, 178–185. [Google Scholar] [CrossRef]
- FAO. Global Forest Resources Assessment 2020: Key Findings; FAO: Rome, Italy, 2020. [Google Scholar]
- Kögel-Knabner, I.; Rumpel, C. Advances in molecular approaches for understanding soil organic matter composition, origin, and turnover: A historical overview. Adv. Agron. 2018, 149, 1–48. [Google Scholar] [CrossRef]
- Wang, B.; An, S.; Liang, C.; Liu, Y.; Kuzyakov, Y. Microbial necromass as the source of soil organic carbon in global ecosystems. Soil Biol. Biochem. 2021, 162, 108422. [Google Scholar] [CrossRef]
- Jandl, R.; Lindner, M.; Vesterdal, L.; Bauwens, B.; Baritz, R.; Hagedorn, F.; Johnson, D.W.; Minkkinen, K.; Byrne, K.A. How strongly can forest management influence soil carbon sequestration? Geoderma 2007, 137, 253–268. [Google Scholar] [CrossRef]
- Wardle, D.A.; Bardgett, R.D.; Klironomos, J.N.; Setälä, H.; Van Der Putten, W.H.; Wall, D.H. Ecological linkages between aboveground and belowground biota. Science 2004, 304, 1629–1633. [Google Scholar] [CrossRef]
- Sterck, F.; Vos, M.; Hannula, S.E.; De Goede, S.; De Vries, W.; Den Ouden, J.; Nabuurs, G.-J.; Van Der Putten, W.; Veen, C. Optimizing stand density for climate-smart forestry: A way forward towards resilient forests with enhanced carbon storage under extreme climate events. Soil Biol. Biochem. 2021, 162, 108396. [Google Scholar] [CrossRef]
- Ouyang, S.; Xiang, W.; Wang, X.; Xiao, W.; Chen, L.; Li, S.; Sun, H.; Deng, X.; Forrester, D.I.; Zeng, L.; et al. Effects of stand age, richness and density on productivity in subtropical forests in China. J. Ecol. 2019, 107, 2266–2277. [Google Scholar] [CrossRef]
- Lindgren, P.M.F.; Sullivan, T.P. Influence of stand thinning and repeated fertilization on plant community abundance and diversity in young lodgepole pine stands: 15-year results. For. Ecol. Manag. 2013, 308, 17–30. [Google Scholar] [CrossRef]
- Li, Q.; Liu, Z.; Jin, G. Impacts of stand density on tree crown structure and biomass: A global meta-analysis. Agric. For. Meteorol. 2022, 326, 109181. [Google Scholar] [CrossRef]
- Zhang, S.Y.; Chauret, G.; Swift, D.E.; Duchesne, I. Effects of precommercial thinning on tree growth and lumber quality in a jack pine stand in New Brunswick, Canada. Can. J. For. Res. 2006, 36, 945–952. [Google Scholar] [CrossRef]
- Lull, C.; Bautista, I.; Lidón, A.; Del Campo, A.D.; González-Sanchis, M.; García-Prats, A. Temporal effects of thinning on soil organic carbon pools, basal respiration and enzyme activities in a Mediterranean Holm oak forest. For. Ecol. Manag. 2020, 464, 118088. [Google Scholar] [CrossRef]
- Zhang, X.; Chen, L.; Wang, Y.; Jiang, P.; Hu, Y.; Ouyang, S.; Wu, H.; Lei, P.; Kuzyakov, Y.; Xiang, W. Plantations thinning: A meta-analysis of consequences for soil properties and microbial functions. Sci. Total Environ. 2023, 877, 162894. [Google Scholar] [CrossRef] [PubMed]
- Kim, S.; Li, G.; Han, S.H.; Kim, C.; Lee, S.T.; Son, Y. Microbial biomass and enzymatic responses to temperate oak and larch forest thinning: Influential factors for the site-specific changes. Sci. Total Environ. 2019, 651, 2068–2079. [Google Scholar] [CrossRef]
- Simonin, K.; Kolb, T.E.; Montes-Helu, M.; Koch, G.W. The influence of thinning on components of stand water balance in a ponderosa pine forest stand during and after extreme drought. Agric. For. Meteorol. 2007, 143, 266–276. [Google Scholar] [CrossRef]
- Cui, Y.; Moorhead, D.L.; Guo, X.; Peng, S.; Wang, Y.; Zhang, X.; Fang, L. Stoichiometric models of microbial metabolic limitation in soil systems. Glob. Ecol. Biogeogr. 2021, 30, 2297–2311. [Google Scholar] [CrossRef]
- Zhou, T.; Wang, C.; Zhou, Z. Impacts of forest thinning on soil microbial community structure and extracellular enzyme activities: A global meta-analysis. Soil Biol. Biochem. 2020, 149, 107915. [Google Scholar] [CrossRef]
- Xu, M.; Liu, H.; Zhang, Q.; Zhang, Z.; Ren, C.; Feng, Y.; Yang, G.; Han, X.; Zhang, W. Effect of forest thinning on soil organic carbon stocks from the perspective of carbon-degrading enzymes. CATENA 2022, 218, 106560. [Google Scholar] [CrossRef]
- Guo, J.; Wang, B.; Wang, G.; Wu, Y.; Cao, F. Vertical and seasonal variations of soil carbon pools in ginkgo agroforestry systems in eastern China. CATENA 2018, 171, 450–459. [Google Scholar] [CrossRef]
- Zhang, Z.; Hao, M.; Yu, Q.; Dun, X.; Xu, J.; Gao, P. The effect of thinning intensity on the soil carbon pool mediated by soil microbial communities and necromass carbon in coastal zone protected forests. Sci. Total Environ. 2023, 881, 163492. [Google Scholar] [CrossRef]
- Guo, J.; Wang, B.; Wang, G.; Wu, Y.; Cao, F. Afforestation and agroforestry enhance soil nutrient status and carbon sequestration capacity in eastern China. Land Degrad. Dev. 2020, 31, 392–403. [Google Scholar] [CrossRef]
- Long, Z.; Zhu, H.; He, J.; Wu, Y.; Ma, Z.; Yu, D.; Bing, H. Variation patterns and their driving factors in soil extracellular enzyme activities and stoichiometry along a 49-years vegetation restoration chronosequence. Plant Soil 2024, 500, 665–680. [Google Scholar] [CrossRef]
- Zhao, M.; Li, Y.; Wang, Y.; Sun, Y.; Chen, Y. High stand density promotes soil organic carbon sequestration in Robinia pseudoacacia plantations in the hilly and gully region of the Loess Plateau in China. Agric. Ecosyst. Environ. 2023, 343, 108256. [Google Scholar] [CrossRef]
- Moorhead, D.L.; Rinkes, Z.L.; Sinsabaugh, R.L.; Weintraub, M.N. Dynamic relationships between microbial biomass, respiration, inorganic nutrients and enzyme activities: Informing enzyme-based decomposition models. Front. Microbiol. 2013, 4, 223. [Google Scholar] [CrossRef] [PubMed]
- Li, Y.; Ajloon, F.H.; Wang, X.; Malghani, S.; Yu, S.; Ma, X.; Li, Y.; Wang, W. Temporal effects of thinning on soil organic carbon and carbon cycling-related enzyme activities in oak-pine mixed forests. For. Ecol. Manag. 2023, 545, 121293. [Google Scholar] [CrossRef]
- Jiménez, M.N.; Navarro, F.B. Thinning effects on litterfall remaining after 8 years and improved stand resilience in Aleppo pine afforestation (SE Spain). J. Environ. Manag. 2016, 169, 174–183. [Google Scholar] [CrossRef]
- Lei, J.; Du, H.; Duan, A.; Zhang, J. Effect of stand density and soil layer on soil nutrients of a 37-year-old Cunninghamia lanceolata plantation in Naxi, Sichuan Province, China. Sustainability 2019, 11, 5410. [Google Scholar] [CrossRef]
- Treseder, K.K.; Vitousek, P.M. Effects of soil nutrient availability on investment in acquisition of N and P in Hawaiian rain forests. Ecology 2001, 82, 946–954. [Google Scholar] [CrossRef]
- Wang, C.; Xue, L.; Jiao, R. Soil phosphorus fractions, phosphatase activity, and the abundance of phoC and phoD genes vary with planting density in subtropical Chinese fir plantations. Soil Tillage Res. 2021, 209, 104946. [Google Scholar] [CrossRef]
- Zhou, T.; Wang, C.; Zhou, Z. Thinning promotes the nitrogen and phosphorous cycling in forest soils. Agric. For. Meteorol. 2021, 311, 108665. [Google Scholar] [CrossRef]
- Thion, C.E.; Poirel, J.D.; Cornulier, T.; De Vries, F.T.; Bardgett, R.D.; Prosser, J.I. Plant nitrogen-use strategy as a driver of rhizosphere archaeal and bacterial ammonia oxidiser abundance. FEMS Microbiol. Ecol. 2016, 92, fiw091. [Google Scholar] [CrossRef]
- Wang, H.; Chen, D.; Wu, C.; Guo, L.; Sun, X.; Zhang, S. Forest thinning alleviates the negative effects of precipitation reduction on soil microbial diversity and multifunctionality. Biol. Fertil. Soils 2023, 59, 423–440. [Google Scholar] [CrossRef]
- Primicia, I.; Imbert, J.B.; Traver, M.C.; Castillo, F.J. Inter-specific competition and management modify the morphology, nutrient content and resorption in Scots pine needles. Eur. J. For. Res. 2014, 133, 141–151. [Google Scholar] [CrossRef]
- Lavallee, J.M.; Soong, J.L.; Cotrufo, M.F. Conceptualizing soil organic matter into particulate and mineral-associated forms to address global change in the 21st century. Glob. Change Biol. 2020, 26, 261–273. [Google Scholar] [CrossRef] [PubMed]
- Jörgensen, K.; Granath, G.; Lindahl, B.D.; Strengbom, J. Forest management to increase carbon sequestration in boreal Pinus sylvestris forests. Plant Soil 2021, 466, 165–178. [Google Scholar] [CrossRef]
- Bradford, M.A.; Wieder, W.R.; Bonan, G.B.; Fierer, N.; Raymond, P.A.; Crowther, T.W. Managing uncertainty in soil carbon feedbacks to climate change. Nat. Clim. Change 2016, 6, 751–758. [Google Scholar] [CrossRef]
- Zhou, Z.; Wang, C.; Jin, Y.; Sun, Z. Impacts of thinning on soil carbon and nutrients and related extracellular enzymes in a larch plantation. For. Ecol. Manag. 2019, 450, 117523. [Google Scholar] [CrossRef]
- Yang, L.; Wang, J.; Geng, Y.; Niu, S.; Tian, D.; Yan, T.; Liu, W.; Pan, J.; Zhao, X.; Zhang, C. Heavy thinning reduces soil organic carbon: Evidence from a 9-year thinning experiment in a pine plantation. CATENA 2022, 211, 106013. [Google Scholar] [CrossRef]
- Xiong, Y.; Xia, H.; Li, Z.A.; Cai, X.A.; Fu, S. Impacts of litter and understory removal on soil properties in a subtropical Acacia mangium plantation in China. Plant Soil 2008, 304, 179–188. [Google Scholar] [CrossRef]
- Li, Y.; Li, Z.; Cui, S.; Liang, G.; Zhang, Q. Microbial-derived carbon components are critical for enhancing soil organic carbon in no-tillage croplands: A global perspective. Soil Tillage Res. 2021, 205, 104758. [Google Scholar] [CrossRef]
- Ruiz-Peinado, R.; Bravo-Oviedo, A.; López-Senespleda, E.; Montero, G.; Río, M. Do thinnings influence biomass and soil carbon stocks in Mediterranean maritime pinewoods? Eur. J. For. Res. 2013, 132, 253–262. [Google Scholar] [CrossRef]
- Wan, P.; He, R.; Wang, P.; Cao, A. Implementation of different forest management methods in a natural forest: Changes in soil microbial biomass and enzyme activities. For. Ecol. Manag. 2022, 520, 120409. [Google Scholar] [CrossRef]
- Chen, X.; Chen, H.Y.H.; Chen, X.; Wang, J.; Chen, B.; Wang, D.; Guan, Q. Soil labile organic carbon and carbon-cycle enzyme activities under different thinning intensities in Chinese fir plantations. Appl. Soil Ecol. 2016, 107, 162–169. [Google Scholar] [CrossRef]
- Zhang, B.; Cai, Y.; Hu, S.; Chang, S.X. Plant mixture effects on carbon-degrading enzymes promote soil organic carbon accumulation. Soil Biol. Biochem. 2021, 163, 108457. [Google Scholar] [CrossRef]
- Bolat, İ. The effect of thinning on microbial biomass C, N and basal respiration in black pine forest soils in Mudurnu, Turkey. Eur. J. For. Res. 2013, 133, 131–139. [Google Scholar] [CrossRef]
- Wan, P.; Zhao, X.; Ou, Z.; He, R.; Wang, P.; Cao, A. Forest management practices change topsoil carbon pools and their stability. Sci. Total Environ. 2023, 902, 166093. [Google Scholar] [CrossRef]
- Yang, Y.; Liang, C.; Wang, Y.; Cheng, H.; An, S.; Chang, S.X. Soil extracellular enzyme stoichiometry reflects the shift from P- to N-limitation of microorganisms with grassland restoration. Soil Biol. Biochem. 2020, 149, 107928. [Google Scholar] [CrossRef]
- Pretzsch, H. Density and growth of forest stands revisited. Effect of the temporal scale of observation, site quality, and thinning. For. Ecol. Manag. 2020, 460, 117879. [Google Scholar] [CrossRef]
- Zhao, M.; Liu, S.; Sun, Y.; Chen, Y. Does stand density affect understory vegetation and soil properties of differently aged Robinia pseudoacacia plantations? For. Ecol. Manag. 2023, 548, 121444. [Google Scholar] [CrossRef]







| Location | Density (tree·ha−1) | Height (m) | DBH * (cm) | Clear Bole Height (m) | Crown Diameter (m) | |
|---|---|---|---|---|---|---|
| E × W | N × S | |||||
| Mt. Dong | 1300 | 12.82 ± 0.37a | 22.72 ± 3.35a | 2.56 ± 0.27b | 4.17 ± 0.07a | 4.62 ± 0.52a |
| Mt. Dong | 2900 | 9.88 ± 1.44b | 13.82 ± 1.19b | 2.51 ± 1.09b | 2.70 ± 0.29b | 2.71 ± 0.22b |
| Mt. Dazhai | 3900 | 10.65 ± 0.50b | 12.32 ± 2.36b | 6.26 ± 0.40a | 2.63 ± 0.41b | 2.68 ± 0.32b |
Disclaimer/Publisher’s Note: The statements, opinions and data contained in all publications are solely those of the individual author(s) and contributor(s) and not of MDPI and/or the editor(s). MDPI and/or the editor(s) disclaim responsibility for any injury to people or property resulting from any ideas, methods, instructions or products referred to in the content. |
© 2024 by the authors. Licensee MDPI, Basel, Switzerland. This article is an open access article distributed under the terms and conditions of the Creative Commons Attribution (CC BY) license (https://creativecommons.org/licenses/by/4.0/).
Share and Cite
Guo, J.; Tang, W.; Tu, H.; Zheng, J.; Wang, Y.; Yu, P.; Wang, G. Thinning Modulates the Soil Organic Carbon Pool, Soil Enzyme Activity, and Stoichiometric Characteristics in Plantations in a Hilly Zone. Forests 2024, 15, 2038. https://doi.org/10.3390/f15112038
Guo J, Tang W, Tu H, Zheng J, Wang Y, Yu P, Wang G. Thinning Modulates the Soil Organic Carbon Pool, Soil Enzyme Activity, and Stoichiometric Characteristics in Plantations in a Hilly Zone. Forests. 2024; 15(11):2038. https://doi.org/10.3390/f15112038
Chicago/Turabian StyleGuo, Jing, Wenjie Tang, Haochuan Tu, Jingjing Zheng, Yeqiao Wang, Pengfei Yu, and Guibin Wang. 2024. "Thinning Modulates the Soil Organic Carbon Pool, Soil Enzyme Activity, and Stoichiometric Characteristics in Plantations in a Hilly Zone" Forests 15, no. 11: 2038. https://doi.org/10.3390/f15112038
APA StyleGuo, J., Tang, W., Tu, H., Zheng, J., Wang, Y., Yu, P., & Wang, G. (2024). Thinning Modulates the Soil Organic Carbon Pool, Soil Enzyme Activity, and Stoichiometric Characteristics in Plantations in a Hilly Zone. Forests, 15(11), 2038. https://doi.org/10.3390/f15112038
